Sign in to use this feature.

Years

Between: -

Subjects

remove_circle_outline
remove_circle_outline
remove_circle_outline
remove_circle_outline
remove_circle_outline
remove_circle_outline
remove_circle_outline
remove_circle_outline
remove_circle_outline

Journals

remove_circle_outline
remove_circle_outline
remove_circle_outline
remove_circle_outline
remove_circle_outline
remove_circle_outline
remove_circle_outline
remove_circle_outline
remove_circle_outline
remove_circle_outline
remove_circle_outline
remove_circle_outline
remove_circle_outline
remove_circle_outline

Article Types

Countries / Regions

remove_circle_outline
remove_circle_outline
remove_circle_outline
remove_circle_outline
remove_circle_outline

Search Results (774)

Search Parameters:
Keywords = limited hydrolysis

Order results
Result details
Results per page
Select all
Export citation of selected articles as:
34 pages, 4734 KB  
Review
Targeting Bacterial Cell Wall Synthesis: Structural Insights and Emerging Therapeutic Strategies
by Bharat Kumar Reddy Sanapalli, Christopher R. Jones and Vidyasrilekha Sanapalli
Pharmaceutics 2026, 18(1), 106; https://doi.org/10.3390/pharmaceutics18010106 - 13 Jan 2026
Abstract
The emergence of multidrug-resistant (MDR) bacterial pathogens has heightened the urgency for novel antibacterial agents. The bacterial cell wall usually comprises peptidoglycan, which presents a prime target for antibacterial drug development due to its indispensable role in maintaining cellular integrity. Conventional antibiotics such [...] Read more.
The emergence of multidrug-resistant (MDR) bacterial pathogens has heightened the urgency for novel antibacterial agents. The bacterial cell wall usually comprises peptidoglycan, which presents a prime target for antibacterial drug development due to its indispensable role in maintaining cellular integrity. Conventional antibiotics such as β-lactams and glycopeptides hinder peptidoglycan synthesis through competitive binding of penicillin-binding proteins (PBPs) and sequestration of lipid-linked precursor molecules. Nevertheless, prevalent resistance mechanisms including target modification, β-lactamase hydrolysis, and multi-drug efflux pumps have limited their clinical utility. This comprehensive analysis explicates the molecular machinery underlying bacterial cell wall assembly, evaluates both explored and unexplored enzymatic nodes within this pathway, and highlights the transformative impact of high-resolution structural elucidation in accelerating structure-guided drug discovery. Novel targets such as GlmS, GlmM, GlmU, Mur ligases, D,L-transpeptidases are assessed for their inclusiveness for the discovery of next-generation antibiotics. Additionally, cell wall inhibitors are also examined for their mechanisms of action and evolutionary constraints on MDR development. High-resolution crystallographic data provide valuable insights into molecular blueprints for structure-guided optimization of pharmacophores, enhancing binding affinity and circumventing resistance determinants. This review proposes a roadmap for future innovation, advocating for the convergence of computational biology platforms, machine learning-driven compound screening, and nanoscale delivery systems to improve therapeutic efficacy and pharmacokinetics. The synergy of structural insights and cutting-edge technologies offers a multidisciplinary framework for revitalizing the antibacterial arsenal and combating MDR infections efficiently. Full article
(This article belongs to the Special Issue New Era in Antimicrobial Strategies)
Show Figures

Figure 1

17 pages, 762 KB  
Article
Porcine Blood: An Eco-Efficient Source of Multifunctional Protein Hydrolysates
by Sandra Borges, Joana Odila, Glenise Voss, Rui Martins, André Almeida and Manuela Pintado
Foods 2026, 15(2), 254; https://doi.org/10.3390/foods15020254 - 10 Jan 2026
Viewed by 67
Abstract
Porcine blood is a major slaughterhouse by-product and a sustainable source of high-quality proteins with potential food and nutraceutical applications. This study valorized porcine whole blood (WB, 6.7 ± 0.1% protein) and red cell fraction (CF, 50.4 ± 0.2% protein) through alcalase hydrolysis, [...] Read more.
Porcine blood is a major slaughterhouse by-product and a sustainable source of high-quality proteins with potential food and nutraceutical applications. This study valorized porcine whole blood (WB, 6.7 ± 0.1% protein) and red cell fraction (CF, 50.4 ± 0.2% protein) through alcalase hydrolysis, generating hydrolysates (WBH and CFH) with bioactive and techno-functional properties. Optimal hydrolysis conditions, defined as enzyme-to-substrate (E/S) and incubation time yielding the highest degree of hydrolysis (DH) with cost-effective enzyme usage, were 1% E/S for 4 h (WBH) and 2.5% E/S for 4 h (CFH). WBH showed a higher DH (59.5 ± 2.6%) than CFH (30.8 ± 3.3%). Antioxidant assays revealed higher ABTS activity in CFH (14.1 vs. 11.1 mg ascorbic acid equivalents/g, p < 0.05), while both exhibited similar ORAC values (166.8–180.2 mg Trolox equivalents/g, p > 0.05). After simulated gastrointestinal digestion, ABTS activity was preserved, whereas ORAC decreased (~40%). ACE inhibitory activity was also pronounced, particularly in CFH (IC50 = 59.5 µg protein/mL), but digestion converged values between hydrolysates (118–135 µg protein/mL). Techno-functional tests showed moderate emulsifying activity (~40%), with CFH displaying markedly higher oil absorption (4.79 vs. 1.31 g oil/g). Considering the limited information on porcine blood hydrolysates under gastrointestinal conditions, these findings provide new insights into their stability and support their potential as multifunctional ingredients for health-promoting foods and functional formulations. Full article
Show Figures

Figure 1

16 pages, 1597 KB  
Article
Thermal and Fat Organic Loading Effects on Anaerobic Digestion of Dairy Effluents
by Juana Fernández-Rodríguez, Montserrat Pérez and Diana Francisco
Biomass 2026, 6(1), 8; https://doi.org/10.3390/biomass6010008 - 9 Jan 2026
Viewed by 110
Abstract
The untreated discharge of dairy industry wastewater, characterized by high organic and nutrient loads, poses a severe eutrophication threat, leading to oxygen depletion and the disruption of aquatic ecosystems, which necessitates advanced treatment strategies. Anaerobic digestion (AD) represents an effective and sustainable alternative, [...] Read more.
The untreated discharge of dairy industry wastewater, characterized by high organic and nutrient loads, poses a severe eutrophication threat, leading to oxygen depletion and the disruption of aquatic ecosystems, which necessitates advanced treatment strategies. Anaerobic digestion (AD) represents an effective and sustainable alternative, converting organic matter into biogas while minimizing sludge production and contributing to Circular Economy strategies. This study investigated the effects of fat concentration and operational temperature on the anaerobic digestion of dairy effluents. Three types of effluents, skimmed, semi-skimmed, and whole substrates, were evaluated under mesophilic 35 °C and thermophilic 55 °C conditions to degrade substrates with different fat content. Low-fat effluents exhibited higher COD removal, shorter lag phases, and stable activity under mesophilic conditions, while high-fat substrates delayed start-up due to accumulation of fatty acids and brief methanogen inhibition. Thermophilic digestion accelerated hydrolysis and methane production but demonstrated increased sensitivity to lipid-induced inhibition. Kinetic modeling confirmed that the modified Gompertz model accurately described mesophilic digestion with rapid microbial adaptation, while the Cone model better captured thermophilic, hydrolysis-limited kinetics. The thermophilic operation significantly enhanced methane productivity, yielding 105–191 mL CH4 g−1VS compared to 54–70 mL CH4 g−1VS under mesophilic conditions by increasing apparent hydrolysis rates and reducing lag phases. However, the mesophilic process demonstrated superior operational stability and robustness during start-up with fat-rich effluents, which otherwise suffered delayed methane formation due to lipid hydrolysis and volatile fatty acid (VFA) inhibition. Overall, the synergistic interaction between temperature and fat concentration revealed a trade-off between methane productivity and process stability, with thermophilic digestion increasing methane yields up to 191 mL CH4 g−1 VS but reducing COD removal and robustness during start-up, whereas mesophilic operation ensured more stable performance despite lower methane yields. Full article
Show Figures

Figure 1

17 pages, 1465 KB  
Article
High-Solids Processing of Palmaria palmata for Feed Applications: Effects of Alkaline Autoclaving and Sequential Enzymatic Treatment
by Catarina Ramos-Oliveira, Marta Ferreira, Isabel Belo, Aires Oliva-Teles and Helena Peres
Phycology 2026, 6(1), 12; https://doi.org/10.3390/phycology6010012 - 8 Jan 2026
Viewed by 228
Abstract
Macroalgae are increasingly recognized as a valuable source of nutrients and bioactive compounds for animal nutrition, including for aquatic species. However, the complex structure of the macroalgal cell wall limits the accessibility of intracellular components, restricting their use in feeds. To overcome this [...] Read more.
Macroalgae are increasingly recognized as a valuable source of nutrients and bioactive compounds for animal nutrition, including for aquatic species. However, the complex structure of the macroalgal cell wall limits the accessibility of intracellular components, restricting their use in feeds. To overcome this limitation, macroalgal hydrolysis using various technological treatments has been tested, often employing a low solid-to-water ratio, which complicates downstream processing due to phase separation. In contrast, high-solids loading hydrolysis has the advantage of producing a single and consolidated fraction, simplifying subsequent processing and application. The present study assessed the effectiveness of high-solids loading water or alkaline (0.5 and 1N NaOH) autoclaving for 30 or 60 min, applied alone or followed by sequential enzymatic hydrolysis, using a xylanase-rich enzymatic complex aimed at promoting cell wall disruption and increasing the extractability of intracellular components in the red macroalga Palmaria palmata with minimal free water. The 1N NaOH treatment for 30 min decreased neutral and acid detergent fiber while increasing Folin–Ciocalteu total phenolic content (GAE) (expressed as gallic acid equivalent) and the water-soluble protein fraction and decreased crude protein, indicating enhanced extractability of these components. Microscopic examination showed relatively mild structural changes on the surface of P. palmata after high-solids loading alkaline (1N NaOH) autoclaving for 30 min. Following alkaline or water treatment, the enzymatic complex hydrolysis further increased the Folin–Ciocalteu total phenolic content (GAE), with minimal effects on NDF, ADF, or crude protein. Overall, these results showed that high-solids loading alkaline autoclaving, with or without subsequent enzymatic hydrolysis, effectively disrupts P. palmata cell walls and induces substantial modifications while simplifying processing by avoiding phase separation. Full article
(This article belongs to the Special Issue Development of Algal Biotechnology)
Show Figures

Figure 1

16 pages, 816 KB  
Article
Urinary Equol Production Capacity, Dietary Habits, and Premenstrual Symptom Severity in Healthy Young Japanese Women
by Nanae Kada-Kondo, Natsuka Kimura, Kurea Isobe, Akari Kaida, Saki Ota, Akari Fujita, Yuu Haraki, Ryozo Nagai and Kenichi Aizawa
Metabolites 2026, 16(1), 55; https://doi.org/10.3390/metabo16010055 - 8 Jan 2026
Viewed by 243
Abstract
Background/Objectives: Equol, a gut microbial metabolite of the soy isoflavone, daidzein, is associated with estrogenic activity and potential benefits for women’s health. While equol production depends on individual gut microbial composition, its dietary and clinical correlates in young women remain incompletely characterized. [...] Read more.
Background/Objectives: Equol, a gut microbial metabolite of the soy isoflavone, daidzein, is associated with estrogenic activity and potential benefits for women’s health. While equol production depends on individual gut microbial composition, its dietary and clinical correlates in young women remain incompletely characterized. This study explored the relationship between urinary equol production, dietary habits, and premenstrual symptom severity in healthy university-aged women. Methods: We conducted a cross-sectional study of 41 Japanese women, aged 19–20 years. Urinary equol was measured using a validated liquid chromatography–tandem mass spectrometry (LC–MS/MS) method, following enzymatic hydrolysis. Participants were classified as either equol producers or non-producers, based on urinary concentration thresholds. Dietary intake was evaluated using a dietary questionnaire focused on soy products and dietary fiber sources. Premenstrual symptoms were assessed using a standardized Japanese questionnaire for premenstrual syndrome and premenstrual dysphoric disorder. Results: Twelve percent of participants were classified as equol producers. Compared with non-producers, equol producers reported higher consumption of pumpkin, soybean sprouts, and green tea. Among non-producers, higher consumption of certain vegetables and fiber-rich foods, including broccoli, pickled radish, konjac, and konjac jelly, was associated with greater premenstrual symptom severity, whereas such associations were not observed among equol producers. The analytical method demonstrated high sensitivity and reproducibility for urinary equol measurement. Conclusions: These findings suggest that equol production status may be associated with distinct dietary patterns and with differences in the relationship between food intake and premenstrual symptom severity in young women. Although the cross-sectional design and limited sample size preclude causal inference, these findings suggest that urinary equol is a promising candidate biomarker for future research on diet-related modulation of premenstrual symptoms. Full article
(This article belongs to the Special Issue Application of Urinary Metabolomics in Early Disease Detection)
Show Figures

Figure 1

13 pages, 575 KB  
Article
A Star-PEGylation Strategy to Improve Testosterone Pharmacokinetics
by Chae Bin Lee, Lukáš Tenora, Ruoning Zhang, Arina Ranjit, Mark C. Markowski, Barbara S. Slusher and Rana Rais
Molecules 2026, 31(1), 198; https://doi.org/10.3390/molecules31010198 - 5 Jan 2026
Viewed by 219
Abstract
Testosterone, an androgenic steroid hormone, regulates primary sexual characteristics and influences mood, cognition, social behavior, and sexual function. Deficiency, caused by factors such as aging and genetics, is linked to multiple disease conditions. However, current testosterone therapies are limited by extensive metabolism, poor [...] Read more.
Testosterone, an androgenic steroid hormone, regulates primary sexual characteristics and influences mood, cognition, social behavior, and sexual function. Deficiency, caused by factors such as aging and genetics, is linked to multiple disease conditions. However, current testosterone therapies are limited by extensive metabolism, poor solubility, and undesirable side effects. To address these limitations, we synthesized a four-armed star PEG-OH-linked testosterone (PEG-T). The in vitro release of testosterone from PEG-T was evaluated in buffer (pH 7.4) and mouse plasma. PEG-T was stable in the buffer, but released testosterone in plasma via esterase-mediated hydrolysis. Pharmacokinetics of testosterone and PEG-T were compared following intraperitoneal (IP) and subcutaneous (SC) administration. Following IP dosing, PEG-T exhibited a ~6-fold improvement in half-life compared to testosterone (1.18 h vs. 0.21 h), and a 54-fold increase in exposure (AUC0-t = 36.0 μM·h vs. 0.67 μM·h) at equimolar doses; furthermore, following SC dosing, PEG-T showed a 4-fold improvement in both half-life (3.57 h vs. 0.91 h) and plasma exposure (11.5 μM·h vs. 3.1 μM·h). Additionally, PEG-T showed lower liver and kidney to plasma ratios, which could potentially result in reduced hepatotoxicity and nephrotoxicity. Overall, PEG-T provides sustained release pharmacokinetics, representing a promising candidate for safer testosterone replacement therapy. Full article
(This article belongs to the Section Medicinal Chemistry)
Show Figures

Graphical abstract

24 pages, 9454 KB  
Review
Trends in Inhibitors, Structural Modifications, and Structure–Function Relationships of Phosphodiesterase 4: A Review
by Antonio Sánchez-Belmonte, Adrián Matencio, Irene Conesa, Francisco José Vidal-Sánchez, Francesco Trotta and José Manuel López-Nicolás
Biomolecules 2026, 16(1), 79; https://doi.org/10.3390/biom16010079 - 3 Jan 2026
Viewed by 246
Abstract
Phosphodiesterase 4 (PDE4) is a key enzyme responsible for the hydrolysis of cyclic adenosine monophosphate (cAMP), thereby regulating essential signaling pathways involved in inflammation and immune modulation. Structural studies have demonstrated a high degree of conservation within the catalytic domains of PDE4 isoforms, [...] Read more.
Phosphodiesterase 4 (PDE4) is a key enzyme responsible for the hydrolysis of cyclic adenosine monophosphate (cAMP), thereby regulating essential signaling pathways involved in inflammation and immune modulation. Structural studies have demonstrated a high degree of conservation within the catalytic domains of PDE4 isoforms, accompanied by subtle conformational variations that underlie their selectivity and tissue-specific distribution. Elucidating these structural features has been instrumental in guiding the rational design of PDE4 inhibitors. Although synthetic PDE4 inhibitors such as roflumilast and apremilast exhibit significant therapeutic efficacy, their clinical application is often limited by dose-dependent adverse effects. These effects primarily arise from insufficient isoform selectivity, as current inhibitors tend to target multiple PDE4 subtypes indiscriminately, resulting in off-target pharmacological actions and reduced tolerability. In contrast, natural products—including flavonoids, terpenoids, and related polyphenolic compounds such as curcumin, α-mangostin, and their derivatives—have emerged as promising molecular scaffolds. Their lower toxicity, favorable biocompatibility, and structural diversity enable fine-tuning of potency and selectivity through rational modification. Integrating structural insights derived from crystallographic and computational studies with the optimization of natural compounds offers a sustainable and effective strategy for the development of safer, isoform-selective PDE4-targeted therapies. Full article
(This article belongs to the Section Enzymology)
Show Figures

Graphical abstract

18 pages, 11974 KB  
Article
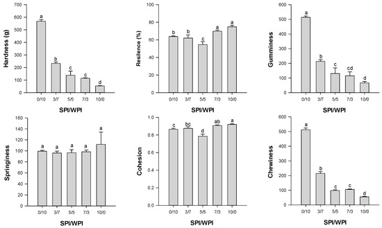
Gel Characteristics and Digestion of Composite Protein Emulsion-Filled Gels with Varying Soy and Whey Protein Ratios in the Matrix
by Qiuyan Liu, Georgina Benewaa Yeboah, Sen Wang, Haowei Zhang, Juan Wu, Qingling Wang and Yu Cheng
Gels 2026, 12(1), 37; https://doi.org/10.3390/gels12010037 - 31 Dec 2025
Viewed by 189
Abstract
The effect of mixed soy and whey protein in the matrix on properties and digestion characteristics of emulsion-filled gels was investigated. Different matrix protein concentrations (8–14%) with a composite soy and whey protein (SW) ratio of 5:5 were screened using gel hardness. The [...] Read more.
The effect of mixed soy and whey protein in the matrix on properties and digestion characteristics of emulsion-filled gels was investigated. Different matrix protein concentrations (8–14%) with a composite soy and whey protein (SW) ratio of 5:5 were screened using gel hardness. The better-performing gel (13%) was selected for matrix composition studies. Soy and whey composite protein mixed at different ratios (S/W = 0/10, 3/7, 5/5, 7/3, and 10/0) was dispersed into another soy-whey (S/W = 6/4) composite emulsion and gelled thermally. Different hybrid protein ratios in the matrix can alter the textural and rheological properties and, consequently, the digestion kinetics of mixed plant-animal gel systems. The storage modulus was highest at an S/W ratio of 0/10. The hardness of gel with the S/W ratio matrix of 0/10 was 3.10 and 9.60 times higher than that of 5/5 and 10/0 (p < 0.05). The SW ratio did not affect water-holding capacity or springiness (p > 0.05). All the gels had swelling ability below 10% except SW 10/0 (around 60%). Gels with an S/W of 5/5 exhibited a lower hydrolysis degree and rate during gastric digestion, while the reverse occurred during intestinal digestion. The compact gel network might limit pepsin’s accessibility to cleavage sites. Full article
Show Figures

Graphical abstract

13 pages, 623 KB  
Article
Enhanced Microbial Diversity Attained Under Short Retention and High Organic Loading Conditions Promotes High Volatile Fatty Acid Production Efficiency
by Claudia Chao-Reyes, Rudolphus Antonius Timmers, Ahmed Mahdy, Silvia Greses and Cristina González-Fernández
Molecules 2026, 31(1), 132; https://doi.org/10.3390/molecules31010132 - 30 Dec 2025
Viewed by 188
Abstract
The optimization of volatile fatty acid (VFA) production from complex wastes under anaerobic conditions remains constrained in terms of productivity by the common use of long hydraulic retention times (HRTs, 20–30 days). Extended HRTs can limit process productivity by reducing substrate turnover and [...] Read more.
The optimization of volatile fatty acid (VFA) production from complex wastes under anaerobic conditions remains constrained in terms of productivity by the common use of long hydraulic retention times (HRTs, 20–30 days). Extended HRTs can limit process productivity by reducing substrate turnover and reactor throughput, while promoting further conversion of VFAs into methane and other end products. Despite its importance, the combined influence of pH and HRT on VFA yields and process optimization has not been comprehensively evaluated. This study investigates the effects of pH and short HRT on VFA production, microbial community structure, and hydrolysis and acidification efficiency in continuous stirred-tank reactors (CSTRs) fed with carbohydrate-rich feedstock (carrot residue pulp). Operating at an HRT of 11 days and an organic loading rate (OLR) of 4.4 g COD·L−1·d−1 at 25 °C under pH 5.1 resulted in a VFA bioconversion efficiency of ~45% and an acidification efficiency of 84%, without compromising VFA profile or productivity compared to reactors operated at 14 days HRT and 3.3 g COD·L−1·d−1. The shorter HRT and higher OLR enhanced hydrolysis efficiency (60%) and promoted greater microbial diversity, supporting robust hydrolytic activity and stable production dominated by acetic and butyric acids. These findings challenge the conventional assumption that longer retention times inherently improve process stability and demonstrate that operational conditions might improve reactor space–time yield in VFA-oriented fermentations. Full article
(This article belongs to the Section Green Chemistry)
Show Figures

Graphical abstract

15 pages, 478 KB  
Article
From Ecological Threat to Bioactive Resource: The Nutraceutical Components of Blue Crab (Callinectes sapidus)
by Annalaura Brai, Lorenzo Tiberio, Matteo Chiti, Federica Poggialini, Chiara Vagaggini, Guia Consales, Letizia Marsili and Elena Dreassi
Int. J. Mol. Sci. 2026, 27(1), 381; https://doi.org/10.3390/ijms27010381 - 30 Dec 2025
Viewed by 218
Abstract
Native to the western Atlantic, the Atlantic blue crab Callinectes sapidus (CS) has spread to the Mediterranean, affecting local ecosystems and mussel aquaculture and leading to severe ecological and financial losses in Italy and other areas. Given its rapid spread and socio-economic impacts, [...] Read more.
Native to the western Atlantic, the Atlantic blue crab Callinectes sapidus (CS) has spread to the Mediterranean, affecting local ecosystems and mussel aquaculture and leading to severe ecological and financial losses in Italy and other areas. Given its rapid spread and socio-economic impacts, several countries have begun to exploit CS commercially, but the consumers’ interest is still limited. In this study, we analysed both nutrient and nutraceutical profiles of CS meats, evaluating potential differences related to sex and meat typology. We found that CS meats are rich in high quality proteins and contain all the essential amino acids required for a correct diet. The fat of CS is not only rich in polyunsaturated fatty acids (PUFAs) but also displays remarkably low atherogenicity and thrombogenicity indices, highlighting its strong potential in promoting cardiovascular health. In addition, CS is rich in nutraceutical compounds, in particular polyphenols and astaxanthin, revealing a good antioxidant activity maintained after simulated gastrointestinal hydrolysis. Last but not least, CS has remarkable α-glucosidase and angiotensin-converting enzyme inhibitory activity, highlighting potential benefits in controlling glycaemic peaks and hypertension. Full article
(This article belongs to the Section Bioactives and Nutraceuticals)
Show Figures

Figure 1

17 pages, 4199 KB  
Article
Assessing Sugarcane Bagasse Biomethanation After a Pretreatment with Proteus mirabilis KC94
by Kgodiso J. Rabapane, Charles Rashama and Tonderayi S. Matambo
Bioresour. Bioprod. 2026, 2(1), 1; https://doi.org/10.3390/bioresourbioprod2010001 - 27 Dec 2025
Viewed by 230
Abstract
Sugarcane bagasse (SCB) is a lignocellulosic byproduct with low biodegradability, limiting its potential for biological processes such as biogas production. The objective of this study was to evaluate whether a short-term biological pretreatment with the cellulolytic bacterium Proteus mirabilis KC94 could enhance SCB [...] Read more.
Sugarcane bagasse (SCB) is a lignocellulosic byproduct with low biodegradability, limiting its potential for biological processes such as biogas production. The objective of this study was to evaluate whether a short-term biological pretreatment with the cellulolytic bacterium Proteus mirabilis KC94 could enhance SCB hydrolysis, improve nutrient balance, and increase biomethane potential (BMP). Three treatments were compared: untreated bagasse (UB), sterilized bagasse (SB), and KC94-pretreated bagasse (PB). Glucose release was highest in PB (61.83 ± 0.8 mg/mL), indicating enhanced cellulose degradation in PB relative to UB (53.19 ± 0.9 mg/mL) and SB (44.00 ± 0.5 mg/mL). Elemental analysis revealed a more balanced nutrient profile in PB, characterized by optimal carbon and nitrogen levels, and reduced sulfur content, indicating microbial assimilation and potential biological desulfurization. Scanning electron microscopy revealed pronounced structural disruption, increased porosity, and fiber delamination in PB, confirming the efficacy of KC94-mediated lignocellulosic pretreatment. BMP assays conducted over a 31-day incubation period revealed that PB produced the highest cumulative methane yield (99 ± 0.7 mL CH4/g VS), representing 19% and 25% increases over UB and SB, respectively. PB biomethanation was also faster compared to the other two substrates. These findings demonstrate the novelty of a 5-day bacterial pretreatment strategy, which significantly improves lignocellulosic hydrolysis and methane yield. Specifically, P. mirabilis KC94 pretreatment increased glucose release by 16–40% and cumulative methane yield by 19–25% compared to untreated and sterilized controls. This cost-effective and environmentally friendly approach highlights the potential of P. mirabilis KC94 to valorize sugarcane bagasse, advancing sustainable energy recovery and circular bioeconomy practices. Full article
Show Figures

Figure 1

23 pages, 6043 KB  
Article
Modified Polycaprolactone Films for Temporary Protection in Saline Conditions: A Preliminary Assessment
by Am Pris John, Sergio Santoro, Efrem Curcio, Pietro Argurio, Francesco Chidichimo, Salvatore Straface, Silvestro Antonio Ruffolo and Mauro Francesco La Russa
Polymers 2026, 18(1), 60; https://doi.org/10.3390/polym18010060 - 25 Dec 2025
Viewed by 474
Abstract
Saline archaeological artifacts are highly susceptible to deterioration caused by salt crystallization and moisture–material interactions, particularly in coastal archaeological contexts affected by saline water intrusion. This persistent challenge necessitates the development of temporary, low-impact protective materials capable of limiting saline ingress. The present [...] Read more.
Saline archaeological artifacts are highly susceptible to deterioration caused by salt crystallization and moisture–material interactions, particularly in coastal archaeological contexts affected by saline water intrusion. This persistent challenge necessitates the development of temporary, low-impact protective materials capable of limiting saline ingress. The present study reports on a preliminary assessment of modified polycaprolactone (PCL) films containing graphene oxide (GO) at 0.1%, 0.25%, and 0.5% to evaluate their potential as temporary barrier layers under saline stress conditions. Free-standing PCL/GO films were fabricated via solvent casting and exposed to natural Ionian seawater in a controlled laboratory incubation environment at 15 °C for up to 90 days, simulating early-stage saline exposure while controlling environmental variability and physical stress. Film behavior was evaluated through complementary surface, structural, mechanical, and permeability analyses. The findings indicate that GO content significantly influences surface wettability, microstructural evolution, and water transport properties. Low GO content (0.1%) enhanced barrier performance while maintaining structural integrity and controlled hydrolytic softening. In contrast, higher GO contents (0.25–0.5%) resulted in increased hydrophilicity, accelerated surface erosion, and greater mechanical degradation due to enhanced water uptake. Observed mass loss is attributed to early-stage hydrolysis rather than long-term biodegradation. This investigation is a material-level screening and does not represent a direct validation for conservation application. With superior stability and enhanced barrier properties, the optimized PCL/GO 0.1% film suggests significant potential for the protection of saline-affected archaeological materials. Full article
(This article belongs to the Special Issue Advanced Preparation and Characterization of Polymer-Based Thin Films)
Show Figures

Figure 1

34 pages, 17237 KB  
Article
Integrative Analysis of the Transcriptome and Metabolome Reveals the Mechanism of Saline-Alkali Stress Tolerance in Dracocephalum moldavica L.
by Haoze Wang, Jinhua Sheng, Xiongjie Zhang and Jianxun Qi
Agronomy 2026, 16(1), 46; https://doi.org/10.3390/agronomy16010046 - 23 Dec 2025
Viewed by 306
Abstract
Salt–alkali stress is a major abiotic factor limiting plant growth. Dracocephalum moldavica L., an aromatic plant with medicinal and edible value, shows some potential for salt–alkali tolerance, but its response mechanisms remain unclear. In this study, physiological, transcriptomic, and metabolomic approaches were employed [...] Read more.
Salt–alkali stress is a major abiotic factor limiting plant growth. Dracocephalum moldavica L., an aromatic plant with medicinal and edible value, shows some potential for salt–alkali tolerance, but its response mechanisms remain unclear. In this study, physiological, transcriptomic, and metabolomic approaches were employed to compare the responses of D. moldavica seedlings to salt (NaCl/Na2SO4 = 1:1), alkali (NaHCO3/Na2CO3 = 1:1), and mixed saline–alkali stress (NaCl/Na2SO4/NaHCO3/Na2CO3 = 1:1:1:1). The results showed that all stress types increased the MDA content, with osmotic regulators and antioxidant enzymes helping mitigate damage. Alkali stress caused the most severe chlorophyll and photosynthetic damage. Transcriptomic analysis identified 12,838, 11,124, and 11,460 differentially expressed genes (DEGs) under salt, alkali, and mixed saline–alkali stress, respectively. Metabolomic analysis identified 1802, 1937, and 1794 differentially accumulated metabolites (DAMs) under each stress condition. Combined analysis revealed that all stresses activated pathways involved in galactose metabolism, the TCA cycle, pentose–glucuronic acid interconversion, and phenylpropanoid biosynthesis. Salt stress enhanced sucrose hydrolysis and lignification via INV and HCT. Alkali stress promoted the synthesis of 1-O-sinapoyl-β-D-glucose through COMT, improving antioxidant capacity and pH stability. Mixed saline–alkali stress activated genes related to sugar and energy metabolism, leading to the accumulation of xylitol and citric acid. These findings provide insights into D. moldavica’s mechanisms for tolerance, supporting its potential for saline–alkali land use. Full article
(This article belongs to the Section Plant-Crop Biology and Biochemistry)
Show Figures

Figure 1

10 pages, 241 KB  
Review
Biodegradable (PLGA) Implants in Pediatric Trauma: A Brief Review
by Herman Nudelman, Tibor Molnár and Gergő Józsa
Children 2026, 13(1), 19; https://doi.org/10.3390/children13010019 - 22 Dec 2025
Viewed by 311
Abstract
Background/Objectives: Biodegradable implants have emerged as a promising alternative to traditional metallic fixation devices in pediatric orthopedic surgery. Avoiding implant removal is especially advantageous in children, who would otherwise require a second operation with additional anesthetic and surgical risks. This study reviews the [...] Read more.
Background/Objectives: Biodegradable implants have emerged as a promising alternative to traditional metallic fixation devices in pediatric orthopedic surgery. Avoiding implant removal is especially advantageous in children, who would otherwise require a second operation with additional anesthetic and surgical risks. This study reviews the current use of poly(lactic-co-glycolic acid) (PLGA) implants in pediatric fracture fixation and evaluates how they address limitations associated with traditional hardware. Methods: A narrative review was conducted summarizing current evidence, clinical experience, and case examples involving PLGA-based devices used in pediatric trauma. Special emphasis was placed on the degradation mechanism of PLGA, its controlled hydrolysis profile, and the capacity of the material to provide temporary mechanical stability during bone healing before complete resorption. The review included studies of PLGA use in forearm, distal radius, ankle, and elbow fractures, comparing outcomes to those obtained with metallic implants. Results: Across multiple clinical reports and case series, PLGA implants demonstrated effective fracture healing, stable fixation, and complication rates comparable to traditional metallic devices. Patients treated with resorbable implants benefited from reduced postoperative morbidity, no requirement for implant removal, and improved imaging compatibility. Conclusions: PLGA-based bioabsorbable implants represent a safe and effective alternative to conventional metal fixation in children. Their favorable degradation kinetics and clinical performance support their growing use in pediatric trauma surgery, while ongoing advances in polymer design and bioresorbable alloys continue to expand future applications. Full article
17 pages, 1031 KB  
Article
Fractionation and Chemical Characterization of Cell-Bound Biosurfactants Produced by a Novel Limosilactobacillus fermentum Strain via Cheese Whey Valorization
by Dimitra Alimpoumpa, Harris Papapostolou, Maria Alexandri, Vasiliki Kachrimanidou and Nikolaos Kopsahelis
Foods 2025, 14(24), 4342; https://doi.org/10.3390/foods14244342 - 17 Dec 2025
Viewed by 333
Abstract
Lactic acid bacteria (LAB) have attracted scientific attention as potential producers of biosurfactants (BS); however, there is limited knowledge on the structure of the produced molecules. The aim of this study was to elucidate the individual components comprising the crude BS produced by [...] Read more.
Lactic acid bacteria (LAB) have attracted scientific attention as potential producers of biosurfactants (BS); however, there is limited knowledge on the structure of the produced molecules. The aim of this study was to elucidate the individual components comprising the crude BS produced by Limosilactobacillus fermentum ACA-DC 0183. Initially, batch fermentations using substrate recycling were employed, leading to the production of 0.76 g/L of crude BS from cheese whey as the sole carbon and nutrient source. The produced BS maintained their properties under various temperatures, pH values, and salinity levels, signifying their potential uses in food applications. Additionally, the structural components were analyzed after hydrolysis. The lipoic part was mainly composed of palmitic acid, oleic acid, and stearic acid, while 17 amino acids were identified as part of the protein moiety of the molecule. Acid hydrolysis of the carbohydrate moiety revealed that this part consisted of glucose, galactose, and glycerol. Partial purification with column chromatography and characterization using FTIR demonstrated the presence of a glycoprotein and a glycolipid as surface-active molecules. Revealing the structure and specific properties of microbially produced BS can expand their utilization in target applications, while their production from renewable sources contributes towards the sustainable production of LAB-based BS. Full article
(This article belongs to the Special Issue Sustainable Uses and Applications of By-Products of the Food Industry)
Show Figures

Figure 1

Back to TopTop