Experimental Study on Seabed Stability Around an Offshore Pipeline Under Waves and Currents: Local Scour and Pore-Water Pressure
Abstract
1. Introduction
- (1)
- This study investigates the evolutionary characteristics of the three-dimensional scouring morphology in the vicinity of a submarine pipeline under the combined action of waves and currents. Specifically, it focuses on the longitudinal expansion process of scour holes and their spatial evolution laws under the condition of oblique incoming flow.
- (2)
- This study investigates the relationship between the development of the local scour process beneath the pipeline and the dynamic pore-water pressure, along with the specific characteristics of the pore-water pressure at different stages of scour.
2. Experiment Design
2.1. Experimental Facility and Setup
2.2. Soil Sample
2.3. Experimental Conditions
2.4. Experimental Process
3. Results and Discussions
3.1. Hydrodynamics Around the Pipeline
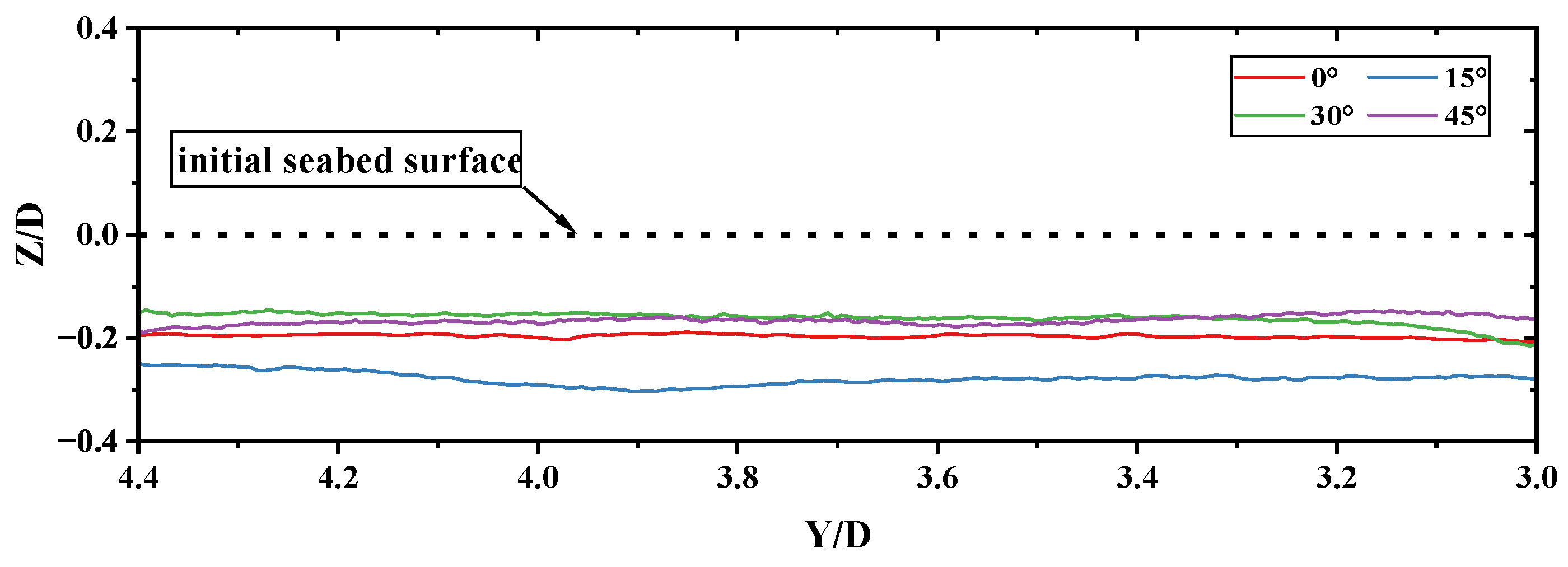
3.2. Scour Topography
3.3. Pore-Water Pressure in Seabed Areas Around the Pipelines
3.4. Variation of Pore-Water Pressure During Scour Process
4. Conclusions
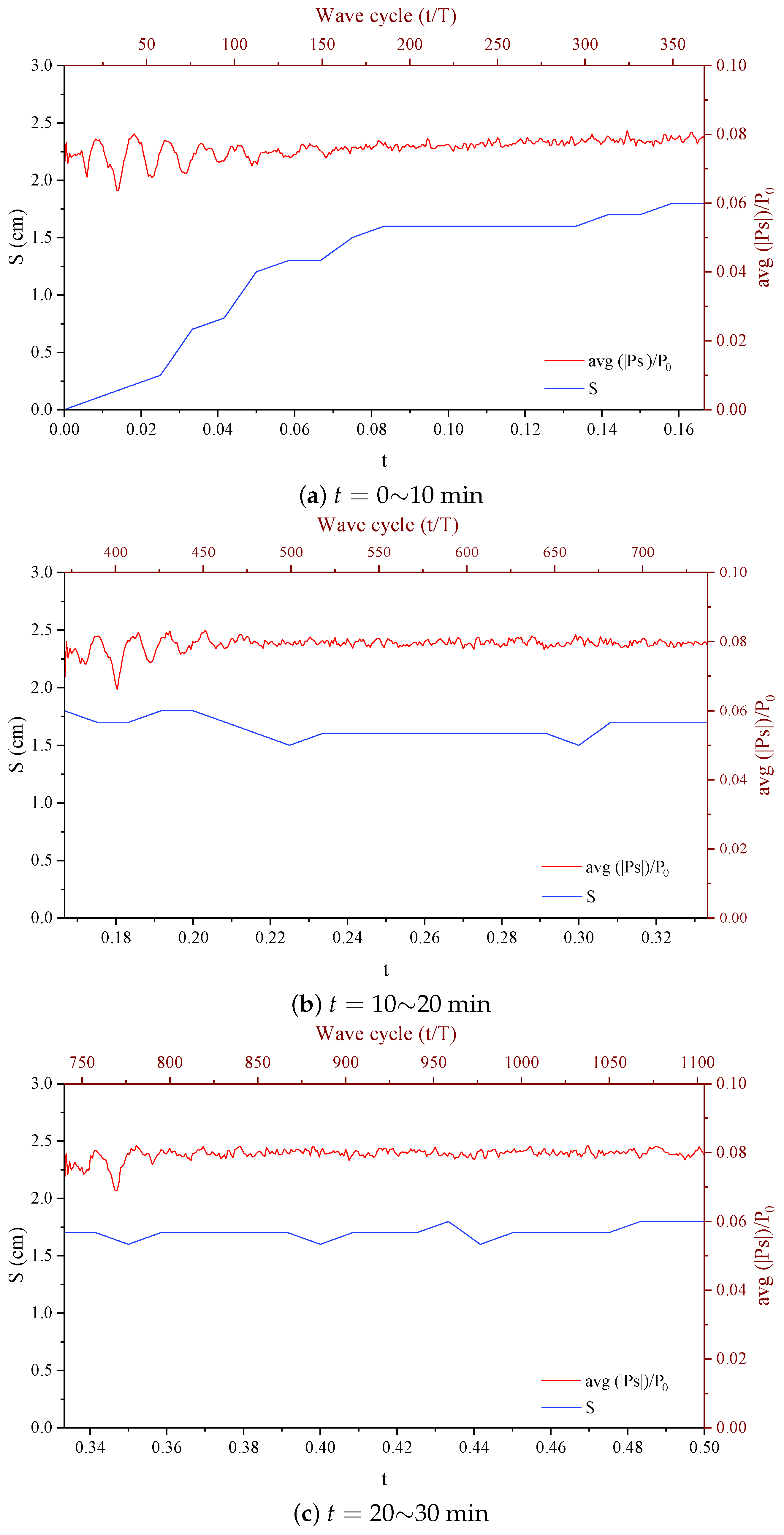
- (1)
- The scour response of the sandy seabed is rapid and exhibits short-term stability. The experimental data indicate that the scouring process in a sandy seabed around the pipelines progresses rapidly and the entire scouring process reaches a stable state in 30 min. The maximum scouring depth invariably appears directly below the pipeline and is insensitive to variations in the current direction, suggesting that the vortex structure and local shear stress at the bottom of the pipeline are the crucial dynamic mechanisms governing the development of scouring.
- (2)
- The scouring process manifests distinct stage-specific characteristics. In the initial stage (0–10 min), the destruction of the soil structure is most intense during this period. The pore-water pressure responds significantly and the vertical depth of the scour pit increases rapidly. It essentially reaches a stable state within the first 10 min, suggesting that the sandy seabed has relatively weak anti-scouring capabilities and is highly sensitive to the influence of water flow. In the later stage (10–30 min), the scouring morphology is predominantly characterised by lateral expansion. The variation in vertical scouring depth gradually becomes more gentle and the system gradually approaches a dynamic equilibrium state.
- (3)
- The dynamic variation in pore-water pressure is closely associated with the scouring progression. During the initial stage of scouring, the amplitude of pore-water pressure exhibits a non-monotonic trend of “decreasing first and then increasing”, which reflects the instantaneous disruption of the soil skeleton structure and the redistribution process of pore-water pressure. Approximately 250 s after the commencement of scouring, the amplitude of pore-water pressure stabilises, indicating that the soil–fluid interaction has attained a state of dynamic equilibrium. At this juncture, the rate of scouring development decreases significantly.
- (4)
- The evolutionary process of the scouring morphology is significantly affected by the dynamic variations of pore-water pressure. During the early stage of scouring, the intense fluctuations in pore-water pressure are closely associated with the instability of the soil mass. In the subsequent stage, once the pore-water pressure stabilises, the scour pit predominantly exhibits lateral expansion. This phenomenon suggests that the dynamic changes in pore-water pressure can serve as a crucial metric for determining the development stages of scouring. Specifically, during the initial stage of scouring (the first 10 min), pore-water pressure data can be effectively utilised to identify the acceleration phase of scouring, thereby holding significant early-warning implications.
Author Contributions
Funding
Data Availability Statement
Acknowledgments
Conflicts of Interest
References
- Damgarrd, J.S.; Sumer, B.M.; Teh, T.C.; Palmer, A.; Foray, P.; Osorio, D. Guidelines for pipeline on-bottom stability on liquefied noncohesive seabeds. J. Waterw. Port Coast. Ocean Eng. 2006, 132, 300–309. [Google Scholar] [CrossRef]
- Drumond, G.P.; Pasqualino, I.P.; Pinheiro, B.C.; Estefen, S.F. Pipelines, risers and umbilicals failures: A literature review. Ocean Eng. 2018, 148, 412–425. [Google Scholar] [CrossRef]
- Wang, X.; Waqar, M.; Yan, H.; Louati, M.; Ghidaoui, M.S.; Lee, P.J.; Meniconi, S.; Brunone, B.; Karney, B. Pipeline leak localizationusing matched-field processing incorporating prior information of modeling error. Mechincal Syst. Signal Process. 2020, 143, 106849. [Google Scholar] [CrossRef]
- Meniconi, S.; Capponi, C.; Frisinghelli, M.; Brunone, B. Leak detection in a real transmission main through transient tests: Deedsand misdeeds. Water Resour. Res. 2021, 57, e2020WR027838. [Google Scholar] [CrossRef]
- Meniconi, S.; Brunone, B.; Tirello, L.; Rubin, A.; Cifrodelli, M.; Capponi, C. Transient tests for checking the trieste subsea pipeline: Toward field tests. J. Mar. Sci. Eng. 2024, 12, 374. [Google Scholar] [CrossRef]
- Meniconi, S.; Brunone, B.; Tirello, L.; Rubin, A.; Cifrodelli, M.; Capponi, C. Transient tests for checking the trieste subsea pipeline: Diving into fault detection. J. Mar. Sci. Eng. 2024, 12, 391. [Google Scholar] [CrossRef]
- Amaechi, C.V.; Hosie, G.; Reda, A. Review on subsea pipeline integrity management: An operator’s perspective. Energies 2022, 16, 98. [Google Scholar] [CrossRef]
- Sumer, B.M.; Fredsøe, J. The Mechanics of Scour in the Marine Environment; World Scientific: Hackensack, NJ, USA, 2002. [Google Scholar] [CrossRef]
- Fredsøe, J. Pipeline-seabed interaction. J. Waterw. Port Coast. Ocean Eng. 2016, 142, 03116002. [Google Scholar] [CrossRef]
- Chiew, Y.M. Mechanics of local scour around submarine pipelines. J. Hydraul. Eng. 1990, 116, 515–529. [Google Scholar] [CrossRef]
- Sumer, B.M.; Fredsøe, J. Scour below pipelines in waves. J. Waterw. Port Coast. Ocean Eng. 1990, 116, 307–323. [Google Scholar] [CrossRef]
- Fredsoe, J.; Sumer, B.M.; Arnskov, M.M. Time scale for wave/current scour below pipelines. In Proceedings of the First International Offshore and Polar Engineering Conference, Edinburgh, UK, 11–16 August 1992; pp. 13–17. [Google Scholar]
- Sumer, B.M.; Truelsen, C.; Sichmann, T.; Fredsøe, J. Onset of scour below pipelines and self-burial. Coast. Eng. 2001, 42, 313–335. [Google Scholar] [CrossRef]
- Mamoon, A.A.; Zhao, M.; Wu, H.; Keshavarzi, A.; Hu, P.; An, H. Local scour round a pipeline sleepr system under different flow directions. Coast. Eng. 2023, 183, 104335. [Google Scholar] [CrossRef]
- Van Beek, F.A.; Wind, H.G. Numerical modelling of erosion and sedimentation around offshore pipelines. Coast. Eng. 1990, 14, 107–128. [Google Scholar] [CrossRef]
- Liang, D.F.; Cheng, L. Numerical model for wave-induced scour below a submarine pipeline. J. Waterw. Port Coast. Ocean Eng. 2005, 131, 193–202. [Google Scholar] [CrossRef]
- Zhang, Y.; Zhang, S.; Li, G. Seabed scour beneath an unburied pipeline under regular waves. Mar. Georesour. Geotechnol. 2019, 37, 1247–1256. [Google Scholar] [CrossRef]
- Cheng, L.; Yeow, K.; Zang, Z.; Li, F. 3D scour below pipelines under waves and combined waves and currents. Coast. Eng. 2014, 83, 137–149. [Google Scholar] [CrossRef]
- Frame, M.; Cheng, L. Three dimensional scour below offshore pipelines. In Proceedings of the 2nd International Conference on Asian and Pacific Coasts (APAC 2003), Singapore, 28 February–4 March 2004. [Google Scholar] [CrossRef]
- Cheng, L.; Yeow, K.; Zhang, Z.; Teng, B. Three-dimensional scour below offshore pipelines in steady currents. Coast. Eng. 2009, 56, 577–590. [Google Scholar] [CrossRef]
- Wu, Y.; Chiew, Y.M. Three-dimensional scour at submarine pipelines. J. Hydraul. Eng. 2012, 138, 788–795. [Google Scholar] [CrossRef]
- Zang, Z.; Chen, Y.; Zhang, J.; Tian, Y.; Esteban, M.D. Experimental study on local scour and onset of VIV of a pipeline on a silty seabed under steady currents. Appl. Ocean Res. 2021, 109, 102560. [Google Scholar] [CrossRef]
- Zhu, Y.; Xie, L.; Wong, T.; Su, T. Development of Three-Dimensional Scour below Pipelines in Regular Waves. J. Mar. Sci. Eng. 2022, 10, 124. [Google Scholar] [CrossRef]
- Sui, T.; Staunstrup, L.H.; Carstensen, S.; Fuhrman, D.R. Span shoulder migration in three-dimensional current-induced scour beneath submerged pipelines. Coast. Eng. 2021, 164, 103776. [Google Scholar] [CrossRef]
- Sui, T.T.; Yang, Q.; Staunstrup, L.H.; Carstensen, S.; Huang, J.; Zhang, C.; Zheng, J.; Fuhrman, D.R. Wave-plus-current induced span shoulder migration in three dimensional scour around submarine pipeline. Coast. Eng. 2024, 194, 104622. [Google Scholar] [CrossRef]
- Sumer, B.M. Liquefaction Around Marine Structures; World Scientific: Hackensack, NJ, USA, 2014. [Google Scholar] [CrossRef]
- Teh, T.C.; Palmer, A.C.; Damgaard, J.S. Experimental study of marine pipelines on unstable and liquefied seabed. Coast. Eng. 2003, 50, 1–17. [Google Scholar] [CrossRef]
- Zhao, H.Y.; Liu, X.L.; Jeng, D.S.; Zheng, J.H.; Zhang, J.S.; Liang, Z.D. Numerical investigation into the vulnerability to liquefaction of an embedded pipeline exposed to ocean storms. Coast. Eng. 2022, 172, 104056. [Google Scholar] [CrossRef]
- Yang, H.; Guo, Z.; Wang, L.; Dou, Y.; Liu, Z. Experimental study on wave-induced seabed response and force on the pipeline shallowly buried in a submerged sandy slope. Ocean Eng. 2022, 251, 111153. [Google Scholar] [CrossRef]
- Gao, Y.; Lin, J.; Zhang, J.S.; Guo, Y. Numerical modeling of combined wave and current-induced residual liquefaction around twin pipelines. Ocean Eng. 2022, 261, 112134. [Google Scholar] [CrossRef]
- Xu, Y.; Cui, L.; Jeng, D.S.; Wang, M.Q.; Sun, K.; Chen, B. Hydrodynamic characteristics around offshore pipelines and oscillatory pore-water pressures in sand beds under combined random wave and current loading. Theor. Appl. Mech. Lett. 2025, 13, 100575. [Google Scholar] [CrossRef]
- Chen, H.; Zhang, J.; Tong, L.; Sun, K.; Guo, Y.; Wei, C. Experimental study of soil responses around a pipeline in a sandy seabed under wave-current load. Appl. Ocean Res. 2023, 103, 103409. [Google Scholar] [CrossRef]
- Sun, K.; Zhang, J.; Gao, Y.; Jeng, D.S.; Guo, Y.; Liang, Z. Laboratory experimental study of ocean waves propagating over a partially buried pipeline in a trench layer. Ocean Eng. 2019, 173, 617–627. [Google Scholar] [CrossRef]
- Guo, Z.; Jeng, D.S.; Zhao, H.; Guo, W.; Wang, L. Effect of seepage flow on sediment incipient motion around a free spanning pipeline. Coast. Eng. 2019, 143, 50–62. [Google Scholar] [CrossRef]
- Hu, Z.; Qi, W.G.; Li, Y.P. The role of dynamic seepage response in sediment transport and tsunami-induced scour. J. Geophys. Res. Oceans 2025, 130, e2024JC021084. [Google Scholar] [CrossRef]
- Zhai, H.L.; Jeng, D.S. Integrated wave-seabed-scour model for local scour around a pipeline: PORO–FSSI–SCOUR–FOAM. Coast. Eng. 2024, 187, 104424. [Google Scholar] [CrossRef]
- Tong, L.; Huang, Z.; Zhang, J.S.; Chen, N.; Jeng, D.S.; Zhao, S.; Li, X. Experimental study of bimodal spectrum wave-induced dynamic responses in a silty seabed. Coast. Eng. 2025, 204, 104890. [Google Scholar] [CrossRef]
- Zhao, H.; Lin, F.; Gao, Y.; Wang, Z.; Li, M.; Liu, X.; Han, S.; Jeng, D.S. Effect of clay content on the coupled seabed response and local scour around a free-spanning pipeline under combined waves and currents. Coast. Eng. 2025, 204, 104910. [Google Scholar] [CrossRef]
- Goda, Y.; Suzuki, Y. Estimation of incident and reflected waves in random wave experiments. In Proceedings of the 15th International Conference on Coastal Engineering (ICCE1976), Honolulu, HI, USA, 11–17 July 1976; pp. 828–845. [Google Scholar]
- Mansard, E.P.D.; Funke, E.R. The measurement of incident and reflected specra using a least square method. In Proceedings of the 17th International Conference on Coastal Engineering (ICCE1980), Sydney, Australia, 23–28 March 1980; pp. 154–172. [Google Scholar]
- Isaacson, M. Measurement of regular wave reflection. J. Waterw. Harb. Coast. Eng. Div. 1991, 117, 533–569. [Google Scholar] [CrossRef]
- Nallayarasu, S.; Fatt, C.H.; Shankar, N.J. Estimation of incident and reflected waves in regular wave experiments. Ocean Eng. 1995, 22, 77–86. [Google Scholar] [CrossRef]
- Sassa, S.; Sekiguchi, H. Wave-induced liquefaction of beds of sand in a centrifuge. Géotechnique 1999, 49, 621–638. [Google Scholar] [CrossRef]
- Dean, R.; Dalrymple, R.A. Water Wave Mechanics for Engineers and Scientists; World Scientific: Hackensack, NJ, USA, 1984. [Google Scholar]
- Soulsby, R.L.; Whitehouse, R.J.S. Threshold of sediment motion in coastal environments. In Proceedings of the Pacific Coasts and Ports’97. Proceedings, Christchurch, New Zealand, 1 January 1997; Volume 1, pp. 149–154. [Google Scholar]
- Zhou, C.; Li, G.; Dong, P.; Shi, J.; Xu, J. An experimental study of seabed responses around a marine pipeline under wave and current conditions. Ocean Eng. 2011, 38, 226–234. [Google Scholar] [CrossRef]
- Keulegan, G.H.; Carpenter, L.H. Forces on cylinders and plates in an oscillating fluid. J. Res. Natl. Bur. Stand. 1958, 60, 423–440. [Google Scholar] [CrossRef]
- Sumer, B.M.; Fredsøe, J. Hydrodynamics Around Cylindrical Structures; World Scientific: Hackensack, NJ, USA, 1997. [Google Scholar] [CrossRef]
- Shields, A. Application of Similitude Mechanics and Research on Turbulence to Bed Load Movement; Technical Report 26; Mitteilungender Preussischer Versuchsanstalt fur Wasserbau und Schiffbau: Berlin, Germany, 1937. [Google Scholar]
- Chien, N.; Wan, Z. Mechanics of Sediment Transport; American Society of Civil Engineers: Reston, VA, USA, 1999. [Google Scholar] [CrossRef]
- Soulsby, R. Dynamics of Marine Sands; Thomas Telford: London, UK, 1997. [Google Scholar]
- Zhai, H.; Jeng, D.S.; Z, G.; Liang, Z.D. Impact of two-dimensional seepage flow on sediment incipient motion under waves. Appl. Ocean Res. 2021, 108, 102510. [Google Scholar] [CrossRef]
- Xu, J.; Li, G.; Dong, P.; Shi, J. Bedform evolution around a submarine pipeline and its effects on wave-induced forces under regular waves. Ocean Eng. 2010, 37, 304–313. [Google Scholar] [CrossRef]
















| Reference | Main Content | Comparison |
|---|---|---|
| Cheng et al. [20] | 3D, steady current, scour | No pore-water pressure; no wave |
| Sun et al. [33] | 2D, regular wave, pore-water pressure | No scour, not 3D |
| Cheng et al. [18] | 3D, regular wave and current, scour | No pore-water pressure |
| Zhang et al. [17] | 2D, regular wave, scour depth | Not 3D, no pore-water pressure |
| Sui et al. [24] | 3D, steady current | No pore-water pressure, not 3D |
| Zang et al. [22] | 2D, steady current, scour | No pore-water pressure, not 3D |
| Yang et al. [29] | 2D, regular wave, pore-water pressure | No scour, not 3D |
| Gao et al. [30] | 2D, regular wave, pore-water pressure | No scour, not 3D |
| Zhu et al. [23] | 3D, regular wave, scour | No pore-water pressure |
| Chen et al. [32] | 2D, regular wave and current | No scour, not 3D |
| Sui et al. [25] | 3D, irregular wave, current, scour | No pore-water pressure |
| Xu et al. [31] | 2D, irregular wave, pore-water pressure | No scour, not 3D |
| Tong et al. [37] | 2D, irregular wave, silt, pore-water pressure | No scour, not 3D |
| Zhao et al. [38] | 2D, regular wave, mixed clay-sand, pore pressure and scour | Not 3D |
| The present work | 3D, regular wave and current, scour, pore-water pressure | Scour vs, pore-water pressure |
| Soil Properties | Value [Unit] |
|---|---|
| Median particle size () | 0.37 [mm] |
| Dry density () | 1.50 [g/cm3] |
| Specific gravity () | 2.65 [–] |
| Permeability coefficient () | 0.30 [cm/s] |
| Poisson’s ratio () | 0.3 [–] |
| Shear modulus (G) | 12.69 [MPa] |
| Void ratio (e) | 0.77 [–] |
| Porosity (n) | 0.43 [–] |
| Maximum dry density () | 1.58 [g/cm3] |
| Minimum dry density () | 1.25 [g/cm3] |
| Relative density () | 0.81 [–] |
| Test Number | (∘) | H (m) | T (s) | U (m/s) | (m/s) | S (cm) | |||||
|---|---|---|---|---|---|---|---|---|---|---|---|
| A00H00T00C14 | 0 | - | - | 0.14 | - | 0.0861 | 1.37 | 5425.64 | 0.0179 | 0.034 | - |
| A00H00T00C24 | 0 | - | - | 0.24 | - | 0.1169 | 1.86 | 7363.37 | 0.033 | - | |
| A00H06T16C24 | 0 | 0.06 | 1.6 | 0.24 | 0.1094 | 0.2570 | 6.53 | 6890.56 | 0.0926 | 2 | |
| A00H09T16C00 | 0 | 0.09 | 1.6 | 0 | 0.1662 | 0.1662 | 4.22 | 10,467.74 | 0.0922 | 1.8 | |
| A00H09T16C14 | 0 | 0.09 | 1.6 | 0.14 | 0.1662 | 0.2523 | 6.41 | 10,467.74 | 0.1101 | 2 | |
| A00H09T16C24- | 0 | 0.09 | 1.6 | 0.24 | 0.1662 | 0.3138 | 7.97 | 10,467.74 | 0.084 | 2.8 | |
| A00H12T18C24 | 0 | 0.12 | 1.8 | 0.24 | 0.2435 | 0.3911 | 11.18 | 15,340.81 | 0.2507 | 2.4 | |
| A00H12T16C24 | 0 | 0.12 | 1.6 | 0.24 | 0.2243 | 0.3720 | 9.45 | 14,132.85 | 0.2207 | 1.8 | |
| A00H12T14C24 | 0 | 0.12 | 1.4 | 0.24 | 0.1193 | 0.3469 | 7.71 | 12,554.79 | 0.1853 | 1.8 | |
| A15H00T00C14 | 15 | - | - | 0.14 | - | 0.0861 | 1.37 | 5425.64 | 0.0179 | 0.034 | - |
| A15H00T00C24 | 15 | - | - | 0.24 | - | 0.1169 | 1.86 | 7363.37 | 0.033 | - | |
| A15H06T16C24 | 15 | 0.06 | 1.6 | 0.24 | 0.1094 | 0.2570 | 6.53 | 6890.56 | 0.0926 | 1.9 | |
| A15H09T16C00 | 15 | 0.09 | 1.6 | 0 | 0.1662 | 0.1662 | 4.22 | 10,467.74 | 0.0922 | 1.6 | |
| A15H09T16C14 | 15 | 0.09 | 1.6 | 0.14 | 0.1662 | 0.2523 | 6.41 | 10,467.74 | 0.1101 | 1.5 | |
| A15H09T16C24 | 15 | 0.09 | 1.6 | 0.24 | 0.1662 | 0.3138 | 7.97 | 10,467.74 | 0.084 | 2.3 | |
| A15H09T16C24- | 15 | 0.09 | 1.6 | −0.24 | 0.1662 | 0.0185 | 0.47 | 10,467.74 | 0.1449 | 2 | |
| A15H12T18C24 | 15 | 0.12 | 1.8 | 0.24 | 0.2435 | 0.3911 | 11.18 | 15,340.81 | 0.2507 | 1.8 | |
| A15H12T16C24 | 15 | 0.12 | 1.6 | 0.24 | 0.2243 | 0.3720 | 9.45 | 14,132.85 | 0.2207 | 2.5 | |
| A15H12T14C24 | 15 | 0.12 | 1.4 | 0.24 | 0.1193 | 0.3469 | 7.71 | 12,554.79 | 0.1853 | 2.2 | |
| A30H00T00C14 | 30 | - | - | 0.14 | - | 0.0861 | 1.37 | 5425.64 | 0.0179 | 0.034 | - |
| A30H00T00C24 | 30 | - | - | 0.24 | 0.1169 | 1.86 | 7363.37 | 0.033 | - | ||
| A30H06T16C24 | 30 | 0.06 | 1.6 | 0.24 | 0.1094 | 0.2570 | 6.53 | 6890.56 | 0.0926 | 2 | |
| A305H09T16C00 | 30 | 0.09 | 1.6 | 0 | 0.1662 | 0.1662 | 4.22 | 10,467.74 | 0.0922 | 1.8 | |
| A30H09T16C14 | 30 | 0.09 | 1.6 | 0.14 | 0.1662 | 0.2523 | 6.41 | 10,467.74 | 0.1101 | 1.7 | |
| A30H09T16C24 | 30 | 0.09 | 1.6 | 0.24 | 0.1662 | 0.3138 | 7.97 | 10,467.74 | 0.084 | 1.9 | |
| A30H09T16C24- | 30 | 0.09 | 1.6 | −0.24 | 0.1662 | 0.0185 | 0.47 | 10,467.74 | 0.1449 | 1.8 | |
| A30H12T18C24 | 30 | 0.12 | 1.8 | 0.24 | 0.2435 | 0.3911 | 11.18 | 15,340.81 | 0.2507 | 2.4 | |
| A30H12T16C24 | 30 | 0.12 | 1.6 | 0.24 | 0.2243 | 0.3720 | 9.45 | 14,132.85 | 0.2207 | 1.8 | |
| A305H12T14C24 | 30 | 0.12 | 1.4 | 0.24 | 0.1193 | 0.3469 | 7.71 | 12,554.79 | 0.1853 | 2 | |
| A45H00T00C14 | 45 | - | - | 0.14 | - | 0.0861 | 1.37 | 5425.64 | 0.0179 | 0.034 | - |
| A45H00T00C24 | 45 | - | - | 0.24 | 0.1169 | 1.86 | 7363.37 | 0.033 | - | ||
| A45H06T16C24 | 45 | 0.06 | 1.6 | 0.24 | 0.1094 | 0.2570 | 6.53 | 6890.56 | 0.0926 | - | |
| A45H09T16C00 | 45 | 0.09 | 1.6 | 0 | 0.1662 | 0.1662 | 4.22 | 10,467.74 | 0.0922 | 1.8 | |
| A45H09T16C14 | 45 | 0.09 | 1.6 | 0.14 | 0.1662 | 0.2523 | 6.41 | 10,467.74 | 0.1101 | 1.6 | |
| A45H09T16C24 | 45 | 0.09 | 1.6 | 0.24 | 0.1662 | 0.3138 | 7.97 | 10,467.74 | 0.084 | 1.7 | |
| A45H09T16C24- | 45 | 0.09 | 1.6 | −0.24 | 0.1662 | 0.0185 | 0.47 | 10,467.74 | 0.1449 | 1.8 | |
| A45H12T18C24 | 45 | 0.12 | 1.8 | 0.24 | 0.2435 | 0.3911 | 11.18 | 10,467.74 | 0.2507 | 2.1 | |
| A45H12T16C24 | 45 | 0.12 | 1.6 | 0.24 | 0.2243 | 0.3720 | 9.45 | 14,132.85 | 0.2207 | 2.4 | |
| A45H12T14C24 | 45 | 0.12 | 1.4 | 0.24 | 0.1193 | 0.3469 | 7.71 | 12,554.79 | 0.1853 | 1.8 |
Disclaimer/Publisher’s Note: The statements, opinions and data contained in all publications are solely those of the individual author(s) and contributor(s) and not of MDPI and/or the editor(s). MDPI and/or the editor(s) disclaim responsibility for any injury to people or property resulting from any ideas, methods, instructions or products referred to in the content. |
© 2025 by the authors. Licensee MDPI, Basel, Switzerland. This article is an open access article distributed under the terms and conditions of the Creative Commons Attribution (CC BY) license (https://creativecommons.org/licenses/by/4.0/).
Share and Cite
Li, M.; Jeng, D.-S.; Cui, L.; Liang, Z.; Wang, Z.; Liu, D.; Chang, D.; Sun, K. Experimental Study on Seabed Stability Around an Offshore Pipeline Under Waves and Currents: Local Scour and Pore-Water Pressure. J. Mar. Sci. Eng. 2025, 13, 2278. https://doi.org/10.3390/jmse13122278
Li M, Jeng D-S, Cui L, Liang Z, Wang Z, Liu D, Chang D, Sun K. Experimental Study on Seabed Stability Around an Offshore Pipeline Under Waves and Currents: Local Scour and Pore-Water Pressure. Journal of Marine Science and Engineering. 2025; 13(12):2278. https://doi.org/10.3390/jmse13122278
Chicago/Turabian StyleLi, Mengxiao, Dong-Sheng Jeng, Lin Cui, Zuodong Liang, Zheng Wang, Dajun Liu, Dayu Chang, and Ke Sun. 2025. "Experimental Study on Seabed Stability Around an Offshore Pipeline Under Waves and Currents: Local Scour and Pore-Water Pressure" Journal of Marine Science and Engineering 13, no. 12: 2278. https://doi.org/10.3390/jmse13122278
APA StyleLi, M., Jeng, D.-S., Cui, L., Liang, Z., Wang, Z., Liu, D., Chang, D., & Sun, K. (2025). Experimental Study on Seabed Stability Around an Offshore Pipeline Under Waves and Currents: Local Scour and Pore-Water Pressure. Journal of Marine Science and Engineering, 13(12), 2278. https://doi.org/10.3390/jmse13122278

