Next Article in Journal
Green Credit Policy, ESG Performance, and Corporate Capital Structure—Empirical Evidence from Chinese Listed Companies
Previous Article in Journal
Sustainable Markets Under Geopolitical Stress: Do ESG Indices Outperform Technology Indices in Resilience?
 
 
Font Type:
Arial Georgia Verdana
Font Size:
Aa Aa Aa
Line Spacing:
Column Width:
Background:
Article

Research on the Reliability of Lithium-Ion Battery Systems for Sustainable Development: Life Prediction and Reliability Evaluation Methods Under Multi-Stress Synergy

1
Department of Statistics, School of Mathematics, Southwest Jiaotong University, Chengdu 611756, China
2
CETC Rong Wei Electronic Technology Co., Ltd., Chengdu 610036, China
*
Author to whom correspondence should be addressed.
Sustainability 2026, 18(1), 377; https://doi.org/10.3390/su18010377 (registering DOI)
Submission received: 22 November 2025 / Revised: 17 December 2025 / Accepted: 22 December 2025 / Published: 30 December 2025
(This article belongs to the Section Sustainable Engineering and Science)

Abstract

Driven by the dual imperatives of global energy transition and sustainable development goals, lithium-ion batteries, as critical energy storage carriers, have seen the assessment of their lifecycle reliability and durability become a core issue underpinning the sustainable operation of clean energy systems. Grounded in a multidimensional perspective of sustainable development, this study aims to establish a quantifiable and monitorable battery reliability evaluation framework to address the challenges to lifespan and performance sustainability faced by batteries under complex multi-stress coupled operating conditions. Lithium-ion batteries are widely used across various fields, making an accurate assessment of their reliability crucial. In this study, to evaluate the lifespan and reliability of lithium-ion batteries when operating in various coupling stress environments, a multi-stress collaborative accelerated model(MCAM) considering interaction is established. The model takes into account the principal stress effects and the interaction effects. The former is developed based on traditional acceleration models (such as the Arrhenius model), while the latter is constructed through the combination of exponential, power, and logarithmic functions. This study firstly considers the scale parameter of the Weibull distribution as an acceleration effect, and the relationship between characteristic life and stresses is explored through the synergistic action of primary and interaction effects. Subsequently, a multi-stress maximum likelihood estimation method that considers interaction effects is formulated, and the model parameters are estimated using the gradient descent algorithm. Finally, the validity of the proposed model is demonstrated through simulation, and numerical examples on lithium-ion batteries demonstrate that accurate lifetime prediction is enabled by the MCAM, with test duration, cost, and resource consumption significantly reduced. This study not only provides a scientific quantitative tool for advancing the sustainability assessment of battery systems, but also offers methodological support for relevant policy formulation, industry standard optimization, and full lifecycle management, thereby contributing to the synergistic development of energy storage technology across the economic, environmental, and social dimensions of sustainability.

1. Introduction

In modern industrial applications, the reliability assessment of products is a key foundation for formulating efficient maintenance strategies. The core challenge currently faced in engineering practice lies in the fact that modern high-reliability and long-life products [1] (such as lithium-ion batteries, etc.) have inherent durability, which makes it difficult to obtain reliability information within a given time under normal conditions, thus seriously restricting reliability modeling and evaluation based on actual life data. Due to the characteristics of lithium-ion batteries such as large size, high capacity and low cost [2], they are widely used in key fields such as new energy electric vehicles, large-scale energy storage and aerospace. Therefore, making high-precision predictions of the reliability indicators of these products (such as reliability, failure rate, and average lifespan etc.) has become a core prerequisite for ensuring the safe operation of batteries and extending their cycle life [3]. However, the aging of lithium-ion batteries is controlled by multiple coupled electrochemical mechanisms, such as the growth of the solid electrolyte interface (SEI), the cracking of active material particles, and the decomposition of the electrolyte [4], which exhibit obvious nonlinear, individual differences, and time-varying characteristics. Meanwhile, these stress factors do not act independently; instead, they exhibit strong synergistic or antagonistic interactions, further accelerating the capacity decline of the battery. Therefore, within the framework of accelerated testing, there is an urgent need to construct a reliability prediction model with strong generalization ability and physical interpretability to achieve accurate estimation of state of health (SOH) and reliability indicators [5]. This not only helps to overcome the time and cost bottlenecks of traditional life tests but also has significant theoretical value and engineering significance for enhancing the intelligence level of battery management systems, extending their service life, and ensuring safety throughout the entire life cycle.
The existing acceleration models are mainly classified into the following three. The first one is the physical acceleration model, which is often used to characterize the situation of a specific failure mechanism, but it lacks universality in different scenarios. The second type is the quasi-physical model, which is based on the general laws of product failure, such as the common Arrhenius model and the inverse power law model, etc. There is also an accelerated model based on empirical learning. When the failure mechanism of the product has not been identified, only the statistical regression analysis method can be used to fit the experimental data to obtain the model, such as the generalized log-linear model and the polynomial model, etc. [6].
Nowadays, many products are only tested under a single stress condition. But when products are in use, they often fail or malfunction due to the combined effect of multiple environmental factors. For instance, lithium iron phosphate batteries may malfunction during use due to factors like environmental temperature, charging and discharging rates, and charging and discharging voltages, resulting in changes in battery capacity [7].
Many scholars have committed to proposing corresponding models under multi-stress environments. For example, Wang et al. [8] optimized the predictability and convergence of the BP neural network based on the genetic algorithm and established a multi-stress accelerated lifetime model of the genetic neural network. Through this method, the blindness of the initial weight and threshold selection was overcome. Zhang et al. [9] proposed a statistical reasoning method for multi-stress accelerated life tests based on random variable transformation. The paper first constructs the χ 2 statistics using the random variable transformation method and uses them to obtain the accurate point estimation of the model parameters. Meanwhile, the generalized confidence intervals of the acceleration model parameters were calculated by constructing new multivariate generalized pivot quantities. He et al. [10] suggested a gear life reliability analysis method based on accelerated life tests, and ultimately determined the life distribution and failure mechanism of gear bending fatigue.
Although all the models above take into account that the product will be affected by multiple stresses, these models often lack consideration for the interaction among these environmental stresses. While this interaction usually brings some difficult-to-explain results to the acceleration model, it is necessary to consider this interaction in the multi-stress acceleration model. For instance, Limon et al. [11] put forward an optimization design method for a constant-stress ADT scheme through a stochastic gamma process. This scheme models the degradation behavior as a monotonic stochastic gamma process and regards both parameters of the gamma process as stress-dependent variables to capture the influence of stress levels. In order to analyze and optimize the multi-stress accelerated degradation experiments, Tian et al. [12] recommend a multi-stress generalized coupled accelerated degradation model based on the Tweedie exponential dispersion process and used the sine and cosine algorithm for parameter estimation. Li et al. [13] introduced a new multi-stress coupling accelerated degradation model based on the Wiener process and adopted the MLE-SA optimization algorithm to obtain the unknown parameter values of the model. Liu et al. [14] advanced a multi-stress coupling model with relevant competitive failure processes, and then based on this model, proposed a statistical inference method to evaluate the reliability of products under various stress conditions. Ye et al. [15] designed a new class of multi-stress acceleration models with interaction effects and combined the generalized Wiener process with nonlinear time-scale functions and random effects, extending the multi-stress acceleration model to an accelerated degradation model.
Over the past few decades, multi-stress accelerated models that took into account the interaction effects between stresses often excessively introduced unknown parameters in pursuit of fitting accuracy. Some models even incorporated as many as 2 n unknown parameters, making the process of solving the parameters extremely difficult. Therefore, most models only take into account the scenarios under less than three stresses due to computational challenges.
To address the problem of considering too many parameters in the multi-stress model, a multi-stress accelerated model with interaction and capable of considering a greater number of stresses is proposed, and it is divided into the principal stress effect part and the interaction effect part. Then, the MLE method for multi-stress accelerated life tests under random truncated samples was proposed, and gradient descent was used to solve the parameters of the proposed model. Finally, through numerical examples, it is proved that the model proposed has the characteristics of an easier solution process and a greater number of stresses that can be considered compared with the traditional multi-stress model.
The remaining part of this article is organized as follows. Section 2 provides explanations of the symbols used in this paper and some basic knowledge of the proposed model. Section 3 proposes the entire process of a multi-stress acceleration model considering interactions. Section 4 presents how to use the gradient descent method to estimate the unknown parameters of the proposed model. Section 5 utilizes simulation to verify the accuracy and validity of the proposed model. Finally, the proposed model was studied through a numerical example of a lithium-ion battery.

2. Symbolic Explanation and Fundamentals of Modeling

Accelerated Life Test (ALT) is a method that enables products to quickly expose faults by increasing working stress or environmental stress, and then uses the accelerated information to extrapolate the reliability indicators of the product under normal stress levels. Accelerated life tests can be classified into three types based on the way stress is applied [16]: constant stress accelerated life test (CST), stepwise stress accelerated life test (SST), and sequential stress accelerated life test (PST). This article mainly discusses the most common accelerated life test under constant conditions.
(1) Suppose a certain product is under constant accelerated life test conditions, and the failure of the product is affected by N kinds of stress ( S 1 , S 2 , , S N ) (N is the number of stress variables, such as temperature, voltage, humidity, etc.). Let the normal stress vector be X 0 = ( S 10 , S 20 , , S N 0 ) .
(2) Consider a q-level constant stress accelerated life test. Each combination of stress levels is X 1 , X 2 , , X q , respectively. ALT shortens the test cycle by increasing the test stress while maintaining the failure mechanism unchanged. That is to say, the failure mechanism of the product under multi-stress ALT is consistent with that under normal environmental conditions.
(3) Assume n specimens were randomly selected from a batch of products for CST. These n specimens were divided into q groups of samples, and the sample size of each group was n 1 , n 2 , , n q , respectively, satisfying i = 1 q n i = n . The samples in group i were placed under accelerated stress S i for random truncation life tests. Assuming that among n i samples, r i failed and c i = n i r i truncated, the failure times were t i 1 < t i 2 < < t i r i ( i = 1 , 2 , , q ) in sequence and the truncation times were τ i 1 < τ i 2 < < τ i c i ( i = 1 , 2 , , q ) in sequence. Therefore, the main assumptions are as follows:
➀ The Weibull distribution plays a significant role in reliability. Meanwhile, the exponential distribution, normal distribution, and others are all special cases of the Weibull distribution. Suppose the product life T is independent of each other and follows the Weibull distribution, that is, T W ( m , η ) . Its distribution function and density function [17] are respectively
F ( t ) = 1 e t η m t , m , η > 0 ,
f ( t ) = m η t η m 1 e t η m ,
where m is the shape parameter, which describes the failure characteristics, that is, the change of the failure rate over time (this study assumes that the failure mechanism remains unchanged and is independent of stress), and η is the scale parameter.
It is assumed that η is related to stress S , which can reflect the acceleration effect. The acceleration effect refers to the fact that when stress S (such as temperature, voltage, vibration, etc.) increases, the physical and chemical processes (such as chemical reactions, electromigration, fatigue crack propagation) inside the product intensify, resulting in an accelerated aging rate (such as faster capacitance attenuation and more rapid resistance value drift). Thus, the time to reach the failure threshold is also shortened (i.e., the life T decreases). The scale parameter η in the Weibull distribution, as the characteristic life of the life distribution, can directly reflect this accelerating effect. Thus, the distribution function and density function of the scale parameters of the Weibull distribution after considering the acceleration effect are as follows:
F ( t ) = 1 e t η ( S ) m .
f ( t ) = m η ( S ) t η ( S ) m 1 e t η ( S ) m .
m does not change with the variation of stress, that is, at each stress level S i , the failure mechanism of the product does not change.
➂ In multi-stress ALT, there exists a certain functional relationship between the reliability characteristic quantities of the product (such as characteristic life, average life, reliability, etc.) and the accelerating stress. The characteristic life η of the Weibull distribution has the following relationship with the stress level S(the situation where there are only two stresses is considered here) [18]:
ln η = a + b f 1 ( S 1 ) + c f 2 ( S 2 ) + d f 3 ( S 1 , S 2 ) .
Regarding the relationship between stress and lifetime, the study will integrate the principal stress term and the interaction effect term for the characteristic lifetime. The former is the direct influence term of a single stress factor on the aging of the product. The latter is the modulation effect of other stresses on the main stress effect, including the synergistic promotion or inhibition effect among stresses.
In this study, the principal stress term is mainly established based on the aging law of physical mechanisms, while the interaction effect is established according to the exponential, power, and logarithmic functions [19].
The main effect term is mainly based on the physical stress of the aging mechanism. In essence, it is the influence of a single stress on product aging, and most single stress acceleration models are obtained based on physical laws or empirical knowledge, such as the Arrhenius model [20]:
η ( T ) = A exp E a k · T ,
where η ( T ) represents a certain life characteristic, A is a normal number related to product features, etc., E a is the activation energy related to the material, with the unit of e V , k is the Boltzmann constant, and k = 1.38 × 10 23 J / K , and T is the absolute temperature.
The inverse power-law model [21] is as follows:
η ( v ) = A v γ ,
where v represents the electrical stress and is often taken as the voltage. Many studies have proposed various reaction rate models under stress based on the multiplication relationship [22], such as the common lifetime-temperature and voltage model, lifetime-temperature and humidity model, etc.

3. Reduced-Form Multi-Stress Collaborative Accelerated Model with Interaction

If the failure of a certain product is influenced by N different types of stresses, the principal stress term is determined by the criteria of the above-mentioned aging mechanism. According to the forms of the Arrhenius model, the inverse power law model, etc., the aging rate under the action of the kth principal stress can be obtained as:
η k ( S k ) = a k · f k ( S k , b k ) ,
where a k is a normal number related to the characteristics and geometric shape of the product, b k is a constant related to the activation energy or failure mechanism, and f k ( S k , b k ) is the principal stress term. Since the influence of each stress factor on the aging rate is in a multiplicative relationship, the aging rate under multiple stresses can be obtained as:
η ( S ) = k = 1 N η k ( S k ) = k = 1 N a k · f k ( S k , b k ) .
In Equation (9), when the failure mechanism remains unchanged, b k is always a constant. Below, based on the acceleration coefficient and the invariance of the failure mechanism, taking the above Arrhenius model as an example, it is illustrated that this parameter is a constant.
The acceleration coefficient, also known as the acceleration factor, is expressed by the ratio of the life characteristics under normal stress to those under accelerated stress. If t R , i represents the reliable life with a reliability of R, the acceleration coefficient is usually defined as follows:
K S i S 0 = t R , 0 t R , i .
This formula is called the acceleration coefficient of the accelerated stress S i on the reliable life under the normal stress S 0 . For the Arrhenius model, the acceleration coefficients of temperature T under accelerated conditions to normal temperature T 0 are as follows:
K T T 0 = exp E a k 1 T 1 T = exp b 1 T 1 T ,
where b = E a k , if the failure mechanism remains unchanged, the activation energy E a is constant, the form and parameters of the acceleration coefficient remain unchanged. According to Equation (11), it can be known that the parameter b will also remain constant.
Since there is a coupling relationship among multiple stresses, that is to say, there is an interaction between two stresses, and this interaction can promote the progress of the reaction, some parameters in the above formula can be expressed as the influence of stresses other than the principal stress on the principal stress. Meanwhile, if the failure mechanism remains unchanged, it can be known from the above proof that b k is always a constant. a k is related to the characteristics of the product. That is to say, when the product is under different stresses, some characteristics of the product will change with different stresses. Therefore, the interaction effect can be reflected through the influence of a k . That is, a k is regarded as the interaction effect term function and expressed as:
a k = w k · h k ( S S k , c k ) ,
where a k is the interaction effect term, S S k represents all stress variables except the kth principal stress, h k ( S S k , c k ) represents the expression form of the explicit function of the interaction effect. Both w k and c k are unknown parameters, among which the former is the coefficient of the interaction effect term and the latter is the coefficient of the explicit function term representing the interaction effect.
Although it is difficult to find a function that is completely suitable for all conditions in real life to represent the existing interactions, the models in exponential form, power function form, and logarithmic function form are flexible, and the power function can represent many commonly used functions to a certain extent (through methods such as Taylor expansion). Therefore, functions in exponential form, power-law form, and logarithmic function form will be adopted to represent the interaction terms in the research, which can be specifically expressed as [15]:
h k ( S S k , c k ) = p = 1 p k N S p c k · α · e c k p = 1 , p k N S p · β · c k ln p = 1 p k N S p 1 α β ,
where α = { 0 , 1 } , β = { 0 , 1 } , c k for k = 1 , 2 , , N are the explicit function term coefficients representing the interaction effect.
The selection of exponential functions, power functions and logarithmic functions can be based on the choice of physical mechanisms. For example, in chemical reactions, the synergistic effect of multiple stresses will cause the reaction rate to increase exponentially. In mechanical fatigue, the interaction between the load and the number of cycles conforms to the power function. It can also be selected based on the consistency of prior knowledge and the model. If the exponential model, power-law model or logarithmic model has already been used in the principal stress effect, then the interaction term can also be selected corresponding to the principal stress effect. Thus, the specific manifestation of stress and lifespan can be expressed as:
η ( S ) = k = 1 N a k · f k ( S k , b k ) = w k = 1 N f k ( S k , b k ) · h k ( S S k , c k ) = w k = 1 N f k ( S k , b k ) · p = 1 p k N S p c k · α · e c k p = 1 , p k N S p · β · c k ln p = 1 p k N S p 1 α β .
where f k ( S k , b k ) represents the kth principal stress effect term, and w represents the unknown parameter integrating all the interaction effects, which is a global normal number. In the formula, w , b 2 , , b N , c 1 , c 2 , , c N are unknown parameters.
If the logarithms of both sides are taken simultaneously, the core model MCAM of this paper can be obtained as follows:
ln η ( S ) = ln w + k = 1 N ln h k ( S S k , c k ) + k = 1 N ln f k ( S k , b k ) .
In particular, it is considered that lithium-ion batteries are simultaneously subjected to three accelerating stresses (N = 3) (temperature (T), voltage (V), and current (I)) in the accelerated test. According to Equation (14), the principal stress effect term is modeled respectively based on the failure physical mechanisms associated with each individual stress:
(1)
The temperature main effect employs the Arrhenius model, as it effectively captures the influence of thermally activated processes, such as solid electrolyte interphase (SEI) growth on battery lifetime.
(2)
The voltage principal effect adopts a power-law model, reflecting the nonlinear dependence of reaction rates on electric field strength under high-voltage operation.
(3)
The current main effect can represent the accelerating effect of the transmission limitation caused by high current on the cycle life, so the inverse power-law model is adopted.
For the interaction effect term, the selection of its functional form not only considers the structural consistency with the principal stress model, but more importantly, it matches the physical characteristics of the coupling failure mechanism:
(1)
For the interaction term of voltage and current, the exponential form exp exp ( c 1 · V · I ) is adopted. The physical mechanism lies in that when high voltage and large current coexist, it will significantly enhance the local Joule heat on the electrode surface, causing the internal temperature of the battery to rise non-uniformly. This thermal accumulation effect can further accelerate side reactions such as SEI growth, which have thermal activation characteristics, and their rates increase exponentially with temperature. Therefore, the interaction effect term using an exponential form can effectively capture this interaction.
(2)
For the interaction term of temperature and current, the power-law form ( T · I ) c 2 is adopted. This is because the combined effect of temperature and current can easily lead to an increase in both the probability and degree of SEI film damage. This failure mode belongs to transaction-limiting damage, and its accumulation degree is usually in a power-law relationship with the product of stress intensity. Furthermore, since the main effect of the current itself uses an inverse power-law model, maintaining the interaction term in a power-law form also helps to enhance the overall consistency of the model and the stability of parameter identification.
(3)
Similarly, the interaction term between temperature and voltage adopts the power-law form ( T · V ) c 3 . The mechanism stems from the fact that high temperature can reduce the stability of the SEI layer, while high voltage increases the negative electrode potential. The two work together to accelerate the growth of the SEI. The degradation rate of this process is nonlinearly correlated with the combined strength of T and V, and is closer to a power-law trend rather than a pure exponential growth. Therefore, the selection of the power-law form can reflect the characteristics of nonlinear coupling.
Thus, the corresponding models of stress and life in this situation are as follows:
η ( S ) = w · exp b 1 T · ( V ) b 2 · ( I ) b 3 · exp ( c 1 · V · I ) · ( T · I ) c 2 · ( T · V ) c 3 .
The following equation can be easily obtained from Equation (16):
ln η ( S ) = ln w b 1 T + b 2 · ln V b 3 · ln I + c 1 · V · I + c 2 · ( ln T + ln I ) + c 3 · ( ln T + ln V ) = ln w b 1 T + c 1 · V · I + ( b 2 + c 3 ) ln V + ( c 2 b 3 ) ln I + ( c 2 + c 3 ) ln T .

4. Parameter Estimation for MCAM

In the random truncation test, if there are n samples and they are divided into q groups, among n i samples, r i fail, and c i = n i r i are truncated. Then the failure times are t i 1 < t i 2 < < t i r i ( i = 1 , 2 , , q ) in sequence and the truncation times are τ i 1 < τ i 2 < < τ i c i ( i = 1 , 2 , , q ) in sequence. Thus, the log-likelihood function [23] under all stress combinations can be expressed as:
ln L = i = 1 q ln L i = i = 1 q ln l = 1 r i m · η i m · t i l m 1 · exp ( t i l m · η i m ) + i = 1 q ln v = 1 c i exp ( τ i v m · η i m ) = i = 1 q r i ln m r i m ln η i + ( m 1 ) l = 1 r i ln t i l η i m l = 1 r i t i l m + v = 1 c i τ i v m = i = 1 q [ r i ln m r i m ln w + k = 1 N ln ( h k ( S S k , c k ) ) + k = 1 N ln ( f k ( S k , b k ) ) + ( m 1 ) l = 1 r i ln t i l w k = 1 N h k ( S S k , c k ) · f k ( S k , b k ) m l = 1 r i t i l m + v = 1 c i τ i v m ] .
It can be seen from the above formula that there are too many parameters in the formula. If the traditional MLE estimation method is adopted, each parameter needs to be estimated, which is too complicated to calculate. Therefore, the gradient descent method will be used to solve for the parameters in the above formula. This method not only effectively reduces the computational complexity but also, compared with the traditional MLE, has better convergence stability in multi-stress scenarios.
Gradient descent is a function optimization algorithm in machine learning. It is an iterative optimization algorithm based on the first-order derivative, mainly used to find the minimum value of unconstrained problems. Its core idea is to continuously update parameters in the negative gradient direction of the objective function (the direction where the function value decreases the fastest) through iteration, gradually approaching the optimal solution [24].
The definition of gradient descent method is as follows: if there is an objective function f ( θ ) , where θ = [ θ 1 , θ 2 , , θ d ] T is a d-dimensional parameter vector, the iterative update formula of the gradient descent method is as follows:
θ t + 1 = θ t α t · f ( θ t ) ,
where θ t is the parameter value before the update, θ t + 1 is the parameter value after the update, f ( θ t ) = f θ 1 , f θ 2 , , f θ n T is the gradient of the objective function f ( θ ) at point θ t , α t > 0 is the learning rate (the step size of the iteration), which controls the amplitude of each update, and t is the number of iterations.
Gradient descent methods are mainly classified into three types based on the different sample sizes used [25]: batch gradient descent (using all sample data each time); Stochastic gradient descent (using only a single sample for calculation each time); Small-batch gradient descent (using a small batch of randomly selected sample data).
Since the gradient descent method is mainly used to find the minimum value of a certain function, and in this article, the gradient descent method is utilized to solve the maximum value of a log-likelihood function, therefore, when using this method, it is equivalent to solving the minimum value of a negative log-likelihood function.
Additionally, the distance taken in each step (the learning rate) is very important. If the steps taken are too large, it is easy to oscillate near the extreme point and fail to converge. If the steps taken are too small, it is easy to take too long to solve. Therefore, when using this method, α t needs to be set as a variable greater than 0 that continuously decreases with the number of iterations [26] (common initial values are 0.1, 0.3, 0.03, 0.01, etc.). Therefore, the entire flowchart of this article is shown in the Figure 1:

5. Simulation Study

This study verifies the performance of the proposed model and the accuracy of parameter estimation through simulation. For the simulation examples, three accelerating variables were assumed, namely temperature (T), voltage (V), and electric current (I). The stress setting method for temperature is the same as that in the reference, and the setting methods for voltage and electric current correspond to the temperature values in the actual examples, taking 3.9 V, 4.2 V, and 1 A, 1.5 A, and 2 A, respectively. A total of q = 6 groups of stress combinations are set. Under normal circumstances, the three stresses are (5 °C, 3.6 V, 0.8 A).
At each stress level, the number of test samples was set to n i = 25 , and the test was stopped only when all the samples failed. Thus, according to Equations (15) and (16), the model expression considering the interaction under the simulation situation can be obtained as:
ln L = ln m i = 1 q n i + ( m 1 ) i = 1 q l = 1 n i ln t i l m i = 1 q n i ln w b 1 T + b 2 · ln V b 3 · ln I + c 1 · V · I + c 2 · ln ( T · I ) + c 3 · ln ( T · V ) i = 1 q ln w b 1 T + b 2 · ln V b 3 · ln I + c 1 · V · I + c 2 · ln ( T · I ) + c 3 · ln ( T · V ) m l = 1 n i t i l m .
The accelerated model that only considers the main effect without considering the interaction is as follows:
ln L = ln m i = 1 q n i + ( m 1 ) i = 1 q l = 1 n i ln t i l m i = 1 q n i ln w b 1 T + b 2 · ln V b 3 · ln I i = 1 q ln w b 1 T + b 2 · ln V b 3 · ln I m l = 1 n i t i l m .
Meanwhile, the level table of the applied stress for this accelerated life test is shown in the following Table 1:
Conduct tail-cutting tests on the above-mentioned simulated products until all the products fail. The specific parameters set by the proposed nodel are as follows:
{ w , b 1 , b 2 , b 3 , c 1 , c 2 , c 3 , m } = { 5000 , 0.2 , 0.3 , 0.4 , 0.1 , 0.2 , 0.3 , 1.5 }
Therefore, the parameter estimates obtained by the reduced-form MCAM with interaction and the model without considering coupling are shown in Table 2, respectively:
It can be easily seen from the above table that the estimation errors of all parameters of the model considering the interaction are less than 0.1% (the maximum error is 0.0626%), and the difference between the estimated values and the true values is also very small. However, the errors of ignoring the interaction model are generally within the range of 0.1–2.5% (up to 2.22% at most), and the errors of the obtained estimated values are relatively larger compared to those of the model considering interaction.

6. Numerical Examples

In this section, the validity of the model proposed will be verified based on an example. The data used is from the NASA lithium-ion battery dataset. Nowadays, the state assessment and stable operation of energy storage batteries have gradually become hot issues. Sadiqa Jafari et al. proposed an innovative method and combined it with machine learning technology to create a hybrid model, thereby improving the accuracy and reliability of battery analysis, and ultimately estimating the remaining capacity and remaining service life of lithium-ion batteries [27].
In the case study, temperature (T), voltage (V), and electric current (I) were also selected as accelerating stresses, and the stress combinations are shown in Table 1. For these six groups of data, it is necessary to study the distribution of this group of life data first. Scatter plots, A-D statistics, and K-S statistics are mainly used in this study to verify whether the Weibull distribution is followed by these six groups of life data.
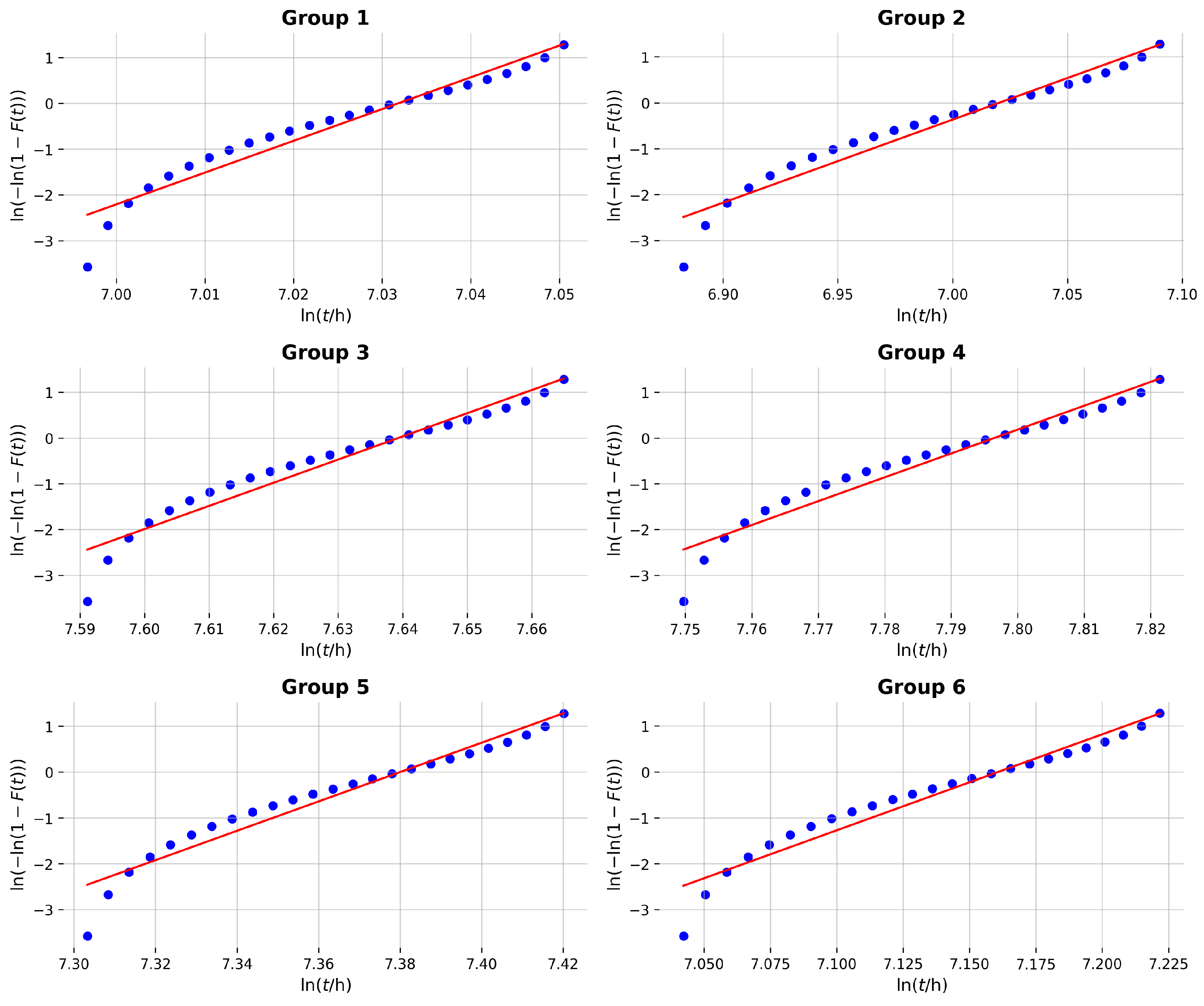
First, for each group of data, establish a scatter plot with ln t as the horizontal axis and ln ln ( 1 F ( t ) ) as the vertical axis. The images obtained from the six groups of data are shown in the following Figure 2:
It can be seen from the above image that the data points of each group roughly fall on a straight line, which indicates that the data has a good fit with the assumed Weibull distribution. Therefore, it can be considered from the image that all six groups of data come from the Weibull distribution.
Additionally, A-D tests and K-S tests were conducted on these six sets of data separately, with the test results shown in Table 3 below:
According to the above table, the p-values of both the A-D tests and K-S tests are greater than 0.05. Therefore, these six groups of data can be considered as coming from a Weibull distribution and can be used for reliability assessment using the proposed model.
The capacity degradation of lithium-ion batteries is primarily attributed to two mechanisms: (i) the continuous growth of the solid electrolyte interphase (SEI) layer, and (ii) lithium plating. Among them, the SEI continuously grows along with the normal operation of the battery, meaning that SEI growth occurs gradually throughout the battery’s lifespan, which is also the main reason for the degradation of battery capacity. However, lithium electroplating usually only occurs in extreme environments, such as high current (>1.5C(C-rate)), low temperature (<0 °C), and high charging voltage (>4.3 V), and the appearance of lithium electroplating is often accompanied by the decomposition of the electrolyte and the formation of dendrites [28,29].
On the one hand, the stress applied in this study (temperature (25–50 °C), charging voltage (3.9–4.2 V), and current (1–2 A, corresponding to approximately 0.6C–1.2C for an 1.7 Ah cell)) is significantly higher than that in the normal usage environment. On the other hand, the test is still within the range where side reactions are effectively suppressed and has not entered the extreme area characterized by the coexistence of multiple failure mechanisms. Within this stress range, usually only the growth of the SEI film is the main mechanism leading to capacity attenuation, while side reactions such as lithium plating, electrolyte decomposition and dendrite formation are effectively suppressed. Therefore, the failure mode of the battery presents a consistent wear failure feature, and it is reasonable to regard the Weibull shape parameter m as a constant.
Substituting these six sets of data into the model, the estimated value results of each unknown parameter can be obtained as shown in the following Table 4:
Thus, the MCAM of the lithium-ion battery can be expressed as:
ln η ( S ) = ln 6356.1017 + 2.0602 T 0.1348 V · I + 0.6030 ln V + 1.4565 ln I 0.8098 ln T .
Thus, the life characteristics under normal stress (5 °C, 3.6V, 0.8A) can be obtained as follows:
ln η ( S 0 ) = 8.7572 .
The reliability of the Weibull distribution is given by:
R ( t ) = exp t η m .
So the reliability under normal stress is as follows:
R ( t ) = exp t 6356.1017 17.2414 .
Thus, the reliability of a lithium-ion battery at a certain time point can be inferred through its reliability function under normal stress conditions. Similarly, the remaining reliability indicators can also be obtained through reliability. For instance, when t equals 6356.1017, the reliability R ( t ) is approximately 0.3679, and the average absolute relative error of this model is only 4.44%.
To test the fitting accuracy of the model, the mean absolute relative error (MARE), normalized root mean square error (NRMSE), R 2 , confidence interval and residual analysis were mainly adopted for the research. Among them, MARE and NRMSE are both dimensionless metrics that can measure the deviation between the predicted value and the true value. They are often used to evaluate the prediction accuracy of the model on data of different scales, and R 2 can be used to reflect the fitting effect of the model. The prediction results are shown in the Table 5:
It can be seen that MARE = 4.4% means that the average absolute relative deviation between the predicted value of the model and the actual lifespan value is only 4.4%, and NRMSE = 6.10% indicates that the error of the model’s prediction accounts for 6.1% of the average real lifespan. Moreover, the R 2 of the model is 0.9735, which is close to 1, both indicating that the fitting accuracy of this model is relatively high.
The confidence interval graph obtained is shown in the Figure 3, it illustrates the comparison results between the predicted lifespan and the actual lifespan of the model under each stress combination, and marks the 95% prediction confidence interval. The predicted values are basically distributed around the ideal line y = x, indicating that the model has good fitting ability. Furthermore, the width of the confidence interval slightly expands with the increase of lifespan, reflecting the inherent uncertainty in lifespan prediction. Overall, the established accelerated life model has a relatively high prediction accuracy.
Finally, the normality test and homogeneity of variance test of the residuals were conducted on the model proposed in this paper, and the results are shown in Table 6.
According to Table 6, it can be seen that the p-values of both the S-W test and the Levene test are much greater than 0.05, indicating the assumption that the residuals follow a normal distribution and are homogeneous of variance. This also verifies that the MCAM has a good predictive effect.

7. Conclusions

This study proposes a reduced-form MCAM considering interaction to address the reliability assessment of high-reliability and long-life products like lithium-ion batteries in complex stress environments. The main conclusions obtained are as follows:
  • The scale parameter (characteristic lifetime) of the Weibull distribution is regarded as a comprehensive representation of stress acceleration effects, establishing a functional relationship between this parameter and stress levels to formulate the modeling framework, and finally, the MCAM is established.
  • The constructed model reduces the complexity of the model compared with the traditional model. This model compresses the “exponential complexity ( 2 n parameters)” into the “linear complexity (N parameters)”, so it does not experience an exponential increase in model complexity due to the increase in stress variables, making it more suitable for multi-stress scenarios where the number of stresses N > 3 . Lithium-ion batteries are typically subjected to prolonged exposure to multiple concurrent stressors (such as electrical, thermal, and mechanical loads), which significantly influence their degradation behavior. Considering this sensitivity to the coupled stress environment, the proposed reliability modeling framework is particularly well-suited for the accurate reliability assessment and prediction of lithium-ion batteries.
  • The MLE method for multi-stress accelerated life tests under random truncation was proposed. The parameters of the model were solved by using the gradient descent algorithm. Finally, the validity of the proposed model is rigorously verified through a simulation study, and the model is further leveraged to evaluate the reliability metrics of lithium-ion batteries under normal operational stress conditions.
In addition to the above content, this work carries significant implications for sustainability. Accurate and efficient reliability prediction of lithium-ion batteries enables optimized battery design, extended service life, and informed end-of-life management. This is a key factor in reducing premature battery disposal and mitigating the environmental impacts associated with battery production and waste. By minimizing the need for extensive physical testing, the MCAM also contributes to substantial savings in material, energy, and time resources during product development. Against the backdrop of the global clean energy transition, reliable and durable energy storage systems are essential for the effective integration of renewable energy sources and advancing the development of sustainable energy infrastructure. Thus, the proposed model not only advances reliability engineering methodology but also supports the development of more sustainable, resource-efficient, and environmentally responsible battery technologies.
It should be noted that the model established in this study only focuses on the constant stress accelerated life test (CSALT) of the Weibull distribution. However, in some complex systems, the samples may not necessarily follow this distribution. Therefore, different distribution characteristics should be adopted under specific failure modes. Furthermore, this paper assumes that the stress parameters such as temperature, voltage and current in each group of experiments remain constant. However, in real life, these stresses are often dynamic and time-varying. To address this limitation, the model can be extended to dynamic stress scenarios to describe the cumulative effect of historical stress on lifespan. Finally, although the proposed model takes into account the form of empirical models such as Arrhenius during the construction process, the parameters are still fitted through a data-driven approach. Therefore, it can be considered to introduce physical information to construct a multi-stress accelerated model that is both highly accurate and interpretable in the future.

Author Contributions

Conceptualization, J.T.; Methodology, J.T.; Software, J.X.; Validation, J.X.; Formal analysis, Y.M.; Investigation, J.T., J.X. and Y.M.; Resources, J.T. and Y.M.; Data curation, J.X.; Writing—original draft, J.X.; Writing—review and editing, J.T. and J.X.; Supervision, J.T.; Project administration, J.T.; Funding acquisition, J.T. All authors have read and agreed to the published version of the manuscript.

Funding

This work was supported by National Social Science Fund of China (Grant No. 23BTJ010) and Humanistic social research planning fund of the education ministry of China (No. 20XJAZH009).

Data Availability Statement

All data supporting the results of this study can be provided at the reasonable request of the corresponding author.

Acknowledgments

The authors express their sincere thanks to the anonymous referees for their insightful comments and constructive suggestions, which have led to a substantial improvement for this paper. We would also like to thank the Editor-in-Chief for all his efforts handling the paper.

Conflicts of Interest

Yamin Mao was employed by CETC Rong Wei Electronic Technology Co., Ltd. The remaining authors declare that the research was conducted in the absence of any commercial or financial relationships that could be construed as a potential conflict of interest.

Abbreviations

Acronym/NotationDescription
ALTAccelerated life test
ADTAccelerated degradation test
CSTConstant-stress testing
SSTStep-up-stress testing
PSTProgressive stress testing
MLEMaximum likelihood estimation
SEI Solid electrolyte interphase
NNumber of stress variables
S The combination of N stress types, S = ( S 1 , S 2 , , S N )
S j The jth stress type, j = 1 , 2 , N
qNumber of accelerated stress levels
X i The ith combination of accelerated stress levels, i = 1 , 2 , q
nTotal sample size
n i The sample size at the ith accelerated stress level
r i Number of sample failures at the ith accelerated stress level
c i Number of sample truncations at the ith accelerated stress level
t i l The lth failure time at the ith accelerated stress level, l = 1 , 2 , , r i
τ i v The vth truncation time at the ith accelerated stress level, v = 1 , 2 , , c i
η ( S ) Scale parameter
a k Interaction effect term
S S k All stress variables except the kth principal stress
h k ( S S k , c k ) The explicit function form of the interaction effect
b k Unknown parameters, which are related to the activation energy or failure mechanism, k = 1 , 2 , N
c k Unknown parameters, the coefficient of the explicit function term representing the interaction effect, k = 1 , 2 , N
mAn unknown parameter, which is the shape parameter of the Weibull distribution
f k ( S k , b k ) The kth principal stress effect term
wIntegrate all the unknown parameters of the interaction effects

References

  1. Lin, K.; Chen, Y.; Xu, D. Reliability assessment model considering heterogeneous population in a multiple stresses accelerated test. Reliab. Eng. Syst. Saf. 2017, 165, 134–143. [Google Scholar] [CrossRef]
  2. Zhu, Z.; Cai, F.; Yu, J. Improvement of electrochemical performance for AlF3-coated Li1.3Mn4/6Ni1/6Co1/6O2.40 cathode materials for Li-ion batteries. Ionics 2016, 22, 1353–1359. [Google Scholar] [CrossRef]
  3. Zhang, G.; Zhu, J.; Dai, H.; Wei, X. Multi-level intelligence empowering lithium-ion batteries. J. Energy Chem. 2024, 97, 535–552. [Google Scholar] [CrossRef]
  4. Zhang, M.; Fu, J.; Xu, N.; Meng, L. A dual-modification strategy for both the Quinone-based cathode and Zn anode electrodes of the aqueous zinc-ion battery. Chem. Eng. J. 2025, 511, 161944. [Google Scholar] [CrossRef]
  5. He, Y.; Zeng, Q.; Tang, L.; Liu, F.; Li, Q.; Yin, Y.; Xu, S.; Deng, B. State of health estimation of lithium-ion battery based on full life cycle acoustic emission signals. J. Energy Storage 2025, 139, 118725. [Google Scholar] [CrossRef]
  6. Zhang, Y.; Wang, H.; Ma, X.; Wang, Y. A novel mixed-effect model for multi-stress accelerated life test evaluation. In Proceedings of the 12th International Conference on Quality, Reliability, Risk, Maintenance, and Safety Engineering (QR2MSE), Emeishan, China, 27–30 July 2022; pp. 2085–2091. [Google Scholar]
  7. Li, Z.; Lu, L.; Ouyang, M.; Xiao, Y. Modeling the capacity degradation of LiFePO4/graphite batteries based on stress coupling analysis. J. Power Sources 2011, 196, 9757–9766. [Google Scholar] [CrossRef]
  8. Wang, X.; Shen, J. Reliability Analysis of Multi-Stress Accelerated Life Test Based on BP Neural Network. In Proceedings of the 5th International Conference on Business Intelligence and Financial Engineering (BIFE), Lanzhou, China, 18–21 August 2012; pp. 6–9. [Google Scholar]
  9. Zhang, X.; Yang, J.; Kong, X. A new statistical inference method for multi-stress accelerated life testing based on random variable transformation. Appl. Math. Model. 2021, 100, 379–393. [Google Scholar] [CrossRef]
  10. He, X.; Yang, X.; Zhou, R.; Chen, K.; Liu, Z.; Yue, Z. Research on gear life reliability analysis based on accelerated life test. Mater. Werkst. 2024, 55, 839–850. [Google Scholar] [CrossRef]
  11. Limon, S.; Rezaei, E.; Yadav, O.P. Designing an accelerated degradation test plan considering the gamma degradation process with multi-stress factors and interaction effects. Qual. Technol. Quant. Manag. 2020, 17, 544–560. [Google Scholar] [CrossRef]
  12. Tian, R.; Zhang, F.; Du, H.; Wang, P. Optimization design method for multi-stress accelerated degradation test based on Tweedie exponential dispersion process. Appl. Math. Model. 2024, 135, 684–707. [Google Scholar] [CrossRef]
  13. Li, C.; Cheng, J.; Zhu, H.; Wen, B.; Zhao, X.; Kang, W. Degradation modeling and remaining useful life prediction for electronic device under multiple stress influences. Sci. Rep. 2025, 15, 19117. [Google Scholar] [CrossRef]
  14. Liu, Y.; Wang, Y.; Fan, Z.; Bai, G.; Chen, X. Reliability modeling and a statistical inference method of accelerated degradation testing with multiple stresses and dependent competing failure processes. Reliab. Eng. Syst. Saf. 2021, 213, 107648. [Google Scholar] [CrossRef]
  15. Ye, X.; Hu, Y.; Zheng, B.; Chen, C.; Zhai, G. A new class of multi-stress acceleration models with interaction effects and its extension to accelerated degradation modelling. Reliab. Eng. Syst. Saf. 2022, 228, 108815. [Google Scholar] [CrossRef]
  16. Wang, Y.; Hu, J.; Zhang, S.; Chen, X. Cyclic stress accelerated life test method for mechatronic products. Qual. Reliab. Eng. Int. 2024, 40, 1672–1684. [Google Scholar] [CrossRef]
  17. Yang, X.; Xie, L.; Wang, B.; Chen, J.; Zhao, B. Inference on the high-reliability lifetime estimation based on the three-parameter Weibull distribution. Probabilistic Eng. Mech. 2024, 77, 103665. [Google Scholar] [CrossRef]
  18. Feng, X.; Tang, J. Reliability Assessment for Dual Constant-Stress Accelerated Life Test Based on Weibull Distribution with Type-II Censoring. Qual. Reliab. Eng. Int. 2025, 41, 1025–1040. [Google Scholar] [CrossRef]
  19. Zhou, S.; Tang, Y.; Xu, A. A generalized Wiener process with dependent degradation rate and volatility and time-varying mean-to-variance ratio. Reliab. Eng. Syst. Saf. 2021, 216, 107895. [Google Scholar] [CrossRef]
  20. Li, J.; Tian, Y.; Wang, D. Change-point detection of failure mechanism for electronic devices based on Arrhenius model. Appl. Math. Model. 2020, 83, 46–58. [Google Scholar] [CrossRef]
  21. Sindhu, T.N.; Atangana, A. Reliability analysis incorporating exponentiated inverse Weibull distribution and inverse power law. Qual. Reliab. Eng. Int. 2021, 37, 2399–2422. [Google Scholar] [CrossRef]
  22. Park, C.; Padgett, W.J. Stochastic degradation models with several accelerating variables. IEEE Trans. Reliab. 2006, 55, 379–390. [Google Scholar] [CrossRef]
  23. Liu, Y.; Wang, Y.; Fan, Z.; Chen, X.; Zhang, C.; Tan, Y. A new universal multi-stress acceleration model and multi-parameter estimation method based on particle swarm optimization. Proc. Inst. Mech. Eng. Part O J. Risk Reliab. 2020, 234, 764–778. [Google Scholar] [CrossRef]
  24. Fliege, J.; Vaz, A.I.F.; Vicente, L.N. Complexity of gradient descent for multiobjective optimization. Optim. Methods Softw. 2019, 34, 949–959. [Google Scholar] [CrossRef]
  25. Sankar Ganesh, S.; Arulmozhivarman, P.; Tatavarti, R. Forecasting air quality index using an ensemble of artificial neural networks and regression models. J. Intell. Syst. 2019, 28, 893–903. [Google Scholar] [CrossRef]
  26. Gu, R.; Fu, Z.; Han, B.; Fu, H. Stochastic gradient descent method with convex penalty for ill-posed problems in Banach spaces. Inverse Probl. 2025, 41, 055003. [Google Scholar] [CrossRef]
  27. Jafari, S.; Byun, Y.C.; Ko, S. A novel approach for predicting remaining useful life and capacity fade in lithium-ion batteries using hybrid machine learning. IEEE Access 2023, 11, 131950–131963. [Google Scholar] [CrossRef]
  28. Yang, S.; Hua, Y.; Qiao, D.; Lian, Y.-b.; Pan, Y.-w.; He, Y.-l. A coupled electrochemical-thermal-mechanical degradation modelling approach for lifetime assessment of lithium-ion batteries. Electrochim. Acta 2019, 326, 134928. [Google Scholar] [CrossRef]
  29. Yang, X.G.; Leng, Y.; Zhang, G.; Ge, S.; Wang, C.-Y. Modeling of lithium plating induced aging of lithium-ion batteries: Transition from linear to nonlinear aging. J. Power Sources 2017, 360, 28–40. [Google Scholar] [CrossRef]
Figure 1. Flowchart of the gradient descent method.
Figure 1. Flowchart of the gradient descent method.
Sustainability 18 00377 g001
Figure 2. The goodness of fit of the Weibull distribution. (The blue dots represent the observed data, and the red line represents the degree of Weibull linear fitting).
Figure 2. The goodness of fit of the Weibull distribution. (The blue dots represent the observed data, and the red line represents the degree of Weibull linear fitting).
Sustainability 18 00377 g002
Figure 3. The confidence interval for the predicted lifespan of lithium-ion batteries.
Figure 3. The confidence interval for the predicted lifespan of lithium-ion batteries.
Sustainability 18 00377 g003
Table 1. The stress combination for the three-stress ALT.
Table 1. The stress combination for the three-stress ALT.
Test Stress
Combination
Stress Types and Their CombinationsThe Number of
Test Samples
Temperature (Celsius) Voltage (Volt) Electric Current (Ampere)
150.03.91.025
250.03.92.025
325.03.91.525
425.04.21.025
537.54.21.525
637.54.22.025
Table 2. Comparison of the estimated values between models considering interaction and those not considering interaction.
Table 2. Comparison of the estimated values between models considering interaction and those not considering interaction.
ParametersTrue ValueThe Reduced-Form MCAM
with Interaction
The Model That Does
Not Consider Interaction
Estimated Value Error Estimated Value Error
w50005000.163069170.003261%4999.999040.10%
b 1 0.20.199874890.062556%0.2044462.22%
b 2 0.30.300092400.030801%0.3004770.16%
b 3 0.40.399981510.004623%0.4061031.53%
c 1 0.10.099947730.052272%--
c 2 0.20.200104900.052450%--
c 3 0.30.299929570.023478%--
m1.51.499859150.009390%1.5043250.29%
Table 3. The results of the test statistics.
Table 3. The results of the test statistics.
Test Stress CombinationThe p-Value of the AD Test StatisticThe p-Value of the KS Test Statistic
10.8710.965
20.8970.974
30.8760.966
40.8880.976
50.8830.969
60.8920.972
Table 4. Parameter estimation result.
Table 4. Parameter estimation result.
Parametersw b 1 b 2 b 3 c 1 c 2 c 3 m
Estimated value6356.1017−2.06021.4588−1.4105−0.13480.0460−0.855817.2414
Table 5. Performance indicators of the MCAM.
Table 5. Performance indicators of the MCAM.
Performance IndicatorsThe Values of Performance Indicators
Mean Absolute Relative Error (MARE)4.4%
Normalized Root Mean Square Error (NRMSE)6.10%
Coefficient of Determination ( R 2 )0.9735
Table 6. Normality and homogeneity of variance tests for residuals.
Table 6. Normality and homogeneity of variance tests for residuals.
Shapiro–Wilk Test for NormalityLevene’s Test for Homoscedasticity
p value = 0.9203p value = 0.9686
Disclaimer/Publisher’s Note: The statements, opinions and data contained in all publications are solely those of the individual author(s) and contributor(s) and not of MDPI and/or the editor(s). MDPI and/or the editor(s) disclaim responsibility for any injury to people or property resulting from any ideas, methods, instructions or products referred to in the content.

Share and Cite

MDPI and ACS Style

Tang, J.; Xu, J.; Mao, Y. Research on the Reliability of Lithium-Ion Battery Systems for Sustainable Development: Life Prediction and Reliability Evaluation Methods Under Multi-Stress Synergy. Sustainability 2026, 18, 377. https://doi.org/10.3390/su18010377

AMA Style

Tang J, Xu J, Mao Y. Research on the Reliability of Lithium-Ion Battery Systems for Sustainable Development: Life Prediction and Reliability Evaluation Methods Under Multi-Stress Synergy. Sustainability. 2026; 18(1):377. https://doi.org/10.3390/su18010377

Chicago/Turabian Style

Tang, Jiayin, Jianglin Xu, and Yamin Mao. 2026. "Research on the Reliability of Lithium-Ion Battery Systems for Sustainable Development: Life Prediction and Reliability Evaluation Methods Under Multi-Stress Synergy" Sustainability 18, no. 1: 377. https://doi.org/10.3390/su18010377

APA Style

Tang, J., Xu, J., & Mao, Y. (2026). Research on the Reliability of Lithium-Ion Battery Systems for Sustainable Development: Life Prediction and Reliability Evaluation Methods Under Multi-Stress Synergy. Sustainability, 18(1), 377. https://doi.org/10.3390/su18010377

Note that from the first issue of 2016, this journal uses article numbers instead of page numbers. See further details here.

Article Metrics

Back to TopTop