Gel Characteristics and Digestion of Composite Protein Emulsion-Filled Gels with Varying Soy and Whey Protein Ratios in the Matrix
Abstract
1. Introduction
2. Results and Discussion
2.1. Effect of Protein Concentration on the Mechanical Properties of Emulsion-Filled Protein Gels
2.1.1. The Physical Morphology of the Hybrid Protein Gel Filled with Emulsion
2.1.2. Effect of Composite Protein Concentration on Hardness and Storage Modulus of Hybrid Protein Gel Filled with Emulsion
2.2. Effect of Gel Matrix Composition on Gel Properties
2.2.1. Rheological Dynamics
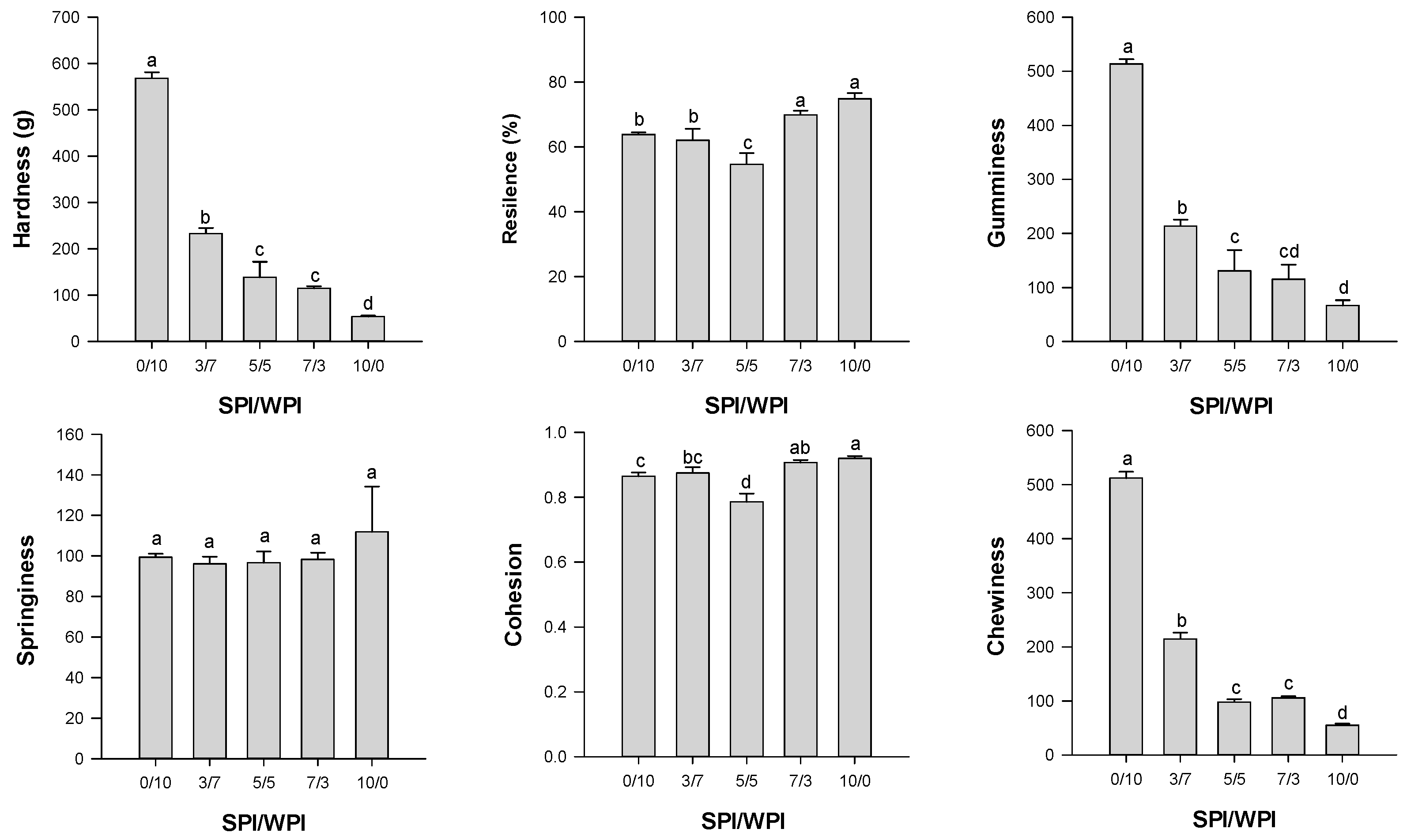
2.2.2. Textural Properties
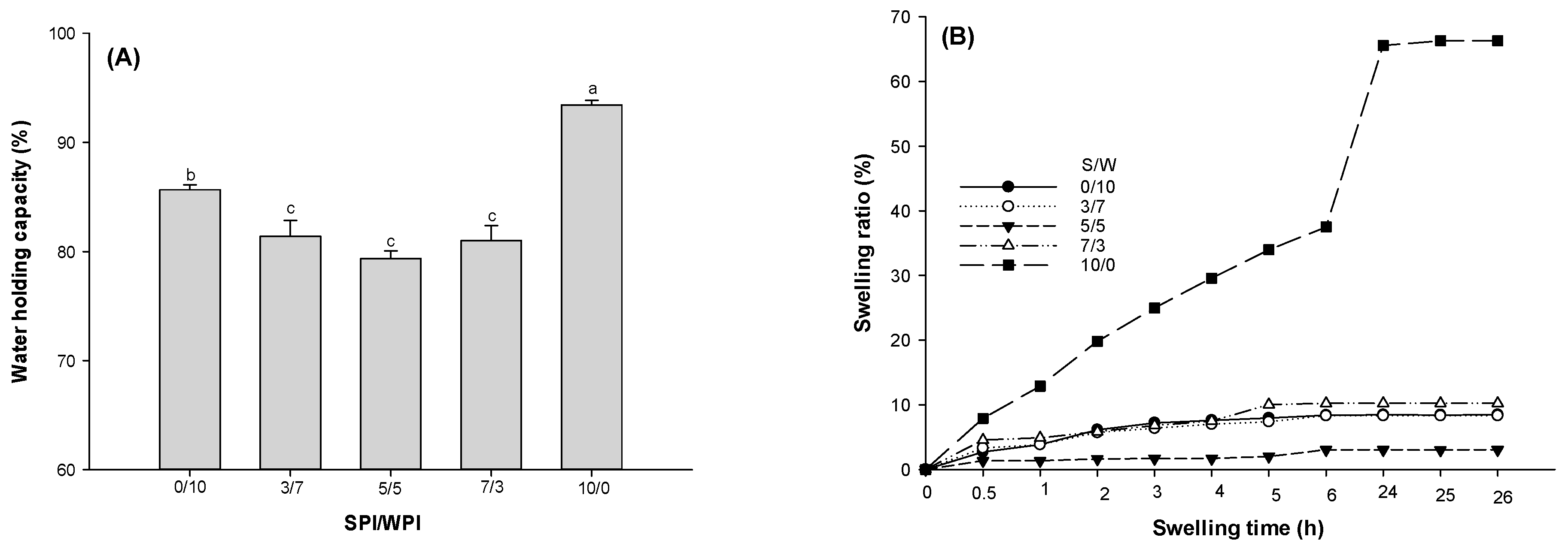
2.2.3. WHC and Swelling Capacity
2.2.4. Structural Force Analysis of Composite Protein Gel Filled with Emulsion
2.2.5. Microstructure of Gel Matrix Made of Composite Soy-Whey Protein
2.3. Simulated Digestion of Mixed Protein Matrix
3. Conclusions
4. Materials and Methods
4.1. Materials
4.2. Preparation of Whey-Soy Protein Composite Emulsion
4.3. Determination of the Protein Concentration for the Gels
4.4. Dynamic Rheological Measurement
4.5. Texture Profile Analysis (TPA) of Gels
4.6. Preparation of Soy-Whey Protein Emulsion Droplets Embedded into Soy-Whey Protein Gel
4.7. Water Holding Capacity (WHC) of Gels
4.8. Swelling Capacity of Gels
4.9. Gel Solubility
4.10. Confocal Laser Scanning Microscopy (CLSM)
4.11. Scanning Electron Microscopy (SEM)
4.12. Simulated Digestion and Degree of Hydrolysis
4.13. Statistical Analysis
Author Contributions
Funding
Data Availability Statement
Conflicts of Interest
References
- Shu, J.; McClements, D.J.; Luo, S.; Liu, C.; Ye, J. Advances of biopolymer-based emulsion gels: Fabrication, design, and application. Trends Food Sci. Technol. 2025, 165, 105335. [Google Scholar] [CrossRef]
- Ghiraldi, M.; Silva, Á.G.F.d.; Thomazini, M.; Xavier, A.A.O.; Ferreira, L.S.; Geremias-Andrade, I.M.; Martelli-Tosi, M.; Tavares, G.M.; Pinho, S.C. Digestion of mixed protein gels using elderly static in vitro digestion model: Impact of microstructure on bioaccessibility of vitamins B12 and D3. Food Struct. 2024, 41, 100379. [Google Scholar] [CrossRef]
- Lu, D.; Roy, D.; Acevedo-Fani, A.; Singh, H.; Waterland, M.; Ye, A. Physical properties and microstructure of hybrid processed cheeses formulated with plant protein and milk protein ingredients. Food Hydrocoll. 2026, 170, 111688. [Google Scholar] [CrossRef]
- Zhi, L.; Liu, Z.; Wu, C.; Ma, X.; Hu, H.; Liu, H.; Adhikari, B.; Wang, Q.; Shi, A. Advances in preparation and application of food-grade emulsion gels. Food Chem. 2023, 424, 136399. [Google Scholar] [CrossRef] [PubMed]
- Cen, S.; Li, S.; Meng, Z. Advances of protein-based emulsion gels as fat analogues: Systematic classification, formation mechanism, and food application. Food Res. Int. 2024, 191, 114703. [Google Scholar] [CrossRef]
- Zhao, P.; Kou, D.; Qiu, R.; Li, S.; Awais, M.; Tong, L.; Wang, L.; Fan, B.; Wang, F.; Liu, L. Development of soy protein emulsion gels-based 3D printed dysphagia foods: Effects of the egg white protein supplementation. Food Hydrocoll. 2025, 160, 110737. [Google Scholar] [CrossRef]
- Dickinson, E. Emulsion gels: The structuring of soft solids with protein-stabilized oil droplets. Food Hydrocoll. 2012, 28, 224–241. [Google Scholar] [CrossRef]
- Qayum, A.; Rashid, A.; Khan, A.A.; Zhong, M.; Liu, Y.; Hussain, M.; Virk, M.S.; Ahmed, Z.; Rehman, A.; Hussain, A.; et al. Exploring the interface dynamics of emulsion gel via a novel non-destructive technique provides insights into the underlying mechanism of gel formation, water mobility, functionality and structural variations. Food Biosci. 2024, 61, 104721. [Google Scholar] [CrossRef]
- Xu, H.; Chandrapala, J.; Dabbour, M.; Mintah, B.K.; Huang, L.; Dai, C.; Ma, H.; He, R. Effect of xylose glycation and ultrasonication on the interfacial properties and physicochemical stability of silkworm pupa protein-stabilized Pickering emulsion and its applicability in emulsion-filled hydrogels. Food Res. Int. 2025, 209, 116260. [Google Scholar] [CrossRef] [PubMed]
- Wang, H.; Zhang, J.; Xu, Y.; Mi, H.; Yi, S.; Gao, R.; Li, X.; Li, J. Effects of chickpea protein-stabilized Pickering emulsion on the structure and gelling properties of hairtail fish myosin gel. Food Chem. 2023, 417, 135821. [Google Scholar] [CrossRef]
- Farjami, T.; Madadlou, A. An overview on preparation of emulsion-filled gels and emulsion particulate gels. Trends Food Sci. Technol. 2019, 86, 85–94. [Google Scholar] [CrossRef]
- Grasberger, K.F.; Gregersen, S.B.; Jensen, H.B.; Sanggaard, K.W.; Corredig, M. Plant-dairy protein blends: Gelation behaviour in a filled particle matrix. Food Struct. 2021, 29, 100198. [Google Scholar] [CrossRef]
- Yeboah, G.B.; Wang, S.; Wu, W.; Zhang, H.; Donkor, P.O.; Wu, J.; Cheng, Y. Interfacial composition on the mechanical properties, microstructure and digestion of emulsion-filled whey protein gels: Effect of soy and whey protein ratios. Food Biosci. 2025, 64, 105886. [Google Scholar] [CrossRef]
- Méndez-Galarraga, M.P.; Curutchet, A.; Arzuaga, M.R. Hybrid Yogurts: Exploring the Functional, Sensory and Nutritional Potential of Dairy-Plant Protein Combinations. Food Rev. Int. 2025, 41, 2150–2166. [Google Scholar] [CrossRef]
- Zhang, R.Y.; Farouk, M.M.; Realini, C.E.; Thum, C. Hybridization in Meat-Based Dual Protein Foods: Mechanisms, Challenges, and Consumer Insights. Compr. Rev. Food Sci. Food Saf. 2025, 24, 41. [Google Scholar] [CrossRef]
- Khalesi, M.; Glenn-Davi, K.; Mohammadi, N.; FitzGerald, R.J. Key Factors Influencing Gelation in Plant vs. Animal Proteins: A Comparative Mini-Review. Gels 2024, 10, 575. [Google Scholar] [CrossRef]
- Jose, J.; Pouvreau, L.; Martin, A.H. Mixing whey and soy proteins: Consequences for the gel mechanical response and water holding. Food Hydrocoll. 2016, 60, 216–224. [Google Scholar] [CrossRef]
- McCann, T.H.; Guyon, L.; Fischer, P.; Day, L. Rheological properties and microstructure of soy-whey protein. Food Hydrocoll. 2018, 82, 434–441. [Google Scholar] [CrossRef]
- Pinho, S.C.; Brito-Oliveira, T.C.; Geremias-Andrade, I.M.; Moraes, I.C.F.; Gómez-Mascaraque, L.G.; Brodkorb, A. Microstructure and in vitro digestion of mixed protein gels of soy and whey protein isolates. Food Hydrocoll. 2024, 155, 110189. [Google Scholar] [CrossRef]
- Song, D.-H.; Yang, N.-E.; Ham, Y.-K.; Kim, H.-W. Physicochemical Properties of Mixed Gelatin Gels with Soy and Whey Proteins. Gels 2024, 10, 124. [Google Scholar] [CrossRef]
- Sun, M.; Tan, W.; Pang, Z.; Chen, C.; Li, H.; Liu, X. Rheological and Tribological characteristics of soy-whey dual-protein gels with whey protein microparticle incorporation. Food Res. Int. 2025, 208, 116167. [Google Scholar] [CrossRef]
- Cheng, Y.; Ye, A.; Singh, H. Characterizations of emulsion gel formed with the mixture of whey and soy protein and its protein digestion under in vitro gastric conditions. Curr. Res. Food Sci. 2024, 8, 100674. [Google Scholar] [CrossRef]
- Grasberger, K.; Vuholm Sunds, A.; Hammershøj, M.; Corredig, M. Heat-induced lupin-whey protein emulsion-filled gels: Microstructural and rheological insights. LWT 2024, 201, 116269. [Google Scholar] [CrossRef]
- Grasberger, K.; Hammershøj, M.; Corredig, M. Lupin protein-stabilized oil droplets contribute to structuring whey protein emulsion-filled gels. Food Res. Int. 2024, 178, 113987. [Google Scholar] [CrossRef]
- Mao, C.; Wu, J.; Cheng, Y.; Chen, T.; Ren, X.; Ma, H. Physicochemical properties and digestive kinetics of whey protein gels filled with potato and whey protein mixture emulsified oil droplets: Effect of protein ratios. Food Funct. 2021, 12, 5927–5939. [Google Scholar] [CrossRef] [PubMed]
- Cheng, Q.; Liu, C.; Zhao, J.; Zhou, F.; Huang, Y.; Feng, T.; Wang, Y. L-cysteine-mediated disulfide bond modulation enhances gelation behavior of ginkgo seed protein/hyaluronic acid gels. Food Chem. 2025, 496, 146950. [Google Scholar] [CrossRef] [PubMed]
- Lin, Y.; Roos, Y.H.; Miao, S. Transglutaminase crosslinked fish gelatin emulsion gels: Structure, rheology behaviors, and delivery functionality. Food Hydrocoll. 2025, 162, 111001. [Google Scholar] [CrossRef]
- Rakhshi, E.; Nau, F.; Hiolle, M.; Floury, J. Pepsin diffusion in complex food matrices. J. Food Eng. 2022, 324, 111011. [Google Scholar] [CrossRef]
- Zhang, Y.; Han, M.; Guo, Q. Understanding of formation, gastrointestinal breakdown, and application of whey protein emulsion gels: Insights from intermolecular interactions. Compr. Rev. Food Sci. Food Saf. 2024, 23, e70034. [Google Scholar] [CrossRef]
- Pineda-Vadillo, C.; Nau, F.; Guérin-Dubiard, C.; Bourlieu, C.; Capozzi, F.; Bordoni, A.; Dupont, D. In Vivo Digestion of Egg Products Enriched with DHA: Effect of the Food Matrix on DHA Bioavailability. Foods 2021, 10, 6. [Google Scholar] [CrossRef]
- Qazi, H.J.; Ye, A.; Acevedo-Fani, A.; Singh, H. In vitro digestion of curcumin-nanoemulsion-enriched dairy protein matrices: Impact of the type of gel structure on the bioaccessibility of curcumin. Food Hydrocoll. 2021, 117, 106692. [Google Scholar] [CrossRef]
- Liu, Y.; Yu, Y.; Liu, C.; Regenstein, J.M.; Liu, X.; Zhou, P. Rheological and mechanical behavior of milk protein composite gel for extrusion-based 3D food printing. LWT 2019, 102, 338–346. [Google Scholar] [CrossRef]
- Tang, Q.; Roos, Y.H.; Miao, S. Structure, gelation mechanism of plant proteins versus dairy proteins and evolving modification strategies. Trends Food Sci. Technol. 2024, 147, 104464. [Google Scholar] [CrossRef]
- Roesch, R.R.; Corredig, M. Heat-induced soy-whey proteins interactions: Formation of soluble and insoluble protein complexes. J. Agric. Food Chem. 2005, 53, 3476–3482. [Google Scholar] [CrossRef]
- Zhang, T.; Li, Z.; Zhou, R.; Qi, X.; Diao, M. Optimizing whey isolate protein/mung bean protein ratios in emulsion gels for enhanced dihydroquercetin delivery: Gel properties, stability, and bioaccessibility insights. Food Chem. 2025, 493, 145814. [Google Scholar] [CrossRef] [PubMed]
- Zhao, R.; Zhang, M.; He, Y.X.; Wang, W.; Li, D.; Chang, C.Y.; Bao, Z.X.; Wang, C.A. Fabrication and characterization of glucono-δ-lactone-induced cold-set emulsion gels stabilized by a whey and pea protein mixture at various mixing ratios for the delivery of curcumin. J. Dairy Sci. 2025, 108, 6730–6744. [Google Scholar] [CrossRef]
- Cheng, Y.; Ofori Donkor, P.; Yeboah, G.B.; Ayim, I.; Wu, J.; Ma, H. Modulating the in vitro digestion of heat-set whey protein emulsion gels via gelling properties modification with sequential ultrasound pretreatment. LWT 2021, 149, 111856. [Google Scholar] [CrossRef]
- Wang, T.; Bae, M.; Lee, J.-Y.; Luo, Y. Solid lipid-polymer hybrid nanoparticles prepared with natural biomaterials: A new platform for oral delivery of lipophilic bioactives. Food Hydrocoll. 2018, 84, 581–592. [Google Scholar] [CrossRef]
- Cui, Q.; Wang, X.; Wang, G.; Li, R.; Wang, X.; Chen, S.; Liu, J.; Jiang, L. Effects of ultrasonic treatment on the gel properties of microbial transglutaminase crosslinked soy, whey and soy–whey proteins. Food Sci. Biotechnol. 2019, 28, 1455–1464. [Google Scholar] [CrossRef] [PubMed]
- Nishinari, K.; Fang, Y.; Guo, S.; Phillips, G.O. Soy proteins: A review on composition, aggregation and emulsification. Food Hydrocoll. 2014, 39, 301–318. [Google Scholar] [CrossRef]
- Wu, C.; Wang, J.; Yan, X.; Ma, W.; Wu, D.; Du, M. Effect of partial replacement of water-soluble cod proteins by soy proteins on the heat-induced aggregation and gelation properties of mixed protein systems. Food Hydrocoll. 2020, 100, 105417. [Google Scholar] [CrossRef]
- Li, M.; Feng, L.; Xu, Y.; Nie, M.; Li, D.; Zhou, C.; Dai, Z.; Zhang, Z.; Zhang, M. Rheological property, β-carotene stability and 3D printing characteristic of whey protein isolate emulsion gels by adding different polysaccharides. Food Chem. 2023, 414, 135702. [Google Scholar] [CrossRef]
- Wu, D.; Wang, H.; Guo, X.; Zhang, Z.; Gao, Z.; Gao, S.; Liu, Z.; Rao, S.; Meng, X. Insight into the mechanism of enhancing myofibrillar protein gel hardness by ultrasonic treatment combined with insoluble dietary fiber from oat. LWT 2023, 178, 114539. [Google Scholar] [CrossRef]
- Li, H.; Zhang, W.; Nunekpeku, X.; Li, C.; Wang, Y.; Sheng, W.; Guan, B. Starch crystalline types modulate myofibrillar protein aggregation and its functional properties in gelling and emulsifying systems. Food Chem. 2025, 494, 146268. [Google Scholar] [CrossRef]
- Yu, Z.; Fu, Y.; Wei, J.; Yang, T.; Hu, K.; Wang, J. An innovative dual-driven strategy to accelerate and strengthen TGase-induced pea protein gelation via static magnetic field and arabinoxylan pretreatments. Innov. Food Sci. Emerg. Technol. 2025, 106, 104289. [Google Scholar] [CrossRef]
- Alavi, F.; Emam-Djomeh, Z.; Salami, M.; Mohammadian, M. Effect of microbial transglutaminase on the mechanical properties and microstructure of acid-induced gels and emulsion gels produced from thermal denatured egg white proteins. Int. J. Biol. Macromol. 2020, 153, 523–532. [Google Scholar] [CrossRef]
- Cui, Q.; Wang, G.; Gao, D.; Wang, L.; Zhang, A.; Wang, X.; Xu, N.; Jiang, L. Improving the gel properties of transgenic microbial transglutaminase cross-linked soybean-whey mixed protein by ultrasonic pretreatment. Process Biochem. 2020, 91, 104–112. [Google Scholar] [CrossRef]
- Lu, Y.; Mao, L.; Zheng, H.; Chen, H.; Gao, Y. Characterization of β-carotene loaded emulsion gels containing denatured and native whey protein. Food Hydrocoll. 2020, 102, 105600. [Google Scholar] [CrossRef]
- Jiang, J.; Xiong, Y.L. Extreme pH treatments enhance the structure-reinforcement role of soy protein isolate and its emulsions in pork myofibrillar protein gels in the presence of microbial transglutaminase. Meat Sci. 2013, 93, 469–476. [Google Scholar] [CrossRef]
- O’Loughlin, I.B.; Murray, B.A.; Kelly, P.M.; FitzGerald, R.J.; Brodkorb, A. Enzymatic Hydrolysis of Heat-Induced Aggregates of Whey Protein Isolate. J. Agric. Food Chem. 2012, 60, 4895–4904. [Google Scholar] [CrossRef]
- Luo, Q.; Borst, J.W.; Westphal, A.H.; Boom, R.M.; Janssen, A.E.M. Pepsin diffusivity in whey protein gels and its effect on gastric digestion. Food Hydrocoll. 2017, 66, 318–325. [Google Scholar] [CrossRef]
- Guo, Q.; Bellissimo, N.; Rousseau, D. Role of gel structure in controlling in vitro intestinal lipid digestion in whey protein emulsion gels. Food Hydrocoll. 2017, 69, 264–272. [Google Scholar] [CrossRef]
- Le Feunteun, S.; Verkempinck, S.; Floury, J.; Janssen, A.; Kondjoyan, A.; Marze, S.; Mirade, P.-S.; Pluschke, A.; Sicard, J.; van Aken, G.; et al. Mathematical modelling of food hydrolysis during in vitro digestion: From single nutrient to complex foods in static and dynamic conditions. Trends Food Sci. Technol. 2021, 116, 870–883. [Google Scholar] [CrossRef]
- Malekjani, N.; Jafari, S.M. Modeling the release of food bioactive ingredients from carriers/nanocarriers by the empirical, semiempirical, and mechanistic models. Compr. Rev. Food Sci. Food Saf. 2021, 20, 3–47. [Google Scholar] [CrossRef]
- Cheng, Q.; Liu, C.; Zhao, J.; Guo, F.; Qin, J.; Wang, Y. Hyaluronic acid promotes heat-induced gelation of ginkgo seed proteins. Food Chem. 2025, 463, 141114. [Google Scholar] [CrossRef]
- Brodkorb, A.; Egger, L.; Alminger, M.; Alvito, P.; Assunção, R.; Ballance, S.; Bohn, T.; Bourlieu-Lacanal, C.; Boutrou, R.; Carrière, F.; et al. INFOGEST static in vitro simulation of gastrointestinal food digestion. Nat. Protoc. 2019, 14, 991–1014. [Google Scholar] [CrossRef]
- Zhang, H.; Wu, J.; Cheng, Y. Mechanical Properties, Microstructure, and In Vitro Digestion of Transglutaminase-Crosslinked Whey Protein and Potato Protein Hydrolysate Composite Gels. Foods 2023, 12, 2040. [Google Scholar] [CrossRef]








| S/W | 0/10 | 3/7 | 5/5 | 7/3 | 10/0 |
|---|---|---|---|---|---|
| S1-PB | 0.41 ± 0.02 a | 0.41 ± 0.00 a | 0.38 ± 0.2 a | 0.32 ± 0.06 b | 0.22 ± 0.01 c |
| S2-Urea | 1.38 ± 0.02 a | 1.1 ± 0.06 b | 0.67 ± 0.13 c | 0.63 ± 0.24 c | 0.47 ± 0.24 d |
| S3-SDS | 0.36 ± 0.01 c | 0.42 ± 0.02 c | 2.45 ± 0.22 a | 1.00 ± 0.22 b | 0.84 ± 0.02 b |
| S4-β-ME | 3.07 ± 0.11 c | 2.88 ± 0.14 c | 2.99 ± 0.26 c | 3.78 ± 0.24 b | 4.46 ± 0.21 a |
| S/W | Order * | Gastric Digestion | Intestinal Digestion | ||||||
|---|---|---|---|---|---|---|---|---|---|
| y0 | A/(µmol) | k/(min−1) | R2 | y1 | A/(µmol) | k/(min−1) | R2 | ||
| 0/10 | 1 | 4.314 | 219.944 | 0.413 | 0.998 | 13.056 | 899.542 | 0.189 | 0.999 |
| 2 | 598.370 | 0.028 | 1160.749 | 0.006 | |||||
| 3/7 | 1 | −2.305 | 439.482 | 0.141 | 0.999 | 23.779 | 847.574 | 0.232 | 0.999 |
| 2 | 680.575 | 0.010 | 855.632 | 0.027 | |||||
| 5/5 | 1 | −1.150 | 333.393 | 0.156 | 0.998 | 18.321 | 901.557 | 0.264 | 0.999 |
| 2 | 6982.328 | 0.0003 | 943.325 | 0.031 | |||||
| 7/3 | 1 | 6.381 | 336.373 | 0.200 | 0.999 | 18.029 | 1006.730 | 0.210 | 0.999 |
| 2 | 473.272 | 0.026 | 679.083 | 0.021 | |||||
| 10/0 | 1 | −0.265 | 405.580 | 0.203 | 0.999 | 23.396 | 724.630 | 0.269 | 0.997 |
| 2 | 365.297 | 0.019 | 925.665 | 0.010 | |||||
Disclaimer/Publisher’s Note: The statements, opinions and data contained in all publications are solely those of the individual author(s) and contributor(s) and not of MDPI and/or the editor(s). MDPI and/or the editor(s) disclaim responsibility for any injury to people or property resulting from any ideas, methods, instructions or products referred to in the content. |
© 2025 by the authors. Licensee MDPI, Basel, Switzerland. This article is an open access article distributed under the terms and conditions of the Creative Commons Attribution (CC BY) license.
Share and Cite
Liu, Q.; Yeboah, G.B.; Wang, S.; Zhang, H.; Wu, J.; Wang, Q.; Cheng, Y. Gel Characteristics and Digestion of Composite Protein Emulsion-Filled Gels with Varying Soy and Whey Protein Ratios in the Matrix. Gels 2026, 12, 37. https://doi.org/10.3390/gels12010037
Liu Q, Yeboah GB, Wang S, Zhang H, Wu J, Wang Q, Cheng Y. Gel Characteristics and Digestion of Composite Protein Emulsion-Filled Gels with Varying Soy and Whey Protein Ratios in the Matrix. Gels. 2026; 12(1):37. https://doi.org/10.3390/gels12010037
Chicago/Turabian StyleLiu, Qiuyan, Georgina Benewaa Yeboah, Sen Wang, Haowei Zhang, Juan Wu, Qingling Wang, and Yu Cheng. 2026. "Gel Characteristics and Digestion of Composite Protein Emulsion-Filled Gels with Varying Soy and Whey Protein Ratios in the Matrix" Gels 12, no. 1: 37. https://doi.org/10.3390/gels12010037
APA StyleLiu, Q., Yeboah, G. B., Wang, S., Zhang, H., Wu, J., Wang, Q., & Cheng, Y. (2026). Gel Characteristics and Digestion of Composite Protein Emulsion-Filled Gels with Varying Soy and Whey Protein Ratios in the Matrix. Gels, 12(1), 37. https://doi.org/10.3390/gels12010037

