Sign in to use this feature.

Years

Between: -

Subjects

remove_circle_outline
remove_circle_outline
remove_circle_outline
remove_circle_outline
remove_circle_outline
remove_circle_outline
remove_circle_outline
remove_circle_outline
remove_circle_outline

Journals

remove_circle_outline
remove_circle_outline
remove_circle_outline
remove_circle_outline
remove_circle_outline
remove_circle_outline
remove_circle_outline
remove_circle_outline
remove_circle_outline
remove_circle_outline
remove_circle_outline
remove_circle_outline
remove_circle_outline
remove_circle_outline

Article Types

Countries / Regions

remove_circle_outline
remove_circle_outline
remove_circle_outline
remove_circle_outline
remove_circle_outline

Search Results (1,213)

Search Parameters:
Keywords = life-cycle cost model

Order results
Result details
Results per page
Select all
Export citation of selected articles as:
42 pages, 20313 KB  
Article
Comparative Study on Multi-Objective Optimization Design Patterns for High-Rise Residences in Northwest China Based on Climate Differences
by Teng Shao, Kun Zhang, Yanna Fang, Adila Nijiati and Wuxing Zheng
Buildings 2026, 16(2), 298; https://doi.org/10.3390/buildings16020298 (registering DOI) - 10 Jan 2026
Abstract
As China’s urbanization rate continues to rise, the scale of high-rise residences also grows, emerging as one of the main sources of building energy consumption and carbon emissions. It is therefore crucial to conduct energy-efficient design tailored to local climate and resource endowments [...] Read more.
As China’s urbanization rate continues to rise, the scale of high-rise residences also grows, emerging as one of the main sources of building energy consumption and carbon emissions. It is therefore crucial to conduct energy-efficient design tailored to local climate and resource endowments during the schematic design phase. At the same time, consideration should also be given to its impact on economic efficiency and environmental comfort, so as to achieve synergistic optimization of energy, carbon emissions, and economic and environmental performance. This paper focuses on typical high-rise residences in three cities across China’s northwestern region, each with distinct climatic conditions and solar energy resources. The optimization objectives include building energy consumption intensity (BEI), useful daylight illuminance (UDI), life cycle carbon emissions (LCCO2), and life cycle cost (LCC). The optimization variables include 13 design parameters: building orientation, window–wall ratio, horizontal overhang sun visor length, bedroom width and depth, insulation layer thickness of the non-transparent building envelope, and window type. First, a parametric model of a high-rise residence was created on the Rhino–Grasshopper platform. Through LHS sample extraction, performance simulation, and calculation, a sample dataset was generated that included objective values and design parameter values. Secondly, an SVM prediction model was constructed based on the sample data, which was used as the fitness function of MOPSO to construct a multi-objective optimization model for high-rise residences in different cities. Through iterative operations, the Pareto optimal solution set was obtained, followed by an analysis of the optimization potential of objective performances and the sensitivity of design parameters across different cities. Furthermore, the TOPSIS multi-attribute decision-making method was adopted to screen optimal design patterns for high-rise residences that meet different requirements. After verifying the objective balance of the comprehensive optimal design patterns, the influence of climate differences on objective values and design parameter values was explored, and parametric models of the final design schemes were generated. The results indicate that differences in climatic conditions and solar energy resources can affect the optimal objective values and design variable settings for typical high-rise residences. This paper proposes a building optimization design framework that integrates parametric design, machine learning, and multi-objective optimization, and that explores the impact of climate differences on optimization results, providing a reference for determining design parameters for climate-adaptive high-rise residences. Full article
(This article belongs to the Section Architectural Design, Urban Science, and Real Estate)
23 pages, 5292 KB  
Article
Research on Rapid 3D Model Reconstruction Based on 3D Gaussian Splatting for Power Scenarios
by Huanruo Qi, Yi Zhou, Chen Chen, Lu Zhang, Peipei He, Xiangyang Yan and Mengqi Zhai
Sustainability 2026, 18(2), 726; https://doi.org/10.3390/su18020726 (registering DOI) - 10 Jan 2026
Abstract
As core infrastructure of power transmission networks, power towers require high-precision 3D models, which are critical for intelligent inspection and digital twin applications of power transmission lines. Traditional reconstruction methods, such as LiDAR scanning and oblique photogrammetry, suffer from issues including high operational [...] Read more.
As core infrastructure of power transmission networks, power towers require high-precision 3D models, which are critical for intelligent inspection and digital twin applications of power transmission lines. Traditional reconstruction methods, such as LiDAR scanning and oblique photogrammetry, suffer from issues including high operational risks, low modeling efficiency, and loss of fine details. To address these limitations, this paper proposes a 3D Gaussian Splatting (3DGS)-based method for power tower 3D reconstruction to enhance reconstruction efficiency and detail preservation capability. First, a multi-view data acquisition scheme combining “unmanned aerial vehicle + oblique photogrammetry” was designed to capture RGB images acquired by Unmanned Aerial Vehicle (UAV) platforms, which are used as the primary input for 3D reconstruction. Second, a sparse point cloud was generated via Structure from Motion. Finally, based on 3DGS, Gaussian model initialization, differentiable rendering, and adaptive density control were performed to produce high-precision 3D models of power towers. Taking two typical power tower types as experimental subjects, comparisons were made with the oblique photogrammetry + ContextCapture method. Experimental results demonstrate that 3DGS not only achieves high model completeness (with the reconstructed model nearly indistinguishable from the original images) but also excels in preserving fine details such as angle steels and cables. Additionally, the final modeling time is reduced by over 70% compared to traditional oblique photogrammetry. 3DGS enables efficient and high-precision reconstruction of power tower 3D models, providing a reliable technical foundation for digital twin applications in power transmission lines. By significantly improving reconstruction efficiency and reducing operational costs, the proposed method supports sustainable power infrastructure inspection, asset lifecycle management, and energy-efficient digital twin applications. Full article
Show Figures

Figure 1

20 pages, 1050 KB  
Article
Patent-Based Prospective Life Cycle Assessment and Eco-Design of Lithium–Sulfur Batteries
by Baris Ördek and Christian Spreafico
Sustainability 2026, 18(2), 711; https://doi.org/10.3390/su18020711 (registering DOI) - 10 Jan 2026
Abstract
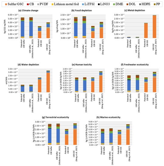
Lithium–sulfur batteries (LSBs) are a promising emerging technology due to their high energy density, low-cost materials, and safety. However, their environmental sustainability is not yet well understood. This study conducted a prospective life cycle assessment (LCA) on two patented LSB models, using data [...] Read more.
Lithium–sulfur batteries (LSBs) are a promising emerging technology due to their high energy density, low-cost materials, and safety. However, their environmental sustainability is not yet well understood. This study conducted a prospective life cycle assessment (LCA) on two patented LSB models, using data from patents as the inventory: one with a standard sulfur cathode and another with a graphene–sulfur composite (GSC). The assessment is conducted for a functional unit of 1 Wh of produced electricity, adopting a cradle-to-gate system boundary and a prospective time horizon set to 2035. The LSB GSC model battery showed significantly better performance in terms of climate change and fossil depletion, with a 42% lower impact, mainly due to a reduction in the lithium bis(trifluoromethanesulfonyl)imide (LiTFSI) content from 1205 mg Wh−1 to 250 mg Wh−1. However, the GSC model also had significant drawbacks, showing a 93% higher metal depletion and 49% higher water depletion than the standard sulfur battery. Building on an established patent-based prospective LCA approach, this work applies patent-derived quantitative inventories and patent-informed eco-design analysis to support environmentally informed design decisions for emerging LSB technologies prior to large-scale commercialization. Full article
(This article belongs to the Special Issue Smart Technologies Toward Sustainable Eco-Friendly Industry)
Show Figures

Figure 1

29 pages, 1793 KB  
Review
Digital Twins for Cows and Chickens: From Hype Cycles to Hard Evidence in Precision Livestock Farming
by Suresh Neethirajan
Agriculture 2026, 16(2), 166; https://doi.org/10.3390/agriculture16020166 - 9 Jan 2026
Viewed by 37
Abstract
Digital twin technology is widely promoted as a transformative step for precision livestock farming, yet no fully realized, engineering-grade digital twins are deployed in commercial dairy or poultry systems today. This work establishes the current state of knowledge on dairy and poultry digital [...] Read more.
Digital twin technology is widely promoted as a transformative step for precision livestock farming, yet no fully realized, engineering-grade digital twins are deployed in commercial dairy or poultry systems today. This work establishes the current state of knowledge on dairy and poultry digital twins by synthesizing evidence through systematic database searches, thematic evidence mapping and critical analysis of validation gaps, carbon accounting and adoption barriers. Existing platforms are better described as near-digital-twin systems with partial sensing and modelling, digital-twin-inspired prototypes, simulation frameworks or decision-support tools that are often labelled as twins despite lacking continuous synchronization and closed-loop control. This distinction matters because the empirical foundation supporting many claims remains limited. Three critical gaps emerge: life-cycle carbon impacts of digital infrastructures are rarely quantified even as sustainability benefits are frequently asserted; field-validated improvements in feed efficiency, particularly in poultry feed conversion ratios, are scarce and inconsistent; and systematic reporting of failure rates, downtime and technology abandonment is almost absent, leaving uncertainties about long-term reliability. Adoption barriers persist across technical, economic and social dimensions, including rural connectivity limitations, sensor durability challenges, capital and operating costs, and farmer concerns regarding data rights, transparency and trust. Progress for cows and chickens will require rigorous validation in commercial environments, integration of mechanistic and statistical modelling, open and modular architectures and governance structures that support biological, economic and environmental accountability whilst ensuring that system intelligence is worth its material and energy cost. Full article
(This article belongs to the Section Farm Animal Production)
Show Figures

Graphical abstract

26 pages, 2410 KB  
Article
Maintenance Modeling for a Multi-State System Under Competing Failures and Imperfect Repairs
by Yanjing Zhang and Xiaohua Meng
Mathematics 2026, 14(2), 248; https://doi.org/10.3390/math14020248 - 9 Jan 2026
Viewed by 35
Abstract
A condition-based maintenance modeling approach is proposed for a multi-state system under competing failures and imperfect repairs. The system experiences three states (normal, defective and failed) over its lifecycle. Two competing failure processes, i.e., natural degradation and external shocks, cause these state changes. [...] Read more.
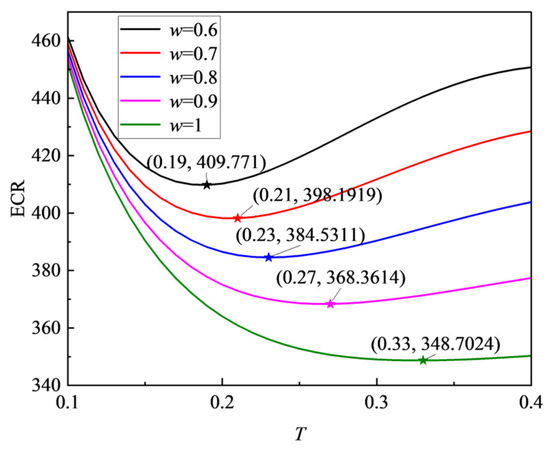
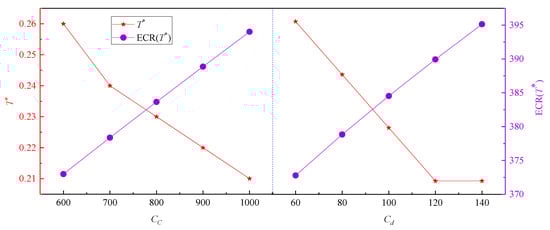
A condition-based maintenance modeling approach is proposed for a multi-state system under competing failures and imperfect repairs. The system experiences three states (normal, defective and failed) over its lifecycle. Two competing failure processes, i.e., natural degradation and external shocks, cause these state changes. If the system becomes defective, an imperfect repair is adopted to restore it to a normal state. Imperfect repairs addressing defects are mathematically characterized. Based on this, two system renewal scenarios and their occurrence probabilities are simulated and derived. The cost of downtime caused by hidden failures is then deduced. A maintenance model of the expected cost rate is constructed, and the optimal inspection period that minimizes the expected cost rate is determined. Finally, a numerical example verifies the correctness and effectiveness of the maintenance model. Full article
Show Figures

Figure 1

36 pages, 2500 KB  
Article
Driving Green: A Comprehensive Sustainability Analysis of Natural Gas-to-Methanol and Methanol-to-Gasoline Supply Chains
by Hussein Al-Yafei, Saleh Aseel, Ahmed AlNouss, Mohannad AlJarrah, Nagi Abdussamie, Ahmad Al-Kuwari, Alaa Kerret, Noman Abdul Ghafoor, Muhammad Rizki Winarno, Aisha Al-Bader, Talal Al Tamimi and Suhaila Sabbah
Sustainability 2026, 18(1), 527; https://doi.org/10.3390/su18010527 - 5 Jan 2026
Viewed by 279
Abstract
This study presents an integrated Life Cycle Sustainability Assessment (LCSA) of the Natural gas-to-methanol (NGTM) and methanol-to-gasoline (MTG) pathways using Aspen HYSYS process modeling, Environmental Life Cycle Assessment (LCA), Social Life Cycle Assessment (SLCA), and Life Cycle Costing (LCC). The results reveal significant [...] Read more.
This study presents an integrated Life Cycle Sustainability Assessment (LCSA) of the Natural gas-to-methanol (NGTM) and methanol-to-gasoline (MTG) pathways using Aspen HYSYS process modeling, Environmental Life Cycle Assessment (LCA), Social Life Cycle Assessment (SLCA), and Life Cycle Costing (LCC). The results reveal significant variability in sustainability performance across process units. The DME and MTG Reactors Section generates the highest direct greenhouse gas (GHG) emissions at 0.86 million tons CO2-eq, representing 54.9% of total global warming potential, while the Compression Section consumes 2717.5 TJ/year of energy, making it the dominant source of electricity-related indirect emissions. Distillation and Purification withdraws 31,100 Mm3/year of water—approximately 99% of total demand—yet delivers 86.6% of the overall economic surplus despite high operating costs. Social impacts concentrate in the Methanol Reactor Looping and DME and MTG Reactors Sections, with human health burdens of 305.79 and 804.22 DALYs, respectively, due to catalyst handling and high-pressure operations. Sensitivity results show that methanol purity rises from 0.9993 to 0.9994 with increasing methane content, while gasoline output decreases from 3780 to 3520 kg/h as natural gas flow increases. The findings provide process-level evidence to support sustainable development of natural gas-based fuel conversion industries, aligning with Qatar National Vision 2030 objectives for industrial diversification and lower-carbon energy systems. Full article
(This article belongs to the Section Energy Sustainability)
Show Figures

Graphical abstract

17 pages, 849 KB  
Article
Economic and Ecological Benefits of Thermal Modernization of Buildings Related to Financing from Aid Programs in Poland
by Janusz Adamczyk and Robert Dylewski
Energies 2026, 19(1), 260; https://doi.org/10.3390/en19010260 - 4 Jan 2026
Viewed by 242
Abstract
Improving the energy efficiency of buildings is a highly desirable investment in the context of implementing the sustainable development paradigm, as it reduces the building’s energy demand. Consequently, the economic costs of heating the building are diminished. Reducing the building’s negative environmental impact [...] Read more.
Improving the energy efficiency of buildings is a highly desirable investment in the context of implementing the sustainable development paradigm, as it reduces the building’s energy demand. Consequently, the economic costs of heating the building are diminished. Reducing the building’s negative environmental impact is also crucial. This article presents programs that subsidize thermal modernization investments for single-family buildings in Poland. Particular attention was paid to the Clean Air program. A methodology for the economic and ecological assessment of thermal modernization investments eligible for funding under this program was proposed. The methodology is based on the Net Present Value indicator, whereas the ecological analysis utilized the Life Cycle Assessment method. A case study was conducted for a model single-family building using the introduced methodology. The scope of the thermal modernization investment included replacing windows and doors, replacing the heat source, and thermal insulation of the vertical external walls. The analyzed thermal modernization investment brings substantial ecological benefits, significantly reducing the building’s negative environmental impact. Unfortunately, the economic viability for the investor is not so obvious and depends primarily on the level of subsidy. Full article
Show Figures

Figure 1

30 pages, 5831 KB  
Systematic Review
A Systematic Literature Review of Augmented Reality’s Development in Construction
by José Marinho, Filipe Sá, João Durães, Inácio Fonseca and Nuno Cid Martins
Electronics 2026, 15(1), 225; https://doi.org/10.3390/electronics15010225 - 3 Jan 2026
Viewed by 191
Abstract
Augmented reality (AR) has emerged as a transformative technology, allowing users to engage with digital content overlaid on the physical world. In the construction industry, AR shows significant potential to enhance visualization, collaboration, training, and safety across the project lifecycle. This paper presents [...] Read more.
Augmented reality (AR) has emerged as a transformative technology, allowing users to engage with digital content overlaid on the physical world. In the construction industry, AR shows significant potential to enhance visualization, collaboration, training, and safety across the project lifecycle. This paper presents a systematic literature review (SLR) of 136 publications on the use of AR in construction published between 2019 and 2025, focusing on architectures, technologies, trends, and challenges. The review identifies the main architectures (cloud, hybrid, and local) and examines how AR is combined with Building Information Modeling (BIM) systems, digital twins, the Internet of Things (IoT), and Unmanned Aerial Vehicles (UAVs). Key application trends are identified and discussed, including on-site visualization, inspection and monitoring, immersive training, hazard detection, and remote collaboration. Challenges and constraints to the adoption of AR in construction are highlighted and examined such as hardware limitations, usability and ergonomics issues, interoperability with existing systems, high costs, and resistance to organizational change. By systematizing existing approaches and mapping both opportunities and barriers, this review provides a comprehensive reference for researchers, practitioners, and policy makers aiming to accelerate AR adoption in the construction sector. Full article
Show Figures

Figure 1

23 pages, 2795 KB  
Article
A Bio-Inspired Approach to Sustainable Building Design Optimization: Multi-Objective Flow Direction Algorithm with One-Hot Encoding
by Ahmet Serhan Canbolat and Emre İsa Albak
Biomimetics 2026, 11(1), 31; https://doi.org/10.3390/biomimetics11010031 - 2 Jan 2026
Viewed by 304
Abstract
The urgent need for sustainable building design calls for advanced optimization methods that simultaneously address economic and environmental objectives, particularly those involving mixed discrete-continuous variables such as insulation material, heating source, and insulation thickness. While nature-inspired metaheuristics have shown promise in engineering optimization, [...] Read more.
The urgent need for sustainable building design calls for advanced optimization methods that simultaneously address economic and environmental objectives, particularly those involving mixed discrete-continuous variables such as insulation material, heating source, and insulation thickness. While nature-inspired metaheuristics have shown promise in engineering optimization, their application to building envelope design remains limited, especially in handling discrete choices efficiently within a multi-objective framework. Inspired by the natural process of rainwater runoff and drainage basin dynamics, this study presents a novel hybrid approach integrating the Multi-Purpose Flow Direction Algorithm (MOFDA) with One-Hot Encoding to optimize external wall insulation. This bio-inspired algorithm mimics how water seeks optimal paths across terrain, enabling effective navigation of complex design spaces with both categorical and continuous variables. The model aims to minimize total lifecycle costs and CO2 emissions across Türkiye’s six updated climatic regions. Pareto-optimal solutions are created using MOFDA, after which the Complex Proportional Assessment (COPRAS) method, weighted by Shannon Entropy, selects the most balanced designs. The results reveal significant climate-dependent variations: in the warmest region, the cost-optimal thickness is 3.3 cm (Rock Wool), while the emission-optimal reaches 17.3 cm (Glass Wool). In colder regions, emission-driven scenarios consistently require up to 40 cm insulation, indicating a practical limit of current materials. Under balanced weighting, fuel preferences shift from LPG in milder climates to Fuel Oil in harsher climates. Notably, Shannon Entropy assigned a weight of 88–92% to emissions due to their wider variability across the Pareto front, underscoring the environmental priority in data-driven decisions. This study demonstrates that the bio-inspired MOFDA framework, enhanced with One-Hot Encoding, effectively handles mixed discrete-continuous optimization and provides a robust, climate-aware decision tool for sustainable building design, reinforcing the value of translating natural flow processes into engineering solutions. Full article
(This article belongs to the Section Biological Optimisation and Management)
Show Figures

Graphical abstract

30 pages, 3551 KB  
Article
Research on Bayesian Hierarchical Spatio-Temporal Model for Pricing Bias of Green Bonds
by Yiran Liu and Hanshen Li
Sustainability 2026, 18(1), 455; https://doi.org/10.3390/su18010455 - 2 Jan 2026
Viewed by 180
Abstract
Driven by carbon neutrality policies, the cumulative issuance volume of the global green bond market has surpassed $2.5 trillion over the past five years, with China, as the second largest issuer, accounting for 15%. However, there exists a yield difference of up to [...] Read more.
Driven by carbon neutrality policies, the cumulative issuance volume of the global green bond market has surpassed $2.5 trillion over the past five years, with China, as the second largest issuer, accounting for 15%. However, there exists a yield difference of up to 0.8% for bonds with the same credit rating across different policy regions, and the premium level fluctuates dramatically with market cycles, severely restricting the efficiency of green resource allocation. This study innovatively constructs a Bayesian hierarchical spatiotemporal model framework to systematically analyze pricing deviations through a three-level data structure: the base level quantifies the impact of bond micro-characteristics (third-party certification reduces financing costs by 0.15%), the temporal level captures market dynamics using autoregressive processes (premium volatility increases by 50% during economic recessions), and the spatial level reveals policy regional dependencies using conditional autoregressive models (carbon trading pilot provinces and cities form premium sinkholes). The core breakthroughs are: 1. Designing spatiotemporal interaction terms to explicitly model the policy diffusion process, with empirical evidence showing that the green finance reform pilot zone policy has a radiation radius of 200 km within three years, leading to a 0.10% increase in premiums in neighboring provinces; 2. Quantifying the posterior distribution of parameters using the Markov Chain Monte Carlo algorithm, demonstrating that the posterior mean of the policy effect in pilot provinces is −0.211%, with a half-life of 0.75 years, and the residual effect in non-pilot provinces is only −0.042%; 3. Establishing a hierarchical shrinkage prior mechanism, which reduces prediction error by 41% compared to traditional models in out-of-sample testing. Key findings include: the contribution of policy pilots is −0.192%, surpassing the effect of issuer credit ratings, and a 10 yuan/ton increase in carbon price can sustainably reduce premiums by 0.117%. In 2021, the “dual carbon” policy contributed 32% to premium changes through spatiotemporal interaction channels. The research results provide quantitative tools for issuers to optimize financing timing, investors to identify cross-regional arbitrage, and regulators to assess policy coordination, promoting the transformation of the green bond market from an efficiency priority to equitable allocation paradigm. Full article
Show Figures

Figure 1

18 pages, 1169 KB  
Article
Tri-Objective Optimization of Metro Station Underground Structures Considering Cost, Carbon Emissions, and Reliability: A Case Study of Guangzhou Station
by Ling Wang, Yanmei Ruan, Lihua Zhai and Hongping Lu
Buildings 2026, 16(1), 195; https://doi.org/10.3390/buildings16010195 - 1 Jan 2026
Viewed by 221
Abstract
This study investigates the tri-objective optimization of underground metro station structures, considering structural reliability, life-cycle economic cost, and annualized carbon emissions simultaneously. Using a representative metro station in Guangzhou as a case study, a multi-objective optimization framework is developed. The model defines structural [...] Read more.
This study investigates the tri-objective optimization of underground metro station structures, considering structural reliability, life-cycle economic cost, and annualized carbon emissions simultaneously. Using a representative metro station in Guangzhou as a case study, a multi-objective optimization framework is developed. The model defines structural failure probability, discounted life-cycle cost, and average annual carbon emissions as the primary objectives, with decision variables including concrete strength, cover thickness, the use of epoxy-coated reinforcement, and various maintenance/repair strategies. Material quantities are calculated through Building Information Modeling (BIM), while cost–carbon relationships are derived from industry price data and carbon emission factors. An improved multi-objective particle swarm optimization algorithm (OMOPSO) is used to derive the Pareto-optimal front. Case study results show that increasing cover thickness significantly improves durability and reduces carbon emissions with only moderate cost increases. In contrast, epoxy-coated reinforcement is excluded from the Pareto set due to its high cost under the given conditions. To facilitate practical decision-making, a weight-based solution selection method is introduced, and sensitivity analyses are performed to assess the model’s robustness. The study concludes by emphasizing the framework’s applicability and limitations: the findings are specific to the case context and require recalibration for use in other sites or construction practices. This research contributes by integrating durability, cost, and carbon considerations into an engineering-level optimization workflow, providing valuable decision support for sustainable metro station design. Full article
Show Figures

Figure 1

19 pages, 1175 KB  
Article
Research on the Performance Evaluation System for Ecological Product Value Realization Projects: A Case Study of the Comprehensive Water Environment Management Project for a Drinking Water Source
by Yuan-Hua Chen, Chang Chai, Qing-Lian Wu and Nan-Nan Wang
Water 2026, 18(1), 102; https://doi.org/10.3390/w18010102 - 1 Jan 2026
Viewed by 272
Abstract
Establishing a mechanism for ecological product value realizing (EPVR) is a critical component of China’s ecological civilization strategy, aimed at translating the concept that “lucid waters and lush mountains are invaluable assets” into actionable economic policies. Although central government investments in the form [...] Read more.
Establishing a mechanism for ecological product value realizing (EPVR) is a critical component of China’s ecological civilization strategy, aimed at translating the concept that “lucid waters and lush mountains are invaluable assets” into actionable economic policies. Although central government investments in the form of project for EPVR have increased significantly, surpassing CNY 700 billion by 2024, studies rarely focus on these projects and how to evaluate them. Evaluating the performance of EPVR projects is essential for optimizing resource allocation, enhancing project accountability, and ensuring the sustainable realization of ecological, economic, and social values. This study innovatively defines the conceptual connotation of EPVR projects and constructs a comprehensive performance evaluation system based on a “benefit-cost” analysis, comprising a multi-dimensional indicator system, quantifiable calculation methods, and explicit evaluation criteria. As water source protection projects are typical EPVR projects, the comprehensive water environment management project of Hongfeng Lake is selected for an in-depth empirical study. The results reveal that (1) the total annual benefits amount to CNY 923.66 million, dominated by ecological benefits (84.04%); (2) with an investment of CNY 1194.66 million, the project yields a net loss and a moderate performance index (PCPI = 0.77); (3) the project performance is primarily affected by weak economic value conversion stemming from restrictive zoning policies and underdeveloped market mechanisms for ecological services; and (4) integrated development pathways—such as ecotourism, eco-aquaculture, and ecological branding—are proposed to enhance the long-term sustainability of the project. The Hongfeng Lake case establishes a replicable framework for global assessment of analogous projects and delivers actionable insights for enhancing benefit–cost ratios in public ecological initiatives, with costs confined to data collection, modeling, and validation. Therefore, this study contributes a quantifiable and reproducible tool for the full lifecycle management of EPVR projects, thereby facilitating more informed government decision-making. Key findings reveal the following: (1) A comprehensive “Benefit-Cost” performance evaluation framework, pioneered in this study and tailored specifically for individual EPVR projects, surpasses regional-scale accounting methodologies like Gross Ecosystem Product (GEP). (2) A novel consolidated metric (PCPI) is introduced to integrate ecological, economic, and social dimensions with cost input, thus enabling direct cross-project comparison and classification. (3) The framework operationalizes evaluation by providing a detailed, adaptable indicator system with explicit monetization methods for 26 distinct benefits, thereby bridging the gap between theoretical value accounting and practical project assessment. (4) The empirical application to a drinking water source protection project addresses a critical yet understudied category of EPVR projects, offering insights into “protection-oriented” models. Full article
Show Figures

Figure 1

28 pages, 1477 KB  
Review
Solar-Assisted Thermochemical Valorization of Agro-Waste to Biofuels: Performance Assessment and Artificial Intelligence Application Review
by Balakrishnan Varun Kumar, Sassi Rekik, Delmaria Richards and Helmut Yabar
Waste 2026, 4(1), 2; https://doi.org/10.3390/waste4010002 - 31 Dec 2025
Viewed by 199
Abstract
The rapid growth and seasonal availability of agricultural materials, such as straws, stalks, husks, shells, and processing wastes, present both a disposal challenge and an opportunity for renewable fuel production. Solar-assisted thermochemical conversion, such as solar-driven pyrolysis, gasification, and hydrothermal routes, provides a [...] Read more.
The rapid growth and seasonal availability of agricultural materials, such as straws, stalks, husks, shells, and processing wastes, present both a disposal challenge and an opportunity for renewable fuel production. Solar-assisted thermochemical conversion, such as solar-driven pyrolysis, gasification, and hydrothermal routes, provides a pathway to produce bio-oils, syngas, and upgraded chars with substantially reduced fossil energy inputs compared to conventional thermal systems. Recent experimental research and plant-level techno-economic studies suggest that integrating concentrated solar thermal (CSP) collectors, falling particle receivers, or solar microwave hybrid heating with thermochemical reactors can reduce fossil auxiliary energy demand and enhance life-cycle greenhouse gas (GHG) performance. The primary challenges are operational intermittency and the capital costs of solar collectors. Alongside, machine learning (ML) and AI tools (surrogate models, Bayesian optimization, physics-informed neural networks) are accelerating feedstock screening, process control, and multi-objective optimization, significantly reducing experimental burden and improving the predictability of yields and emissions. This review presents recent experimental, modeling, and techno-economic literature to propose a unified classification of feedstocks, solar-integration modes, and AI roles. It reveals urgent research needs for standardized AI-ready datasets, long-term field demonstrations with thermal storage (e.g., integrating PCM), hybrid physics-ML models for interpretability, and region-specific TEA/LCA frameworks, which are most strongly recommended. Data’s reporting metrics and a reproducible dataset template are provided to accelerate translation from laboratory research to farm-level deployment. Full article
Show Figures

Figure 1

26 pages, 2448 KB  
Review
Green Aerogels for Atmospheric Water Harvesting: A PRISMA-Guided Systematic Review of Bio-Derived Materials and Pathways to 2035
by Ghassan Sonji, Nada Sonji, Afaf El Katerji and Mohamad Rahal
Polymers 2026, 18(1), 108; https://doi.org/10.3390/polym18010108 - 30 Dec 2025
Viewed by 273
Abstract
Atmospheric water harvesting (AWH) offers a decentralized and renewable solution to global freshwater scarcity. Bio-derived and hybrid aerogels, characterized by ultra-high porosity and hierarchical pore structures, show significant potential for high water uptake and energy-efficient, low-temperature regeneration. This PRISMA-guided systematic review synthesizes evidence [...] Read more.
Atmospheric water harvesting (AWH) offers a decentralized and renewable solution to global freshwater scarcity. Bio-derived and hybrid aerogels, characterized by ultra-high porosity and hierarchical pore structures, show significant potential for high water uptake and energy-efficient, low-temperature regeneration. This PRISMA-guided systematic review synthesizes evidence on silica, carbon, MOF-integrated, and bio-polymer aerogels, emphasizing green synthesis and circular design. Our analysis shows that reported water uptake reaches up to 0.32 g·g−1 at 25% relative humidity (RH) and 3.5 g·g−1 at 90% RH under static laboratory conditions. Testing protocols vary significantly across studies, and dynamic testing typically reduces these values by 20–30%. Ambient-pressure drying and solar-photothermal integration enhance sustainability, but performance remains highly dependent on device architecture and thermal management. Techno-economic models estimate water costs from USD 0.05 to 0.40 per liter based on heterogeneous assumptions and system boundaries. However, long-term durability and real-world environmental stressor data are severely underreported. Bridging these gaps is essential to move from lab-scale promise to scalable, commercially viable deployment. We propose a strategic roadmap toward 2035, highlighting the need for improved material stability, standardized testing protocols, and comprehensive life cycle assessments to ensure the global viability of green aerogel technologies. Full article
(This article belongs to the Section Circular and Green Sustainable Polymer Science)
Show Figures

Graphical abstract

18 pages, 727 KB  
Article
Research on the Reliability of Lithium-Ion Battery Systems for Sustainable Development: Life Prediction and Reliability Evaluation Methods Under Multi-Stress Synergy
by Jiayin Tang, Jianglin Xu and Yamin Mao
Sustainability 2026, 18(1), 377; https://doi.org/10.3390/su18010377 - 30 Dec 2025
Viewed by 235
Abstract
Driven by the dual imperatives of global energy transition and sustainable development goals, lithium-ion batteries, as critical energy storage carriers, have seen the assessment of their lifecycle reliability and durability become a core issue underpinning the sustainable operation of clean energy systems. Grounded [...] Read more.
Driven by the dual imperatives of global energy transition and sustainable development goals, lithium-ion batteries, as critical energy storage carriers, have seen the assessment of their lifecycle reliability and durability become a core issue underpinning the sustainable operation of clean energy systems. Grounded in a multidimensional perspective of sustainable development, this study aims to establish a quantifiable and monitorable battery reliability evaluation framework to address the challenges to lifespan and performance sustainability faced by batteries under complex multi-stress coupled operating conditions. Lithium-ion batteries are widely used across various fields, making an accurate assessment of their reliability crucial. In this study, to evaluate the lifespan and reliability of lithium-ion batteries when operating in various coupling stress environments, a multi-stress collaborative accelerated model(MCAM) considering interaction is established. The model takes into account the principal stress effects and the interaction effects. The former is developed based on traditional acceleration models (such as the Arrhenius model), while the latter is constructed through the combination of exponential, power, and logarithmic functions. This study firstly considers the scale parameter of the Weibull distribution as an acceleration effect, and the relationship between characteristic life and stresses is explored through the synergistic action of primary and interaction effects. Subsequently, a multi-stress maximum likelihood estimation method that considers interaction effects is formulated, and the model parameters are estimated using the gradient descent algorithm. Finally, the validity of the proposed model is demonstrated through simulation, and numerical examples on lithium-ion batteries demonstrate that accurate lifetime prediction is enabled by the MCAM, with test duration, cost, and resource consumption significantly reduced. This study not only provides a scientific quantitative tool for advancing the sustainability assessment of battery systems, but also offers methodological support for relevant policy formulation, industry standard optimization, and full lifecycle management, thereby contributing to the synergistic development of energy storage technology across the economic, environmental, and social dimensions of sustainability. Full article
(This article belongs to the Section Sustainable Engineering and Science)
Show Figures

Figure 1

Back to TopTop