Experimental Study of Local Scour Around Two Compound Piles in Tandem, Side-by-Side and Staggered Arrangements Under Steady Current
Abstract
1. Introduction
2. Experimental Setup and Methodology
- Models are placed in the required arrangement, and the sand bed is smoothed out evenly.
- Water is filled in the flume initially at a very low velocity to ensure the sand bed will not be damaged. The discharge can be increased after the water depth reaches 10 cm, but it still needs to be sufficiently low so that scour will not start.
- Once the desired water depth is attained, the flow rate is slowly increased to the target value, allowing for scour to initiate.
- Bed level readings are taken 28 times during the complete test, while most of the readings are taken in the first 3 h of the test to ensure the recording of fast sediment transport in the initial scour phase.
- Once the test is completed, the water is drained slowly without disturbing the scour hole and the bed is scanned for 3D topography.
3. Results and Discussion
3.1. Validation of Single CP Results and Comparison with Other Studies
3.2. Temporal Development of Scour in Each Orientation at θ = 0°
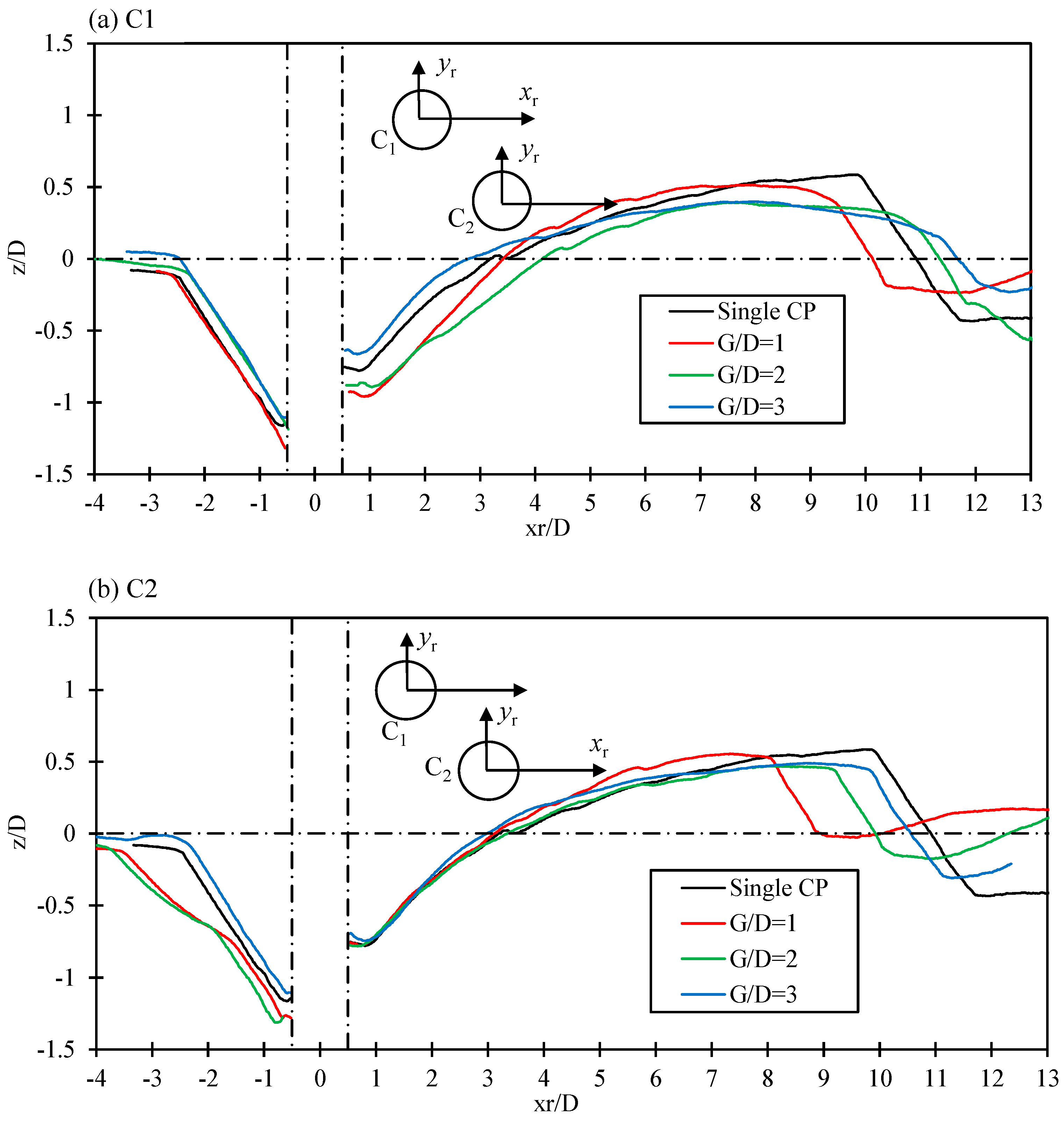
3.3. Temporal and Spatial Development of Scour in Tandem Arrangement
3.4. Temporal and Spatial Development of Scour in SBS Arrangement
3.5. Temporal and Spatial Development of Scour in Staggered Arrangement
4. Conclusions
- In tandem arrangement, the upstream CP develops a scour pattern like an isolated CP. However, the downstream CP shows strong dependence upon G/D value due to the altered flow in the wake of the upstream pile. A distinct sand ridge forms between the piles, created by the eroded sediment coming from upstream. Initially, the wake side of downstream CP goes through a deposition phase followed by erosion as the wake reattaches and strengthens over time. Overall, downstream CP has shallower scour depth due to the shielding effect.
- In the SBS arrangement, the scour depths of both CPs are very similar to that of a single CP, because both CPs are facing the flow without any shielding effects. The outer sides of each pile have deeper scour than the inner gap region, as flow contraction due to the gap causes sediment trapping. Scour holes become independent at G/D = 3 with two separate dunes downstream.
- In the staggered arrangement, the shadowing effect from the upstream CP affects the scour of the downstream CP when G/D = 1; as a result, the downstream CP has initial deposition at its rear side. At G/D = 1.5 and 3, the shadowing effect disappears, and the scour of the downstream CP develops in a similar trend to that of a single CP.
- Variation in G/D produces different flow regimes, resulting in distinct scour and deposition patterns. The threshold G/D value—at which interaction between the piles starts to diminish and scour around each pile becomes independent—depends on the configuration, which reflects that hydrodynamic interaction between the piles is complex.
- After 6 h of scour, dunes are formed in all three configurations. In tandem and staggered arrangements, a single dune is formed behind the downstream CP. In contrast, for SBS, two dunes formed that merged for G/D = 1 and 1.5, while remaining separate at G/D = 3.
- To summarize, the temporal development of both CPs in the SBS arrangement and C1 in the tandem and staggered arrangements showed various similarities to a single pile case, while the scour depth of C2 is significantly affected by G/D and β, indicating a strong pile–pile interaction.
Author Contributions
Funding
Data Availability Statement
Conflicts of Interest
References
- Melville, B.W.; Raudkivi, A.J. Effects of foundation geometry on bridge pier scour. J. Hydraul. Eng. 1996, 122, 203–209. [Google Scholar] [CrossRef]
- Sumner, D. Two circular cylinders in cross-flow: A review. J. Fluids Struct. 2010, 26, 849–899. [Google Scholar] [CrossRef]
- Jiang, W.; Lin, C. Scour effects on vertical effective stresses and lateral responses of pile groups in sands. Ocean Eng. 2021, 229, 109017. [Google Scholar] [CrossRef]
- Sumer, B.M.; Fredsøe, J.; Bundgaard, K. Global and local scour at pile groups. In Proceedings of the ISOPE International Ocean and Polar Engineering Conference, ISOPE, Seoul, Republic of Korea, 19–24 June 2005; pp. 204–209. [Google Scholar]
- Devi, G.; Kumar, M. Characteristics assessment of local scour encircling twin bridge piers positioned side by side (SbS). Sādhanā 2022, 47, 109. [Google Scholar] [CrossRef]
- Malik, R.; Setia, B.; Banik, A. Mechanism of Scouring Around Group of Bridge Piers in Tandem Arrangement. J. Inst. Eng. Ser. A 2023, 104, 633–642. [Google Scholar] [CrossRef]
- Malik, R.; Setia, B. Interference between pier models and its effects on scour depth. SN Appl. Sci. 2020, 2, 68. [Google Scholar] [CrossRef]
- Yang, Y.; Qi, M.; Wang, X.; Li, J. Experimental study of scour around pile groups in steady flows. Ocean Eng. 2020, 195, 106651. [Google Scholar] [CrossRef]
- Ma, H.; Zhang, S.; Li, B. Numerical investigation of local scour around twin piles under steady current using CFD-DEM coupling method. Comput. Geotech. 2023, 164, 105805. [Google Scholar] [CrossRef]
- Liu, M.-M.; Wang, H.-C.; Tang, G.-Q.; Shao, F.-F.; Jin, X. Investigation of local scour around two vertical piles by using numerical method. Ocean Eng. 2022, 244, 110405. [Google Scholar] [CrossRef]
- Qu, L.; An, H.; Draper, S.; Watson, P.; Zhao, M.; Harris, J.; Whitehouse, R.; Zhang, D. A review of scour impacting monopiles for offshore wind. Ocean Eng. 2024, 301, 117385. [Google Scholar] [CrossRef]
- Wang, H.; Tang, H.; Xiao, J.; Wang, Y.; Jiang, S. Clear-water local scouring around three piers in a tandem arrangement. Sci. China Technol. Sci. 2016, 59, 888–896. [Google Scholar] [CrossRef]
- Ataie-Ashtiani, B.; Beheshti, A.A. Experimental Investigation of Clear-Water Local Scour at Pile Groups. J. Hydraul. Eng. 2006, 132, 1100–1104. [Google Scholar] [CrossRef]
- Liang, F.; Wang, C.; Wang, Y.; Huang, M. A preliminary experimental study on the mechanism of local scour at pile groups in steady currents. In Frontiers in Offshore Geotechnics III: Proceedings of the 3rd International Symposium on Frontiers in Offshore Geotechnics (ISFOG 2015); Taylor & Francis Books Ltd.: Leiden, The Netherlands, 2015; pp. 599–604. [Google Scholar]
- Islam, M.M.; Basir, M.S.; Mahalder, B. 2022 Local scour analysis around single pier group of piers in tandem arrangement using flow. In Proceedings of the 6th International Conference on Civil Engineering for Sustainable Development, Khulna, Bangladesh, 10–12 February 2022. [Google Scholar]
- Heidarpour, M.; Afzalimehr, H.; Izadinia, E. Reduction of local scour around bridge pier groups using collars. Int. J. Sediment Res. 2010, 25, 411–422. [Google Scholar] [CrossRef]
- Garg, V.; Setia, B.; Singh, V.; Kumar, A. Scour protection around bridge pier and two-piers-in-tandem arrangement. ISH J. Hydraul. Eng. 2022, 28, 251–263. [Google Scholar] [CrossRef]
- Devi, G.; Kumar, M. Experimental study of the local scour around the two piers in the tandem arrangement using ultrasonic ranging transducers. Ocean Eng. 2022, 266, 112838. [Google Scholar] [CrossRef]
- Yu, P.; Liu, J.; Yu, L.; Zhu, L. Numerical investigation of local scour around tandem piers using proposed self-sustaining inlet turbulent boundary conditions. Ocean Eng. 2023, 274, 113987. [Google Scholar] [CrossRef]
- Zhao, S.; Ji, C.; Sun, Z.; Yu, H.; Zhang, Z. Effects of the gap on the local scour around two tandem piles in shallow flows. Ocean Eng. 2022, 246, 110575. [Google Scholar] [CrossRef]
- Yagci, O.; Yildirim, I.; Celik, M.F.; Kitsikoudis, V.; Duran, Z.; Kirca, V.O. Clear water scour around a finite array of cylinders. Appl. Ocean Res. 2017, 68, 114–129. [Google Scholar] [CrossRef]
- Ataie-Ashtiani, B.; Aslani-Kordkandi, A. Flow field around single and tandem piers. Flow Turbul. Combust. 2013, 90, 471–490. [Google Scholar] [CrossRef]
- Okhravi, S.; Gohari, S.; Alemi, M.; Maia, R. Effects of bed-material gradation on clear water scour at single and group of piles. J. Hydrol. Hydromech. 2022, 70, 114–127. [Google Scholar] [CrossRef]
- Abolfathi, S.; Kashefipour, S.M.; Fuhrman, D.R.; Bajestan, M.S. Temporal scouring and backfilling processes around a pile group subject to unsteady hydrographs. Ain Shams Eng. J. 2022, 13, 101565. [Google Scholar] [CrossRef]
- Pasupuleti, L.N.; Timbadiya, P.V.; Patel, P.L. Flow fields around tandem and staggered piers on a mobile bed. Int. J. Sediment Res. 2022, 37, 737–753. [Google Scholar] [CrossRef]
- Qi, H.; Yuan, T.; Zou, W.; Tian, W.; Li, J. Numerical Study on Local Scour Reduction around Two Cylindrical Piers Arranged in Tandem Using Collars. Water 2023, 15, 4079. [Google Scholar] [CrossRef]
- Tang, J.-H.; Puspasari, A.D. Numerical simulation of local scour around three cylindrical piles in a tandem arrangement. Water 2021, 13, 3623. [Google Scholar] [CrossRef]
- Yang, Y.; Qi, M.; Li, J.; Ma, X. Evolution of hydrodynamic characteristics with scour hole developing around a pile group. Water 2018, 10, 1632. [Google Scholar] [CrossRef]
- Amini, A.; Solaimani, N. The effects of uniform and nonuniform pile spacing variations on local scour at pile groups. Mar. Georesour. Geotechnol. 2018, 36, 861–866. [Google Scholar] [CrossRef]
- Rout, A.; Sarkar, A. Temporal Evolution of Scour at Submerged Circular Cylinders. J. Mar. Sci. Appl. 2021, 20, 85–101. [Google Scholar] [CrossRef]
- Rout, A.; Sarkar, A. Local scour around submerged tandem and offset cylinders due to change in alignment angle. Proc. Inst. Civ. Eng. Water Manag. 2020, 173, 14–30. [Google Scholar] [CrossRef]
- Lu, Y.; Wang, Z.; Yin, Z.; Du, S.; Pan, X.; Liang, B. Experimental study on aspect ratio and velocity intensity of scour around submerged pile groups. Front. Mar. Sci. 2022, 9, 910723. [Google Scholar] [CrossRef]
- Liang, F.; Wang, C.; Huang, M.; Wang, Y. Experimental observations and evaluations of formulae for local scour at pile groups in steady currents. Mar. Georesour. Geotechnol. 2017, 35, 245–255. [Google Scholar] [CrossRef]
- Lança, R.; Fael, C.; Maia, R.; Pêgo, J.P.; Cardoso, A.H. Clear-water scour at pile groups. J. Hydraul. Eng. 2013, 139, 1089–1098. [Google Scholar] [CrossRef]
- Solaimani, N.; Amini, A.; Banejad, H.; Taherei Ghazvinei, P. The effect of pile spacing and arrangement on bed formation and scour hole dimensions in pile groups. Int. J. River Basin Manag. 2017, 15, 219–225. [Google Scholar] [CrossRef]
- Puspasari, A.D.; Tang, J.-H. Numerical simulation of scouring around groups of six cylinders with different flow directions. J. Chin. Inst. Eng. 2023, 46, 420–430. [Google Scholar] [CrossRef]
- Gong, M.; Pan, X.; Du, S.; Wu, G.; Lv, Y.; Sun, Y.; Ding, G.; Liang, B. Laboratory Study of Local Scour Around an Array of Pile Groups in Clear-Water Scour Conditions. J. Mar. Sci. Eng. 2025, 13, 137. [Google Scholar] [CrossRef]
- Ravanfar, S.M.; Mohammadpour, R.; Sabzevari, T. Experimental study of local scour around non-uniform twin piers. Int. J. River Basin Manag. 2024, 22, 429–444. [Google Scholar] [CrossRef]
- Yang, Y.; Melville, B.W.; Macky, G.H.; Shamseldin, A.Y. Local scour at complex bridge piers in close proximity under clear-water and live-bed flow regime. Water 2019, 11, 1530. [Google Scholar] [CrossRef]
- Alemi, M.; Pêgo, J.P.; Maia, R. Numerical simulation of the turbulent flow around a complex bridge pier on the scoured bed. Eur. J. Mech.-B/Fluids 2019, 76, 316–331. [Google Scholar] [CrossRef]
- Amini, A.; Melville, B.W.; Ali, T.M. Local scour at piled bridge piers including an examination of the superposition method. Can. J. Civ. Eng. 2014, 41, 461–471. [Google Scholar] [CrossRef]
- Ataie-Ashtiani, B.; Baratian-Ghorghi, Z.; Beheshti, A.A. Experimental Investigation of Clear-Water Local Scour of Compound Piers. J. Hydraul. Eng. 2010, 136, 343–351. [Google Scholar] [CrossRef]
- Coleman, S.E. Clearwater Local Scour at Complex Piers. J. Hydraul. Eng. 2005, 131, 330–334. [Google Scholar] [CrossRef]
- Moreno, M.; Maia, R.; Couto, L. Prediction of Equilibrium Local Scour Depth at Complex Bridge Piers. J. Hydraul. Eng. 2016, 142, 04016045. [Google Scholar] [CrossRef]
- Moreno, M.; Maia, R.; Couto, L. Effects of Relative Column Width and Pile-Cap Elevation on Local Scour Depth around Complex Piers. J. Hydraul. Eng. 2016, 142, 04015051. [Google Scholar] [CrossRef]
- Yao, W.; Draper, S.; An, H.; Cheng, L.; Harris, J.M.; Whitehouse, R.J.S. Experimental study of local scour around submerged compound piles in steady current. Coast. Eng. 2021, 165, 103831. [Google Scholar] [CrossRef]
- Zhu, C.; Wu, W.; Liu, X.; Liu, H.; Hu, R.; Yu, P. Experimental study of structure dimensions effects on local scour of submerged compound suction anchor foundation. Ocean Eng. 2024, 294, 116742. [Google Scholar] [CrossRef]
- Gautam, P.; Eldho, T.I.; Behera, M.R. Effects of pile-cap elevation on scour and turbulence around a complex bridge pier. Int. J. River Basin Manag. 2023, 21, 283–297. [Google Scholar] [CrossRef]
- Adnan, M.; Zhao, M.; Wu, H.; Dhamelia, V. Experimental study of local scour around a compound pile under steady current. Ocean Eng. 2025, 318, 120151. [Google Scholar] [CrossRef]
- Ettema, R.; Kirkil, G.; Muste, M. Similitude of large-scale turbulence in experiments on local scour at cylinders. J. Hydraul. Eng. 2006, 132, 33–40. [Google Scholar] [CrossRef]
- Soulsby, R.L. Dynamics of marine sands: A manual for practical applications. Oceanogr. Lit. Rev. 1997, 9, 947. [Google Scholar] [CrossRef]
- Mamoon, A.-A.; Zhao, M.; Wu, H.; Keshavarzi, A. Experimental investigation of local scour around two submerged short square piles under tandem, side-by-side and staggered arrangements in steady current. Ocean Eng. 2022, 261, 112156. [Google Scholar] [CrossRef]
- Melville, B.W.; Chiew, Y.-M. Time scale for local scour at bridge piers. J. Hydraul. Eng. 1999, 125, 59–65. [Google Scholar] [CrossRef]
- Shrestha, C.K. Bridge Pier Flow Interaction and Its Effect on the Process of Scouring. Ph.D. Thesis, University of Technology Sydney, Ultimo, Australia, 2015. [Google Scholar]
- Amini, A.; Melville, B.W.; Ali, T.M.; Ghazali, A.H. Clear-water local scour around pile groups in shallow-water flow. J. Hydraul. Eng. 2012, 138, 177–185. [Google Scholar] [CrossRef]
- Zhang, Q.; Zhou, X.-L.; Wang, J.-H. Numerical investigation of local scour around three adjacent piles with different arrangements under current. Ocean Eng. 2017, 142, 625–638. [Google Scholar] [CrossRef]
- Gong, M.; Wu, G.; Du, S.; Pan, X.; Lv, Y.; Sun, Y.; Ding, G.; Liang, B. Experimental investigations of local scour around piles in a single-column and three-columns with multiple rows in steady current. Appl. Ocean Res. 2025, 159, 104608. [Google Scholar] [CrossRef]
- Alam, M.M.; Moriya, M.; Sakamoto, H. Aerodynamic characteristics of two side-by-side circular cylinders and application of wavelet analysis on the switching phenomenon. J. Fluids Struct. 2003, 18, 325–346. [Google Scholar] [CrossRef]
- Zhao, C.; Fang, H.; Ouro, P.; Stoesser, T.; Dey, S. Response of bedload and bedforms to near-bed flow structures. J. Hydraul. Eng. 2024, 150, 04023060. [Google Scholar] [CrossRef]













| References | Pile Type and Number | Arrangement | Major Insights |
|---|---|---|---|
| Ma et al. [9] | SP, 2 | Tandem, SBS, Staggered | Horseshoe vortex (HV) in front of the pile is the key mechanism that causes the scour. Placing piles in tandem, SBS, and staggered arrangements modifies the HV characteristics and results in different effects on flow, stronger blockage, shielding effect, flow acceleration, and wake interference, which alter the scour depth and extent around each pile in a pile group. |
| Heidarpour et al. [16] | SP, 2 and 3 | Tandem | Different scour protection techniques have been developed. Among them, collars showed promising results in reducing the scour around single piles and groups of piles. |
| Devi and Kumar [18] | SP, 2 | Tandem | Scour depth initially increases with an increase in pier spacing in a tandem arrangement, but beyond a certain value, further increase in spacing leads to a decrease in scour depth. |
| Yu et al. [19] | SP, 2 | Tandem | Maximum scour occurs at the upstream pier, with the largest scour at G/D = 4 and the smallest at G/D = 2. For G/D > 5, the shielding effect on downstream piers becomes negligible. |
| Liu et al. [10] | SP,2 | Tandem, SBS, Staggered | Scour at the upstream side of downstream piles does not occur during the early stage, with the delay being longest when the pile spacing ratio is 0.5. |
| Yang et al. [8] | SP,2, 4, 6 | Tandem, SBS, Staggered | -Equilibrium scour depth decreases with an increase in pile spacing (G/D), with rear piles experiencing less scour than front piles. -Critical G/D value for pile group effect increases with Froude number. |
| Zhao et al. [20] | SP, 2 | Tandem | Spacing affects the value of scour depth at the upstream and downstream piles due to flow obstruction and the formation of an extended body regime at closer spacing values. |
| Yagci et al. [21] | SP | Hexagonal | An array of cylinders causes 27% less scour volume and 22% less scour depth as compared to a single solid cylinder of the same diameter. |
| Wang et al. [12] | SP, 3 | Tandem | The behavior of fluid flow is complex in group arrangements, which affects both the local and global scour depth. |
| Ataie-Ashtiani and Beheshti [13] | SP, 2, 3, 4, 6, 8 | Tandem, SBS | The results showed that the maximum scour depth occurred for the 3 × 2 pile group, likely due to the intensified effect of compressed horseshoe vortices. The minimum scour depth was observed for the two-pile tandem 1 × 2 arrangement. |
| Ataie-Ashtiani and Aslani-Kordkandi [22] | SP, 1, 2 | Tandem | -Presence of downstream pier changes the flow structure, particularly in the near-wake region. -Due to the shielding effect of the upstream pier, the velocity of flow approaching the downstream pier decreases to 0.2–0.3 times the mean velocity. |
| Liang et al. [14] | SP, 2, 9 | Tandem, SBS, 3 × 3 array | -The interference of local scour between two piles decreases as the spacing increases for the case of side-by-side and tandem arrangements. -Scoured material from the upstream piles gets trapped in front of the downstream piles. |
| Okhravi et al. [23] | SP, 4 | Tandem, Staggered | For the tandem arrangement, the maximum scour depth in pile groups increases as the pile spacing decreases. However, under the same arrangement and flow conditions, this trend was not observed for non-uniform sediments. |
| Abolfathi et al. [24] | SP, 3 | Tandem | -During hydrograph flows, the scour depths around the rear piles are reduced by up to 24% of the pile diameter. -The final equilibrium scour depth was found to differ from the maximum scour depth in the tandem arrangement during the hydrograph. |
| Pasupuleti et al. [25] | SP, 2, 3 | Tandem, Staggered | -In the tandem arrangement, a recirculation zone was formed near the bed in front of the rear pier in the tandem arrangement, and a bi-vortex system developed between the three piers, with vortices rotating in opposite directions. -A strong secondary vortex was observed in addition to the primary horseshoe vortex at the pier base. |
| Qi et al. [26] | SP, 2 | Tandem | The local scour depth at the downstream pier increases with an increase in pier spacing, as the shielding effect of the upstream pier diminishes. |
| Tang and Puspasari [27] | SP, 2, 3 | Tandem | The greatest local scour depth consistently occurs at the front pile, which acts as the shield pile, followed sequentially by the piles located downstream. |
| Yang et al. [28] | SP, 4 | 2 × 2 array | The mean flow characteristics around the pile group, such as velocity, vorticity, and bed shear stress, tend to decrease, whereas the fluctuating components, particularly turbulence intensity, increase. |
| Amini and Solaimani [29] | SP, (1–5) | 2 × 1, 2 × 2, 2 × 3, 2 × 4, 2 × 5 arrays | -With an increase in uniform and transverse spacing, the maximum scour depth reduces. The pile spacing variation in line with the flow has a minor effect on scour depth. -The pile spacing perpendicular to the flow has the most influence on scour depth. |
| Malik and Setia [7] | SP, 2, 3 | Tandem, SBS, Staggered (Triangular) | -For G/D values of 16, 1.5, and 2.5 in tandem, SBS, and staggered arrangement, respectively, both the piles go through an independent scour process. -For G/D = 0 in the tandem arrangement, the S/D value is 41% higher than a single pile. |
| Malik et al. [6] | SP, 2 | Tandem | -Five stages of the scour process are identified depending upon the G/D value. -With an increase in G/D value, reinforcement and shadowing effect on the rear pile start to diminish. |
| Devi and Kumar [5] | SP, 2 | SBS | For scour prediction, Larsen & Toch and S/M equations yielded better results. |
| Rout and Sarkar [30] | SP, 2 | Tandem | Formation of an armor layer causes a reduction of 6% and 35% in scour depth at the upstream and downstream cylinder, respectively. |
| Rout and Sarkar [31] | SP, 2 | Tandem, Staggered | Scour depth around the downstream cylinder increases with an increase in alignment angle. |
| Lu et al. [32] | SP, 4 | 2 × 2 array | -A new time factor is proposed, which can reliably predict the scour process and equilibrium scour depth. -To explain the effect of aspect ratio on scour depth, a correction coefficient is proposed. |
| Liang et al. [33] | SP, 1, 2, 9 | Tandem, SBS, 3 × 3 array | -Modified the existing equations for scour prediction for a single pile. -Provided a new correction factor for pile group arrangements. |
| Lança et al. [34] | SP | 1 × 4, 2 × 4, 3 × 4, and 4 × 4 arrays | -Scour development rate depends upon the skew angle. -Skew-angle of 30° causes a deeper scour hole with a larger equilibrium time. |
| Solaimani et al. [35] | SP | 2 × 1, 2 × 2, 2 × 3 and 1 × 2 arrays | Increased pile spacing causes larger scour depths, area, and volume with a rapid increase at G/D = 3. |
| Puspasari and Tang [36] | SP | 2 × 3 array in SBS and tandem | Minimum scour occurs in a tandem arrangement with pile spacing of 3.5. |
| Gong et al. [37] | SP | 5 × 5 array | -At larger flow intensities, S/D decreases linearly with the pile row numbers. -For parallel arrangement, scour depth has a minor difference at the front and rear pile. |
| Ravanfar et al. [38] | CP, 2 | Tandem | -Spacing (G/D) affects the scouring process when the foundation is buried beneath the bed (H/D < 0). -A regression equation was suggested based on the results to predict the maximum scour in front of the foundation. |
| Yang et al. [39] | Complex Piles, 2 | Tandem, SBS, Staggered | -The protection effect was evident in tandem and staggered arrangements. -Flow acceleration due to contraction was observed in aligned and skewed SBS arrangements. |
| Median particle size of sand, d50 (mm) | 0.73 |
| d85 (mm) | 0.82 |
| d15 (mm) | 0.62 |
| Uniformity parameter of sand (d85/d15) 0.5 | 1.15 |
| Critical shields parameter, θcr | 0.030 |
| Water depth, h (m) | 0.380 |
| Water density, ρ (kg/m3) | 1000 |
| Specific gravity, s | 2.615 |
| Depth-averaged velocity over z = 0–0.38 m, U (m/s) | 0.373 |
| Shields parameter due to skin friction, θs | 0.033 |
| θs/θcr | 1.1 |
| Foundation Diameter D (mm) | 100 |
| Pile Diameter d (mm) | 50 |
| Foundation Height (H) to Diameter (D) ratio | 1 |
| Foundation Height (H) to Water Depth (h) ratio | 0.26 |
| Non-Dimensional Spacing (G/D) | 1, 1.5, 2, 3 |
| Reynold Number based on Foundation Diameter (ReD) | 3.7 × 104 |
| Froude number (Fr) | 0.19 |
| Foundation Diameter (D) to Particle size d50 ratio | 137 |
| Total pile height h0 (m) | 0.380 |
| Exp# | β | G/D | Sm/D | Position for MSD C1 | Position for MSD C2 | α = Sm/Sm,CP | α = Sm/Sm,CP | |
|---|---|---|---|---|---|---|---|---|
| C1 | C2 | (θ°) | (θ°) | C1 | C2 | |||
| 1 | 0° | 1 | 1.25 | 1.18 | 0 | 0 | 1.02 | 0.97 |
| 2 | 0° | 1.5 | 1.32 | 1.11 | 315 | 0 | 1.08 | 0.91 |
| 3 | 0° | 3 | 1.13 | 1.17 | 0 | 0 | 0.93 | 0.96 |
| 4 | 45° | 1 | 1.21 | 1.09 | 0 | 0 | 0.99 | 0.89 |
| 5 | 45° | 1.5 | 1.28 | 1.23 | 45 | 0 | 1.05 | 1.01 |
| 6 | 45° | 3 | 1.21 | 1.24 | 0 | 0 | 0.99 | 1.02 |
| 7 | 90° | 1 | 1.2 | 0.84 | 0 | 0 | 0.98 | 0.69 |
| 8 | 90° | 2 | 1.25 | 0.82 | 0 | 315 | 1.02 | 0.67 |
| 9 | 90° | 3 | 1.2 | 0.68 | 0 | 315 | 0.98 | 0.56 |
| 10 | Single CP | N/A | 1.22 | N/A | 315 | N/A | 1 | N/A |
Disclaimer/Publisher’s Note: The statements, opinions and data contained in all publications are solely those of the individual author(s) and contributor(s) and not of MDPI and/or the editor(s). MDPI and/or the editor(s) disclaim responsibility for any injury to people or property resulting from any ideas, methods, instructions or products referred to in the content. |
© 2025 by the authors. Licensee MDPI, Basel, Switzerland. This article is an open access article distributed under the terms and conditions of the Creative Commons Attribution (CC BY) license.
Share and Cite
Adnan, M.; Zhao, M.; Wu, H.; Munir, A.; Dhamelia, V. Experimental Study of Local Scour Around Two Compound Piles in Tandem, Side-by-Side and Staggered Arrangements Under Steady Current. J. Mar. Sci. Eng. 2026, 14, 27. https://doi.org/10.3390/jmse14010027
Adnan M, Zhao M, Wu H, Munir A, Dhamelia V. Experimental Study of Local Scour Around Two Compound Piles in Tandem, Side-by-Side and Staggered Arrangements Under Steady Current. Journal of Marine Science and Engineering. 2026; 14(1):27. https://doi.org/10.3390/jmse14010027
Chicago/Turabian StyleAdnan, Muhammad, Ming Zhao, Helen Wu, Adnan Munir, and Vatsal Dhamelia. 2026. "Experimental Study of Local Scour Around Two Compound Piles in Tandem, Side-by-Side and Staggered Arrangements Under Steady Current" Journal of Marine Science and Engineering 14, no. 1: 27. https://doi.org/10.3390/jmse14010027
APA StyleAdnan, M., Zhao, M., Wu, H., Munir, A., & Dhamelia, V. (2026). Experimental Study of Local Scour Around Two Compound Piles in Tandem, Side-by-Side and Staggered Arrangements Under Steady Current. Journal of Marine Science and Engineering, 14(1), 27. https://doi.org/10.3390/jmse14010027

