Next Article in Journal
Multi-Year Assessment of Phenotypic Variability and Stability in 49 Peruvian Grapevine (Vitis spp.) Accessions Using AMMI, GGE, and WAASBY Models
Previous Article in Journal
Identification of the Regulatory Network Governing Cold Tolerance During Soybean Germination Through the Transcriptomic Characterization of a Chromosome Segment Substitution Line
 
 
Font Type:
Arial Georgia Verdana
Font Size:
Aa Aa Aa
Line Spacing:
Column Width:
Background:
Article

Integrative Analysis of the Transcriptome and Metabolome Reveals the Mechanism of Saline-Alkali Stress Tolerance in Dracocephalum moldavica L.

1
College of Agronomy, Inner Mongolia Agricultural University (East Campus), Hohhot 010019, China
2
Inner Mongolia Horizon Oasis Research Center of Characteristic Biologic Resource, Hohhot 010018, China
*
Author to whom correspondence should be addressed.
Agronomy 2026, 16(1), 46; https://doi.org/10.3390/agronomy16010046 (registering DOI)
Submission received: 19 November 2025 / Revised: 13 December 2025 / Accepted: 18 December 2025 / Published: 23 December 2025
(This article belongs to the Section Plant-Crop Biology and Biochemistry)

Abstract

Salt–alkali stress is a major abiotic factor limiting plant growth. Dracocephalum moldavica L., an aromatic plant with medicinal and edible value, shows some potential for salt–alkali tolerance, but its response mechanisms remain unclear. In this study, physiological, transcriptomic, and metabolomic approaches were employed to compare the responses of D. moldavica seedlings to salt (NaCl/Na2SO4 = 1:1), alkali (NaHCO3/Na2CO3 = 1:1), and mixed saline–alkali stress (NaCl/Na2SO4/NaHCO3/Na2CO3 = 1:1:1:1). The results showed that all stress types increased the MDA content, with osmotic regulators and antioxidant enzymes helping mitigate damage. Alkali stress caused the most severe chlorophyll and photosynthetic damage. Transcriptomic analysis identified 12,838, 11,124, and 11,460 differentially expressed genes (DEGs) under salt, alkali, and mixed saline–alkali stress, respectively. Metabolomic analysis identified 1802, 1937, and 1794 differentially accumulated metabolites (DAMs) under each stress condition. Combined analysis revealed that all stresses activated pathways involved in galactose metabolism, the TCA cycle, pentose–glucuronic acid interconversion, and phenylpropanoid biosynthesis. Salt stress enhanced sucrose hydrolysis and lignification via INV and HCT. Alkali stress promoted the synthesis of 1-O-sinapoyl-β-D-glucose through COMT, improving antioxidant capacity and pH stability. Mixed saline–alkali stress activated genes related to sugar and energy metabolism, leading to the accumulation of xylitol and citric acid. These findings provide insights into D. moldavica’s mechanisms for tolerance, supporting its potential for saline–alkali land use.

1. Introduction

According to incomplete statistics from UNESCO and the Food and Agriculture Organization (FAO), the global area of saline–alkali land is approximately 1.1 billion hectares, expanding at a rate of 1.5 million hectares per year [1]. This rapid expansion severely degrades and weakens land productivity, making it one of the major abiotic stresses hindering agricultural production and sustainable development [2]. In nature, although soil salinization and alkalization often occur simultaneously, salt stress, alkali stress, and mixed salt–alkali stress are three distinct types of stress that plants face in saline–alkali soils [3]. Salt stress, mainly caused by neutral salts such as NaCl and Na2SO4, induces osmotic stress, ion toxicity, and oxidative stress in plants [4]. Alkali stress, primarily caused by alkaline salts such as Na2CO3 and NaHCO3, raises soil pH, disrupting plant cellular pH homeostasis and cell membrane integrity [5]. Mixed salt–alkali stress, which includes NaCl, Na2SO4, Na2CO3, and NaHCO3, is not merely a simple combination of salt and alkali stress; its impact on plants is much more severe than either salt or alkali stress alone [6]. Therefore, understanding the mechanisms underlying plant responses to different types of saline–alkali stress is crucial for breeding salt-tolerant crops and making effective use of saline–alkali land resources.
Dracocephalum moldavica L. (Moldavian balm or dragonhead), an aromatic annual herb of the Lamiaceae family, is widely distributed in regions such as Northwest China, Russia, Northern Europe, and North America [7]. The whole plant, especially its aerial parts, is used medicinally [8] and is known for its effects such as lowering temperature, reducing fever, and stopping bleeding [9]. It is commonly used in clinical treatments as an adjunct for cardiovascular diseases, including coronary heart disease, hypertension, and angina [10]. In addition to its medicinal value, D. moldavica is also used in food additives [11] and bioherbicides [12], making it a plant resource with both economic and ecological value. Previous studies conducted by our research group have found [13] that D. moldavica not only shows certain salt–alkali tolerance potential when cultivated in saline–alkali soils, but also enhances the content of its medicinal components. However, the molecular mechanisms underlying its response to salt–alkali stress have yet to be systematically studied.
In recent years, multi-omics techniques, including transcriptomics and metabolomics, have been widely used to explore plant responses to salt–alkali stress. For instance, Zhu et al. [14] found that Limonium bicolor alleviates salt stress by accumulating organic soluble substances and flavonoids. Liu et al. [15] demonstrated that maize roots mitigate alkali stress by secreting malonic acid and regulating related genes. Zhang et al. [16] showed that Curcuma Wenyujin resists salt–alkali stress by activating secondary metabolite biosynthesis pathways. However, these studies mainly focus on single stress types, and there is limited research on how a single plant responds to multiple types of saline–alkali stress. Therefore, this study uses D. moldavica from Xinjiang as experimental material to systematically compare its physiological changes under salt stress, alkali stress, and mixed salt–alkali stress. Transcriptomic and metabolomic analyses will be used to identify differentially expressed genes and metabolites under each stress type, elucidating the key metabolic pathways involved in its response. The aim of this study is to construct a molecular regulatory network for D. moldavica’s adaptation to salt, alkali, and mixed salt–alkali stresses, providing a theoretical foundation for the innovation of salt-tolerant germplasm and the utilization of saline–alkali land resources.

2. Materials and Methods

2.1. Experimental Materials and Treatment Methods

Xinjiang D. moldavica was selected as the experimental material for seedling-stage salt–alkali stress trials (the salt–alkali-tolerant germplasm was selected based on previous germination-stage salt–alkali tolerance tests; detailed information on salt–alkali tolerance evaluation can be found in Supplementary Materials S1). The seeds were provided by the Medicinal Plant Cultivation and Breeding Laboratory at Inner Mongolia Agricultural University (Hohhot, China). The plants were cultivated in the greenhouse of the West Campus of Inner Mongolia Agricultural University (Hohhot, China) on 5 June 2024. The plants were exposed to 13 h of light daily, supplemented with cold white fluorescent lights. During the day, the room temperature was maintained at 25 ± 2 °C, and at night, it was kept at 20 ± 2 °C, with humidity maintained around 60%. The experiment was conducted using a potting method, with disposable black nursery bags (12 cm in height and 13 cm in diameter). The soil used for the experiment was collected from the 10–20 cm surface layer of the cultivated field at the East Science and Technology Park of Inner Mongolia Agricultural University in Hohhot, China. The soil was air-dried naturally and then sieved through a 1 cm mesh. Each pot was filled with 1.8 kg of soil. The soil properties were determined by the Laboratory of the National Soil Testing and Fertilization Center, Chinese Academy of Agricultural Sciences (Hohhot, China). The soil pH was 7.65, electrical conductivity was 173.50 µS/cm, organic matter content was 7.23 g/kg, ammonium nitrogen was 2.87 mg/kg, nitrate nitrogen was 15.53 mg/kg, available phosphorus was 16.02 mg/kg, and available potassium was 254.66 mg/kg.
Healthy, non-diseased, and non-moldy D. moldavica seeds were surface-sterilized by soaking in a 1% sodium hypochlorite solution for 15 min, followed by rinsing with distilled water [17]. The seeds were placed in Petri dishes (90 mm in diameter) lined with two layers of filter paper. Once the radicle reached a length of 2–3 cm, uniformly growing seedlings were transferred into the nursery bags, with five seeds sown per pot. When the seedlings reached the three-leaf stage, one seedling per pot was retained. During the early growth stage, 200 mL of distilled water was applied every 2 days to ensure normal plant growth. Stress treatments began 30 days after sowing. Two neutral salts (NaCl, Na2SO4) and two alkaline salts (NaHCO3, Na2CO3) were used to set up four treatment groups: control (CK), salt stress (S), alkali stress (A), and mixed salt–alkali stress (SA). The salt composition, molar ratios, and concentrations for each treatment are shown in Table 1. Each treatment had 10 replicates. The treatments involved applying 200 mL of the respective stress solution every 2 days, while the blank control received an equivalent volume of pure water. After 10 days of stress treatment, leaf samples of D. moldavica were collected, immediately frozen in liquid nitrogen, and stored at −80 °C. To ensure data reliability and sufficient statistical power, physiological measurements and RNA-seq analyses (Trinity version 2.15.1) were conducted using three independent biological replicates, while metabolomic profiling was performed using six biological replicates. The number of replicates was determined based on common experimental practices and statistical considerations in plant physiology and multi-omics studies [13].
During the three stress treatments, D. moldavica seedlings showed wilting and death of the aerial parts under 250 mmol·L−1 salt stress, 200 mmol·L−1 alkali stress, and 150 mmol·L−1 mixed salt–alkali stress. Therefore, leaf samples from D. moldavica seedlings under 200 mmol·L−1 salt stress, 150 mmol·L−1 alkali stress, and 100 mmol·L−1 mixed salt–alkali stress were selected for transcriptomic and metabolomic analysis, with a pure water control group.

2.2. Assessment of Physiological Indices for Leaf Stress Resistance

Leaf samples (0.5 g) were collected and homogenized with 5 mL of phosphate-buffered saline (PBS) and quartz sand in a pre-chilled mortar. The homogenate was then centrifuged at 10,000 r/min for 15 min at 4 °C, and the supernatant was collected for enzyme assays. The activities of peroxidase (POD) and superoxide dismutase (SOD) were determined using the guaiacol–H2O2 reaction and the nitroblue tetrazolium (NBT) assay, respectively [18].
Determination of Catalase (CAT) Activity: Catalase activity was quantified using the assay kit (Catalog No. G0113F) provided by Suzhou Greys Bio-Tech Co., Ltd. (Suzhou, China) The assay was conducted in accordance with the manufacturer’s protocol. Each treatment was carried out in triplicate.
Chlorophyll Content Determination: Fresh plant leaves were collected, and the main veins were removed before being finely chopped and mixed. A precise 30 mg sample of the leaves was weighed, ground in liquid nitrogen, and then mixed with 6 mL of 95% ethanol. The mixture was left to stand in the dark for 48 h. Afterward, the sample was centrifuged at 12,000 rpm at 4 °C for 5 min to collect the supernatant extract. The absorbance of the extract was measured at 649 nm and 665 nm using a microplate reader [18].
Malondialdehyde (MDA) content was measured using the thiobarbituric acid (TBA) method [18]. Briefly, 0.5 g of leaf sample was homogenized with 10 mL of 10% trichloroacetic acid and quartz sand, followed by centrifugation at 4000 r/min for 10 min. The MDA content was then determined by measuring the absorbance at 532 nm.
To quantify hydrogen peroxide (H2O2), 2 g of leaf tissue was homogenized with 2 mL of cold acetone and quartz sand, and then centrifuged at 3000 r/min for 10 min at 4 °C. The supernatant was used to measure H2O2 content using the titanium sulfate colorimetric method. Proline (Pro) content was determined using the acid ninhydrin method, after boiling 0.5 g of leaf tissue with 5 mL of 3% sulfosalicylic acid for 10 min in a water bath [18].
The soluble sugar (SS) content was determined using the anthrone colorimetric method. Briefly, 0.1 g of leaf tissue was ground with 1 mL distilled water, and then heated at 95 °C for 10 min. After cooling, the mixture was centrifuged at 8000× g for 10 min, and the supernatant was collected. The volume was adjusted with distilled water, and the solution was incubated at 95 °C for another 10 min. Absorbance at 620 nm was measured to determine soluble sugar content [18].
The soluble protein (SP) content was determined using the Coomassie Brilliant Blue G-250 method. Approximately 0.2 g of leaf tissue was ground with 8 mL distilled water, and then centrifuged at 4000× g for 10 min. The supernatant was mixed with 5 mL Coomassie Brilliant Blue reagent, shaken, and left to stand for 2 min. Absorbance at 595 nm was measured to calculate the soluble protein content [18].

2.3. RNA Extraction, De Novo Assembly, and Functional Annotation

Total RNA was extracted using TRIzol reagent according to the manufacturer’s instructions. RNA purity and concentration were measured using a NanoDrop 2000 spectrophotometer (Thermo Scientific, Wilmington, NC, USA), and RNA integrity was assessed using an Agilent 2100 Bioanalyzer (Agilent Technologies, Santa Clara, CA, USA). The RNA-seq library was then constructed using the VAHTS Universal V6 RNA-seq Library Prep Kit (Vazyme Biotech Co., Ltd., Nanjing, China) according to the manufacturer’s protocol. After quality control of the library using the Agilent 2100 Bioanalyzer (Agilent Technologies, Santa Clara, CA, USA), sequencing was performed on the Illumina NovaSeq 6000 platform (Illumina, San Diego, CA, USA), generating 150 bp paired-end reads. Transcriptome sequencing and analysis were conducted by Shanghai OE Biotechnology Co., Ltd. (Shanghai, China). All raw sequencing data were uploaded to the NCBI public database with the accession number PRJNA1355030.
Raw data (raw reads) were processed using Trimmomatic (version 0.39) [19]. Clean reads were obtained by removing reads containing poly-N and those of a low quality. After removing adaptor and low-quality sequences, clean reads were assembled into expressed sequence tag clusters (contigs) and de novo-assembled into transcripts using the paired-end method in Trinity (version 2.4). The most extended transcript was used as a single gene for subsequent analysis based on sequence similarity and length.
The functions of unigenes were annotated using the National Center for Biotechnology Information (NCBI, Bethesda, MD, USA) non-redundant NR (https://www.ncbi.nlm.nih.gov/, accessed on 14 August 2025), Swiss-Prot (http://www.uniprot.org/, accessed on 14 August 2025), evolutionary genealogy of genes: Non-supervised Orthologous Group (eggNOG, http://eggnog.embl.de/, accessed on 14 August 2025), and Clusters of Orthologous Groups for eukaryotic complete genomes (KOG, ftp://ftp.ncbi.nih.gov/pub/COG/KOG/kyva, accessed on 14 August 2025) databases using BlastX (version 2.15.0) with a threshold E-value of 10−5. Gene ontology (GO, http://geneontology.org/, accessed on 14 August 2025) classification was performed by mapping the relationships between the Swiss-Prot and GO annotations. The unigenes were mapped to the Kyoto Encyclopedia of Genes and Genomes (KEGG) database (http://www.genome.jp/kegg/pathway.html, accessed on 14 August 2025) to annotate their potential metabolic pathways. HMMER3 (http://hmmer.org/, accessed on 14 August 2025) software (version 3.3.2) was used to annotate the unigenes in the Pfam database (http://pfam.xfam.org/, accessed on 14 August 2025) (E-value: 10−10).

2.4. Unigene Quantification, Analysis of Differentially Expressed Genes (DEGs), and GO and KEGG Enrichment Analysis

The bowtie2 (version 2.4.5) [20] program was used to assess gene alignments, and the expression levels of genes or transcripts were quantified with FPKM [21]. To evaluate the overall quality of the sequencing data and assess the reproducibility among biological replicates, Principal Component Analysis (PCA) was performed using the normalized gene expression profiles of all 12 samples. The analysis of different expression between the two datasets was performed using DESeq2 (version 1.22.2) [22], with FDR for multiple comparisons according to the Benjamini and Hochberg method. Differentially expressed genes (DEGs) were filtered with the criteria of |log2Fold Change| > 1 and FDR < 0.05. Enrichment analyses for GO and KEGG pathways related to DEGs were conducted using R software (version 3.2.0) and methods based on hypergeometric distribution.

2.5. Metabolite Extraction, Data Preprocessing, and Statistical Analysis

Samples (80 mg) were transferred to a 1.5 mL Eppendorf tube. Two small steel balls were added to the tube. Twenty microliters of 2-chloro-L-phenylalanine (0.3 mg·mL−1) was dissolved in methanol as an internal standard. A 1 mL mixture of methanol and water (7/3, in volume) was added to each sample, and the samples were placed in a refrigerator at −80 °C for 2 min. Next, the samples were ground at 60 Hz for 2 min, followed by ultrasonic extraction in an ice water bath for 30 min. The samples were then placed in a refrigerator at −20 °C for 12 h. Following this, the samples were centrifuged at 13,000 r/min at 4 °C for 15 min. The supernatants (150 µL) from each tube were collected using crystal syringes, filtered through 0.22 µm microfilters, and transferred to liquid chromatography (LC) vials. Before liquid chromatography–mass spectrometry (LC-MS) analysis, the LC vials were stored in at −80 °C. Quality control (QC) samples were made by mixing equal amounts of all samples into one mixed sample.
The raw LC-MS data were analyzed by Progenesis QI software (Waters Corporation, Milford, MA, USA, version 2.0) using the following parameters: precursor tolerance, 5 × 10−6; fragment tolerance, 1 × 10−5, and retention time (RT) tolerance, 0.02 min. Internal standard detection parameters were deselected for peak RT alignment, isotopic peaks were excluded from analyses, the noise elimination level was set to 10.00, and the minimum intensity was set to 15% of the base peak intensity. An Excel file was obtained using three-dimensional datasets including mass-to-charge ratio (m/z), peak RT, and peak intensities, and RT-m/z pairs were used ae the identifier for each ion. The resulting matrix was further reduced by removing any peaks with a missing value (ion intensity = 0) in more than 50% of samples. To ensure analytical reproducibility, metabolite features with a relative standard deviation (RSD) of peak intensity greater than 30% across all QC samples were removed. Subsequently, any remaining missing values were imputed using half of the minimum positive value detected for that metabolite across all samples.
Compound annotation was performed based on multiple dimensions, including retention time (RT), accurate mass, MS/MS fragmentation patterns, and isotopic distribution. Public databases (HMDB, LipidMaps v2.3, and METLIN), together with the in-house LuMet-Plant 3.0 database, were used for metabolite identification. The LuMet-Plant 3.0 database is constructed using standardized hardware-based workflows and authenticated reference standards, containing more than 10,000 metabolites, including three-dimensional RT-MS1–MS2 information for over 5000 standards. For each metabolite feature, an initial identification score (0–80) was assigned based on four dimensions: accurate molecular mass matching (20 points), MS/MS fragmentation matching (20 points), isotopic pattern matching (20 points), and retention time matching (20 points). Features with a total score below 36 were considered unreliable and excluded from further analysis. The remaining metabolites were then classified into four confidence levels. Level 1 (highest confidence) required a retention time match within ±0.3 min and an MS/MS matching score ≥ 45. Level 2 (high confidence) required a retention time match within ±0.3 min and an MS/MS matching score between 0 and 45. Level 3 (medium confidence) included metabolites with MS/MS scores ≥ 45 but without confirmed retention time matching. Level 4 (low confidence) included metabolites with MS/MS scores < 45. In this study, the reported differentially accumulated metabolites (DAMs) were predominantly assigned to Level 1 or Level 2, and all key metabolites discussed in the manuscript belonged to Level 1 with high MS/MS matching scores. The internal standard was used for data QC (reproducibility). Metabolites were identified by Progenesis QI Data Processing Software (version 2.0) using public databases such as the Human Metabolome Database (http://www.hmdb.ca/, accessed on 14 August 2025), LipidMaps (http://www.lipidmaps.org/, accessed on 14 August 2025), and self-built databases.
The positive and negative data were combined and imported into the R ropls package. Principal component analysis (PCA) and orthogonal partial least squares discriminant analysis (OPLS-DA) were conducted to visualize metabolic alterations among the experimental groups after mean centering and Pareto variance scaling, respectively. The Hotelling’s T2 region, which is shown as an ellipse in the score plots of the models, defines the 95% confidence interval of the modeled variation. Variable importance in projection (VIP) values rank the overall contribution of each variable to the OPLS-DA model, and variables with VIP > 1 are considered relevant for group discrimination. Differentially accumulated metabolites (DAMs) were identified through an integrated multivariate and univariate statistical framework. Metabolites with variable importance in projection (VIP) values greater than 1.0 in the OPLS-DA model were first screened. Their statistical significance was subsequently assessed using a two-sample Student’s t test, and the resulting p values were adjusted for multiple comparisons using the Benjamini–Hochberg false discovery rate (FDR) procedure. Metabolites that satisfied both criteria, VIP > 1.0 and FDR < 0.05, were defined as DAMs. Metabolites with VIP values greater than 1.0 and p-values less than 0.05 were considered differentially accumulated metabolites (DAMs). The metabolic pathway enrichment analysis of DAMs was performed using the KEGG database, and the threshold for significant enrichment was p ≤ 0.05.

2.6. Quantitative Real-Time Polymerase Chain Reaction (qRT-PCR) Analysis

For the real-time quantitative PCR (qPCR) validation, TRINITY_DN8802_c0_g1_i3_4 was selected as the reference gene. Five target genes were randomly chosen for validation, including TRINITY_DN7611_c0_g1_i2_1 (succinyl-CoA synthetase beta subunit (LSC2)), TRINITY_DN79_c0_g1_i2_2 (UDP-glucose 4-epimerase (galE)), TRINITY_DN10039_c0_g1_i2_1 (phenylalanine ammonia-lyase (PAL)), TRINITY_DN22947_c0_g1_i1_2 (phosphoenolpyruvate carboxylase (ppc)), and TRINITY_DN3125_c0_g1_i11_1 ((+)-abscisic acid 8′-hydroxylase (CYP707A)). Ambion-1912 was used to extract the total RNA from the samples as per the manufacturer’s instructions. Reactions were conducted in a 384-well optical plate (Roche, Basel, Switzerland) at 94 °C for 30 s, followed by 45 cycles of 94 °C for 5 s and 60 °C for 30 s. Three reactions were performed for each sample. Primers were designed and synthesized by TsingKe Biotech (Beijing, China; Supplementary Table S2). The expression levels of mRNAs were normalized to the expression of TRINITY_DN8802_c0_g1_i3_4 and were calculated using the 2−ΔΔCt method.

2.7. Integrated Analysis of Transcriptomics and Metabolomics

To elucidate the regulatory relationships between genes and metabolites, hypergeometric testing was first employed to identify KEGG pathways that were significantly co-enriched by both differentially expressed genes (DEGs) and differentially accumulated metabolites (DAMs), using a significance threshold of p < 0.05. Four metabolic pathways met this criterion and were selected for subsequent analyses. Spearman correlation analysis was then performed between the expression levels of all DEGs and DAMs mapped to each common pathway, and the resulting correlations were visualized in the form of heatmaps.

2.8. Statistical Analysis

Statistical analysis was performed using Microsoft Excel 2019 (Microsoft, Inc., Redmond, WA, USA). For the physiological indices analysis, one-way analysis of variance (ANOVA) was conducted using SPSS v21 (IBM INC., Armonk, NY, USA). When the ANOVA indicated a significant overall effect (p < 0.05), post-hoc pairwise comparisons were conducted using Duncan’s multiple range test. To provide a more comprehensive interpretation beyond statistical significance, the effect size for each pairwise comparison was calculated as Cohen’s d, and the 95% confidence intervals (95% CI) for the mean differences were also reported. Figures were created using Origin 2021 (OriginLab Inc., Northampton, MA, USA).

3. Results

3.1. Effects of Salt–Alkali Stress on Physiological and Biochemical Indices of D. moldavica Seedlings

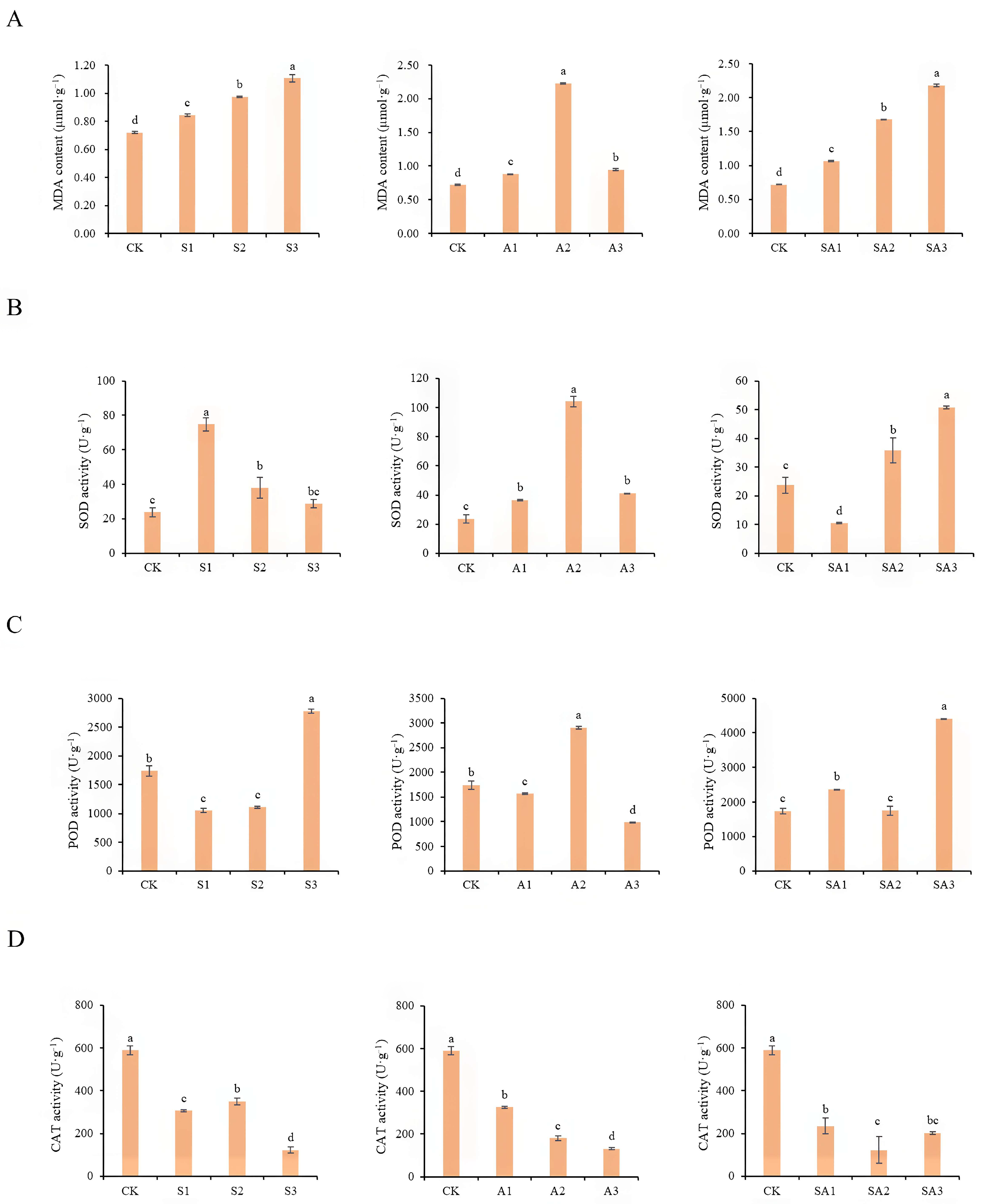
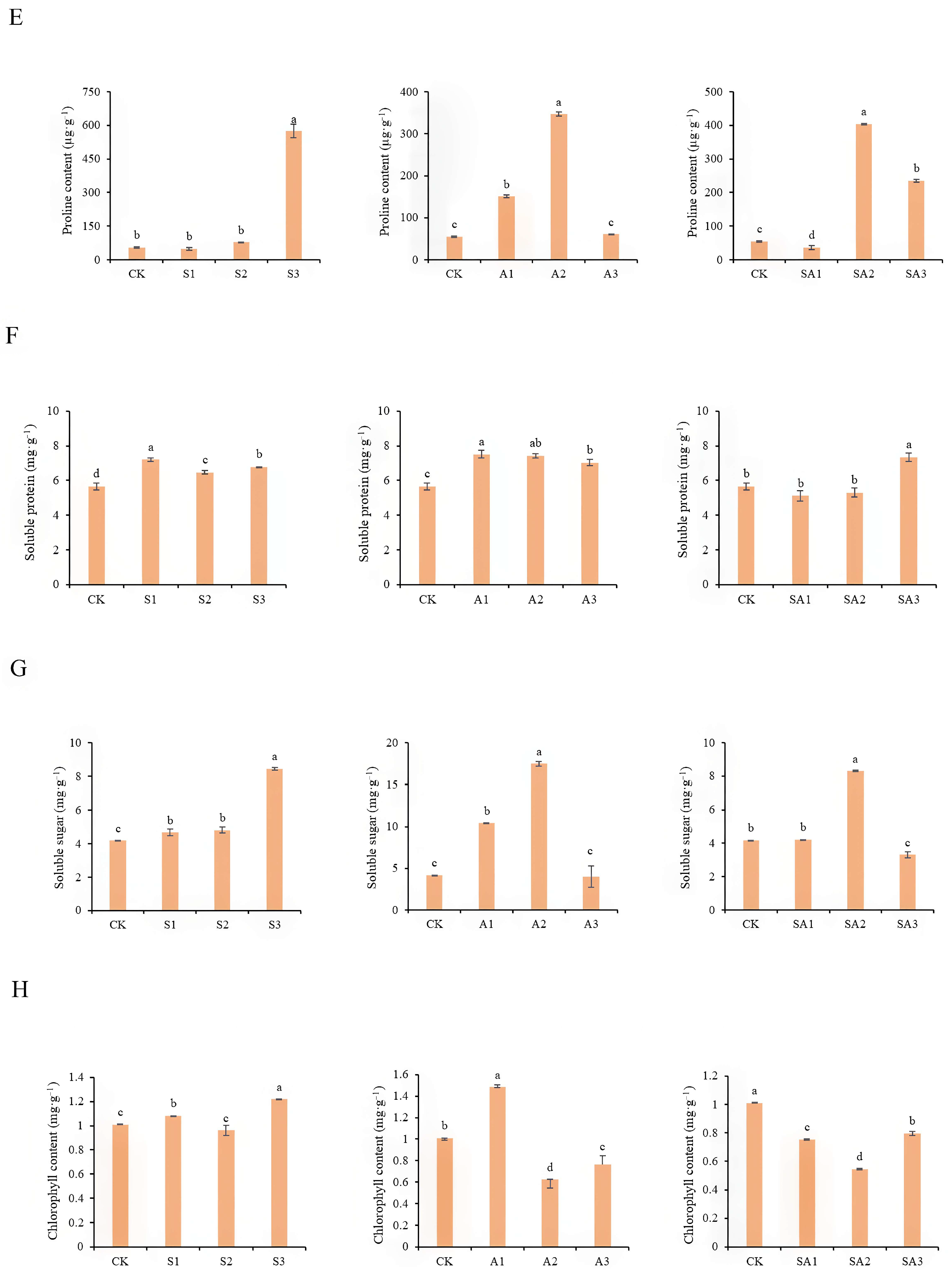
There were significant differences in the effects of different stress types and concentrations on the physiological indices of D. moldavica seedlings (Figure 1). The MDA content was significantly higher in all stress treatments compared to the control, and it continuously increased with concentration under salt and mixed salt–alkali stresses, reaching a maximum under S3 and SA3. However, under alkali stress, the MDA content showed a trend of first increasing and then decreasing, with a peak at A2. Chlorophyll content increased gradually with concentration under salt stress, reaching a maximum at S3. Under alkali stress, low concentrations promoted and high concentrations inhibited the chlorophyll content. Specifically, the A1 treatment was significantly higher than the control, while A2 and A3 were significantly lower than the control. Under mixed salt–alkali stress, all treatments were significantly lower than the control, showing a trend of first decreasing and then increasing, with a peak at SA3.
Regarding osmotic regulators, the soluble sugar and soluble protein content were both significantly higher than the control under salt stress, reaching a maximum at S3 and S1, respectively. The proline content significantly accumulated under S3 only. Under alkali stress, the content of all three substances showed a trend of first increasing and then decreasing, with all treatments higher than the control, peaking at A2. Under mixed salt–alkali stress, the soluble sugar content increased and then decreased, reaching a maximum at SA2; the soluble protein content followed the opposite trend, peaking at SA3; the proline content was significantly lower than the control at SA1, and significantly higher at SA2 and SA3, with the highest accumulation at SA2.
In terms of antioxidant enzyme activity, CAT activity was significantly suppressed at all concentrations under all three stress types. Compared to the control, POD enzyme activity was only significantly activated at S3 under salt stress, at A2 under alkali stress, and at SA3 under mixed salt–alkali stress, where it reached the maximum. SOD enzyme activity was higher than the control under both salt and alkali stresses, with the maximum observed at S1 and A2, respectively. Under mixed salt–alkali stress, SOD activity was significantly suppressed at low concentrations, significantly activated at SA2, and reached the maximum at SA3.

3.2. Transcriptome Analysis

3.2.1. Transcriptome Sequencing and Differential Expression Gene Analysis

RNA-seq analysis was conducted on total RNA from D. moldavica leaves under control, salt stress, alkali stress, and mixed salt–alkali stress conditions. A total of 12 samples were used for transcriptome sequencing, generating 83.79 G of clean data, with the effective data volume for each sample ranging from 6.90 to 7.06 G. The Q30 values ranged from 97.22% to 97.63%, and the average GC content was 47.15% (Table 2). A total of 36,210 unigene sequences were assembled with a total length of 57,924,736 base pairs and an average length of 1599.69 bp (Supplementary Figure S1). Clean reads were mapped to the assembled unigenes, with mapping rates ranging from 90.99% to 91.99%.
Searches of the assembled transcripts in seven public databases revealed significant matches for 28,256 unigenes in the NR database, 26,576 unigenes in the eggNOG database, 16,399 unigenes in the KOG database, 1324 unigenes in the KEGG database, 18,194 unigenes in the GO database, 21,482 unigenes in the Swiss-Prot database, and 20,954 unigenes in the Pfam database (Supplementary Figure S2).
To assess the biological reproducibility between the samples from the four different treatments and to confirm the accuracy and reliability of the RNA-seq data, principal component analysis (PCA) was performed on the 12 samples. Figure 2 shows that the three biological replicates within each treatment group were highly similar, and the three stress treatments were clearly separated from the control, indicating that the sample quality obtained in this study was high and reproducible, thus allowing for differential expression gene and functional enrichment analyses. Consistently, the overall distribution of all samples revealed a relatively uniform global gene expression (Supplementary Figure S3), further confirming the reliability of the data. Differential gene expression analysis revealed that the salt stress comparison group (S200_vs_CK), alkali stress comparison group (A150_vs_CK), and mixed salt–alkali stress comparison group (SA100_vs_CK) identified 12,838 (6012 upregulated and 6826 downregulated), 11,124 (4924 upregulated and 6200 downregulated), and 11,460 (5847 upregulated and 5613 downregulated) differentially expressed genes (Figure 3A and Supplementary Figure S4), respectively. The number of differentially expressed genes varied between comparison groups, indicating that gene expression in D. moldavica leaves differed under different treatments. Additionally, specific sets of differentially expressed genes were enriched in each comparison group: 1973, 1579, and 1408 genes were specifically enriched in the salt stress group (S200_vs_CK), alkali stress group (A150_vs_CK), and mixed salt–alkali stress group (SA100_vs_CK), respectively. The three treatment groups shared 7066 differentially expressed genes (Figure 3B).

3.2.2. Analysis of GO Enrichment for DEGs

The Gene Ontology (GO) enrichment analysis provided a refined categorization of the differentially expressed genes (DEGs) into three distinct but interconnected groups: cellular components (CCs), biological processes (BPs), and molecular functions (MFs). In terms of cellular components, the differentially expressed genes under salt stress were primarily enriched in the extracellular region, while the DEGs under alkali stress and mixed salt–alkali stress were predominantly enriched in the chloroplast thylakoid membrane. In molecular functions, the DEGs under salt stress were mainly enriched in iron ion binding, whereas the DEGs under both alkali stress and mixed salt–alkali stress were primarily enriched in chlorophyll binding. In biological processes, the DEGs from all three stress types were mainly enriched in the process of photosynthesis (Figure 4A–C).

3.2.3. Analysis of KEGG Enrichment for DEGs

KEGG enrichment analysis revealed that the pathways protein processing in endoplasmic reticulum (ko04141), plant hormone signal transduction (ko04075), and phenylpropanoid biosynthesis (ko00940) were significantly enriched in the salt stress comparison group (Figure 5A). In the alkali stress comparison group, the pathways plant hormone signal transduction (ko04075), carbon fixation in photosynthetic organisms (ko00710), and glycolysis/gluconeogenesis (ko00010) were significantly enriched (Figure 5B). For the mixed salt–alkali stress comparison group, the pathways glycolysis/gluconeogenesis (ko00010), phenylpropanoid biosynthesis (ko00940), and carbon fixation in photosynthetic organisms (ko00710) were significantly enriched (Figure 5C).
Seven pathways were common to all three comparison groups, including Photosynthesis (ko00195), Photosynthesis–antenna proteins (ko00196), Carbon fixation in photosynthetic organisms (ko00710), Pentose and glucuronate interconversions (ko00040), Flavonoid biosynthesis (ko00941), Carotenoid biosynthesis (ko00906), and Glycerolipid metabolism (ko00561). This suggests that there are common mechanisms in D. moldavica’s response to different types of salt–alkali stress. Based on these enrichment analyses, we further investigated the expression of genes involved in these pathways to identify key genes activated in response to salt, alkali, and mixed salt–alkali stresses.

3.2.4. Differential Expression Gene Analysis of D. moldavica in Response to Salt–Alkali Stress

Based on the KEGG-related metabolic pathways involved in D. moldavica’s response to salt–alkali stress and the fold change in differentially expressed genes, and according to functional annotations, the response genes in this study were categorized into three groups: carbohydrate metabolism, secondary metabolite metabolism, and lipid metabolism. In the photosynthesis pathway, all three stress treatments induced the expression of 16 differentially expressed genes (3 upregulated, 13 downregulated). Among these, petF was significantly induced under all three stress treatments, while the expression of several core photosynthetic complex subunit genes (psbE, psbY, psbQ, psaF, psaB) was inhibited (Figure 6A). In the Photosynthesis–antenna proteins pathway, all three stress treatments downregulated the expression of seven differentially expressed genes, with LHCB1 being most significantly inhibited (Figure 6B). In the Carbon fixation in photosynthetic organisms pathway, under salt stress, alkali stress, and mixed salt–alkali stress, 13 (4 upregulated, 9 downregulated), 19 (6 upregulated, 13 downregulated), and 21 (9 upregulated, 12 downregulated) differentially expressed genes were identified, respectively (Figure 6C). Among them, GAPDH was activated under salt stress, and ALDO and TPI were only significantly induced under mixed salt–alkali stress. In the Pentose and glucuronate interconversion pathway, under salt stress, alkali stress, and mixed salt–alkali stress, 12 (4 upregulated, 8 downregulated), 12 (6 upregulated, 6 downregulated), and 14 (6 upregulated, 8 downregulated) differentially expressed genes were identified, respectively. AKR1A1 was only significantly activated under alkali stress and mixed salt–alkali stress, while pel was significantly inhibited in all three stress treatments (Figure 6D).
In the Flavonoid biosynthesis pathway, salt, alkali, and mixed salt–alkali stresses induced 13 (5 upregulated, 8 downregulated), 10 (2 upregulated, 8 downregulated), and 11 (6 upregulated, 5 downregulated) differentially expressed genes, respectively. Both E2.1.1.104 and PGT1 were significantly activated under all three stress treatments, while four genes encoding HCT showed differential expression under stress. Two of these were significantly expressed under salt and mixed salt–alkali stress, while the other two were inhibited under all three stress treatments (Figure 7A). In the Carotenoid biosynthesis pathway, salt, alkali, and mixed salt–alkali stresses led to the identification of 10 (3 upregulated, 7 downregulated), 11 (3 upregulated, 8 downregulated), and 10 (3 upregulated, 7 downregulated) differentially expressed genes, respectively. NCED was significantly activated under alkali stress, while two CYP707A genes were strongly activated under salt and mixed salt–alkali stresses (Figure 7B). In the Glycerolipid metabolism pathway, salt, alkali, and mixed salt–alkali stresses led to the identification of 15 (10 upregulated, 5 downregulated), 15 (11 upregulated, 4 downregulated), and 16 (12 upregulated, 4 downregulated) differentially expressed genes, respectively. ALDH was only significantly inhibited under alkali stress, while three members of the MGLL gene family were strongly activated under salt stress, and another member was significantly inhibited under both alkali and mixed salt–alkali stresses (Figure 8).

3.3. Quantitative Real-Time PCR Analysis

The relative expression levels of the five target genes, LSC2, galE, PAL, ppc, and CYP707A, in the CK group were set to 1. Under salt stress, the relative expression levels were 5.35, 6.28, 3.82, 2.42, and 12.75, respectively. In the alkali stress treatment group, the relative expression levels were 3.69, 7.70, 2.15, 6.42, and 4.69. Under mixed saline-alkaline stress, the relative expression levels were 4.89, 6.09, 3.03, 3.59, and 10.83. The expression of these five target genes was consistently higher in all treatment groups compared to the CK group (Figure 9). Transcriptomic data also showed that the expression of these genes was upregulated in all three treatment groups, with fold changes under salt stress of 2.80, 2.95, 1.95, 2.97, and 3.60, respectively. Under alkali stress, the fold changes were 2.42, 3.43, 1.23, 4.82, and 2.60. In the mixed saline-alkaline stress group, the fold changes were 2.83, 2.50, 1.91, 3.85, and 3.64. The trends observed in the qRT-PCR results were consistent with those in the transcriptome data, confirming the reliability of the transcriptomic analysis.

3.4. Metabolome Analysis

3.4.1. Quality Control of Metabolome Data and Differentially Abundant Metabolite Analysis

Qualitative and quantitative metabolomics analysis was performed on 24 samples. PCA showed high similarity within the biological replicates of each treatment group, and there was a clear separation between the three stress treatments and the control samples (Supplementary Figure S5). To minimize intra-group errors, eliminate random errors unrelated to the research objectives, and maximize the detection of inter-group differences, supervised pattern recognition methods were further employed. Orthogonal partial least squares discriminant analysis (OPLS-DA) was used to analyze the data. The score scatter plot indicated significant separation of the samples from the three different treatments along the first principal component (PC1), with high clustering within each group. According to the OPLS-DA analysis, the samples from different treatments were clearly distinguishable. To prevent model overfitting, a 200-round response permutation test (RPT) was conducted to assess the model’s quality. The permutation test results confirmed the robustness of the models, as the R2 and Q2 values of the original models were significantly higher than those obtained from the randomly permuted datasets (Supplementary Figure S6). Specifically, the R2 values for the salt, alkali, and mixed salt–alkali stress comparison groups were 0.906, 0.915, and 0.898, respectively; the Q2 values were 0.989, 0.992, and 0.979. These results indicate that the models are statistically valid, not overfitted, and suitable for the subsequent screening and identification of differential metabolites.
In the salt stress (S200_vs_CK), alkali stress (A150_vs_CK), and mixed saline–alkali stress (SA100_vs_CK) comparison groups, a total of 1802 (1237 upregulated, 565 downregulated), 1937 (1728 upregulated, 209 downregulated), and 1794 (1380 upregulated, 414 downregulated) differential metabolites (DAMs) were identified, respectively (Figure 10A and Supplementary Figure S7). Between the different treatment groups, there were shared DAMs (Figure 10B). A total of 1235 common differential metabolites were found in the comparison of salt stress and alkali stress groups; 1394 DAMs in the comparison of salt stress and mixed saline–alkali stress; and 1317 DAMs in the comparison of alkali stress and mixed saline–alkali stress. Among these, 1083 differential metabolites were commonly regulated under all three stress treatments, suggesting that these shared DAMs could be key metabolites in the response of D. moldavica to salt, alkali, and mixed saline–alkali stress. The types of metabolites commonly affected by all three stress treatments mainly included organic acids and their derivatives, phenylpropanoids, polyketides, and phenolic compounds. Additionally, lipids and lipophilic molecules, as well as organic heterocyclic compounds, were significantly accumulated under salt and mixed saline–alkali stresses, while organic oxygen compounds, alkaloids, and their derivatives were significantly accumulated under alkali and mixed saline–alkali stresses (Supplementary Table S3).

3.4.2. KEGG Pathway Enrichment Analysis

The qualitative differential metabolites were mapped to the KEGG database, and the results showed that 117 DAMs in the salt stress group (S200_vs_CK) were annotated to 130 metabolic pathways, with 19 KEGG pathways significantly enriched (p-value < 0.05). These pathways include Arachidonic acid metabolism (ko00590), Arginine and proline metabolism (ko00330), Phenylalanine, tyrosine, and tryptophan biosynthesis (ko00400), Purine metabolism (ko00230), and Pyrimidine metabolism (ko00240) (Figure 11A). In the alkali stress group (A150_vs_CK), 139 DAMs were annotated to 142 metabolic pathways, with 36 KEGG pathways significantly enriched (p-value < 0.05). The top 20 pathways include Tyrosine metabolism (ko00350), Central carbon metabolism in cancer (ko05230), Aminoacyl-tRNA biosynthesis (ko00970), Phenylalanine, tyrosine and tryptophan biosynthesis (ko00400), and Lysine degradation (ko00310) (Figure 11B). In the mixed saline–alkali stress group (SA100_vs_CK), 128 DAMs were annotated to 125 metabolic pathways, with 22 pathways significantly enriched (p-value < 0.05). The top 20 pathways include Arginine and proline metabolism (ko00330), Tyrosine metabolism (ko00350), Pyrimidine metabolism (ko00240), Vitamin B6 metabolism (ko00750), and Phenylalanine, tyrosine and tryptophan biosynthesis (ko00400) (Figure 11C).

3.4.3. Integrated Analysis of DEGs and DAMs

Transcriptomic and metabolomic analyses were conducted to clarify the components of the regulatory network in D. moldavica under salt stress, alkali stress, and saline–alkali stress. The KEGG database enrichment results for DEGs and DAMs show that several DEGs and DAMs are enriched in the same KEGG pathway (Supplementary Tables S4–S6). A total of 44 pathways were commonly enriched across all three stress treatments (Table S7), including Carbohydrate metabolism (11 pathways), Amino acid metabolism (10 pathways), Biosynthesis of other secondary metabolites (4 pathways), Metabolism of cofactors and vitamins (4 pathways), Lipid metabolism (4 pathways), Metabolism of other amino acids (3 pathways), Energy metabolism (2 pathways), Metabolism of terpenoids and polyketides (2 pathways), Nucleotide metabolism (2 pathways), Translation (1 pathway), and Membrane transport (1 pathway).
Under saline–alkali stress (SA100_vs_CK), the pathways significantly enriched at both transcriptomic and metabolomic levels include Phenylpropanoid biosynthesis (ko00940), Pentose and glucuronate interconversions (ko00040), Galactose metabolism (ko00052), and Citrate cycle (TCA cycle) (ko00020) (Figure 12C). Under salt stress (S200_vs_CK), the Pentose and glucuronate interconversions (ko00040) pathway is significantly enriched at both transcriptomic and metabolomic levels, while Phenylpropanoid biosynthesis (ko00940) is only significantly enriched at the transcriptomic level, and Galactose metabolism (ko00052) and Citrate cycle (TCA cycle) (ko00020) are only significantly enriched at the metabolomic level (Figure 12A). Under alkali stress (A150_vs_CK), Phenylpropanoid biosynthesis (ko00940) and Citrate cycle (TCA cycle) (ko00020) are only significantly enriched at the metabolomic level, Pentose and glucuronate interconversions (ko00040) is only significantly enriched at the transcriptomic level, and Galactose metabolism (ko00052) is not significantly enriched at either level (Figure 12B). Despite the differences in enrichment patterns across the different stress types, the DEGs and DAMs in these four pathways show strong correlations under all three stress conditions (Figures S8–S11). Therefore, Phenylpropanoid biosynthesis (ko00940), Pentose and glucuronate interconversions (ko00040), Galactose metabolism (ko00052), and Citrate cycle (TCA cycle) (ko00020) are considered key metabolic pathways in D. moldavica’s response to different saline–alkali stresses, and these pathways will be analyzed further below.
In the Galactose metabolism, Pentose and glucuronate interconversions, and Citrate cycle (TCA cycle) biosynthetic pathways, a total of 44 DEGs and 21 DAMs were identified. In the Galactose metabolism pathway, under all three stress conditions, sucrose was significantly accumulated, and galE along with three galA members were significantly activated. Additionally, malZ and GLB1 were specifically upregulated under saline–alkali stress, INV was specifically upregulated under salt and saline–alkali stress, and HK was specifically upregulated under alkali and saline–alkali stress. In the Pentose and glucuronate interconversion pathway, Xylitol and β-D-Glucuronoside were significantly accumulated under all three stress conditions, consistent with the upregulation trend of the upstream reductase gene AKR1A1. Meanwhile, (4R,5S)-4,5,6-Trihydroxy-2,3-dioxohexanoate was only significantly accumulated under alkali and saline–alkali stress. In the Citrate cycle (TCA cycle) pathway, under all three stress conditions, the core metabolite citrate and the gene ACO, which catalyzes its downstream reactions, were upregulated, and both LSC2 and ACO were also upregulated. (S)-Malate and cis-Aconitate were only specifically accumulated under alkali and saline–alkali stress, and their related regulatory genes ACO, CS, and MDH2 were also upregulated (Figure 13). In the Phenylpropanoid biosynthesis pathway, a total of 24 DEGs and 6 DAMs were identified. Under all three stresses, coniferin, phenylalanine, and P-coumaraldehyde were significantly accumulated, while tyrosine was only specifically accumulated under alkali stress. 1-O-sinapoyl-β-D-glucose was accumulated under both alkali and saline–alkali stress, and its upregulation correlated with the expression trend of its upstream regulatory gene COMT. Under all three stresses, PAL, COMT, and E2.1.1.104 were upregulated, while E1.11.1.7 was specifically upregulated under salt stress. HCT, CAD, and CYP73A were specifically upregulated under salt and saline–alkali stress (Figure 14).

4. Discussion

In normal growth conditions, plants maintain a dynamic balance between the generation and scavenging of reactive oxygen species (ROS). However, under salt–alkali stress, this balance is disrupted, leading to an accumulation of ROS, which causes oxidative stress, membrane lipid peroxidation, and the production of toxic compounds such as malondialdehyde (MDA) [23]. In this study, under salt and mixed salt–alkali stresses, MDA content continuously increased with the stress concentration, indicating that the degree of lipid peroxidation in the cell membranes worsened. This is consistent with findings in Hemiptelea davidii [24] under salt stress and Hemerocallis fulva (L.) L. [25] under mixed salt–alkali stress. On the other hand, under alkali stress, MDA content showed a trend of an initial increase followed by a decrease with increasing stress concentration, which aligns with the results reported by Zhao et al. [26] in oats. This phenomenon may be due to the buffering effect of D. moldavica under alkali stress, allowing it to maintain a certain degree of tolerance.
Salt–alkali stress also impedes chloroplast development, reduces chlorophyll synthesis enzyme activity, accelerates chlorophyll degradation, and, consequently, suppresses photosynthesis [27]. In this study, chlorophyll content under alkali stress exhibited a low concentration promotion followed by high concentration inhibition, suggesting that D. moldavica initially activates adaptive mechanisms to maintain chlorophyll stability and normal photosynthesis at lower stress concentrations. However, when the concentration exceeds a threshold, it leads to the destruction of the photosystem [28]. Under mixed salt–alkali stress, chlorophyll content was consistently reduced, likely because the salt–alkali stress not only disrupted the internal structure of chloroplasts, but also increased the rate of chlorophyll breakdown by chlorophyllase. Transcriptomic analysis also confirmed that under high concentrations of alkali and mixed salt–alkali stresses, multiple core photosystem subunit genes (such as psbE, psbY, psbQ, psaF, psaB) were significantly suppressed, and the gene responsible for binding chlorophyll a and b, LHCB1 [29], was also significantly downregulated. Conversely, under salt stress, chlorophyll content increased with the concentration. This could be an adaptive response where the plant increases the chlorophyll content to mitigate the osmotic stress induced by salt. The accumulation of organic osmotic regulators such as soluble sugars, soluble proteins, and proline helps to lower the osmotic potential [30,31], as found in this study, where the levels of soluble sugars, soluble proteins, and proline increased under salt stress. The metabolomic results also showed a significant accumulation of sucrose under high salt stress. These osmotic regulators are products of photosynthesis [32]; therefore, D. moldavica might increase its chlorophyll content to enhance light absorption, thereby improving the photosynthetic rate and accumulating osmotic regulators to counteract salt stress.
Plants increase the content of osmotic regulators to enhance intracellular osmotic pressure, thereby improving their tolerance to salt–alkali stress [33]. In this study, under alkali stress, the levels of proline, soluble sugars, and soluble proteins increased with the stress concentration, showing a trend of first increasing and then decreasing. A similar trend was observed for soluble sugars and soluble proteins under mixed salt–alkali stress. This is consistent with the findings of Yu et al. [34]. This may be because when the stress concentration exceeds the threshold that the plant can adapt to, it synthesizes antioxidant substances to cope with the surge in reactive oxygen species (ROS). Transcriptomic data also indicate that the flavonoid biosynthesis pathway was significantly enriched, and its upstream regulatory genes, such as PAL (phenylalanine ammonia-lyase) and genes responsible for the methylation and glycosylation of flavonoids, including E2.1.1.104 and PGT1 [35], were significantly induced. However, the soluble protein content only accumulated at high concentrations of mixed salt–alkali stress, which contrasts with existing studies that report an initial increase and then decrease in soluble protein content under salt–alkali stress in tomato seedlings [36]. It is speculated that high concentrations of salt–alkali stress inhibit the metabolic processes in D. moldavica seedlings, leading the plant to accumulate soluble proteins as a strategy to alleviate the inhibition of growth caused by osmotic stress.
Plants possess a complete enzymatic protection system to eliminate the large amounts of reactive oxygen species (ROS) generated under stress conditions, enhancing their adaptation to stress and ensuring normal life activities. The upregulation of antioxidant enzyme activities varies depending on the severity of the stress [37]. In this study, high concentrations of salt stress and moderate concentrations of alkali stress significantly activated the activities of POD and SOD enzymes. This is consistent with the findings of Sun et al. [38], who observed that, under low salt and alkali concentrations, SOD and POD activities did not significantly change in sorghum seedlings, whereas their activities increased significantly in high salt and alkali environments. This may be because, at low concentrations, the ROS generated act as signaling molecules that participate in regulating the plant’s response to stress. However, when the concentration exceeds the cell’s tolerance threshold, ROS become toxic, and the coordinated action of antioxidant enzymes becomes crucial for maintaining the redox homeostasis under oxidative stress [39,40]. In this study, under mixed salt–alkali stress, SOD activity showed a trend of first decreasing and then increasing with increasing concentration, while POD activity remained continuously activated. This could be due to the fact that SOD is a metalloenzyme, and its active site contains metal ions, whose presence or absence directly influences enzyme activity [41]. The ion toxicity caused by mixed salt–alkali stress indirectly affects the absorption and transport of essential trace elements by the plant [42]. On the other hand, under low-concentration stress, the plant may rely more on non-enzymatic antioxidant systems to remove ROS, leading to a temporary suppression of SOD synthesis. As the stress concentration increases, to cope with the surge in ROS, the plant may enhance the sequestration of metal ions [43], preferentially ensuring the supply and transport of metal ions required by SOD, thus enhancing its activity. The continuous increase in POD activity is likely aimed at removing H2O2 generated during the stress process to maintain cellular redox homeostasis [44]. Notably, during all three types of stress, CAT enzyme activity was significantly suppressed. This is consistent with the findings of Wolucka et al. [45], who observed that osmotic stress caused by salt–alkali stress inhibits CAT enzyme activity.
RNA-seq has been used to characterize the mechanisms of plant responses to abiotic stress at the transcriptional level [46]. In this study, a total of 12,838 differentially expressed genes (DEGs) were identified under salt stress, with 6012 upregulated and 6826 downregulated; 11,124 DEGs were identified under alkali stress, with 4924 upregulated and 5847 downregulated; and 11,460 DEGs were identified under mixed salt–alkali stress, with 5847 upregulated and 5613 downregulated. In both salt and alkali stresses, the number of downregulated genes was higher than the number of upregulated genes, which may suggest that D. moldavica slows down its metabolism in response to these stresses. In this scenario, non-essential physiological activities may stop or reduce in activity, allowing the plant to passively adapt to the unfavorable environment [47]. In contrast, the number of upregulated genes under mixed salt–alkali stress was higher than the number of downregulated genes, indicating that mixed salt–alkali stress is not merely a simple combination of salt and alkali stress effects, but rather requires a more complex transcriptional reprogramming. The upregulated genes likely play a role in adversity resistance and increased tolerance, which represents a strategy for the plant’s active adaptation to salt–alkali stress.
Additionally, different plants exhibit distinct mechanisms for responding to salt–alkali stress. For example, in grapes, 2911 and 2054 DEGs were induced under salt and alkali stresses, respectively [3]. GO and KEGG pathway analyses both indicated that photosynthesis-related pathways are core components of D. moldavica’s response to salt, alkali, and mixed salt–alkali stresses. Seven core metabolic pathways were significantly enriched under all three stresses, including Photosynthesis, Photosynthesis–antenna proteins, Carbon fixation in photosynthetic organisms, Pentose and glucuronate interconversions, Flavonoid biosynthesis, Carotenoid biosynthesis, and Glycerolipid metabolism. These findings suggest that D. moldavica responds to salt–alkali stress through a coordinated mechanism that regulates photosystem function, energy metabolism, and the synthesis of antioxidants. Similar findings were reported by Zhu et al. [14] in their study of Limonium bicolor, where DEGs were also enriched in pathways related to photosynthesis and photosynthesis–antenna proteins under salt stress.
Under stress conditions, plants experience metabolic disruption. To establish new homeostasis and adapt to environmental changes, plants must reorganize their metabolic networks to maintain essential metabolic activities. In this study, the metabolomic results showed that a total of 1802 differential accumulated metabolites (DAMs) were identified under salt stress, with 1237 upregulated and 565 downregulated; 1937 DAMs were identified under alkali stress, with 1728 upregulated and 209 downregulated; and 1794 DAMs were identified under mixed salt–alkali stress, with 1380 upregulated and 414 downregulated. In all three stresses, the number of upregulated metabolites was higher than that of downregulated metabolites, indicating that the primary strategy for D. moldavica’s adaptation to salt–alkali stress is to strengthen physiological activities related to resistance to salt and alkali, thereby enhancing its tolerance to these stresses. In previous studies, 34 DAMs were identified in Nitraria sibirica Pall. under salt stress [48], while 156 and 176 DAMs were identified in Lagerstroemia indica under salt and alkali stress, respectively [49]. In this experiment, the types of metabolites commonly affected by the three stresses were mainly organic acids and their derivatives, phenylpropanoids, polyketides, and phenolic compounds. Li et al. [50] reported that organic acids and their derivatives, organic heterocyclic compounds, and polyphenolic sugar compounds were the main DAMs involved in oat’s response to salt and alkali stress.
Transcriptomic and metabolomic analyses have revealed that the Phenylpropanoid biosynthesis, Pentose and glucuronate interconversions, Galactose metabolism, and Citrate cycle pathways are crucial for D. moldavica’s response to salt, alkali, and mixed salt–alkali stresses. Galactose metabolism, a part of carbohydrate metabolism, plays an essential role in the conversion of carbohydrates into monosaccharides such as galactose, which provide energy for plant growth and development through processes like photosynthesis and respiration [51]. In this study, the genes galA and galE, as well as the metabolite sucrose, were upregulated under all three stress conditions, indicating that D. moldavica may use the hydrolysis of raffinose family oligosaccharides (RFOs) to provide osmotic regulators and metabolic substrates [52]. This finding is consistent with the study by Jing et al. [53], which showed that Solanum tuberosum activates related genes in the galactose metabolism pathway to promote the accumulation of soluble sugars, such as raffinose, under salt stress. Under mixed salt–alkali stress conditions, more genes in the galactose metabolism pathway were specifically activated. The upregulated expression of the INV gene, which encodes β-fructofuranosidase (an enzyme that catalyzes the hydrolysis of sucrose and other oligosaccharides), and the malZ gene, encoding α-glucosidase, enhanced the widespread hydrolysis of sugars like sucrose within the cell. This process maximized the production of monosaccharides such as glucose and fructose, providing abundant carbon sources and energy precursors for stress responses. Additionally, the upregulation of the HK gene, which encodes Hexokinase, was observed. This enzyme is a key player in both glycolysis and the pentose phosphate pathway, as it is responsible for the phosphorylation of hexoses like glucose [54]. Its upregulation suggests that D. moldavica not only accelerates sugar hydrolysis, but also strengthens the phosphorylation of hexoses, channeling monosaccharides into downstream energy metabolism and biosynthesis pathways to meet the increased energy and material demands under mixed salt–alkali stress. Moreover, GlB1, encoding β-galactosidase, and galA, encoding α-galactosidase, were co-upregulated, jointly promoting the breakdown of galactosides.
The Pentose and glucuronate interconversion metabolic pathway plays a central role in linking carbohydrate metabolism, the ordered degradation of cell wall components, and antioxidant defense [55]. In this study, under all three stress conditions, the expression of the pel gene, which encodes pectate lyase, and the E3.1.1.11 gene, encoding pectinesterase, was upregulated. This suggests that D. moldavica may alleviate the inhibitory effect of stress-induced cell wall hardening on cell growth by degrading pectins and other cell wall polysaccharides [56]. Simultaneously, this process helps redistribute and recycle carbon skeletons, providing key precursors for stress-responsive metabolism [57]. Additionally, the upregulation of the AKR1A1 gene, which encodes alcohol dehydrogenase, promoted the synthesis and accumulation of xylitol, effectively enhancing the plant’s ability to regulate osmotic pressure [58]. The accumulation of xylitol and β-D-glucuronoside not only serves as an osmotic regulator to maintain cellular water potential, but also provides metabolic substrates for the Pentose phosphate pathway, promoting the generation of NADPH, which is essential for the antioxidant defense system. Furthermore, the accumulation of (4R,5S)-4,5,6-Trihydroxy-2,3-dioxohexanoate under alkali and mixed salt–alkali stresses suggests that D. moldavica may enhance polyol metabolism to further increase osmotic regulation [59] and activate the Ascorbic acid synthesis pathway to bolster its resistance to oxidative stress [60].
In the TCA cycle pathway, the metabolites citrate, ACO and LSC2 genes were upregulated under all three stress conditions, indicating that D. moldavica activates the TCA cycle to meet its energy supply demands. Under alkali and mixed salt–alkali stresses, the upregulation of genes such as MDH2, CS, and ACO, along with the accumulation of malic acid and (Z)-aconitic acid, marks the full activation of the TCA cycle. Li [50] showed that, compared to alkali stress, oat plants exhibit a stronger activation of the TCA cycle under salt stress. This difference may arise from species-specific response strategies; oat may rely more on rapidly activating the TCA cycle to cope with ionic toxicity, while D. moldavica, facing more complex alkali and mixed salt–alkali stresses, needs to fully activate the TCA cycle to ensure energy supply and carbon skeleton distribution, and maintain intracellular pH balance.
The Phenylpropanoid biosynthesis pathway is a secondary metabolic pathway in plants, primarily synthesizing aromatic compounds such as lignin, coumarin, anthocyanins, and flavonoids. The downstream processes are mainly divided into lignin and flavonoid biosynthesis branches, which participate in plant responses to various biotic and abiotic stresses [61]. In this study, under all three stress conditions, the metabolites coniferin, phenylalanine, and P-coumaraldehyde were significantly accumulated, and the genes PAL, COMT, and E2.1.1.104 were upregulated. This indicates that D. moldavica responds to the three types of stress by promoting the biosynthesis and deposition of lignin. Liu et al. [62] showed that Astragalus mongholicus enhances its salt tolerance by activating the Phenylpropanoid biosynthesis pathway to promote lignin synthesis. Wang et al. [63] indicated that rice enhances its resistance under salt–alkali stress by upregulating key genes such as PAL and 4CL. Under alkali and mixed salt–alkali stresses, the upregulation and accumulation of the unique metabolites 1-O-Sinapoyl-β-D-glucose and tyrosine, along with the upregulation of the upstream gene COMT, suggest that D. moldavica, in response to high pH environments, may direct more metabolic flow toward the synthesis of soluble phenolic compounds. These compounds may act as effective antioxidants, playing an important role in regulating cellular redox balance [64].
This study preliminarily elucidated the metabolic defense mechanisms of D. moldavica under salt, alkali, and mixed salt–alkali stresses. However, the regulatory functions of key genes within each pathway and their interaction networks still require further verification. Future research could combine molecular techniques such as gene editing, tissue-specific knockout, or overexpression, with a focus on validating the biological functions of core genes such as PAL, IDH, and galA in the response to salt–alkali stress. A systematic investigation of their regulatory roles in carbon resource allocation, energy metabolism, and secondary metabolite biosynthesis would provide theoretical foundations and technical support for the development of D. moldavica cultivars with enhanced stress resistance.

5. Conclusions

This study investigated the effects of salt, alkali, and mixed salt–alkali stress on D. moldavica. Under all three stress conditions, the plant mitigates membrane lipid peroxidation damage by accumulating osmotic regulators and enhancing antioxidant enzyme activities. Notably, chlorophyll content was significantly reduced under alkali stress, indicating more severe damage to the photosynthetic system. All three stress types induced the differential expression of genes and accumulation of metabolites in pathways related to Galactose metabolism, the TCA cycle, Pentose and glucuronate interconversions, and Phenylpropanoid biosynthesis. Under salt stress, D. moldavica upregulated the expression of the sucrose hydrolase gene INV and lignin biosynthesis gene HCT, promoting the rapid hydrolysis of sucrose and enhancing the lignification of cell walls. Under alkali stress, the plant upregulated key genes involved in the synthesis of soluble phenolic compounds, particularly COMT, which led to the accumulation of 1-O-Sinapoyl-β-D-glucose, enhancing antioxidant capacity and maintaining cellular pH stability. Under mixed salt–alkali stress, the plant activated the expression of genes involved in sugar metabolism, HK and malZ; energy metabolism, IDH and MDH2; and phenylpropanoid metabolism, PAL and CYP73A, as well as accumulating metabolites such as xylitol and citrate. In summary, the key pathways and core genes (PAL, COMT, IDH) identified in this study, together with the metabolites (xylitol and 1-O-Sinapoyl-β-D-glucose), provide direct theoretical guidance and potential candidate targets for the molecular breeding of salt–alkali tolerance in D. moldavica.

Supplementary Materials

The following supporting information can be downloaded at: https://www.mdpi.com/article/10.3390/agronomy16010046/s1, Figure S1: Length distribution of unigenes; Figure S2: Annotate diagrams for seven public databases; Figure S3: Statistics of gene expression levels across samples; Figure S4: Volcano plots of differentially expressed genes (DEGs) for pairwise comparisons; Figure S5: The principal component analysis (PCA) plot for DAMs; Figure S6: OPLS-DA score and permutation test plots of metabolites across different comparison groups; Figure S7: Volcano plots of differentially accumulated metabolites (DAMs) for pairwise comparisons; Figure S8: Correlation network of differentially expressed genes (DEGs) and differentially accumulated metabolites (DAMs) associated with the “Pentose and glucuronate interconversions” pathway; Figure S9: Correlation network of differentially expressed genes (DEGs) and differentially accumulated metabolites (DAMs) associated with the ‘Galactose metabolism’ pathway; Figure S10: Correlation network of differentially expressed genes (DEGs) and differentially accumulated metabolites (DAMs) associated with the ‘Citrate cycle’ pathway; Figure S11: Correlation network of differentially expressed genes (DEGs) and differentially accumulated metabolites (DAMs) associated with the ‘Phenylpropanoid biosynthesis’ pathway; Table S1: Effect sizes (Cohen’s d) with 95% confidence intervals for physiological indices of D. moldavica under salt, alkali, and mixed saline-alkali stresses; Table S2: Primer sequences of the target gene and reference gene; Table S3: Some differential metabolites in different treatment groups; Table S4: Correlation analysis of the DEGs and DAMs identified between S200_vs_CK in D. moldavica; Table S5: Correlation analysis of the DEGs and DAMs identified between S200_vs_CK in D. moldavica; Table S6: Correlation analysis of the DEGs and DAMs identified between SA100_vs_CK in D. moldavica; Table S7: Commonly enriched pathways across all three stress treatments; Table S8: Seed characteristics of seven D. moldavica germplasms; Table S9: Salt composition and molar ratio of treatments in the germination stage; Table S10: Comprehensive evaluation of saline-alkali tolerance in germination period based on entropy weight-TOPSIS model. References [65,66] are cited in Supplementary Materials Files.

Author Contributions

Conceptualization, H.W. and J.S.; methodology, H.W.; software, H.W.; validation, H.W., J.S. and X.Z.; formal analysis, J.Q.; investigation, J.Q.; resources, J.Q.; data curation, H.W.; writing—original draft preparation, H.W.; writing—review and editing, H.W.; visualization, J.S.; supervision, J.S.; project administration, J.S.; funding acquisition, J.S. All authors have read and agreed to the published version of the manuscript.

Funding

This research was funded by the China Agriculture Research System-Chinese Materia Medica (No. CARS-21); National Natural Science Foundation of China (Grant No. 82060688); Inner Mongolia Agricultural University Science and technology school construction project (DC2500000813).

Data Availability Statement

The original contributions presented in this study are included in the article/Supplementary Material. Further inquiries can be directed to the corresponding author.

Acknowledgments

During the preparation of this work the authors used ChatGPT (OpenAI; based on GPT-5 family large language models) in order to improve language. After using this tool, the authors reviewed and edited the contents as needed and take full responsibility for the content of the publication.

Conflicts of Interest

The authors declare no conflicts of interest.

References

  1. He, K.; He, G.; Wang, C.; Zhang, H.; Xu, Y.; Wang, S.; Kong, Y.; Zhou, G.; Hu, R. Biochar amendment ameliorates soil properties and promotes Miscanthus growth in a coastal saline-alkali soil. Appl. Soil Ecol. 2020, 155, 103674. [Google Scholar] [CrossRef]
  2. Wang, S.; Sun, L.; Ling, N.; Zhu, C.; Chi, F.; Li, W.; Hao, X.; Zhang, W.; Bian, J.; Chen, L.; et al. Exploring soil factors determining composition and structure of the bacterial communities in saline-alkali soils of Songnen Plain. Front. Microbiol. 2020, 10, 2902. [Google Scholar] [CrossRef] [PubMed]
  3. Lu, X.; Ma, L.; Zhang, C.; Yan, H.; Bao, J.; Gong, M.; Wang, W.; Li, S.; Ma, S.; Chen, B. Grapevine (Vitis vinifera) responses to salt stress and alkali stress: Transcriptional and metabolic profiling. BMC Plant Biol. 2022, 22, 528. [Google Scholar] [CrossRef] [PubMed]
  4. Fang, S.; Hou, X.; Liang, X. Response mechanisms of plants under saline-alkali stress. Front. Plant Sci. 2021, 12, 667458. [Google Scholar] [CrossRef]
  5. Zhang, Z.; He, K.; Zhang, T.; Tang, D.; Li, R.; Jia, S. Physiological responses of Goji berry (Lycium barbarum L.) to saline-alkaline soil from Qinghai region, China. Sci. Rep. 2019, 9, 12057. [Google Scholar] [CrossRef]
  6. Wang, Y.; Wu, J.; Wang, Y.; Mu, T.; Lang, Z.; Miao, Y. Effects of saline-alkali Stress on seed germination of Urtica dioica L. Crops 2025, 5, 67–73. [Google Scholar] [CrossRef]
  7. Zhan, M.; Ma, M.; Mo, X.; Zhang, Y.; Li, T.; Yang, Y.; Dong, L. Dracocephalum moldavica L.: An updated comprehensive review of its botany, traditional uses, phytochemistry, pharmacology, and application aspects. Fitoterapia 2024, 172, 105732. [Google Scholar] [CrossRef]
  8. Yousefzadeh, S.; Daryai, F.; Mokhtassi-Bidgoli, A.; Hazrati, S.; Yousefzadeh, T.; Mohammadi, K. Morphological, essential oil and biochemical variation of Dracocephalum moldavica L. populations. J. Appl. Res. Med. Aromat. Plants 2018, 10, 59–66. [Google Scholar] [CrossRef]
  9. Yaichi, Z.; Hassanpouraghdam, M.; Rasouli, F.; Aazami, M.; Mehrabani, L.; Jabbari, S.; Asadi, M.; Esfandiari, E.; Jimenez-Becker, S. Zinc oxide nanoparticles foliar use and arbuscular mycorrhiza inoculation retrieved salinity tolerance in Dracocephalum moldavica L. by modulating growth responses and essential oil constituents. Sci. Rep. 2025, 15, 492. [Google Scholar] [CrossRef]
  10. Zheng, R.; Kader, K.; Liu, D.; Su, W.; Xu, L.; Jin, Y.; Xing, J. A network pharmacology approach to decipher the mechanism of total flavonoids from Dracocephalum Moldavica L. in the treatment of cardiovascular diseases. BMC Complement. Med. Ther. 2024, 24, 15. [Google Scholar] [CrossRef]
  11. Sheykhjan, M.; Fazlara, A.; Hojjati, M.; Behbahani, B. Active food packaging strategies: Promoting mutton quality using Lepidium sativum coatings and nanoemulsions of Dracocephalum moldavica essential oil. Appl. Food Res. 2025, 5, 101021. [Google Scholar] [CrossRef]
  12. Pouresmaeil, M.; Sabzi-Nojadeh, M.; Movafeghi, A.; Aghbash, B.; Kosari-Nasab, M.; Zengin, G.; Maggi, F. Phytotoxic activity of Moldavian dragonhead (Dracocephalum moldavica L.) essential oil and its possible use as bio-herbicide. Process Biochem. 2022, 114, 86–92. [Google Scholar] [CrossRef]
  13. Wang, H.Z.; Lei, X.F.; Lu, P.F.; Qi, J.X.; Wang, Y.; Zhang, X.J.; Sheng, J.H. Yield and quality performance of 5 kinds of Dracocephalum moldavica L. germplasm under different saline-alkali soils. J. Northwest Agric. For. Univ. (Nat. Sci. Ed.) 2024, 52, 127–135. [Google Scholar] [CrossRef]
  14. Zhu, Z.; Zhou, Y.; Liu, X.; Meng, F.; Xu, C.; Chen, M. Integrated transcriptomic and metabolomic analyses uncover the key pathways of Limonium bicolor in response to salt stress. Plant Biotechnol. J. 2025, 23, 715–730. [Google Scholar] [CrossRef]
  15. Liu, S.; Jia, Z.; Hou, X.; Yang, X.; Qiu, F.; Zargar, M.; Chen, M.; Lu, C.; Liu, Y. Integrated transcriptome and metabolome analysis identifies key genes regulating maize tolerance to alkaline stress. Int. J. Mol. Sci. 2025, 26, 10632. [Google Scholar] [CrossRef]
  16. Zhang, X.; Fan, R.; Pan, L.; Jiang, X.; Sun, Z.; Wu, Z.; Bao, X.; Dai, L. Multi-omics profiling of Curcuma Wenyujin under salt-alkali stress reveals functional genes and associated metabolites. BMC Plant Biol. 2025, 25, 1605. [Google Scholar] [CrossRef]
  17. Hadjadj, S.; Sekerifa, B.; Khellafi, H.; Krama, K.; Rahmani, S.; Hadj-Khelil, A. Salinity and type of salt effects on seed germination characteristics of medicinal plant Zygophyllum album L. (Zygophyllaceae) native to the Algerian Sahara. J. Appl. Res. Med. Aromat. Plants 2022, 31, 100412. [Google Scholar] [CrossRef]
  18. Li, H.S. Experimental Principles and Techniques of Plant Physiology and Biochemistry; Higher Education Press: Beijing, China, 2000; ISBN 7040080761. [Google Scholar]
  19. Bolger, A.; Lohse, M.; Usadel, B. Trimmomatic: A flexible trimmer for Illumina sequence data. Bioinformatics 2014, 30, 2114–2120. [Google Scholar] [CrossRef]
  20. Langmead, B.; Salzberg, S. Fast gapped-read alignment with Bowtie 2. Nat. Methods 2012, 9, 357–359. [Google Scholar] [CrossRef]
  21. Roberts, A.; Pachter, L. Streaming fragment assignment for real-time analysis of sequencing experiments. Nat. Methods 2013, 10, 71–73. [Google Scholar] [CrossRef]
  22. Roberts, A.; Trapnell, C.; Donaghey, J.; Rinn, J.; Pachter, L. Improving RNA-Seq expression estimates by correcting for fragment bias. Genome Biol. 2011, 12, R22. [Google Scholar] [CrossRef]
  23. Hasanuzzaman, M.; Bhuyan, M.H.M.B.; Anee, T.I.; Parvin, K.; Nahar, K.; Mahmud, J.A.; Fujita, M. Regulation of ascorbate-glutathione pathway in mitigating oxidative damage in plants under abiotic stress. Antioxidants 2019, 8, 384. [Google Scholar] [CrossRef]
  24. Liu, L. Physiological Changes and Transcriptome Analysis of Hemiptelea davidii Leaves Under Salt Stress. Master’s Thesis, Shandong Agricultural University, Taian, China, 2023. [Google Scholar] [CrossRef]
  25. Pan, Y. Physiological Response of Hemerocallis fulva (L.) L. to Mixed Saline-Alkali Stress. Master’s Thesis, Northeast Agricultural University, Harbin, China, 2023. Available online: https://d.wanfangdata.com.cn/thesis/CiBUaGVzaXNOZXdTMjAyNTA2MTMyMDI1MDYxMzE2MTkxNhIIWTQxNTQ0NjEaCDVlMTVmbWJm (accessed on 10 December 2025).
  26. Zhao, M.; Li, H.; Ma, J.; Liu, J. Response of alkali stress to physiological indexes of oat seedlings. J. Southwest Univ. (Nat. Sci. Ed.) 2021, 43, 58–65. [Google Scholar] [CrossRef]
  27. Yang, Y.; Qi, L.; Jia, Z.; Zhang, J.; Huang, J.; Hou, Z.; Li, X.; Zong, J. Effects of neutral salt stress on photosynthetic characteristics and anatomical structure of stems and leaves of lily ‘Red Palace’. Pratacultural Sci. 2025, 1–16. Available online: https://link.cnki.net/urlid/62.1069.s.20251021.0950.004 (accessed on 10 December 2025).
  28. Martin-StPaul, N.; Delzon, S.; Cochard, H. Plant resistance to drought depends on timely stomatal closure. Ecol. Lett. 2017, 20, 1437–1447. [Google Scholar] [CrossRef] [PubMed]
  29. Liu, X.; Zhang, Y.; Ye, D.; Luo, X.; Wu, M.; Zhang, X.; Xie, Y.; Liang, D.; Xia, H. Chlorophyll a/b-binding protein gene AcLhcb1.1 promotes chlorophyll accumulation and improves cold stress resistance in kiwifruit. BMC Plant Biol. 2025, 25, 1142. [Google Scholar] [CrossRef]
  30. Lv, X.; Chen, S.; Wang, Y. Advances in understanding the physiological and molecular responses of sugar beet to salt stress. Front. Plant Sci. 2019, 10, 1431. [Google Scholar] [CrossRef]
  31. Wen, Y.; Zhou, L.; Xu, Y.; Hashem, A.; Abd_Allah, E.; Wu, Q. Growth performance and osmolyte regulation of drought-stressed Walnut plants are improved by Mycorrhiza. Agriculture 2024, 14, 367. [Google Scholar] [CrossRef]
  32. Yu, L.; Niu, S.; Yang, H.; Li, G.; Guo, J.; Lu, D. High temperature limits the development of young ears of waxy maize by altering photosynthesis distribution and sugar metabolism. Plant Stress 2025, 18, 101122. [Google Scholar] [CrossRef]
  33. Li, G.; Wan, S.; Zhou, J.; Yang, Z.; Qin, P. Leaf chlorophyll fluorescence, hyperspectral reflectance, pigments content, malondialdehyde and proline accumulation responses of castor bean (Ricinus communis L.) seedlings to salt stress levels. Ind. Crops Prod. 2010, 31, 13–19. [Google Scholar] [CrossRef]
  34. Yu, C.; Zhang, Y.; Li, Q.; Zhou, Y.; Li, H.; Xia, Z.; Huang, Y. Effects of saline-alkali stresses on seed germination and seedling effects of saline-alkali stresses on seed germination and seedling. Acta Agrestia Sin. 2024, 32, 1882–1892. [Google Scholar] [CrossRef]
  35. Cui, M.; Lu, A.; Li, J.; Liu, J.; Fang, Y.; Pei, T.; Zhong, X.; Wei, Y.; Kong, Y.; Qiu, W.; et al. Two types of O-methyltransferase are involved in biosynthesis of anticancer methoxylated 4′-deoxyflavones in Scutellaria baicalensis Georgi. Plant Biotechnol. J. 2022, 20, 129–142. [Google Scholar] [CrossRef] [PubMed]
  36. Mittler, R.; Vanderauwera, S.; Gollery, M.; Breusegem, F. Reactive oxygen gene network of plants. Trends Plant Sci. 2004, 9, 490–498. [Google Scholar] [CrossRef] [PubMed]
  37. Xie, Y.; Xu, S.; Han, B.; Wu, M.; Yuan, X.; Han, Y.; Gu, Q.; Xu, D.; Yang, Q.; Shen, W. Evidence of Arabidopsis salt acclimation induced by up-regulation of HY1 and the regulatory role of RbohD-derived reactive oxygen species synthesis. Plant J. 2011, 66, 280–292. [Google Scholar] [CrossRef] [PubMed]
  38. Sun, J.; He, L.; Li, T. Response of seedling growth and physiology of Sorghum bicolor (L.) Moench to saline-alkali stress. PLoS ONE 2019, 14, e0220340. [Google Scholar] [CrossRef]
  39. Noctor, G.; Mhamdi, A.; Foyer, C. The roles of reactive oxygen metabolism in drought: Not so cut and dried. Plant Physiol. 2014, 164, 1636–1648. [Google Scholar] [CrossRef]
  40. Xia, X.J.; Zhou, Y.H.; Shi, K.; Zhou, J.; Foyer, C.H.; Yu, J.Q. Interplay between reactive oxygen species and hormones in the control of plant development and stress tolerance. J. Exp. Bot. 2015, 66, 2839–2856. [Google Scholar] [CrossRef]
  41. Lu, W.; Duanmu, H.; Qiao, Y.; Jin, X.; Yu, Y.; Yu, L.; Chen, C. Genome-wide identification and characterization of the soybean SOD family during alkaline stress. PeerJ 2020, 8, e8457. [Google Scholar] [CrossRef]
  42. Zhu, Y.; Li, M.; Wang, T.; Wang, J.; Zhou, H.; Lin, Y.; Yin, C. Research advances of salt exclusion, salt sequestration, salt secretion, and salt signaling regulation in plants. Plant Stress 2025, 17, 100952. [Google Scholar] [CrossRef]
  43. Liu, G.; Zeng, Y.; Li, B.; Wang, X.; Jiang, L.; Guo, Y. SOS2 phosphorylates FREE1 to regulate multi-vesicular body trafficking and vacuolar dynamics under salt stress. Plant Cell 2025, 37, koaf012. [Google Scholar] [CrossRef]
  44. Chen, C.; Wang, C.; Liu, Z.; Liu, X.; Zou, L.; Shi, J.; Chen, S.; Chen, J.; Tan, M. Variations in Physiology and multiple bioactive constituents under salt stress provide insight into the quality evaluation of Apocyni veneti Folium. Int. J. Mol. Sci. 2018, 19, 3042. [Google Scholar] [CrossRef] [PubMed]
  45. Li, X.; You, J.; Dong, X.; Zhang, C. Effects of saline-alkali stress on chlorophyll fluorescence and physiological and biochemical characteristics of Ziziphus jujuba Mill. var. spinosa seedlings. Non-Wood For. Res. 2025, 43, 50–58+122. [Google Scholar] [CrossRef]
  46. Liu, J.; Zhang, X.; Sheng, J. Integrative analysis of the transcriptome and metabolome reveals the mechanism of saline–alkali stress tolerance in Astragalus membranaceus (Fisch) Bge. var. mongholicus (Bge.) Hsiao. Food Qual. Saf. 2022, 6, fyac001. [Google Scholar] [CrossRef]
  47. Fei, N. Identification of Drought Resistant Oat Germplasm Resources and Its Antioxidant Defense Mechanisms in Response to Drought Stress. Ph.D. Thesis, Inner Mongolia Agricultural University, Hohhot, China, 2024. [Google Scholar] [CrossRef]
  48. Li, H.; Tang, X.; Yang, X.; Zhang, H. Comprehensive transcriptome and metabolome profiling reveal metabolic mechanisms of Nitraria sibirica Pall. to salt stress. Sci. Rep. 2021, 11, 12878. [Google Scholar] [CrossRef]
  49. Zhang, H.; He, Y.; Zhang, H.; Wei, Q. Metabolomics analysis of Lagerstroemia indica in response to salt and alkali stress. Bull. Bot. Res. 2024, 44, 420–430. [Google Scholar] [CrossRef]
  50. Li, J. The Mechanism of Oat Response to Salt Stress and Alkali. Ph.D. Thesis, Inner Mongolia Agricultural University, Hohhot, China, 2022. [Google Scholar] [CrossRef]
  51. Jia, X.; Zhu, Y.; Hu, Y.; Zhang, R.; Cheng, L.; Zhu, Z.; Zhao, T.; Zhang, X.; Wang, Y. Integrated physiologic, proteomic, and metabolomic analyses of Malus halliana adaptation to saline–alkali stress. Hortic. Res. 2019, 6, 91. [Google Scholar] [CrossRef]
  52. Katrolia, P.; Rajashekhara, E.; Yan, Q.; Jiang, Z. Biotechnological potential of microbial α-galactosidases. Crit. Rev. Biotechnol. 2014, 34, 307–317. [Google Scholar] [CrossRef]
  53. Jing, Q.; Chen, A.; Lv, Z.; Dong, Z.; Wang, L.; Meng, X.; Feng, Y.; Wan, Y.; Su, C.; Cui, Y.; et al. Systematic analysis of galactinol synthase and raffinose synthase gene families in potato and their expression patterns in development and abiotic stress responses. Genes 2023, 14, 1344. [Google Scholar] [CrossRef]
  54. Paulina Aguilera-Alvarado, G.; Sánchez-Nieto, S. Plant hexokinases are multifaceted proteins. Plant Cell Physiol. 2017, 58, 1151–1160. [Google Scholar] [CrossRef]
  55. Bai, Y.; Yu, H.; Chen, L.; Meng, Y.; Ma, Y.; Wang, D.; Qian, Y.; Zhang, D.; Feng, X.; Zhou, Y. Time-Course transcriptome analysis of Aquilegia vulgaris root reveals the cell wall’s roles in salinity tolerance. Int. J. Mol. Sci. 2023, 24, 16450. [Google Scholar] [CrossRef]
  56. Caffall, K.; Mohenen, D. The structure, function, and biosynthesis of plant cell wall pectic polysaccharides. Carbohydr. Res. 2009, 344, 1879–1900. [Google Scholar] [CrossRef] [PubMed]
  57. Pinzón-Latorre, D.; Deyholos, M.K. Characterization and transcript profiling of the pectin methylesterase (PME) and pectin methylesterase inhibitor (PMEI) gene families in flax (Linum usitatissimum). BMC Genom. 2013, 14, 742. [Google Scholar] [CrossRef] [PubMed]
  58. Wei, Y. The Function of Disease Resistance of Alcohol Dehydrogenase in Arabidopsis thaliana. Master’s Thesis, Lanzhou University, Lanzhou, China, 2017. Available online: https://d.wanfangdata.com.cn/thesis/CiBUaGVzaXNOZXdTMjAyNTA2MTMyMDI1MDYxMzE2MTkxNhIJRDAxMjk5MzYzGgg0NXZraTFwYg== (accessed on 10 December 2025).
  59. Pleyerová, I.; Hamet, J.; Konrádová, H.; Lipavská, H. Versatile roles of sorbitol in higher plants: Luxury resource, effective defender or something else? Planta 2022, 256, 13. [Google Scholar] [CrossRef] [PubMed]
  60. Wolucka, B.A.; Van Montagu, M. GDP-mannose 3′,5′-epimerase forms GDP-L-gulose, a putative intermediate for the de novo biosynthesis of vitamin C in plants. J. Biol. Chem. 2003, 278, 47483–47490. [Google Scholar] [CrossRef]
  61. Dong, N.; Lin, H. Contribution of phenylpropanoid metabolism to plant development and plant-environment interactions. J. Integr. Plant Biol. 2021, 63, 180–209. [Google Scholar] [CrossRef]
  62. Liu, Y.; Sheng, J.; Yang, J.; Li, X. Metabolic regulation and molecular mechanism of salt stress response in salt-tolerant Astragalus mongholicus. Appl. Sci. 2025, 15, 2575. [Google Scholar] [CrossRef]
  63. Wang, J.; Hu, K.; Wang, J.; Gong, Z.; Li, S.; Deng, X.; Li, Y. Integrated transcriptomic and metabolomic analyses uncover the differential mechanism in saline–alkaline tolerance between Indica and Japonica Rice at the seedling stage. Int. J. Mol. Sci. 2023, 24, 12387. [Google Scholar] [CrossRef]
  64. Kumar, K.; Debnath, P.; Singh, S.; Kumar, N. An overview of plant phenolics and their involvement in abiotic stress tolerance. Stresses 2023, 3, 570–585. [Google Scholar] [CrossRef]
  65. Meng, H. Germplasm Resources Creation, Selection, Comprehensive Evaluation and Utilization of Feed Soybean. Master’s Thesis, Northeast Agricultural University, Harbin, China, 2023. Available online: https://d.wanfangdata.com.cn/thesis/CiBUaGVzaXNOZXdTMjAyNTA2MTMyMDI1MDYxMzE2MTkxNhIIWTQxNTQ2MzEaCHM3aDcyb2Z6 (accessed on 10 December 2025).
  66. Yuan, M.F.; Xu, L.G.; Dou, J.X.; Li, A. Experiment on optimal irrigation control indicators for greenhouse tomatoes based on soil moisture threshold. S. N. Water Transf. Water Sci. Technol. 2024, 22, 1239–1248. [Google Scholar] [CrossRef]
Figure 1. Physiological parameters of D. moldavica under control, salt stress, alkali stress, and combined saline–alkali stress. Values are presented as mean ± S.E. (n = 3). CK: control; S1–S3: 100, 150 and 200 mmol·L−1 salt stress, respectively; A1–A3: 50, 100 and 150 mmol·L−1 alkali stress, respectively; SA1–SA3: 50, 75 and 100 mmol·L−1 mixed saline–alkali, respectively. (A) MDA content (malondialdehyde), (B) SOD activity (superoxide dismutase), (C) POD activity (peroxidase), (D) CAT activity (catalase), (E) Proline content, (F) Soluble protein, (G) Soluble sugar, (H) Chlorophyll content. Lower-case letters indicate significant differences among treatments (p < 0.05). Effect sizes (Cohen’s d) with 95% confidence intervals are reported in Supplementary Table S1.
Figure 1. Physiological parameters of D. moldavica under control, salt stress, alkali stress, and combined saline–alkali stress. Values are presented as mean ± S.E. (n = 3). CK: control; S1–S3: 100, 150 and 200 mmol·L−1 salt stress, respectively; A1–A3: 50, 100 and 150 mmol·L−1 alkali stress, respectively; SA1–SA3: 50, 75 and 100 mmol·L−1 mixed saline–alkali, respectively. (A) MDA content (malondialdehyde), (B) SOD activity (superoxide dismutase), (C) POD activity (peroxidase), (D) CAT activity (catalase), (E) Proline content, (F) Soluble protein, (G) Soluble sugar, (H) Chlorophyll content. Lower-case letters indicate significant differences among treatments (p < 0.05). Effect sizes (Cohen’s d) with 95% confidence intervals are reported in Supplementary Table S1.
Agronomy 16 00046 g001aAgronomy 16 00046 g001b
Figure 2. Principal component analysis (PCA) of RNA-seq samples across different treatment groups. CK: control; S200: 200 mmol·L−1 salt stress; A150: 150 mmol·L−1 alkali stress; SA100: 100 mmol·L−1 mixed saline–alkali stress. PC1, PC2, and PC3 represent principal component 1, principal component 2, and principal component 3, respectively.
Figure 2. Principal component analysis (PCA) of RNA-seq samples across different treatment groups. CK: control; S200: 200 mmol·L−1 salt stress; A150: 150 mmol·L−1 alkali stress; SA100: 100 mmol·L−1 mixed saline–alkali stress. PC1, PC2, and PC3 represent principal component 1, principal component 2, and principal component 3, respectively.
Agronomy 16 00046 g002
Figure 3. Statistics and overlap of differentially expressed genes (DEGs) across comparisons. (A) Number of up- and down-regulated DEGs. (B) Venn diagram of DEG sets. S200_vs_CK, A150_vs_CK, and SA100_vs_CK represent the salt stress comparison group, alkali stress comparison group, and mixed saline-alkali stress comparison group, respectively.
Figure 3. Statistics and overlap of differentially expressed genes (DEGs) across comparisons. (A) Number of up- and down-regulated DEGs. (B) Venn diagram of DEG sets. S200_vs_CK, A150_vs_CK, and SA100_vs_CK represent the salt stress comparison group, alkali stress comparison group, and mixed saline-alkali stress comparison group, respectively.
Agronomy 16 00046 g003
Figure 4. GO functional enrichment analysis of differentially expressed genes (DEGs) across different comparison groups. (A) S200_vs_CK, (B) A150_vs_CK, (C) SA100_vs_CK. Green, yellow, and blue represent biological processes, cellular components, and molecular functions, respectively.
Figure 4. GO functional enrichment analysis of differentially expressed genes (DEGs) across different comparison groups. (A) S200_vs_CK, (B) A150_vs_CK, (C) SA100_vs_CK. Green, yellow, and blue represent biological processes, cellular components, and molecular functions, respectively.
Agronomy 16 00046 g004aAgronomy 16 00046 g004b
Figure 5. The KEGG classification and the top 20 pathways. (AC) KEGG classification for DEGs in the salt stress (S200_vs_CK), alkali stress (A150_vs_CK), and saline–alkali stress (SA100_vs_CK), respectively.
Figure 5. The KEGG classification and the top 20 pathways. (AC) KEGG classification for DEGs in the salt stress (S200_vs_CK), alkali stress (A150_vs_CK), and saline–alkali stress (SA100_vs_CK), respectively.
Agronomy 16 00046 g005aAgronomy 16 00046 g005b
Figure 6. The expression patterns of DEGs related to ‘photosynthesis’ pathway (A), ‘photosynthesis-antenna proteins’ pathway (B), ‘carbon fixation in photosynthetic organisms’ pathway (C), and ‘pentose and glucuronate interconversions’ pathway (D). S, A, and SA refer to S200_vs_CK, A150_vs_CK, and SA100_vs_CK, respectively.
Figure 6. The expression patterns of DEGs related to ‘photosynthesis’ pathway (A), ‘photosynthesis-antenna proteins’ pathway (B), ‘carbon fixation in photosynthetic organisms’ pathway (C), and ‘pentose and glucuronate interconversions’ pathway (D). S, A, and SA refer to S200_vs_CK, A150_vs_CK, and SA100_vs_CK, respectively.
Agronomy 16 00046 g006aAgronomy 16 00046 g006b
Figure 7. The expression patterns of DEGs related to ‘flavonoid biosynthesis’ pathway (A), and ‘Carotenoid biosynthesis’ pathway (B). S, A, and SA refer to S200_vs_CK, A150_vs_CK, and SA100_vs_CK, respectively.
Figure 7. The expression patterns of DEGs related to ‘flavonoid biosynthesis’ pathway (A), and ‘Carotenoid biosynthesis’ pathway (B). S, A, and SA refer to S200_vs_CK, A150_vs_CK, and SA100_vs_CK, respectively.
Agronomy 16 00046 g007
Figure 8. The expression patterns of DEGs related to ‘glycerolipid metabolism’ pathway. S, A, and SA refer to S200_vs_CK, A150_vs_CK, and SA100_vs_CK, respectively.
Figure 8. The expression patterns of DEGs related to ‘glycerolipid metabolism’ pathway. S, A, and SA refer to S200_vs_CK, A150_vs_CK, and SA100_vs_CK, respectively.
Agronomy 16 00046 g008
Figure 9. Relative quantitative expression of the target gene. Data indicate averaged abundances, and the error bars represent the standard deviation. CK: control; S200: 200 mmol·L−1 salt stress; A150: 150 mmol·L−1 alkali stress; SA100: 100 mmol·L−1 mixed saline–alkali, respectively.
Figure 9. Relative quantitative expression of the target gene. Data indicate averaged abundances, and the error bars represent the standard deviation. CK: control; S200: 200 mmol·L−1 salt stress; A150: 150 mmol·L−1 alkali stress; SA100: 100 mmol·L−1 mixed saline–alkali, respectively.
Agronomy 16 00046 g009
Figure 10. Statistics and overlap of differentially accumulated metabolites (DAMs) across comparisons. (A) Number of up- and down-regulated DAMs. (B) Venn diagram of DAM sets. S200_vs_CK, A150_vs_CK, and SA100_vs_CK represent the salt stress comparison group, alkali stress comparison group, and mixed saline-alkali stress comparison group, respectively.
Figure 10. Statistics and overlap of differentially accumulated metabolites (DAMs) across comparisons. (A) Number of up- and down-regulated DAMs. (B) Venn diagram of DAM sets. S200_vs_CK, A150_vs_CK, and SA100_vs_CK represent the salt stress comparison group, alkali stress comparison group, and mixed saline-alkali stress comparison group, respectively.
Agronomy 16 00046 g010
Figure 11. Bubble diagram of KEGG enrichment analysis of metabolomics. (A) S200_vs_CK; (B) A150_vs_CK; (C) SA100_vs_CK. The horizontal axis shows the Enrichment_score (number of DAMs/total metabolites in this pathway); larger Enrichment_score values correspond to a higher degree of enrichment. The size of the bubbles indicates the number of DAMs, and the color of the bubbles indicates the magnitude of the p-value. Higher p-value correspond to lower levels of enrichment. KEGG, Kyoto Encyclopedia of Genes and Genomes.
Figure 11. Bubble diagram of KEGG enrichment analysis of metabolomics. (A) S200_vs_CK; (B) A150_vs_CK; (C) SA100_vs_CK. The horizontal axis shows the Enrichment_score (number of DAMs/total metabolites in this pathway); larger Enrichment_score values correspond to a higher degree of enrichment. The size of the bubbles indicates the number of DAMs, and the color of the bubbles indicates the magnitude of the p-value. Higher p-value correspond to lower levels of enrichment. KEGG, Kyoto Encyclopedia of Genes and Genomes.
Agronomy 16 00046 g011aAgronomy 16 00046 g011b
Figure 12. The DEGs and DAMs enriched in the same KEGG pathway. (A) S200_vs_CK; (B) A150_vs_CK; (C) SA100_vs_CK.
Figure 12. The DEGs and DAMs enriched in the same KEGG pathway. (A) S200_vs_CK; (B) A150_vs_CK; (C) SA100_vs_CK.
Agronomy 16 00046 g012aAgronomy 16 00046 g012b
Figure 13. Expression profiles of genes and metabolites involved in the ‘pentose and glucuronate interconversions’, ‘galactose metabolism’ and ‘citrate cycle’ pathway under saline–alkali stress. The boxes in the pathway diagram represent Log2 Fold Change values. The heat map color scale from green (low) to red (high) represents Log2 Fold Change values of genes. The heat map color scale from blue (low) to red (high) represents Log2 Fold Change values of metabolites. S, A, and SA refer to S200_vs_CK, A150_vs_CK, and SA100_vs_CK, respectively.
Figure 13. Expression profiles of genes and metabolites involved in the ‘pentose and glucuronate interconversions’, ‘galactose metabolism’ and ‘citrate cycle’ pathway under saline–alkali stress. The boxes in the pathway diagram represent Log2 Fold Change values. The heat map color scale from green (low) to red (high) represents Log2 Fold Change values of genes. The heat map color scale from blue (low) to red (high) represents Log2 Fold Change values of metabolites. S, A, and SA refer to S200_vs_CK, A150_vs_CK, and SA100_vs_CK, respectively.
Agronomy 16 00046 g013
Figure 14. Changes in the expression levels of genes and metabolites related to phenylpropanoid biosynthesis pathway in D. moldavica L. under saline–alkali stress. The boxes in the pathway diagram represent Log2 Fold Change values. The heat map color scale from green (low) to red (high) represents Log2 Fold Change values of genes. The heat map color scale from blue (low) to red (high) represents Log2 Fold Change values of metabolites. S, A, and SA refer to S200_vs_CK, A150_vs_CK, and SA100_vs_CK, respectively.
Figure 14. Changes in the expression levels of genes and metabolites related to phenylpropanoid biosynthesis pathway in D. moldavica L. under saline–alkali stress. The boxes in the pathway diagram represent Log2 Fold Change values. The heat map color scale from green (low) to red (high) represents Log2 Fold Change values of genes. The heat map color scale from blue (low) to red (high) represents Log2 Fold Change values of metabolites. S, A, and SA refer to S200_vs_CK, A150_vs_CK, and SA100_vs_CK, respectively.
Agronomy 16 00046 g014
Table 1. Salt composition and molar ratio of each treatment in seedling stage.
Table 1. Salt composition and molar ratio of each treatment in seedling stage.
TreatmentConcentration mmol/LComposition and Molar Ratio
NaClNa2SO4NaHCO3Na2CO3
Control00000
Salt stress1001100
1501100
2001100
Alkali stress500011
1000011
1500011
Saline-alkaline stress501111
751111
1001111
Table 2. Leaf sequencing data quality of Dracocephalum moldavica L.
Table 2. Leaf sequencing data quality of Dracocephalum moldavica L.
SampleRaw Reads (M)Clean Reads (M)Clean Bases (G)Clean Reads
Ratio (%)
Q30 (%)GC (%)
CK-123.9523.616.9998.5897.3847.81
CK-224.4823.987.0597.9697.3847.89
CK-324.1623.656.9597.8997.5847.48
S200-123.7523.446.9598.6997.4546.98
S200-224.0923.757.0398.5997.4047.08
S200-324.1523.706.9898.1497.6047.02
A150-123.8523.536.9798.6697.2246.98
A150-223.9923.757.0699.0097.3847.05
A150-323.6323.316.9098.6597.6346.97
SA100-123.7723.426.9398.5397.6246.66
SA100-223.9023.476.9298.2097.4446.89
SA100-324.1923.857.0698.5997.5247.00
Q30: The percentage of bases with a Qphred score greater than 30 among the total raw bases. GC: The percentage of bases with a Qphred score greater than 30 among the total raw bases.
Disclaimer/Publisher’s Note: The statements, opinions and data contained in all publications are solely those of the individual author(s) and contributor(s) and not of MDPI and/or the editor(s). MDPI and/or the editor(s) disclaim responsibility for any injury to people or property resulting from any ideas, methods, instructions or products referred to in the content.

Share and Cite

MDPI and ACS Style

Wang, H.; Sheng, J.; Zhang, X.; Qi, J. Integrative Analysis of the Transcriptome and Metabolome Reveals the Mechanism of Saline-Alkali Stress Tolerance in Dracocephalum moldavica L. Agronomy 2026, 16, 46. https://doi.org/10.3390/agronomy16010046

AMA Style

Wang H, Sheng J, Zhang X, Qi J. Integrative Analysis of the Transcriptome and Metabolome Reveals the Mechanism of Saline-Alkali Stress Tolerance in Dracocephalum moldavica L. Agronomy. 2026; 16(1):46. https://doi.org/10.3390/agronomy16010046

Chicago/Turabian Style

Wang, Haoze, Jinhua Sheng, Xiongjie Zhang, and Jianxun Qi. 2026. "Integrative Analysis of the Transcriptome and Metabolome Reveals the Mechanism of Saline-Alkali Stress Tolerance in Dracocephalum moldavica L." Agronomy 16, no. 1: 46. https://doi.org/10.3390/agronomy16010046

APA Style

Wang, H., Sheng, J., Zhang, X., & Qi, J. (2026). Integrative Analysis of the Transcriptome and Metabolome Reveals the Mechanism of Saline-Alkali Stress Tolerance in Dracocephalum moldavica L. Agronomy, 16(1), 46. https://doi.org/10.3390/agronomy16010046

Note that from the first issue of 2016, this journal uses article numbers instead of page numbers. See further details here.

Article Metrics

Article metric data becomes available approximately 24 hours after publication online.
Back to TopTop