Sign in to use this feature.

Years

Between: -

Subjects

remove_circle_outline
remove_circle_outline
remove_circle_outline
remove_circle_outline
remove_circle_outline
remove_circle_outline
remove_circle_outline
remove_circle_outline
remove_circle_outline

Journals

remove_circle_outline
remove_circle_outline
remove_circle_outline
remove_circle_outline
remove_circle_outline
remove_circle_outline

Article Types

Countries / Regions

remove_circle_outline
remove_circle_outline
remove_circle_outline

Search Results (202)

Search Parameters:
Keywords = luminance ratio

Order results
Result details
Results per page
Select all
Export citation of selected articles as:
11 pages, 2082 KB  
Article
Highly Efficient and Stable Quantum Dot Light-Emitting Diodes Employing Sputtered SnO2 Layer as Electron Transport Layers
by Jaehwi Choi and Jiwan Kim
Nanomaterials 2026, 16(1), 31; https://doi.org/10.3390/nano16010031 (registering DOI) - 25 Dec 2025
Abstract
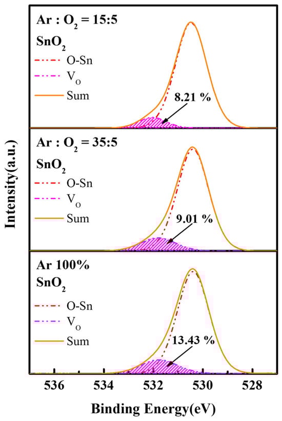
We report a novel approach to fabricating high-performance and robust quantum dot light-emitting diodes (QLEDs) utilizing sputtered SnO2 thin films as the electron transport layer (ETL). While conventional solution-processed ZnMgO NP ETLs face limitations in mass production, the sputtering process offers advantages [...] Read more.
We report a novel approach to fabricating high-performance and robust quantum dot light-emitting diodes (QLEDs) utilizing sputtered SnO2 thin films as the electron transport layer (ETL). While conventional solution-processed ZnMgO NP ETLs face limitations in mass production, the sputtering process offers advantages for uniform and reproducible thin film deposition. Herein, the structural, optical, and electrical properties of SnO2 thin films were optimized by controlling the Ar/O2 ratio and substrate heating temperature during sputtering. SnO2 thin films with O2 gas improve charge balancing in QLEDs by lowering the conduction band minimum. Furthermore, it was observed that oxygen vacancies in SnO2 function as exciton quenching sites, which directly impacts the long-term stability of the device. QLEDs fabricated under optimal conditions (Ar/O2 = 35:5, 200 °C heating) achieved a peak luminance of 99,212 cd/m2 and a current efficiency of 21.17 cd/A with excellent device stability. The findings suggest that sputtered SnO2 ETLs are a highly promising technology for the commercial production of QLEDs. Full article
(This article belongs to the Special Issue Light-Emitting-Diodes Based on Quantum Dots)
Show Figures

Figure 1

18 pages, 472 KB  
Article
Axillary Pathological Complete Response After Neoadjuvant Therapy in cN1–2 Breast Cancer: An Internally Validated PET/CT-Integrated Nomogram
by Mustafa Berkeşoğlu, Gözde Arslan, Ferah Tuncel, Cumhur Özcan, Zehra Pınar Koç, Pınar Pelin Özcan, Erkan Güler, Sami Benli, Yüksel Balcı and Kadir Eser
Curr. Oncol. 2025, 32(12), 667; https://doi.org/10.3390/curroncol32120667 - 28 Nov 2025
Viewed by 346
Abstract
We aimed to develop and internally validate a nomogram to estimate axillary pathological complete response (pCR, ypN0) after neoadjuvant systemic therapy (NAST) in clinically node-positive (cN1–2) breast cancer. In a single-center retrospective cohort of 144 consecutive patients treated with NAST (anti-HER2 as indicated), [...] Read more.
We aimed to develop and internally validate a nomogram to estimate axillary pathological complete response (pCR, ypN0) after neoadjuvant systemic therapy (NAST) in clinically node-positive (cN1–2) breast cancer. In a single-center retrospective cohort of 144 consecutive patients treated with NAST (anti-HER2 as indicated), all underwent standardized pre- and post-NAST 18F-FDG PET/CT and axillary staging (sentinel lymph node biopsy [SLNB], targeted axillary dissection [TAD], or axillary lymph node dissection [ALND]). Axillary pCR occurred in 51.4% (74/144). In a multivariable analysis, independent positive determinants of ypN0 included the triple-negative subtype, Modified PERCIST (SUVmax-based) reduction ≥ 80.70%, pre-NAST tumor-to-axilla SUVmax ratio ≥ 1.21, and residual breast tumor size < 0.5 mm; conversely, conglomerate/matted nodal morphology at diagnosis was inversely associated. The model showed good internal discrimination (AUC 0.857, 95% CI 0.797–0.917) and acceptable calibration (Hosmer–Lemeshow p = 0.425). Exploratory, subtype-restricted signals were observed for inflammatory indices within Luminal B (HER2+) but were not retained in the final model. The resulting nomogram—combining tumor biology, PET/CT response, and pre-NAST nodal features—may support risk stratification for axillary de-escalation after NAST; however, prospective external validation—ideally embedded in ongoing de-escalation frameworks—remains essential before clinical implementation, and the tool should currently be regarded as hypothesis-generating rather than a stand-alone decision aid for routine practice. Full article
Show Figures

Graphical abstract

17 pages, 605 KB  
Article
Predicting Galactic OH Masers from Dense Clump Properties with Neural Networks and Generalized Linear Models
by Dmitry A. Ladeyschikov, Elena A. Filonova and Anton I. Vasyunin
Galaxies 2025, 13(6), 130; https://doi.org/10.3390/galaxies13060130 - 26 Nov 2025
Viewed by 493
Abstract
We develop predictive models for OH maser occurrence in Galactic star-forming regions by integrating dense-clump physical properties from the APEX Telescope Large Area Survey of the Galaxy (ATLASGAL) and Herschel Infrared Galactic Plane Survey (Hi-GAL) 360° catalogs with maser detections and non-detections compiled [...] Read more.
We develop predictive models for OH maser occurrence in Galactic star-forming regions by integrating dense-clump physical properties from the APEX Telescope Large Area Survey of the Galaxy (ATLASGAL) and Herschel Infrared Galactic Plane Survey (Hi-GAL) 360° catalogs with maser detections and non-detections compiled in the MaserDB.net database. We compare two predictive modeling approaches for Galactic OH maser incidence: a Generalized Linear Model (GLM; logistic regression) and a compact Keras-based binary neural network (BNN). For the 1665/1667 MHz lines, both models achieve recall of 90% with a precision of approximately 50%, while for the excited-state 6031/6035 MHz lines, precision reaches roughly 20% at the same recall. We found no statistically significant difference between the BNN and GLM in out-of-sample performance. This implies that maser occurrence may be expressed as a monotonic trend without requiring nonlinear interactions. Across different catalogs and transition lines, luminosity, luminosity-to-mass ratio (L/M), dust temperature, and H2 column, surface, and volume densities are the most influential features for maser prediction. These variables support a physical picture in which radiative pumping favors warm, luminous, and compact clump environments. We provide an accessible online tool that allows users to predict the likelihood of OH maser emission toward ATLASGAL or Hi-GAL sources based on coordinate lists. Full article
Show Figures

Figure 1

17 pages, 4433 KB  
Article
Rational Design of Amino Acid-Modified Halide Perovskites for Highly Efficient and Cost-Effective Light-Emitting Diodes
by Hongyu Chen and Mingxia Qiu
Materials 2025, 18(21), 4982; https://doi.org/10.3390/ma18214982 - 31 Oct 2025
Viewed by 500
Abstract
Formamidinium lead bromide (FAPbBr3) quantum dots (QDs) have shown potential in light-emitting diodes (LEDs). However, their performance is constrained by surface defects and the limitations of charge transport. Zwitterionic ligands, owing to their twin functions of Lewis base coordination and electrostatic [...] Read more.
Formamidinium lead bromide (FAPbBr3) quantum dots (QDs) have shown potential in light-emitting diodes (LEDs). However, their performance is constrained by surface defects and the limitations of charge transport. Zwitterionic ligands, owing to their twin functions of Lewis base coordination and electrostatic compensation, passivate surface defects of perovskite QDs. Some other zwitterionic ligands are high-cost, while amino acids, as zwitterionic ligands, are inexpensive, readily available, and have efficient passivation capabilities. Their short main chain and programmable side chain can control the volume and dipole at Å-scale range through functional group selection and feed ratio regulation, achieving interface energy level engineering. This work adopts green-emitting FAPbBr3 QDs as the model, tuning ligand properties by modifying side-chain functional groups, thereby achieving PLQY of 87.2%. Experimental results and DFT reveal that amino acids preferentially undergo coordination and can be further fine-tuned through conjugated contacts. Without severe site competition and without affecting coordination occupation and ligand uniformity, the EQE reaches 5.6% and the luminance exceeds 9000 cd/m2. This low-cost technology is easily scalable and broadly manufacturable, providing a replicable material and interface design route for green zone perovskite LEDs. Full article
(This article belongs to the Section Advanced Nanomaterials and Nanotechnology)
Show Figures

Figure 1

19 pages, 6904 KB  
Article
Dual-Mode Aptamer AP1-F Achieves Molecular–Morphological Precision in Cancer Diagnostics via Membrane NCL Targeting
by Zhenglin Yang, Lingwei Wang, Chaoda Xiao and Xiangchun Shen
Curr. Issues Mol. Biol. 2025, 47(11), 904; https://doi.org/10.3390/cimb47110904 - 30 Oct 2025
Viewed by 558
Abstract
Nucleic acid aptamers leverage defined tertiary structures for precise molecular recognition, positioning them as transformative biomedical tools. We engineered AP1-F, a G-quadruplex (G4)-structured aptamer that selectively binds membrane-anchored nucleolin (NCL) non-permeabilizing, overcoming a key limitation of conventional probes. Microscale thermophoresis confirmed nanomolar affinity [...] Read more.
Nucleic acid aptamers leverage defined tertiary structures for precise molecular recognition, positioning them as transformative biomedical tools. We engineered AP1-F, a G-quadruplex (G4)-structured aptamer that selectively binds membrane-anchored nucleolin (NCL) non-permeabilizing, overcoming a key limitation of conventional probes. Microscale thermophoresis confirmed nanomolar affinity to NCL. By means of rigorous optimization, AP1-F attained a greater than ten-fold fluorescence signal ratio between malignant and normal cells in co-cultures, exceeding the extensively researched AS1411. Dual-channel flow cytometry demonstrated over 98.78% specificity at single-cell resolution within heterogeneous cell populations, owing to AP1-F’s unique membrane localization—unlike AS1411’s intracellular uptake, which elicited erroneous signals from cytoplasmic NCL. Competitive binding experiments and Laser Confocal Imaging confirmed that AP1-F specifically identifies cancer cells by binding to the NCL recognition site on the membrane. In pathological sections, AP1-F exhibited a 40.5-fold fluorescence intensity ratio between tumor and normal tissue, facilitating accurate tissue-level differentiation. Significantly, it delineated molecular subtypes by associating membrane NCL patterns with morphometric analysis: luminal-like MCF-7 displayed consistent staining in cohesive clusters, whereas basal-like MDA-MB-468 revealed sporadic NCL with irregular outlines—characteristics imperceptible to intracellular-targeted antibodies, thus offering subtype-specific diagnostic insights. This combination biochemical–morphological approach accomplished subtype differentiation with a single-step, non-permeabilized process that maintained lower cytotoxicity and tissue integrity. AP1-F enhances diagnostic accuracy by utilizing spatial confinement to eradicate intracellular interference, connecting molecular specificity to intraoperative margin evaluation or biopsy categorization. Full article
(This article belongs to the Section Biochemistry, Molecular and Cellular Biology)
Show Figures

Figure 1

12 pages, 4400 KB  
Article
A Pilot Study on Structural Changes of Choroidal Vasculature Following Intravitreal Anti-VEGF Injection in Neovascular Age-Related Macular Degeneration: Faricimab vs Ranibizumab
by Takeyuki Nishiyama, Hiromasa Hirai, Kimie Miyata, Tomo Nishi, Tetsuo Ueda and Satoru Kase
J. Clin. Med. 2025, 14(20), 7257; https://doi.org/10.3390/jcm14207257 - 14 Oct 2025
Viewed by 1029
Abstract
Objectives: This paper aims to explore optical coherence tomography (OCT)-based choroidal vascular changes in patients with neovascular age-related macular degeneration (nAMD) treated with anti-vascular endothelial growth factor (VEGF) agents, faricimab and ranibizumab, in a pilot study. Methods: This retrospective pilot cohort [...] Read more.
Objectives: This paper aims to explore optical coherence tomography (OCT)-based choroidal vascular changes in patients with neovascular age-related macular degeneration (nAMD) treated with anti-vascular endothelial growth factor (VEGF) agents, faricimab and ranibizumab, in a pilot study. Methods: This retrospective pilot cohort study enrolled 28 treatment-naïve nAMD patients who received three consecutive intravitreal anti-VEGF injections at Nara Medical University Hospital. In total, 17 patients (61%) were Type 1 MNV and 11 patients (39%) were Type 2 MNV. Patients were divided into a faricimab group (13 eyes) and a ranibizumab group (15 eyes). The type of macular neovascularization (MNV) and the presence of polyps were recorded. The central choroidal thickness (CCT) and the ratio of luminal area to choroidal area (L/C ratio), derived from binarized OCT images, were measured at baseline after the first and third injections. Results: Type 1 MNV was observed in 61% of eyes, with polyps confirmed in 53%. There was no significant difference in best corrected visual acuity (BCVA) for both faricimab and ranibizumab during treatment (p = 0.12, 0.94, respectively). After the third injection, a dry macula was achieved in 62% of the faricimab group and 60% of the ranibizumab group. In the ranibizumab group, CCT significantly decreased after the first injection, while no significant change was observed in the faricimab group. Conversely, the L/C ratio significantly decreased in the faricimab group after the third injection (p = 0.010). Among faricimab-treated eyes, those with type 1 MNV showed a significantly greater reduction in the L/C ratio compared to type 2 MNV (p = 0.017). Conclusions: This pilot study suggests that faricimab may exert combined anti-VEGF and Ang-2 effects predominantly on type 1 MNV, potentially leading to vascular constriction. These exploratory findings warrant confirmation in larger studies. Full article
(This article belongs to the Special Issue An Update on Retinal Diseases: From Diagnosis to Treatment)
Show Figures

Figure 1

36 pages, 23091 KB  
Article
Enhancing Local Contrast in Low-Light Images: A Multiscale Model with Adaptive Redistribution of Histogram Excess
by Seong-Hyun Jin, Dong-Min Son, Seung-Hwan Lee, Young-Ho Go and Sung-Hak Lee
Mathematics 2025, 13(20), 3282; https://doi.org/10.3390/math13203282 - 14 Oct 2025
Viewed by 974
Abstract
This paper presents a multiscale histogram excess-distribution strategy addressing the structural limitations (i.e., insufficient dark-region restoration, block artifacts, ringing effects, color distortion, and saturation loss) of contrast-limited adaptive histogram equalization (CLAHE) and retinex-based image-contrast enhancement techniques. This method adjusts the ratio between the [...] Read more.
This paper presents a multiscale histogram excess-distribution strategy addressing the structural limitations (i.e., insufficient dark-region restoration, block artifacts, ringing effects, color distortion, and saturation loss) of contrast-limited adaptive histogram equalization (CLAHE) and retinex-based image-contrast enhancement techniques. This method adjusts the ratio between the uniform and weighted distribution of the histogram excess based on the average tile brightness. At the coarsest scale, excess pixels are redistributed to histogram bins initially occupied by pixels, maximizing detail restoration in dark areas. For medium and fine scales, the contrast enhancement strength is adjusted according to tile brightness to preserve local luminance transitions. Scale-specific lookup tables are bilinearly interpolated and merged at the pixel level. Background restoration corrects unnatural tone compression by referencing the original image, ensuring visual consistency. A ratio-based chroma adjustment and color-restoration function compensate for saturation degradation in retinex-based approaches. An asymmetric Gaussian offset correction preserves structural information and expands the global dynamic range. The experimental results demonstrate that this method enhances local and global contrast while preserving fine details in low light and high brightness. Compared with various existing methods, this method reproduces more natural color with superior image enhancement. Full article
(This article belongs to the Special Issue Mathematical Methods for Image Processing and Understanding)
Show Figures

Figure 1

11 pages, 629 KB  
Article
Salivary BCAA, Glutamate, Glutamine and Urea as Potential Indicators of Nitrogen Metabolism Imbalance in Breast Cancer
by Elena A. Sarf and Lyudmila V. Bel’skaya
Curr. Issues Mol. Biol. 2025, 47(10), 837; https://doi.org/10.3390/cimb47100837 - 11 Oct 2025
Cited by 2 | Viewed by 858
Abstract
Nitrogen metabolism in the human body is in a strictly balanced state, which is disturbed in pathologies, including breast cancer. The state of nitrogen balance can be judged by the content of urea and the amount of branched-chain amino acids (BCAAs) (Val, Leu, [...] Read more.
Nitrogen metabolism in the human body is in a strictly balanced state, which is disturbed in pathologies, including breast cancer. The state of nitrogen balance can be judged by the content of urea and the amount of branched-chain amino acids (BCAAs) (Val, Leu, and Ile), glutamine (Gln), and glutamate (Glu). The study involved 1438 people, including patients with breast cancer (n = 543), fibroadenomas (n = 597), and healthy controls (n = 298). Saliva samples were collected from all patients before treatment, and urea levels were determined in all 1438 samples. Salivary levels of BCAAs, Gln, and Glu were determined in 116 patients with breast cancer, 24 with fibroadenomas, and 25 healthy volunteers. An increase in the concentration of urea in saliva was shown in breast cancer, most pronounced in luminal molecular biological subtypes: luminal A 10.46 [7.69; 12.62] mmol/L (p < 0.0001), luminal B HER2-negative 9.52 [6.72; 12.52] mmol/L (p = 0.0198), and luminal B HER2-positive 8.26 [5.27; 12.07] mmol/L. The Gln/Glu ratio increased in the saliva of the control group (5.43 [3.30; 10.5]) compared with breast cancer (2.22 [0.84; 5.40], p = 0.0094) and fibroadenomas (1.94 [0.89; 6.05], p = 0.0184). For luminal B HER2-positive and TNBC, the Gln/Glu ratio increased sharply to 8.23 [3.24; 10.9] (p = 0.0327) and 11.2 [4.28; 15.2] (p < 0.0001) compared with healthy controls. Thus, an increased Gln/Glu ratio in saliva may characterize a more aggressive subtype of breast cancer. Full article
(This article belongs to the Special Issue Early Molecular Diagnosis and Comprehensive Treatment of Tumors)
Show Figures

Graphical abstract

17 pages, 3222 KB  
Article
The Influences of Bright–Dark Lighting Environments on Driving Safety in the Diverging Zone of Interchange in Highway Tunnels
by Zechao Zhang, Jiangbi Hu, Ronghua Wang and Changqiu Jiang
Appl. Sci. 2025, 15(18), 10067; https://doi.org/10.3390/app151810067 - 15 Sep 2025
Viewed by 618
Abstract
Increasing the lighting luminance in the diverging zone of interchange in highway tunnels can generally enhance driving safety. However, it creates a bright–dark luminance contrast with the adjacent road. A pronounced contrast can induce new driving risks. This underlying mechanism remains unclear. Three [...] Read more.
Increasing the lighting luminance in the diverging zone of interchange in highway tunnels can generally enhance driving safety. However, it creates a bright–dark luminance contrast with the adjacent road. A pronounced contrast can induce new driving risks. This underlying mechanism remains unclear. Three key factors, i.e., the luminance of the dark environment, the bright–dark luminance ratio, and the position of the small target, are identified in this paper, which affect drivers’ visual recognition abilities. Based on fundamental tunnel lighting design rules, a series of naturalistic driving tests on the visual recognition distance for small targets with 132 conditions were designed. It combined three dark environment luminance levels (1.5~3.5 cd/m2), four bright–dark luminance ratios (2~5), and eleven small target positions (−50~+50 m). Twenty-four drivers were randomly selected and drove vehicles under the different scenarios. Their visual recognition distances for small targets were recorded and analyzed. The results show that visual recognition distances for small target visuals under different bright–dark lighting environments vary significantly, and the shortest distances occur exactly at the luminance boundary. Both decreasing the bright–dark luminance ratio and proportionally increasing the luminance levels of the bright and dark environments can markedly improve the visual recognition distance. A multi-parameter regression model was developed to correlate the visual recognition distance at the bright–dark luminance boundary with the luminance of the dark environment and the bright–dark luminance ratio. Based on drivers’ required safe sight distance, a method for setting lighting luminance in the diverging zone of interchange was proposed. The methodology and findings offer technical support for lighting design and safety management in the diverging zone of interchange in highway tunnels. Full article
Show Figures

Figure 1

16 pages, 2431 KB  
Article
Visual Performance and Photobiological Effects of White LED Systems Based on Spectral Compensation
by Xuehua Shen, Huanting Chen, Bin Chen, Xiaoxi Ji and Fangming Qin
Photonics 2025, 12(9), 917; https://doi.org/10.3390/photonics12090917 - 14 Sep 2025
Viewed by 801
Abstract
The visual performance and photobiological effects of white LED systems based on spectral compensation are discussed, specifically focusing on the total optical power, the ratio of scotopic vision luminous flux to photopic vision luminous flux (S/P), the blue light hazard (BLH), and the [...] Read more.
The visual performance and photobiological effects of white LED systems based on spectral compensation are discussed, specifically focusing on the total optical power, the ratio of scotopic vision luminous flux to photopic vision luminous flux (S/P), the blue light hazard (BLH), and the circadian action factor (CAF). Theoretical models are established by integrating the spectral power distribution (SPD) with spectral sensitivity functions associated with the human visual system, and meanwhile, the impacts of LEDs’ electro-thermal characteristics on the mixed spectral structure and optical properties are analyzed. As experimental results demonstrate, an excellent agreement is shown between the calculated and measured values of the total optical power, S/P, BLH, and CAF, in terms of both values and variation trends. These proposed models are expected to serve as effective tools for understanding the visual perception and non-visual biological effects in specific illumination environments. Moreover, they can offer valuable reference frameworks for the development of lighting solutions that are more human-centered and health-oriented. Full article
Show Figures

Figure 1

15 pages, 1934 KB  
Article
Changes in Choroidal Structure Associated with Idiopathic Macular Hole Border Morphology
by Hiroaki Endo, Hiroto Terasaki, Shozo Sonoda, Yuki Ito, Satoshi Katsuta and Satoru Kase
J. Clin. Med. 2025, 14(18), 6362; https://doi.org/10.3390/jcm14186362 - 9 Sep 2025
Viewed by 1165
Abstract
Objectives: To investigate the association between the hole border morphology and choroidal structure in idiopathic macular hole (IMH) patients and its impact on visual outcomes. Methods: A retrospective case–control study of 34 IMH eyes and 34 control eyes was conducted. Spectral-domain [...] Read more.
Objectives: To investigate the association between the hole border morphology and choroidal structure in idiopathic macular hole (IMH) patients and its impact on visual outcomes. Methods: A retrospective case–control study of 34 IMH eyes and 34 control eyes was conducted. Spectral-domain optical coherence tomography (SD-OCT) was used to categorize the patients into groups with smooth or bumpy hole borders. Based on this classification, a further evaluation was conducted of MH morphology and choroidal structure, both before a vitrectomy and at 1 and 2 months post-surgery. The choriocapillaris, Sattler’s layer, and Haller’s layer were the divisions of each choroidal vascular layer. Then, binarization techniques were employed to calculate the choroidal area (CA), luminal area (LA), stromal area (SA), and central choroidal thickness (CCT). The L/C ratio was established as the ratio of LA to CA. Results: In the patients with IMH, the choroidal structure was associated with the morphology of the hole border. In particular, the eyes with bumpy hole borders were significantly correlated with reduced choroidal thickness and total choroidal area, as well as a reduced L/C ratio in the choriocapillaris. After surgery, visual acuity improved in both groups, but the patients with smooth hole borders achieved earlier and higher levels of visual recovery. The multivariate analysis suggested that a bumpy hole border and the basal hole diameter were independent predictors of postoperative choriocapillaris recovery. Conclusions: Bumpy idiopathic macular hole borders are associated with impaired choroidal vasculatures, particularly in the choriocapillaris, which may be a contributing factor to delayed visual acuity recovery post-surgery. Full article
(This article belongs to the Section Ophthalmology)
Show Figures

Figure 1

15 pages, 2913 KB  
Article
Chemical Deposition Method for Preparing VO2@AlF3 Core–Shell-Structured Nanospheres for Smart Temperature-Control Coating
by Lingfeng Jiang, Yifei Chen, Haiyan Liu, Haoning Zhang and Li Zhao
Coatings 2025, 15(9), 1045; https://doi.org/10.3390/coatings15091045 - 6 Sep 2025
Viewed by 1038
Abstract
Vanadium dioxide (VO2) has become one of the most promising smart temperature-controlled thin-film materials due to its reversible phase transition between a metallic and an insulating state at approximately 68 °C, accompanied by negligible volume change and excellent optical modulation properties. [...] Read more.
Vanadium dioxide (VO2) has become one of the most promising smart temperature-controlled thin-film materials due to its reversible phase transition between a metallic and an insulating state at approximately 68 °C, accompanied by negligible volume change and excellent optical modulation properties. However, the practical application of VO2 is still limited by its relatively high phase transition temperature and susceptibility to oxidation. To address these two major shortcomings, this study employed a one-step hydrothermal method to prepare a VO2 nanopowder, followed by a chemical precipitation method to form a VO2@AlF3 core–shell structure. The coated nanoparticles were then dispersed in a PVP ethanol solution, coated onto a glass substrate, and evaluated for performance. The experimental results indicate that when the molar ratio of VO2 to AlF3 reached 1:1, the phase transition temperature of VO2@AlF3 was effectively reduced to 50.3 °C, significantly lower than the original temperature of 68 °C. Additionally, the material exhibited favorable optical properties, with a solar modulation ability (ΔTsol) of 17.2% and a luminous transmittance (Tlum) of 36.3%. After calcination in air at 300 °C for 3–6 h, the VO2 core remained oxidation-resistant and maintained excellent phase-change thermal insulation properties. Full article
(This article belongs to the Special Issue Chemical Vapor Deposition (CVD): Technology and Applications)
Show Figures

Figure 1

52 pages, 10321 KB  
Article
Prognostic Significance of WWOX/HIF1A Ratio in Cancer Subtypes: Insights into Metabolism, ECM, and EMT
by Izabela Baryła, Raneem Y. Hammouz, Kinga Maciejek and Andrzej K. Bednarek
Biology 2025, 14(9), 1151; https://doi.org/10.3390/biology14091151 - 1 Sep 2025
Viewed by 1076
Abstract
WWOX and HIF1α proteins are involved in cancer progression; their functions are closely related. WWOX binds HIF1α through its WW domains, sequestering it in the cytoplasm and inhibiting its transcriptional activity. This study evaluates the prognostic significance of the WWOX/HIF1A interaction [...] Read more.
WWOX and HIF1α proteins are involved in cancer progression; their functions are closely related. WWOX binds HIF1α through its WW domains, sequestering it in the cytoplasm and inhibiting its transcriptional activity. This study evaluates the prognostic significance of the WWOX/HIF1A interaction across cancers, breast cancer subtypes, glioblastoma (GBM), low-grade glioma (LGG), and hepatocellular carcinoma (HCC) through gene expression and pathway analysis focused on metabolism, ECM, and epithelial–mesenchymal transition. In breast cancer, metabolic pathways correlated with good prognosis in basal subtypes. HER2 subtypes showed enrichment in DNA replication pathways. Luminal A subtypes showed favourable prognosis via TNF and PI3K/AKT signalling, while luminal B subtypes had poor prognosis tied to metabolic activity; genes associated with good prognosis mirrored those tied to poor prognosis in luminal A. In HCC, enhanced metabolic activity was associated with good prognosis. In contrast, poor prognosis involved TNF signalling and cytoskeleton-related pathways, indicating more aggressive tumour behaviour. In LGG, good prognosis was linked to metabolic and cAMP pathways, while poor outcomes involved TNF, cell cycle, apoptosis, and focal adhesion pathways. GBM showed similar patterns: metabolic and cAMP pathways indicated better outcomes, while NFKB, TNF, JAK-STAT, and PI3K/AKT pathways marked poor prognosis. These findings suggest the WWOX/HIF1A ratio is a robust prognostic marker and a possible guide for developing targeted treatments. Full article
(This article belongs to the Section Cancer Biology)
Show Figures

Figure 1

28 pages, 9605 KB  
Article
Integrating Sustainable Lighting into Urban Green Space Management: A Case Study of Light Pollution in Polish Urban Parks
by Grzegorz Iwanicki, Tomasz Ściężor, Przemysław Tabaka, Andrzej Z. Kotarba, Mieczysław Kunz, Dominika Daab, Anna Kołton, Sylwester Kołomański, Anna Dłużewska and Karolina Skorb
Sustainability 2025, 17(17), 7833; https://doi.org/10.3390/su17177833 - 30 Aug 2025
Cited by 1 | Viewed by 1526
Abstract
Urban parks often represent the last viable habitats for wildlife in city centres, functioning as crucial refuges and biodiversity hotspots for a wide array of plant and animal species. This study investigates the issue of light pollution in urban parks in selected Polish [...] Read more.
Urban parks often represent the last viable habitats for wildlife in city centres, functioning as crucial refuges and biodiversity hotspots for a wide array of plant and animal species. This study investigates the issue of light pollution in urban parks in selected Polish cities from the perspective of sustainable urban development and dark-sky friendly ordinances. Field data conducted in 2024 and 2025 include measurements of Upward Light Output Ratio (ULOR), illuminance, luminance, correlated colour temperature (CCT), and spectral characteristics of light sources. In addition, an analysis of changes in the level of light pollution in the studied parks and their surroundings between 2012 and 2025 was performed using data from the VIIRS (Visible Infrared Imaging Radiometer Suite) located on the Suomi NPP satellite. Results highlight the mismatch between sustainable development objectives and the current practice of lighting in most of the analysed parks. The study emphasises the need for better integration of light pollution mitigation in urban spatial policies and provides recommendations for environmentally and socially responsible lighting design in urban parks. Full article
(This article belongs to the Special Issue Urban Social Space and Sustainable Development—2nd Edition)
Show Figures

Figure 1

19 pages, 20497 KB  
Article
Attention-Edge-Assisted Neural HDRI Based on Registered Extreme-Exposure-Ratio Images
by Yi Yang, Shuangxi Gao, Longzhang Ke and Xiaojun Liu
Symmetry 2025, 17(9), 1381; https://doi.org/10.3390/sym17091381 - 24 Aug 2025
Viewed by 652
Abstract
In order to improve image visual quality in high dynamic range (HDR) scenes while avoiding motion ghosting artifacts caused by exposure time differences, innovative image sensors captured two registered extreme-exposure-ratio (EER) image pairs with complementary and symmetric exposure configurations for high dynamic range [...] Read more.
In order to improve image visual quality in high dynamic range (HDR) scenes while avoiding motion ghosting artifacts caused by exposure time differences, innovative image sensors captured two registered extreme-exposure-ratio (EER) image pairs with complementary and symmetric exposure configurations for high dynamic range imaging (HDRI). However, existing multi-exposure fusion (MEF) algorithms suffer from luminance inversion artifacts in overexposed and underexposed regions when directly combining such EER image pairs. This paper proposes a neural network-based framework for HDRI based on attention mechanisms and edge assistance to recover missing luminance information. The framework derives local luminance representations from a convolution kernel perspective, and subsequently refines the global luminance order in the fused image using a Transformer-based residual group. To support the two-stage process, multi-scale channel features are extracted from a double-attention mechanism, while edge cues are incorporated to enhance detail preservation in both highlight and shadow regions. The experimental results validate that the proposed framework can alleviate luminance inversion in HDRI when inputs are two EER images, and maintain fine structural details in complex HDR scenes. Full article
(This article belongs to the Section Computer)
Show Figures

Figure 1

Back to TopTop