Numerical Investigation of Local Scour Around Bridge Pile-Group Foundations Under Steady Flows
Abstract
1. Introduction
2. Methodology
2.1. Governing Equations and Turbulence Closure
2.2. Sediment Transport and Morphodynamic Modeling
3. Numerical Model Setup and Validation
3.1. Computational Domain and Boundary Conditions
3.2. Hydrodynamic Validation
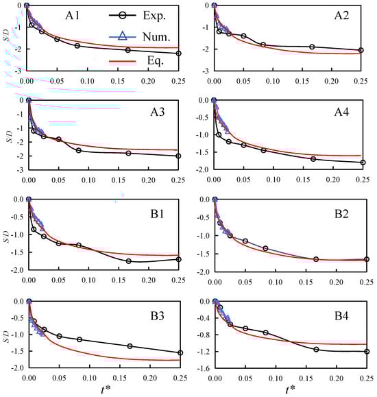
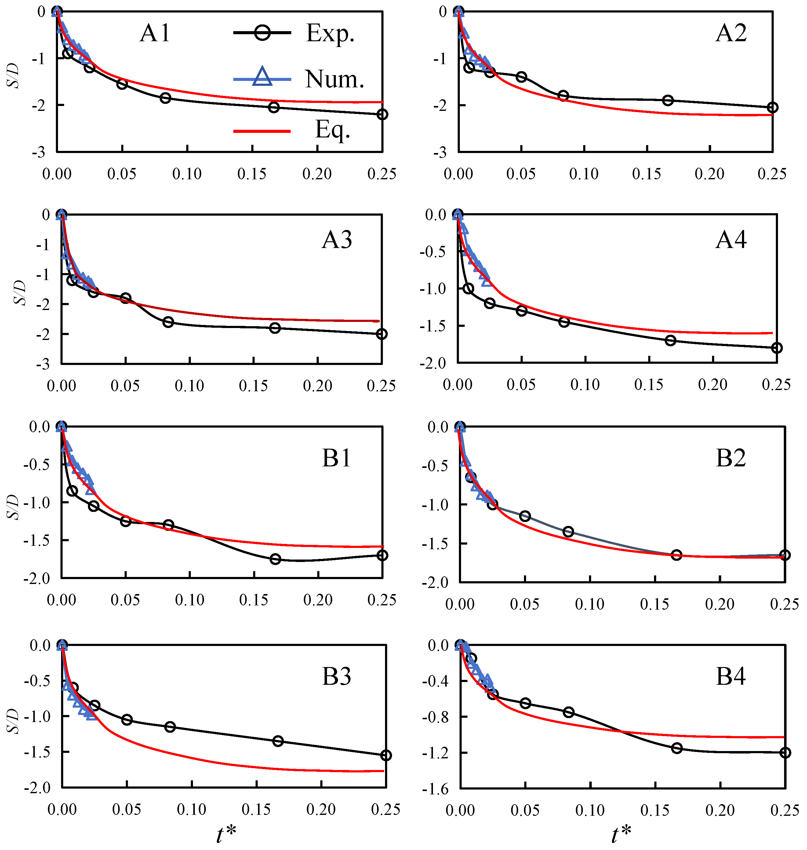
3.3. Scour Validation
4. Scour Hole Evolution Around Pile Group
5. Flow Characteristics During Scouring Process
5.1. Velocity Field
5.2. Vorticity Field
5.3. Bed Shear Stress
6. Influence of Key Parameters on Scour Depth
6.1. Comparison with Monopile
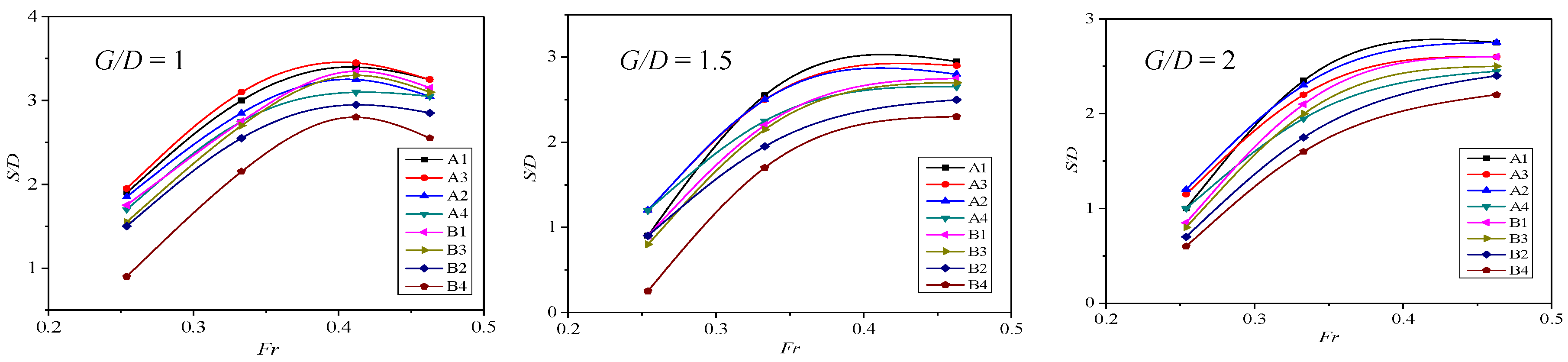
6.2. Effect of Froude Number
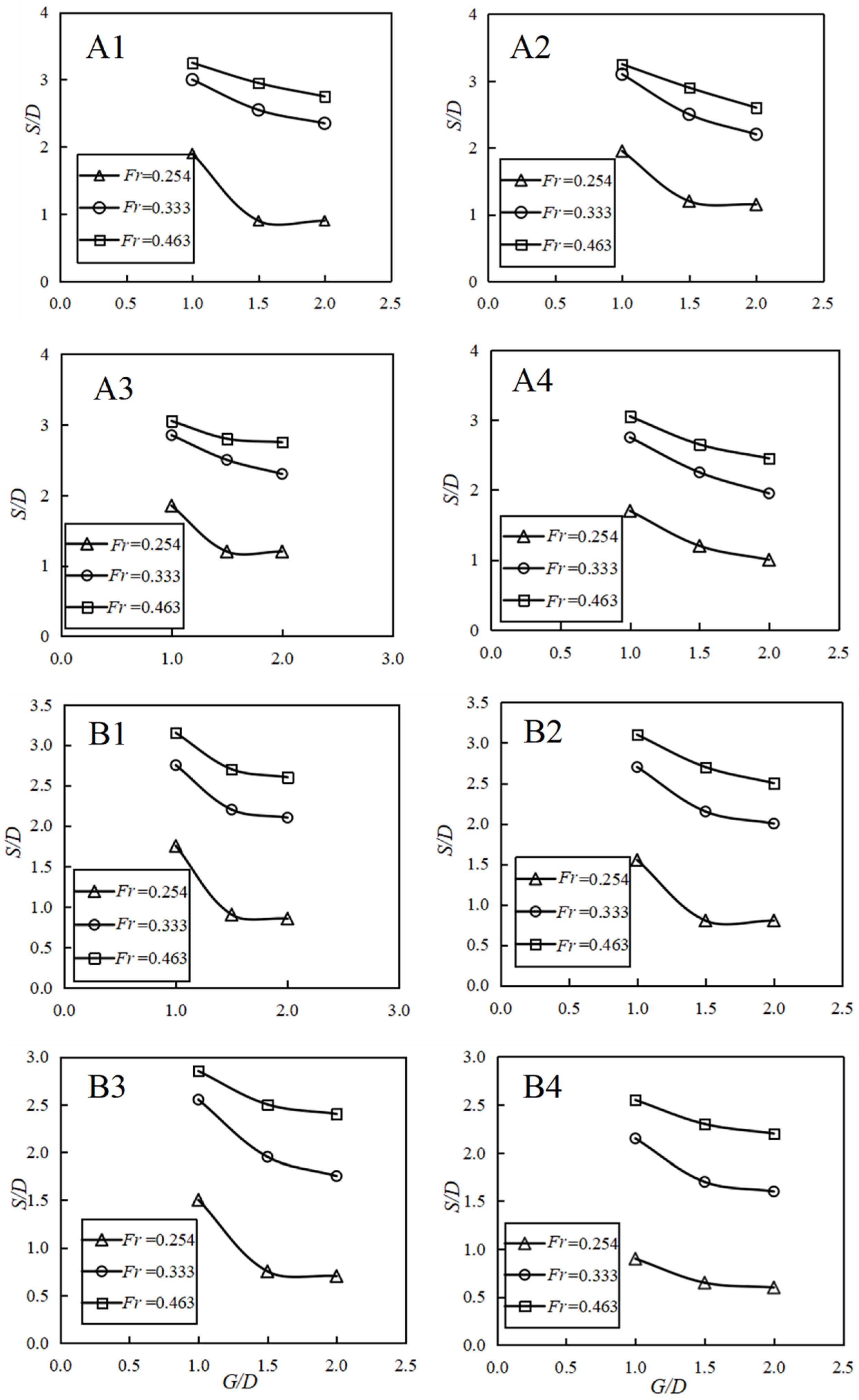
6.3. Effect of Pile Spacing
7. Conclusions
- (1)
- The validated numerical model accurately reproduces the key hydro-morphodynamic processes, including flow acceleration around the side piles, descent of the horseshoe vortex, intensification of gap flow, and the formation of a downstream depositional dune. The simulated scour depths agree well with laboratory data, with relative errors generally within 15%. In engineering practice, long-term morphodynamic simulations or empirical time-scale methods are still necessary to estimate equilibrium scour depth.
- (2)
- Analysis of the flow field demonstrates that the scour morphology is governed by a dynamic feedback mechanism. The core of the horseshoe vortex migrates from the pile sides into the developing scour slope, sustaining high bed shear stress along the perimeter of the trough. Scour progression ceases as the slope approaches the repose angle of sediment, leading to stress decay and the establishment of a closed sediment recirculation loop that defines the equilibrium state.
- (3)
- Increasing Fr from 0.25 to 0.35 deepens the scour depth rapidly, while beyond Fr = 0.35, the growth rate diminishes, becoming nearly asymptotic. This transition is attributed to the increasing dissipation of incoming flow energy by form drag on the enlarged scour hole. A 30% increase in Fr from 0.33 to 0.46 yields only a 3% increase in scour depth, implying that linear extrapolation with velocity may be overly conservative at high Fr.
- (4)
- Increasing G/D from 1 to 2 leads to a quasi-linear reduction in scour depth up to G/D = 1.5, beyond which the mitigating effect plateaus. The benefit of increasing the spacing beyond 1.5D is marginal (<4% additional reduction), indicating that this threshold represents a pragmatic compromise, balancing hydraulic safety (significant scour reduction) against structural footprint constraints. A true engineering optimum would additionally require explicit evaluation of geotechnical stability, lateral stiffness, construction cost, and other constraints, which is beyond the scope of the present hydraulic study.
Author Contributions
Funding
Data Availability Statement
Conflicts of Interest
References
- Xiong, W.; Cai, C.S.; Zhang, R.; Shi, H.; Xu, C. Review of hydraulic bridge failures: Historical statistic analysis, failure modes, and prediction methods. J. Bridge Eng. 2023, 28, 03123001. [Google Scholar] [CrossRef]
- Wardhana, K.; Hadipriono, F.C. Analysis of recent bridge failures in the United States. J. Perform. Constr. Facil. 2003, 173, 144–150. [Google Scholar] [CrossRef]
- Nasr, A.; Björnsson, I.; Honfi, D.; Larsson Ivanov, O.; Johansson, J.; Kjellström, E. A review of the potential impacts of climate change on the safety and performance of bridges. Sustain. Resilient Infrastruct. 2021, 6, 192–212. [Google Scholar] [CrossRef]
- Ettema, R.; Gonstantinescu, G.; Melville, B.W. Flow-field complexity and design estimation of pier-scour depth: Sixty years since Laursen and Toch. J. Hydraul. Eng. 2017, 143, 03117006. [Google Scholar] [CrossRef]
- Sumner, D. Two circular cylinders in cross-flow: A review. J. Fluids Struct. 2010, 26, 849–899. [Google Scholar] [CrossRef]
- Ataie-Ashtiani, B.; Aslani-Kordkandi, A. Flow field around single and tandem piers. Flow Turbul. Combust. 2013, 90, 471–490. [Google Scholar] [CrossRef]
- Yang, Y.; Qi, M.; Li, J.; Ma, X. Evolution of hydrodynamic characteristics with scour hole developing around a pile group. Water 2018, 10, 1632. [Google Scholar] [CrossRef]
- Yang, Y.; Li, J. Experimental study of flow field around pile groups using PIV. Exp. Therm. Fluid Sci. 2021, 120, 110223. [Google Scholar] [CrossRef]
- Wang, X.; Li, W.; Peng, Z.; Yu, Q.; Yang, Y.; Li, J. Optimization of combined scour protection for bridge piers using computational fluid dynamics. Water 2025, 17, 2742. [Google Scholar] [CrossRef]
- Melville, B.W.; Coleman, S.E. Bridge Scour; Water Resources Publication: Highlands Ranch, CO, USA, 2000. [Google Scholar]
- Sumer, B.M.; Fredsøe, J. The Mechanics of Scour in the Marine Environment; World Scientific: Singapore, 2002. [Google Scholar]
- Sumer, B.M.; Fredsøe, J. Wave scour around group of vertical piles. J. Waterw. Port Coast. Ocean Eng. 1998, 124, 248–256. [Google Scholar] [CrossRef]
- Bayram, A.; Larson, M. Analysis of scour around a group of vertical piles in the field. J. Waterw. Port Coast. Ocean Eng. 2000, 126, 215–220. [Google Scholar] [CrossRef]
- Arneson, L.A.; Zevenbergen, L.W.; Lagasse, P.F.; Clopper, P.E. Evaluating Scour at Bridges. In Hydraulic Engineering Circular, 5th ed.; No. 18; Federal Highway Administration: Washington, DC, USA, 2012. [Google Scholar]
- Liang, D.; Gotoh, H.; Scott, N.; Tang, H. Experimental study of local scour around twin piles in oscillatory flows. J. Waterw. Port Coast. Ocean Eng. 2013, 139, 404–412. [Google Scholar] [CrossRef]
- Qi, M.; Li, J.; Chen, Q. Comparison of existing equations for local scour at bridge piers: Parameter influence and validation. Nat. Hazards 2016, 82, 2089–2105. [Google Scholar] [CrossRef]
- Qi, M.; Li, J.; Chen, Q. Applicability analysis of pier-scour equations in the field: Error analysis by rationalizing measurement data. J. Hydraul. Eng. 2018, 144, 04018050. [Google Scholar] [CrossRef]
- Baghbadorani, D.A.; Ataie-Ashtiani, B.; Beheshti, A.; Hadjzaman, M.; Jamali, M. Prediction of current-induced local scour around complex piers: Review, revisit, and integration. Coast. Eng. 2018, 133, 43–58. [Google Scholar] [CrossRef]
- Li, J.; Yang, Y.; Yang, Z. Influence of scour development on turbulent flow field in front of a bridge pier. Water 2020, 12, 2370. [Google Scholar] [CrossRef]
- Ataie-Ashtiani, B.; Beheshti, A.A. Experimental investigation of clear-water local scour at pile groups. J. Hydraul. Eng. 2006, 132, 1100–1104. [Google Scholar] [CrossRef]
- Amini, A.; Melville, B.W.; Ali, T.M.; Ghazali, A.H. Clear-water local scour around pile groups in shallow-water flow. J. Hydraul. Eng. 2012, 138, 177–185. [Google Scholar] [CrossRef]
- Lança, R.; Fael, C.; Maia, R.; Pêgo, J.P.; Cardoso, A.H. Clear-water scour at pile groups. J. Hydraul. Eng. 2013, 139, 1089–1098. [Google Scholar] [CrossRef]
- Liang, F.; Wang, C.; Huang, M.; Wang, Y. Experimental observations and evaluations of formulae for local scour at pile groups in steady currents. Mar. Georesour. Geotechnol. 2017, 35, 245–255. [Google Scholar] [CrossRef]
- Wang, C.; Yuan, Y.; Zhu, W.; Wang, C.; Yu, X. A probabilistic strategy to evaluate scour around bridge deepwater foundations considering a reliability assessment. Mar. Georesour. Geotec. 2023, 411, 54–66. [Google Scholar] [CrossRef]
- Yu, P.; Chen, J.; Zhou, J.; Li, J.; Yu, L. Experimental investigation of local scour around complex bridge pier of sea-crossing bridge under tidal currents. Ocean Eng. 2023, 290, 116374. [Google Scholar] [CrossRef]
- Du, S.; Wang, C.; Gong, M.; Zhu, F.; Wu, G.; Liang, B. Local scour around varied-configuration pile groups in silty seabed under steady current: An experimental study. Appl. Ocean Res. 2025, 165, 104819. [Google Scholar] [CrossRef]
- Gong, M.; Wu, G.; Du, S.; Pan, X.; Lv, Y.; Sun, Y.; Ding, G.; Liang, B. Experimental investigations of local scour around piles in a single-column and three-columns with multiple rows in steady current. Appl. Ocean Res. 2025, 159, 104608. [Google Scholar] [CrossRef]
- Wang, D.; Niu, G.; Du, S. Study of local scour around multiple-arranged piles in unidirectional flow. Phys. Fluids 2025, 37, 075153. [Google Scholar] [CrossRef]
- Barrie, A.; Wang, C.; Liang, F.; Qi, W. Experimental investigation on the mechanism of local scour around a cylindrical coastal pile foundation considering sloping bed conditions. Ocean Eng. 2024, 312, 119225. [Google Scholar] [CrossRef]
- Wang, C.; Yu, X.; Liang, F. A review of bridge scour: Mechanism, estimation, monitoring and countermeasures. Nat. Hazards 2017, 87, 1881–1906. [Google Scholar] [CrossRef]
- Wang, C.; Wu, Q.; Liang, J.; Liang, F.; Yu, X. Establishment and implementation of an artificial intelligent flume for investigating local scour around underwater foundations. Transp. Geotech. 2024, 49, 101433. [Google Scholar] [CrossRef]
- Wang, C.; Yu, X.; Liang, F. Investigation of the protection mechanism and failure modes of solidified soil utilized for scour mitigation. Constr. Build. Mater. 2025, 472, 140858. [Google Scholar] [CrossRef]
- Wang, H.; Tang, H.; Xiao, J.; Wang, Y.; Jiang, S. Clear-water local scouring around three piers in a tandem arrangement. Sci. China Technol. Sci. 2016, 59, 888–896. [Google Scholar] [CrossRef]
- Zhang, Q.; Zhou, X.L.; Wang, J.H. Numerical investigation of local scour around three adjacent piles with different arrangements under current. Ocean Eng. 2017, 142, 625–638. [Google Scholar] [CrossRef]
- Vaghefi, M.; Motlagh, M.J.T.N.; Hashemi, S.S.; Moradi, S. Experimental study of bed topography variations due to placement of a triad series of vertical piers at different positions in a 180° bend. Arab. J. Geosci. 2018, 11, 102. [Google Scholar] [CrossRef]
- Sumer, B.M.; Bundgaard, K.; Fredsøe, J. Global and local scour at pile groups. In Proceedings of the Fifteenth International Offshore and Polar Engineering Conference, Seoul, Republic of Korea, 19 June 2005; International Society of Offshore and Polar Engineers: Mountain View, CA, USA, 2005. [Google Scholar]
- Kim, H.S.; Nabi, M.; Kimura, I.; Shimizu, Y. Computational modeling of flow and morphodynamics through rigid-emergent vegetation. Adv. Water Resour. 2015, 84, 64–86. [Google Scholar] [CrossRef]
- Yang, Y.; Qi, M.; Wang, X.; Li, J. Experimental study of scour around pile groups in steady flows. Ocean Eng. 2020, 195, 106651. [Google Scholar] [CrossRef]
- Li, J.; Fuhrman, D.R.; Kong, X.; Xie, M.; Yang, Y. Three-dimensional numerical simulation of wave-induced scour around a pile on a sloping beach. Ocean Eng. 2021, 233, 109174. [Google Scholar] [CrossRef]
- Li, J.; Kong, X.; Yang, Y.; Deng, L.; Xiong, W. CFD investigations of tsunami-induced scour around bridge piers. Ocean Eng. 2022, 244, 110373. [Google Scholar] [CrossRef]
- Li, J.; Kong, X.; Yang, Y.; Yang, Z.; Hu, J. Numerical modeling of solitary wave-induced flow and scour around a square onshore structure. J. Mar. Sci. Eng. 2023, 11, 198. [Google Scholar] [CrossRef]
- Baykal, C.; Sumer, B.M.; Fuhrman, D.R.; Jacobsen, N.G.; Fredsoe, J. Numerical investigation of flow and scour around a vertical circular cylinder. Philos. Trans. R. Soc. A 2015, 373, 20140104. [Google Scholar] [CrossRef] [PubMed]
- Yang, Y.; Zou, W.; Chen, B.; Li, J. Numerical investigation of flow and scour around complex bridge piers in wind-wave-current conditions. J. Mar. Sci. Eng. 2024, 12, 23. [Google Scholar] [CrossRef]
- Kim, H.S.; Nabi, M.; Kimura, I.; Shimizu, Y. Numerical investigation of local scour at two adjacent cylinders. Adv. Water Resour. 2014, 70, 131–147. [Google Scholar] [CrossRef]
- Wilcox, D.C. Turbulence Modeling for CFD, 3rd ed.; DCW Industries: La Canada, CA, USA, 2006. [Google Scholar]
- Van Rijn, L. Sediment transport, Part I: Bed load transport. J. Hydraul. Eng. 1984, 110, 1431–1456. [Google Scholar] [CrossRef]
- Soulsby, R.L.; Whitehouse, R.J.S. Threshold of sediment motion in coastal environments. In Proceedings of the 13th Australasian Coastal and Ocean Engineering Conference and the 6th Australasian Port and Harbour Conference, Christchurch, New Zealand, 7–11 September 1997; Volume 1. [Google Scholar]
- BenMeftah, M.; Mossa, M. New approach to predicting local scour downstream of grade-control structure. J. Hydraul. Eng. 2020, 146, 04019058. [Google Scholar] [CrossRef]


















| Water Depth H (m) | Approach Velocity U0 (m/s) | Pile Diameter d (m) | Pile Spacing G (m) | Froude Number Fr | Reynolds Number Re |
|---|---|---|---|---|---|
| 0.050 | 0.233 | 0.010 | 0.015 | 0.333 | 11,566 |
| Water Depth H (m) | Approach Velocity U0 (m/s) | Froude Number Fr | Pile Spacing G/D |
|---|---|---|---|
| 0.05 | 0.178 | 0.25 | 1, 1.5, 2 |
| 0.05 | 0.233 | 0.33 | 1, 1.5, 2 |
| 0.05 | 0.289 | 0.41 | 1 |
| 0.04 | 0.290 | 0.46 | 1, 1.5, 2 |
Disclaimer/Publisher’s Note: The statements, opinions and data contained in all publications are solely those of the individual author(s) and contributor(s) and not of MDPI and/or the editor(s). MDPI and/or the editor(s) disclaim responsibility for any injury to people or property resulting from any ideas, methods, instructions or products referred to in the content. |
© 2025 by the authors. Licensee MDPI, Basel, Switzerland. This article is an open access article distributed under the terms and conditions of the Creative Commons Attribution (CC BY) license (https://creativecommons.org/licenses/by/4.0/).
Share and Cite
Li, W.; Wang, X.; Wang, Z.; Yu, Q.; Huang, P.; Yang, Y.; Li, J. Numerical Investigation of Local Scour Around Bridge Pile-Group Foundations Under Steady Flows. Infrastructures 2025, 10, 333. https://doi.org/10.3390/infrastructures10120333
Li W, Wang X, Wang Z, Yu Q, Huang P, Yang Y, Li J. Numerical Investigation of Local Scour Around Bridge Pile-Group Foundations Under Steady Flows. Infrastructures. 2025; 10(12):333. https://doi.org/10.3390/infrastructures10120333
Chicago/Turabian StyleLi, Wentao, Xiangdong Wang, Zhixun Wang, Qianmi Yu, Peng Huang, Yilin Yang, and Jinzhao Li. 2025. "Numerical Investigation of Local Scour Around Bridge Pile-Group Foundations Under Steady Flows" Infrastructures 10, no. 12: 333. https://doi.org/10.3390/infrastructures10120333
APA StyleLi, W., Wang, X., Wang, Z., Yu, Q., Huang, P., Yang, Y., & Li, J. (2025). Numerical Investigation of Local Scour Around Bridge Pile-Group Foundations Under Steady Flows. Infrastructures, 10(12), 333. https://doi.org/10.3390/infrastructures10120333
