Modified Polycaprolactone Films for Temporary Protection in Saline Conditions: A Preliminary Assessment
Abstract
1. Introduction
2. Materials and Methods
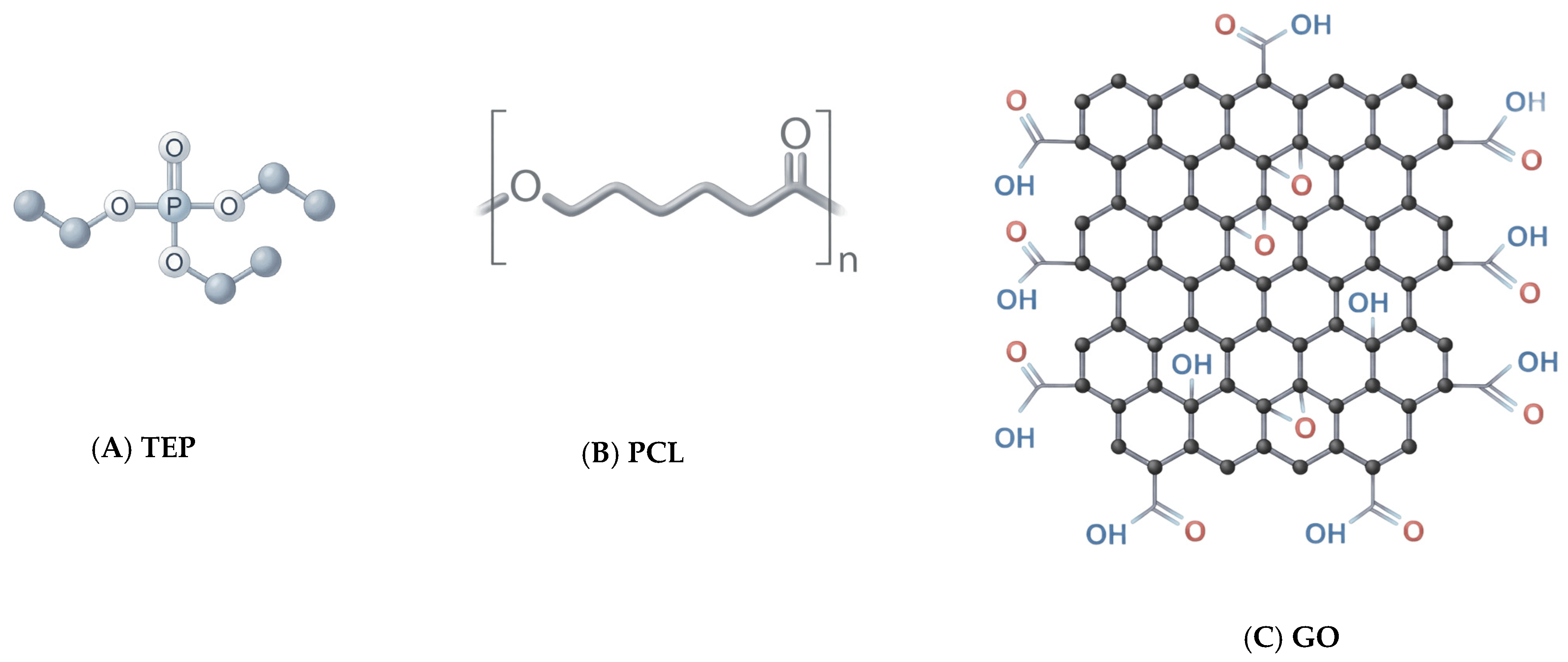
2.1. Materials
2.2. Preparation of PCl/GO Composite Films
2.3. Chemical Composition of Ionian Seawater Used in Immersion Tests
2.4. Surface Behavior of the Films
2.4.1. Surface Hydrophobicity: Contact Angle Measurements
2.4.2. FTIR Spectroscopy
2.5. Internal Microstructure and Film Quality
SEM Imaging
2.6. Functional Protection Performance
2.6.1. Permeability Testing
2.6.2. Mechanical Testing
2.7. Long-Term Stability in Saline Environments
Hydrolytic Mass Loss Testing
3. Results and Discussion
3.1. Seawater Characterization
3.2. Surface Behavior of the Films
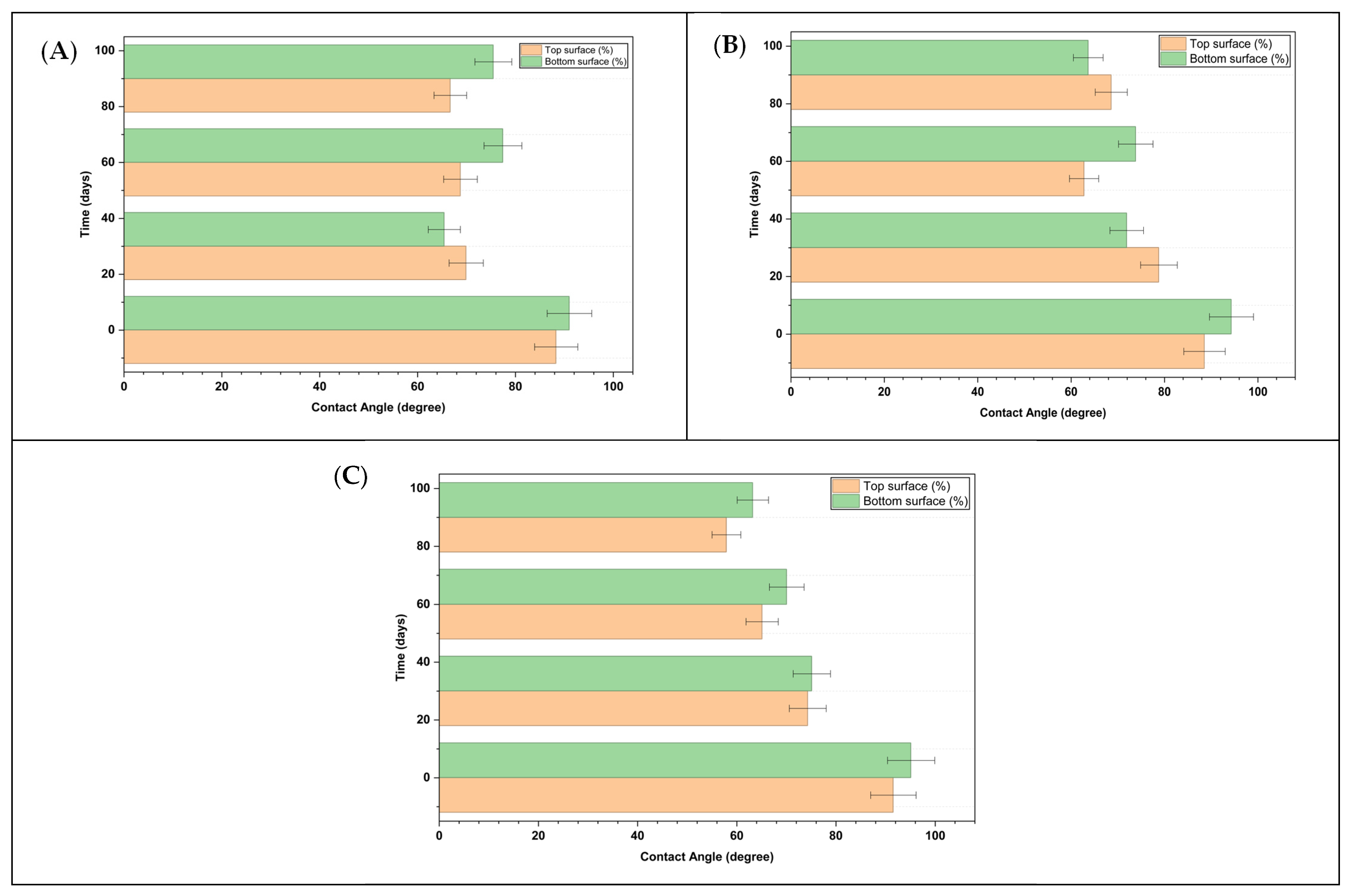
3.2.1. Surface Hydrophobicity: Contact Angle Measurements
3.2.2. FTIR Spectroscopy
3.3. Internal Microstructure and Film Quality
SEM Imaging
3.4. Functional Protection Performance
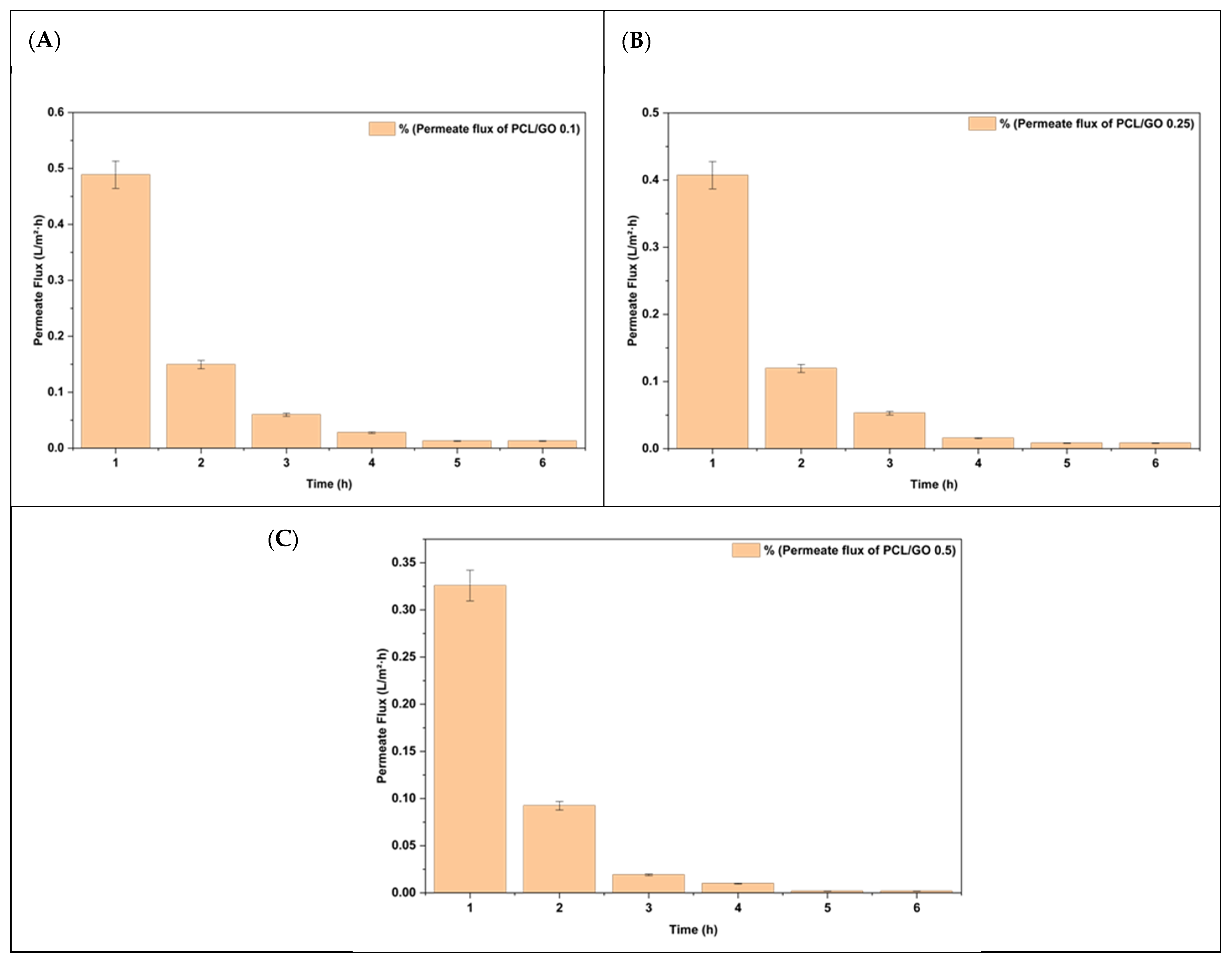
3.4.1. Permeability Testing
3.4.2. Mechanical Testing
3.5. Long-Term Stability in Saline Environments
Hydrolytic Mass Loss Testing
4. Conclusions
Author Contributions
Funding
Institutional Review Board Statement
Informed Consent Statement
Data Availability Statement
Conflicts of Interest
References
- Kilian, R.; Borgatta, L.; Wendler, E. Investigation of the deterioration mechanisms induced by moisture and soluble salts in the necropolis of Porta Nocera, Pompeii (Italy). Herit. Sci. 2023, 11, 72. [Google Scholar] [CrossRef]
- Cappai, M.; Casti, M.; Pia, G. Monitoring and preservation of stone cultural heritage using a fuzzy model for predicting salt crystallisation damage. Sci. Rep. 2024, 14, 22671. [Google Scholar] [CrossRef]
- Afif-Khouri, E.; Lozano-Martínez, A.; De Rego, J.I.L.; López-Gallego, B.; Forjan-Castro, R. Capillary Rise and Salt Weathering in Spain: Impacts on the Degradation of Calcareous Materials in Historic Monuments. Buildings 2025, 15, 2285. [Google Scholar] [CrossRef]
- Qu, J.; Sun, M.; Wang, F.; Liu, K.; Wang, W.; Zhou, J. Characteristics and Mechanism of Salt Weathering in Moist Earthen Sites: A Case Study on China’s Jinsha Earthen Site. Int. J. Archit. Herit. 2024, 19, 1100–1116. [Google Scholar] [CrossRef]
- Pérez-Diez, S.; Fernandez-Menendez, L.J.; Veneranda, M.; Morillas, H.; Prieto-Taboada, N.; De Vallejuelo, F.; Bordel, N.; Martellone, A.; De Nigris, B.; Osanna, M.; et al. Chemometrics and elemental mapping by portable LIBS to identify the impact of volcanogenic and non-volcanogenic degradation sources on the mural paintings of Pompeii. Anal. Chim. Acta 2021, 1168, 338565. [Google Scholar] [CrossRef]
- Wang, Y.; Li, J.; Xia, Y.; Chang, B.; Luo, X. A case study investigation-based experimental research on transport of moisture and salinity in semi-exposed relics. Herit. Sci. 2024, 12, 1–13. [Google Scholar] [CrossRef]
- Comite, V.; Bergomi, A.; Lombardi, C.A.; Borelli, M.; Fermo, P. Characterization of Soluble Salts on the Frescoes by Saturnino Gatti in the Church of San Panfilo in Villagrande di Tornimparte (L’Aquila). Appl. Sci. 2023, 13, 6623. [Google Scholar] [CrossRef]
- Wang, Y.; Zhang, H. The synergic impacts of salt mixture and frost damage on rock decay: Implications for the deterioration of rock-hewn heritages. Herit. Sci. 2023, 11, 209. [Google Scholar] [CrossRef]
- Zhang, X.; Wang, Q.; Fang, J.; Huang, H.; Zhang, K. Macroscopic mechanical and microscopic characteristics variations of red sandstone from Qinghai Province with solution erosion. Bull. Eng. Geol. Environ. 2024, 83, 339. [Google Scholar] [CrossRef]
- Kaushal, S.; Likens, G.; Pace, M.; Utz, R.; Haq, S.; Gorman, J.; Grese, M. Freshwater salinization syndrome on a continental scale. Proc. Natl. Acad. Sci. USA 2018, 115, E574–E583. [Google Scholar] [CrossRef] [PubMed]
- Jacot-Guillarmod, M.; Schmidt-Ott, K.; Mannes, D.; Kaestner, A.; Lehmann, E.; Gervais, C. Multi-modal tomography to assess dechlorination treatments of iron-based archaeological artifacts. Herit. Sci. 2019, 7, 29. [Google Scholar] [CrossRef]
- Wang, Z.; Seyeux, A.; Zanna, S.; Maurice, V.; Marcus, P. Chloride-induced alterations of the passive film on 316L stainless steel and blocking effect of pre-passivation. Electrochim. Acta 2020, 329, 135159. [Google Scholar] [CrossRef]
- Huang, Q.; Zha, J.; Han, X.; Wang, H. Temporary Consolidation of Marine Artifact Based on Polyvinyl Alcohol/Tannic Acid Reversible Hydrogel. Polymers 2023, 15, 4621. [Google Scholar] [CrossRef]
- John, A.P.; Santoro, S.; Curcio, E.; Argurio, P.; Chidichimo, F.; Straface, S.; La Russa, M.F. Assessment of Biodegradable Films as Protective Barriers Toward Sustainable Protection of Coastal Archaeological Sites. Sustainability 2025, 17, 10237. [Google Scholar] [CrossRef]
- Andreotti, S.; Franzoni, E.; Fabbri, P. Poly(hydroxyalkanoate)s-Based Hydrophobic Coatings for the Protection of Stone in Cultural Heritage. Materials 2018, 11, 165. [Google Scholar] [CrossRef] [PubMed]
- Fistoș, T.; Fierăscu, I.; Doni, M.; Chican, I.; Fierăscu, R. A Short Overview of Recent Developments in the Application of Polymeric Materials for the Conservation of Stone Cultural Heritage Elements. Materials 2022, 15, 6294. [Google Scholar] [CrossRef]
- Di Turo, F.; Medeghini, L. How Green Possibilities Can Help in a Future Sustainable Conservation of Cultural Heritage in Europe. Sustainability 2021, 13, 3609. [Google Scholar] [CrossRef]
- Cao, W.; Zhang, Y.; Liu, J. Circular Economy in Chinese Heritage Conservation: Upcycling Waste Materials for Sustainable Restoration and Cultural Narrative Revitalization. Sustainability 2025, 17, 3442. [Google Scholar] [CrossRef]
- Sadeghi, A.; Razavi, S.; Shaharampour, D. Fabrication and characterization of biodegradable active films with modified morphology based on polycaprolactone-polylactic acid-green tea extract. Int. J. Biol. Macromol. 2022, 205, 341–356. [Google Scholar] [CrossRef]
- Ospankulova, G.; Muratkhan, M.; Li, W.; Yevlampiyeva, Y.; Yermekov, Y. Biodegradation and Ecotoxicological Assessment of Food Films Based on Polycaprolactone and Modified Starch. Bull. Shakarim Univ. Tech. Sci. 2025, 1, 217–225. [Google Scholar] [CrossRef]
- Stojanović, D.; Ivanovska, A.; Barać, N.; Dimić-Mišić, K.; Kostić, M.; Radojević, V.; Janaćković, D.; Uskoković, P.; Barceló, E.; Gane, P. Biodegradable Cellulose/Polycaprolactone/Keratin/Calcium Carbonate Mulch Films Prepared in Imidazolium-Based Ionic Liquid. Polymers 2023, 15, 2729. [Google Scholar] [CrossRef]
- Scaffaro, R.; Maio, A.; Sutera, F.; Gulino, E.; Morreale, M. Degradation and Recycling of Films Based on Biodegradable Polymers: A Short Review. Polymers 2019, 11, 651. [Google Scholar] [CrossRef]
- Valle, L.; Maddalena, L.; Damonte, G.; Carosio, F.; Pellis, A.; Monticelli, O. Biodegradable and gas barrier polylactic acid/star-shaped polycaprolactone blend films functionalized with a bio-sourced polyelectrolyte coating. Colloids Surf. B Biointerfaces 2024, 236, 113806. [Google Scholar] [CrossRef]
- Ghanem, A.F.; Yassin, M.A.; Cosquer, R.; Gouanvé, F.; Espuche, E.; Rehim, M.H.A. Polycaprolactone composite films infused with hyperbranched polyester/reduced graphene oxide: Influence on biodegradability, gas/water transport and antimicrobial properties for sustainable packaging. RSC Adv. 2024, 14, 5740–5753. [Google Scholar] [CrossRef]
- Richert, A.; Olewnik-Kruszkowska, E.; Malinowski, R.; Kalwasińska, A.; Brzezinska, S. Polycaprolactone-Based Films Incorporated with Birch Tar—Thermal, Physicochemical, Antibacterial, and Biodegradable Properties. Foods 2023, 12, 4244. [Google Scholar] [CrossRef] [PubMed]
- Kimiaei, E.; Kwon, S.; Meinander, K.; Österberg, M.; Lavoine, N.; Venditti, R. Biodegradation of Lignocellulose-Polyester Composite Films in Freshwater and Seawater Conditions. J. Polym. Environ. 2024, 32, 5560–5575. [Google Scholar] [CrossRef]
- Richert, A.; Kalwasińska, A.; Brzezinska, M.S.; Dąbrowska, G.B. Biodegradability of Novel Polylactide and Polycaprolactone Materials with Bacteriostatic Properties Due to Embedded Birch Tar in Different Environments. Int. J. Mol. Sci. 2021, 22, 10228. [Google Scholar] [CrossRef]
- Pang, J.; Jiang, T.; Ke, Z.; Xiao, Y.; Li, W.; Zhang, S.; Guo, P. Wood Cellulose Nanofibers Grafted with Poly(ε-caprolactone) Catalyzed by ZnEu-MOF for Functionalization and Surface Modification of PCL Films. Nanomaterials 2023, 13, 1904. [Google Scholar] [CrossRef] [PubMed]
- Yin, Y.; Wang, X.; Zhang, J.; Wang, W.; Han, R. Self-Made Cyclodextrin Inclusion Complexes for Enhanced Mechanical Properties of Polycaprolactone Composites. Polymers 2025, 17, 834. [Google Scholar] [CrossRef]
- Nashchekina, Y.; Chabina, A.; Nashchekin, A.; Mikhailova, N. Different Conditions for the Modification of Polycaprolactone Films with L-Arginine. Int. J. Mol. Sci. 2020, 21, 6989. [Google Scholar] [CrossRef] [PubMed]
- Yang, N.; Ying, L.; Li, K.; Chen, F.; Zhao, F.-Y.; Sun, Z.; Feng, L.; Liu, J. Biodegradable Mulching Films Based on Polycaprolactone and Its Porous Structure Construction. Polymers 2022, 14, 5340. [Google Scholar] [CrossRef]
- Cai, Z.; Haque, A.; Dhandapani, R.; Naebe, M. Sustainable Cotton Gin Waste/Polycaprolactone Bio-Plastic with Adjustable Biodegradation Rate: Scale-Up Production through Compression Moulding. Polymers 2023, 15, 1992. [Google Scholar] [CrossRef]
- Guindani, C.; Candiotto, G.; Araújo, P.H.H.; Ferreira, S.R.S.; de Oliveira, D.; Wurm, F.R.; Landfester, K. Controlling the biodegradation rates of poly(globalide-co-ε-caprolactone) copolymers by post polymerization modification. Polym. Degrad. Stab. 2020, 179, 109287. [Google Scholar] [CrossRef]
- Mostovoy, A.; Shcherbakov, A.; Yakovlev, A.; Arzamastsev, S.; Lopukhova, M. Reinforced Epoxy Composites Modified with Functionalized Graphene Oxide. Polymers 2022, 14, 338. [Google Scholar] [CrossRef]
- Govindaraj, P.; Sokolova, A.; Salim, N.; Juodkazis, S.; Fuss, F.K.; Fox, B.; Hameed, N. Distribution states of graphene in polymer nanocomposites: A review. Compos. Part B Eng. 2021, 226, 109353. [Google Scholar] [CrossRef]
- Dong, H.; Zhan, Y.; Chen, Y.; Li, Y.; Sun, A.; Chen, X.; Zhu, F.; Jia, H. Fabrication of hydrophobic and enhanced anticorrosion performance of epoxy coating through the synergy of functionalized graphene oxide and nano-silica binary fillers. Colloids Surf. A Physicochem. Eng. Asp. 2023, 664, 131086. [Google Scholar] [CrossRef]
- Baskakov, S.A.; Baskakova, Y.V.; Kabachkov, E.N.; Dvoretskaya, E.V.; Krasnikova, S.S.; Korepanov, V.I.; Michtchenko, A.; Shulga, Y.M. On the State of Graphene Oxide Nanosheet in a Polyurethane Matrix. Nanomaterials 2023, 13, 553. [Google Scholar] [CrossRef] [PubMed]
- Özder, M.N.; Yelkenci, A.; Kucak, M.; Altinbay, A.; Ustündag, C.B.; Ciftci, F. Development and Characterization of a Polycaprolactone/Graphene Oxide Scaffold for Meniscus Cartilage Regeneration Using 3D Bioprinting. Pharmaceutics 2025, 17, 346. [Google Scholar] [CrossRef] [PubMed]
- Shen, B.; Zhai, W.; Lu, D.; Wang, J.; Zheng, W. Ultrasonication-assisted direct functionalization of graphene with macromolecules. RSC Adv. 2012, 2, 4713–4719. [Google Scholar] [CrossRef]
- Dou, Y.; Bai, Q.; Yang, K.; Guo, W.; Wang, H.; Chen, S. The effect of surface functional groups on the wettability of graphene oxide coated alumina substrate: Molecular dynamics simulations. J. Mol. Liq. 2022, 366, 120268. [Google Scholar] [CrossRef]
- Liu, S.; Sun, J.; Zhang, J.; Xie, Z.; Yu, Z. Effect of Graphene Oxide on the Mechanical Property and Microstructure of Clay-Cement Slurry. Materials 2023, 16, 4294. [Google Scholar] [CrossRef] [PubMed]
- Rathinasabapathi, G.; Senthil Kumar, G.; Puviyarasan, M.; Mayavan, T. Effect of graphene on the mechanical properties and moisture absorption kinetics of nano filler reinforced glass fiber composites. Mater. Today Proc. 2023, 72, 2456–2463. [Google Scholar] [CrossRef]
- Shrivastava, S.M.; Ramarao, G.; Buragohain, M.K.; Selvaraj, N. Effect of seawater exposure on tensile and flexural properties of glass/epoxy composite. Mater. Today Proc. 2023, 82, 314–321. [Google Scholar] [CrossRef]
- Castilla-Cortázar, I.; Vidaurre, A.; Marí, B.; Campillo-Fernández, A.J. Morphology, Crystallinity, and Molecular Weight of Poly(ε-caprolactone)/Graphene Oxide Hybrids. Polymers 2019, 11, 1099. [Google Scholar] [CrossRef] [PubMed]
- Dadashi, P.; Torbatinejad, K.; Babaei, A. Hybridization as a promising approach to engineering the desired performance of bio-nanocomposites: GO-ZnO hybrid reinforced PCL. Sci. Rep. 2025, 15, 17259. [Google Scholar] [CrossRef]
- Sánchez-Cepeda, A.; Cedeño, E.; Marín, E.; Carolina Pazos, M.; Ingrid, S.-C.; de Jesús Muñoz, E.; Vera-Graziano, R. Evaluation of the dispersion properties of graphene oxide/cetyltrimethylammonium bromide for application in nanocomposite materials. RSC Adv. 2024, 14, 3267–3279. [Google Scholar] [CrossRef]
- Kumar, S.S.A.; Nujud, B.M.; Khalid, M.B. Fabrication and Characterization of Graphene Oxide-Based Polymer Nanocomposite Coatings, Improved Stability and Hydrophobicity|Scientific Reports. Available online: https://www.nature.com/articles/s41598-023-35154-z (accessed on 11 December 2025).
- Da Luz, F.S.; Filho, F.G.; Del-Río, M.T.G.; Nascimento, L.; Pinheiro, W.; Monteiro, S. Graphene-Incorporated Natural Fiber Polymer Composites: A First Overview. Polymers 2020, 12, 1601. [Google Scholar] [CrossRef]
- Viel, T.; Liotta, I.; Avolio, R.; Errico, M.E.; Manfra, L.; Libralato, G.; Zupo, V.; Costantini, M.; Cocca, M. The fate of biodegradable polyesters in the marine environment. Polym. Degrad. Stab. 2025, 241, 111539. [Google Scholar] [CrossRef]
- Liu, Z.; Wang, Q.; Huang, X.; Qian, X. Surface Functionalization of Graphene Oxide with Hyperbranched Polyamide-Amine and Microcrystalline Cellulose for Efficient Adsorption of Heavy Metal Ions. ACS Omega 2022, 7, 10944–10954. [Google Scholar] [CrossRef]
- Lee, J.; Kim, S.; Park, S.B.; Shin, M.; Kim, S.; Kim, M.-S.; Shin, G.; Kang, T.; Kim, H.J.; Oh, D.X.; et al. Mimicking real-field degradation of biodegradable plastics in soil and marine environments: From product utility to end-of-life analysis. Polym. Test. 2024, 131, 108338. [Google Scholar] [CrossRef]
- Kan, G.-F.; Lyu, H.; Wang, X.-F.; Li, Y.-X.; Yu, K.; Zhang, H.; Wang, Y.-Y.; Jiang, Y.-X.; Jiang, J. Biodegradation of bioplastic polycaprolactone by marine bacterium Alteromonas sp. ghpt-2 and its adaptive responses. Mar. Pollut. Bull. 2025, 221, 118494. [Google Scholar] [CrossRef]
- Campillo-Fernández, A.J.; González-Reed, P.; Vidaurre, A.; Castilla-Cortázar, I. Poly(-caprolactone)/graphene oxide composite systems: A comparative study on hydrolytic degradation at extreme pH values. Mat. Express 2020, 10, 892–902. [Google Scholar] [CrossRef]
- Daskalakis, E.; Hassan, M.H.; Omar, A.M.; Acar, A.A.; Fallah, A.; Cooper, G.; Weightman, A.; Blunn, G.; Koc, B.; Bartolo, P. Accelerated Degradation of Poly-ε-caprolactone Composite Scaffolds for Large Bone Defects. Polymers 2023, 15, 670. [Google Scholar] [CrossRef]
- Suzuki, M.; Tachibana, Y.; Kasuya, K. Biodegradability of poly(3-hydroxyalkanoate) and poly(ε-caprolactone) via biological carbon cycles in marine environments. Polym. J. 2021, 53, 47–66. [Google Scholar] [CrossRef]
- Dias, J.R.; Sousa, A.; Augusto, A.; Bártolo, P.J.; Granja, P.L. Electrospun Polycaprolactone (PCL) Degradation: An In Vitro and In Vivo Study. Polymers 2022, 14, 3397. [Google Scholar] [CrossRef] [PubMed]
- G Engler, L.; Farias, N.C.; S Crespo, J.; Gately, N.M.; Major, I.; Pezzoli, R.; Devine, D.M. Designing Sustainable Polymer Blends: Tailoring Mechanical Properties and Degradation Behaviour in PHB/PLA/PCL Blends in a Seawater Environment. Polymers 2023, 15, 2874. [Google Scholar] [CrossRef]
- Tétreault, J.; Williams, S. Guidelines for Selecting Materials for Exhibit, Storage and Transportation; Canadian Conservation Institute: Ottawa, ON, Canada, 1993. [Google Scholar]
- Zhang, W.; Shen, K.; Zhang, Y.; Chen, X.; Zhao, X.; Huang, X.; Luo, H. Reversible Organic Coatings for On-Site Comprehensive Emergency Protection during Archaeological Excavations. Coatings 2023, 13, 2047. [Google Scholar] [CrossRef]
- Appelbaum, B. Criteria for Treatment: Reversibility. Available online: https://cool.culturalheritage.org/jaic/articles/jaic26-02-001.html (accessed on 14 December 2025).
- Gao, X.; Zhao, J.; Fei, L.; Ma, X.; Liu, J.; Zhao, D. Effects of sodium chloride on mechanical properties in amorphous polymers of waterlogged archaeological wood: Insights from molecular dynamics simulations. J. Cult. Herit. 2024, 66, 444–454. [Google Scholar] [CrossRef]
- Thickett, D. Analysis of Salts and Clays for Conservation of Porous Cultural Heritage. Appl. Sci. 2023, 13, 12434. [Google Scholar] [CrossRef]
- Lupina, G.; Kitzmann, J.; Costina, I.; Lukosius, M.; Wenger, C.; Wolff, A.; Vaziri, S.; Östling, M.; Pasternak, I.; Krajewska, A.; et al. Residual Metallic Contamination of Transferred Chemical Vapor Deposited Graphene. ACS Nano 2015, 9, 4776–4785. [Google Scholar] [CrossRef]
- Pelin, M.; Sosa, S.; Prato, M.; Tubaro, A. Occupational exposure to graphene based nanomaterials: Risk assessment. Nanoscale 2018, 10, 15894–15903. [Google Scholar] [CrossRef]
- Tenore, A.; Wu, Y.; Jacob, J.; Bittermann, D.; Villa, F.; Buttaro, B.; Klapper, I. Water activity in subaerial microbial biofilms on stone monuments. Sci. Total Environ. 2023, 900, 165790. [Google Scholar] [CrossRef]
- Li, Y.; Liao, C.; Tjong, S.C. Synthetic Biodegradable Aliphatic Polyester Nanocomposites Reinforced with Nanohydroxyapatite and/or Graphene Oxide for Bone Tissue Engineering Applications. Nanomaterials 2019, 9, 590. [Google Scholar] [CrossRef]
- Zhang, J.; Li, G.; Yuan, X.; Li, P.; Yu, Y.; Yang, W.; Zhao, S. Reduction of Ultrafiltration Membrane Fouling by the Pretreatment Removal of Emerging Pollutants: A Review. Membranes 2023, 13, 77. [Google Scholar] [CrossRef]
- Bergamasco, S.; Fiaschini, N.; Hein, L.A.; Brecciaroli, M.; Vitali, R.; Romagnoli, M.; Rinaldi, A. Electrospun PCL Filtration Membranes Enhanced with an Electrosprayed Lignin Coating to Control Wettability and Anti-Bacterial Properties. Polymers 2024, 16, 674. [Google Scholar] [CrossRef] [PubMed]
- Peidavosi, N.; Azami, M.; Beheshtizadeh, N.; Ramazani Saadatabadi, A. Piezoelectric conductive electrospun nanocomposite PCL/Polyaniline/Barium Titanate scaffold for tissue engineering applications. Sci. Rep. 2022, 12, 20828. [Google Scholar] [CrossRef]
- Alfalluji, A.L.; Kadhim, Q.S.; Mahdi, A.A. Electrospun poly(ε-caprolactone)/silver nanoparticle nanofibrous scaffolds with antibacterial activity for wound-dressing applications. RSC Adv. 2025, 15, 37899–37907. [Google Scholar] [CrossRef] [PubMed]
- Lillian Tsitsi Mambiri and Dilip Depan Degradation Kinetics, Mechanisms, and Antioxidant Activity of PCL-Based Scaffolds with In Situ Grown Nanohydroxyapatite on Graphene Oxide Nanoscrolls. Available online: https://www.mdpi.com/2311-5629/11/1/5 (accessed on 29 November 2025).
- Sánchez-González, S.; Diban, N.; Urtiaga, A. Hydrolytic Degradation and Mechanical Stability of Poly(ε-Caprolactone)/Reduced Graphene Oxide Membranes as Scaffolds for In Vitro Neural Tissue Regeneration. Membranes 2018, 8, 12. [Google Scholar] [CrossRef]
- Chung, J.H.Y.; Sayyar, S.; Wallace, G.G. Effect of Graphene Addition on Polycaprolactone Scaffolds Fabricated Using Melt-Electrowriting. Polymers 2022, 14, 319. [Google Scholar] [CrossRef]
- Ferroni, L.; Gardin, C.; Rigoni, F.; Balliana, E.; Zanotti, F.; Scatto, M.; Riello, P.; Zavan, B. The Impact of Graphene Oxide on Polycaprolactone PCL Surfaces: Antimicrobial Activity and Osteogenic Differentiation of Mesenchymal Stem Cell. Coatings 2022, 12, 799. [Google Scholar] [CrossRef]
- Reynosa-Martinez, A.C.; Tovar, G.N.; Gallegos, W.R.; Torres-Garcia, R.; Mondragon-Solorzano, G.; Barroso-Flores, J.; Alvarez-Lemus, M.A.; Montalvo, V.G.; Lopez-Honorato, E. Effect of the degree of oxidation of graphene oxide on As(III) adsorption. arXiv 2019. [Google Scholar] [CrossRef] [PubMed]














| Parameter | Value (gL−1) |
|---|---|
| pH | 8.05 (unitless) |
| Na+ | 11.94 |
| K+ | 0.43 |
| Mg2+ | 1.12 |
| Ca2+ | 0.55 |
| Cl− | 18.31 |
| SO42− | 2.67 |
| Films | Time (Days) | Young’s Modulus (MPa) | Elongation at Break (%) |
|---|---|---|---|
| PCL/GO 0.1 | 0 | 284 ± 15 | 7.7 ± 0.7 |
| 30 | 414 ± 20 | 4.3 ± 0.4 | |
| 60 | 183 ± 12 | 3.7 ± 0.3 | |
| 90 | 144 ± 10 | 19.7 ± 1.8 | |
| PCL/GO 0.25 | 0 | 331 ± 18 | 5.7 ± 0.6 |
| 30 | 346 ± 17 | 4.3 ± 0.4 | |
| 60 | 163 ± 10 | 8.9 ± 0.9 | |
| 90 | 104 ± 8 | 5.4 ± 0.5 | |
| PCL/GO 0.5 | 0 | 309 ± 16 | 6.4 ± 0.6 |
| 30 | 166 ± 1 | 4.2 ± 0.4 | |
| 60 | 153 ± 9 | 8.0 ± 0.7 | |
| 90 | 104 ± 9 | 20.7 ± 1.9 |
Disclaimer/Publisher’s Note: The statements, opinions and data contained in all publications are solely those of the individual author(s) and contributor(s) and not of MDPI and/or the editor(s). MDPI and/or the editor(s) disclaim responsibility for any injury to people or property resulting from any ideas, methods, instructions or products referred to in the content. |
© 2025 by the authors. Licensee MDPI, Basel, Switzerland. This article is an open access article distributed under the terms and conditions of the Creative Commons Attribution (CC BY) license.
Share and Cite
John, A.P.; Santoro, S.; Curcio, E.; Argurio, P.; Chidichimo, F.; Straface, S.; Ruffolo, S.A.; La Russa, M.F. Modified Polycaprolactone Films for Temporary Protection in Saline Conditions: A Preliminary Assessment. Polymers 2026, 18, 60. https://doi.org/10.3390/polym18010060
John AP, Santoro S, Curcio E, Argurio P, Chidichimo F, Straface S, Ruffolo SA, La Russa MF. Modified Polycaprolactone Films for Temporary Protection in Saline Conditions: A Preliminary Assessment. Polymers. 2026; 18(1):60. https://doi.org/10.3390/polym18010060
Chicago/Turabian StyleJohn, Am Pris, Sergio Santoro, Efrem Curcio, Pietro Argurio, Francesco Chidichimo, Salvatore Straface, Silvestro Antonio Ruffolo, and Mauro Francesco La Russa. 2026. "Modified Polycaprolactone Films for Temporary Protection in Saline Conditions: A Preliminary Assessment" Polymers 18, no. 1: 60. https://doi.org/10.3390/polym18010060
APA StyleJohn, A. P., Santoro, S., Curcio, E., Argurio, P., Chidichimo, F., Straface, S., Ruffolo, S. A., & La Russa, M. F. (2026). Modified Polycaprolactone Films for Temporary Protection in Saline Conditions: A Preliminary Assessment. Polymers, 18(1), 60. https://doi.org/10.3390/polym18010060

