Numerical Investigation of Local Scour Below a Submarine Pipeline on Sand Wave Seabeds Under Current Conditions
Abstract
1. Introduction
2. Model Description and Validation
2.1. Flow Model
2.2. Sediment Transport Model
2.3. Model Setup and Mesh Sensitivity Analysis
2.4. Model Validation
3. Numerical Results and Discussions
3.1. Scour Below a Pipeline on Plane Seabed
3.2. Local Scour Patterns of Pipelines on Sand Wave Seabed
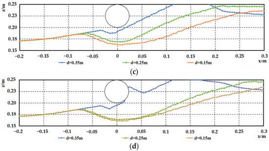
3.3. Effects of the Water Depth Under Sand Wave Seabed Case
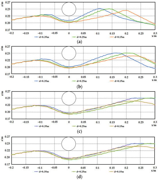
3.4. Flow Field and Bed Shear Stress
4. Conclusions
Author Contributions
Funding
Data Availability Statement
Acknowledgments
Conflicts of Interest
References
- Song, Q.; Liu, J.; Gao, F. Very high cycle fatigue life of free-spanning subsea pipeline subjected to vortex-induced vibrations. J. Mar. Sci. Eng. 2024, 12, 1556. [Google Scholar] [CrossRef]
- Fu, C.; Wang, P.; Zhao, T.; Li, G. Allowable span length of submarine pipeline in shallow water. Mar. Georesour. Geotechnol. 2018, 36, 532–539. [Google Scholar] [CrossRef]
- Lin, A.; Hu, Y.; Lin, G. Progress and perspective of submarine sand waves researches. Adv. Geophys. 2017, 32, 1366–1377. [Google Scholar]
- Wang, C.; Sun, Y.F.; Liu, Z.W. Experiment on formation and migration of submarine sand waves under current conditions. Adv. Mar. Sci. 2020, 38, 688–696. [Google Scholar]
- Sumer, B.M.; Truelsen, C.; Sichmann, T.; Fredsøe, J. Onset of scour below pipelines and self-burial. Coast. Eng. 2001, 42, 313–335. [Google Scholar] [CrossRef]
- Myrhaug, D.; Rue, H. Scour below pipelines and around vertical piles in random waves. Coast. Eng. 2003, 48, 227–242. [Google Scholar] [CrossRef]
- Zang, Z.P.; Cheng, L.; Zhao, M.; Liang, D.F.; Teng, B. A numerical model for onset of scour below offshore pipelines. Coast. Eng. 2009, 56, 458–466. [Google Scholar] [CrossRef]
- Han, Y. Study on the Erosion and Protecting Technique for Submarine Pipeline. Master’s Thesis, Ocean University of China, Qingdao, China, 2010. [Google Scholar]
- Yang, L. Study on the Scour and Protection Technology for Submarine Pipeline Under Wave Condition. Master’s Thesis, Ocean University of China, Qingdao, China, 2012. [Google Scholar]
- Cheng, L.; Li, F. Modelling of local scour below a sagging pipeline. Coast. Eng. J. 2011, 45, 189–210. [Google Scholar] [CrossRef]
- Draper, S.; An, H.; Cheng, L.; White, D.J.; Griffiths, T. Stability of subsea pipelines during large storms. Philos. Trans. R. Soc. A 2015, 373, 20140106. [Google Scholar] [CrossRef] [PubMed]
- Zhao, M.; Vaidya, S.; Zhang, Q.; Cheng, L. Local scour around two pipelines in tandem in steady current. Coast. Eng. 2015, 98, 1–15. [Google Scholar] [CrossRef]
- Gao, F.P.; Yang, B.; Wu, Y.X.; Yan, S.M. Steady current induced seabed scour around a vibrating pipeline. Appl. Ocean Res. 2006, 28, 291–298. [Google Scholar] [CrossRef]
- Brørs, B. Numerical modeling of flow and scour at pipelines. J. Hydraul. Eng. 1999, 125, 511–523. [Google Scholar] [CrossRef]
- Van Beek, F.A.; Wind, H.G. Numerical modelling of erosion and sedimentation around offshore pipelines. Coast. Eng. 1990, 14, 107–128. [Google Scholar] [CrossRef]
- Liang, D.; Cheng, L.; Li, F. Numerical modeling of flow and scour below a pipeline in currents: Part II. Scour simulation. Coast. Eng. 2005, 52, 43–62. [Google Scholar] [CrossRef]
- Cheng, L.; Zhao, M. Numerical model for three-dimensional scour below a pipeline in steady currents. In Proceedings of the International Conference on Scour and Erosion (ICSE-5), San Francisco, CA, USA, 7–10 November 2010; pp. 33–42. [Google Scholar]
- Scandura, P.; Armenio, V.; Foti, E. Numerical investigation of the oscillatory flow around a circular cylinder close to a wall at moderate Keulegan–Carpenter and low Reynolds numbers. J. Fluid Mech. 2009, 627, 259–290. [Google Scholar] [CrossRef]
- Xu, F. Numerical Modeling of Local Scour Beneath Offshore Pipeline (Pile) in Steady Currents. Master’s Thesis, Shanghai Jiao Tong University, Shanghai, China, 2017. [Google Scholar]
- Wang, Z.; Liang, B.; Wu, G. Experimental investigation on characteristics of sand waves with fine sand under waves and currents. Water 2019, 11, 612. [Google Scholar] [CrossRef]
- Flemming, B.W. Zur Klassifikation subaquatischer, strömungstransversaler Transportkörper. Boch. Geol. Geotech. Arb. 1988, 29, 44–47. [Google Scholar]
- Mao, Y. The Interaction Between a Pipeline and an Erodible Bed. Ph.D. Thesis, Technical University of Denmark, Lyngby, Denmark, 1986. [Google Scholar]
- Kjeldsen, S.P.; Gjorsvik, O.; Bringaker, K.G.; Jacobsen, J. Local scour near offshore pipelines. In Proceedings of the Port and Ocean Engineering Under Arctic Conditions (POAC), Reykjavík, Iceland, 27–30 August 1973; pp. 308–331. [Google Scholar]
- Bijker, E.W.; Leeuwestein, W. Interaction between pipelines and the seabed under the influence of waves and currents. In Seabed Mech; Springer: Dordrecht, The Netherlands, 1984; pp. 235–242. [Google Scholar]
- Zhao, M.; Xu, Z.; Cheng, L. Numerical investigation of scale effects in modelling scour below offshore pipelines under steady currents. In Proceedings of the ASME 2011 30th International Conference on Ocean, Offshore and Arctic Engineering, Rotterdam, The Netherlands, 19–24 June 2011. [Google Scholar]
- Mao, Y. Seabed scour under pipelines. In Proceedings of the Seventh International Conference on Offshore Mechanics and Arctic Engineering, Houston, TX, USA, 7–12 February 1988; Volume 5, pp. 33–38. [Google Scholar]
- Best, J. The fluid dynamics of river dunes: A review and some future research directions. J. Geophys. Res. Earth Surf. 2005, 110, F04S02. [Google Scholar] [CrossRef]
- Mueller, A.; Sumer, B.M. Mechanics of Sediment Transport; Taylor and Francis: Abingdon, UK, 1983. [Google Scholar]































| Case Number | Inlet Velocity u0 (m/s) | Pipe Diameter D (m) | Water Depth d (m) | Diameter-to-Depth Ratio | Pipe Reynolds Number Re |
|---|---|---|---|---|---|
| 1 | 0.35 | 0.1 | 0.35 | 0.286 | 3.47 × 104 |
| 2 | 0.35 | 0.08 | 0.35 | 0.229 | 2.77 × 104 |
| 3 | 0.35 | 0.05 | 0.35 | 0.143 | 1.73 × 104 |
| 4 | 0.35 | 0.05 | 0.25 | 0.200 | 1.73 × 104 |
| 5 | 0.35 | 0.05 | 0.15 | 0.333 | 1.73 × 104 |
Disclaimer/Publisher’s Note: The statements, opinions and data contained in all publications are solely those of the individual author(s) and contributor(s) and not of MDPI and/or the editor(s). MDPI and/or the editor(s) disclaim responsibility for any injury to people or property resulting from any ideas, methods, instructions or products referred to in the content. |
© 2025 by the authors. Licensee MDPI, Basel, Switzerland. This article is an open access article distributed under the terms and conditions of the Creative Commons Attribution (CC BY) license (https://creativecommons.org/licenses/by/4.0/).
Share and Cite
Zang, Z.; Fan, W.; Hu, C. Numerical Investigation of Local Scour Below a Submarine Pipeline on Sand Wave Seabeds Under Current Conditions. Water 2025, 17, 3279. https://doi.org/10.3390/w17223279
Zang Z, Fan W, Hu C. Numerical Investigation of Local Scour Below a Submarine Pipeline on Sand Wave Seabeds Under Current Conditions. Water. 2025; 17(22):3279. https://doi.org/10.3390/w17223279
Chicago/Turabian StyleZang, Zhipeng, Wenjun Fan, and Cun Hu. 2025. "Numerical Investigation of Local Scour Below a Submarine Pipeline on Sand Wave Seabeds Under Current Conditions" Water 17, no. 22: 3279. https://doi.org/10.3390/w17223279
APA StyleZang, Z., Fan, W., & Hu, C. (2025). Numerical Investigation of Local Scour Below a Submarine Pipeline on Sand Wave Seabeds Under Current Conditions. Water, 17(22), 3279. https://doi.org/10.3390/w17223279

