Sign in to use this feature.

Years

Between: -

Subjects

remove_circle_outline
remove_circle_outline
remove_circle_outline
remove_circle_outline
remove_circle_outline
remove_circle_outline
remove_circle_outline
remove_circle_outline
remove_circle_outline

Journals

remove_circle_outline
remove_circle_outline
remove_circle_outline
remove_circle_outline
remove_circle_outline
remove_circle_outline
remove_circle_outline
remove_circle_outline

Article Types

Countries / Regions

remove_circle_outline
remove_circle_outline
remove_circle_outline
remove_circle_outline
remove_circle_outline
remove_circle_outline

Search Results (1,367)

Search Parameters:
Keywords = land and boundaries

Order results
Result details
Results per page
Select all
Export citation of selected articles as:
18 pages, 3342 KB  
Article
DFGNet: A CropLand Change Detection Network Combining Deformable Convolution and Grouped Residual Self-Attention
by Xiangxi Feng and Xiaofang Liu
Appl. Sci. 2025, 15(24), 13133; https://doi.org/10.3390/app152413133 - 14 Dec 2025
Abstract
To address the challenges of limited multi-scale feature alignment, excessive feature redundancy, and blurred change boundaries in arable land change detection, this paper proposes an improved model based on the Feature Pyramid Network (FPN). Building upon FPN as the foundational framework, a deformable [...] Read more.
To address the challenges of limited multi-scale feature alignment, excessive feature redundancy, and blurred change boundaries in arable land change detection, this paper proposes an improved model based on the Feature Pyramid Network (FPN). Building upon FPN as the foundational framework, a deformable convolutional network is incorporated into the upsampling path to enhance geometric feature extraction for irregular change regions. Subsequently, the multi-scale feature maps generated by the FPN are processed by a Dynamic Low-Rank Fusion (DLRF) module, which integrates a Grouped Residual Self-Attention mechanism. This mechanism suppresses feature redundancy through low-rank decomposition and performs dynamic, adaptive, cross-scale feature fusion via attention weighting, ultimately producing a binary map of arable land changes. Experiments on public datasets demonstrate that the proposed method outperforms both the original FPN and other mainstream models in key metrics such as mIoU and F1-score, while generating clearer change maps. These results validate the effectiveness of incorporating deformable convolutions and the dynamic low-rank fusion strategy within the FPN framework, providing an effective approach that achieves an mIoU of 57.57% and a change detection F1-score of 72.42% for cultivated land identification. Full article
28 pages, 15158 KB  
Article
Towards Near-Real-Time Estimation of Live Fuel Moisture Content from Sentinel-2 for Fire Management in Northern Thailand
by Chakrit Chotamonsak, Duangnapha Lapyai and Punnathorn Thanadolmethaphorn
Fire 2025, 8(12), 475; https://doi.org/10.3390/fire8120475 - 11 Dec 2025
Viewed by 127
Abstract
Wildfires are a recurring dry-season hazard in northern Thailand, contributing to severe air pollution and trans-boundary haze. However, the region lacks the ground-based measurements necessary for monitoring Live Fuel Moisture Content (LFMC), a key variable influencing vegetation flammability. This study presents a preliminary [...] Read more.
Wildfires are a recurring dry-season hazard in northern Thailand, contributing to severe air pollution and trans-boundary haze. However, the region lacks the ground-based measurements necessary for monitoring Live Fuel Moisture Content (LFMC), a key variable influencing vegetation flammability. This study presents a preliminary framework for near-real-time (NRT) LFMC estimation using Sentinel-2 multispectral imagery. The system integrates normalized vegetation and moisture-related indices, including the Normalized Difference Vegetation Index (NDVI), the Normalized Difference Infrared Index (NDII), and the Moisture Stress Index (MSI) with an NDVI-derived evapotranspiration fraction (ETf) within a heuristic modeling approach. The workflow includes cloud and shadow masking, weekly to biweekly compositing, and pixel-wise normalization to address the persistent cloud cover and heterogeneous land surfaces. Although currently unvalidated, the LFMC estimates capture the relative spatial and temporal variations in vegetation moisture across northern Thailand during the 2024 dry season (January–April). Evergreen forests maintained higher moisture levels, whereas deciduous forests and agricultural landscapes exhibited pronounced drying from January to March. Short-lag responses to rainfall suggest modest moisture recovery following precipitation, although the relationship is influenced by additional climatic and ecological factors not represented in the heuristic model. LFMC-derived moisture classes reflect broad seasonal dryness patterns but should not be interpreted as direct fire danger indicators. This study demonstrates the feasibility of generating regional LFMC indicators in a data-scarce tropical environment and outlines a clear pathway for future calibration and validation, including field sampling, statistical optimization, and benchmarking against global LFMC products. Until validated, the proposed NRT LFMC estimation product should be used to assess relative vegetation dryness and to support the refinement and development of future operational fire management tools, including early warnings, burn-permit regulation, and resource allocation. Full article
(This article belongs to the Section Fire Science Models, Remote Sensing, and Data)
16 pages, 4888 KB  
Article
PGSUNet: A Phenology-Guided Deep Network for Tea Plantation Extraction from High-Resolution Remote Sensing Imagery
by Xiaoyong Zhang, Bochen Jiang and Hongrui Sun
Appl. Sci. 2025, 15(24), 13062; https://doi.org/10.3390/app152413062 - 11 Dec 2025
Viewed by 114
Abstract
Tea, recognized as one of the world’s three principal beverages, plays a significant role both economically and culturally. The accurate, large-scale mapping of tea plantations is crucial for quality control, industry regulation, and ecological assessments. Challenges arise in high-resolution imagery due to the [...] Read more.
Tea, recognized as one of the world’s three principal beverages, plays a significant role both economically and culturally. The accurate, large-scale mapping of tea plantations is crucial for quality control, industry regulation, and ecological assessments. Challenges arise in high-resolution imagery due to the spectral similarities with other land covers and the intricate nature of their boundaries. We introduce a Phenology-Guided SwinUnet (PGSUNet), a semantic segmentation network that amalgamates Swin Transformer encoding with a parallel phenology context branch. An intelligent fusion module within this network generates spatial attention informed by phenological priors, while a dual-head decoder enhances the precision through explicit edge supervision. Using Hangzhou City as the case study, PGSUNet was compared with seven mainstream models, including DeepLabV3+ and SegFormer. It achieved an F1-score of 0.84, outperforming the second-best model by 0.03, and obtained an mIoU of 84.53%, about 2% higher than the next-best result. This study demonstrates that the integration of phenological priors with edge supervision significantly improves the fine-scale extraction of agricultural land covers from complex remote sensing imagery. Full article
(This article belongs to the Section Agricultural Science and Technology)
Show Figures

Figure 1

10 pages, 4187 KB  
Data Descriptor
Early-Season Field Reference Dataset of Croplands in a Consolidated Agricultural Frontier in the Brazilian Cerrado
by Ana Larissa Ribeiro de Freitas, Fábio Furlan Gama, Ivo Augusto Lopes Magalhães and Edson Eyji Sano
Data 2025, 10(12), 204; https://doi.org/10.3390/data10120204 - 10 Dec 2025
Viewed by 252
Abstract
This dataset presents field observations collected in the municipality of Goiatuba, Goiás State, Brazil, a consolidated and representative agricultural frontier of the Brazilian Cerrado biome. The region presents diverse land use dynamics, including annual cropping systems, irrigated fields with up to three harvests [...] Read more.
This dataset presents field observations collected in the municipality of Goiatuba, Goiás State, Brazil, a consolidated and representative agricultural frontier of the Brazilian Cerrado biome. The region presents diverse land use dynamics, including annual cropping systems, irrigated fields with up to three harvests per year, and pasturelands. We conducted a field campaign from 3 to 7 November 2025, corresponding to the beginning of the 2025/2026 Brazilian crop season, when crops were at distinct early phenological stages. To ensure representativeness, we delineated 117 reference fields prior to the field campaign, and an additional 463 plots were surveyed during work. Geographic coordinates, crop types, and photographic records were obtained using the GPX Viewer application, a handheld GPS receiver, and the QField 3.7.9 mobile GIS application running on a tablet uploaded with Sentinel-2 true-color imagery and the municipal road network. Plot boundaries were subsequently digitized in QGIS Desktop 3.34.1 software, following a conservative mapping strategy to minimize edge effects and internal heterogeneity associated with trees and water catchment basins. In total, more than 26,000 hectares of agricultural fields were mapped, along with additional land use and land cover polygons representing water bodies, urban areas, and natural vegetation fragments. All reference fields were labeled based on in situ observations and linked to Sentinel-2 mosaics downloaded via the Google Earth Engine platform. This dataset is well-suited for training, testing, and validation of remote sensing classifiers, benchmarking studies, and agricultural mapping initiatives focused on the beginning of the agricultural season in the Brazilian Cerrado. Full article
(This article belongs to the Special Issue New Progress in Big Earth Data)
Show Figures

Figure 1

29 pages, 5754 KB  
Article
Effect of Primary Cutting Edge Geometry on the End Milling of EN AW-7075 Aluminum Alloy
by Łukasz Żyłka, Rafał Flejszar and Luis Norberto López de Lacalle
Appl. Sci. 2025, 15(24), 12962; https://doi.org/10.3390/app152412962 - 9 Dec 2025
Viewed by 116
Abstract
This study investigates vibration signals generated during end milling of thin-walled EN AW-7075 aluminum alloy components using a set of 24 tools with distinct cutting edge microgeometries. Five characteristic parameters describing the dynamic response of the process, including both energy-related and statistical indicators, [...] Read more.
This study investigates vibration signals generated during end milling of thin-walled EN AW-7075 aluminum alloy components using a set of 24 tools with distinct cutting edge microgeometries. Five characteristic parameters describing the dynamic response of the process, including both energy-related and statistical indicators, were extracted and analyzed. The results clearly demonstrate the critical influence of tool microgeometry on process dynamics. In particular, the introduction of an additional zero-clearance flank land at the cutting edge proved decisive in suppressing vibrations. For the most favorable geometries, the root mean square (RMS) value of vibration was reduced by more than 50%, while the spectral power density (PSD) decreased by up to 70–75% compared with the least favorable configurations. Simultaneously, both time- and frequency-domain responses exhibited complex and irregular patterns, highlighting the limitations of intuitive interpretation and the need for multi-parameter evaluation. To enable a synthetic comparison of tools, the Vibration Severity Index (VSI), which integrates RMS and kurtosis into a single composite metric, was introduced. VSI-based ranking allowed the clear identification of the most dynamically stable geometry. For the selected tool, additional analysis was conducted to evaluate the influence of cutting parameters, namely feed per tooth and radial depth of cut. The results showed that the most favorable dynamic behavior was achieved at a feed of 0.08 mm/tooth and a radial depth of cut of 1.0 mm, whereas boundary conditions resulted in higher kurtosis and a more impulsive signal structure. Overall, the findings confirm that properly engineered cutting-edge microgeometry, especially the formation of additional zero-clearance flank land significantly enhances the dynamic of thin-wall milling, demonstrating its potential as an effective strategy for vibration suppression and process optimization in precision machining of lightweight structural materials. Full article
(This article belongs to the Special Issue Advances in Precision Machining Technology)
Show Figures

Figure 1

29 pages, 1450 KB  
Article
Resilient and Sustainable Restaurant Supply Chain Operations Considering Multi-Brand Strategies
by Sangjoon Lee, Byeongmo Kang and Seung Ho Yoo
Systems 2025, 13(12), 1101; https://doi.org/10.3390/systems13121101 - 5 Dec 2025
Viewed by 276
Abstract
This study analyzes the performance and strategic implications of multi-brand kitchen restaurants from a supply chain perspective. Multi-brand kitchens are increasingly adopted in franchise systems as they enhance resilience by pooling demand risks and enabling substitution across brands. They also promote environmental sustainability [...] Read more.
This study analyzes the performance and strategic implications of multi-brand kitchen restaurants from a supply chain perspective. Multi-brand kitchens are increasingly adopted in franchise systems as they enhance resilience by pooling demand risks and enabling substitution across brands. They also promote environmental sustainability by integrating operations and reducing land use. However, limited research has examined how such models perform under different supply chain structures and contract types. To address this gap, we develop analytical models comparing five configurations that vary by brand scope (single- vs. multi-brand) and integration level (centralized vs. decentralized). We examine how optimal pricing, brand portfolio, and royalty structures influence profits across franchisors, franchisees, and the overall chain under diverse market environments. Our findings reveal that multi-brand strategies improve profitability, particularly under high demand and favorable market potential. However, decentralized systems show greater profit fluctuations, highlighting the need for alignment between contracts and operations. Theoretically, this study contributes to the restaurant supply chain literature by modeling coordination across organizational boundaries. Practically, it offers actionable insights for franchisors and restaurant operators on when and how to implement multi-brand kitchen strategies for resilient and sustainable supply chain operations. Full article
Show Figures

Figure 1

18 pages, 4569 KB  
Article
Accuracy Assessment of Shoreline Extraction Using MLS Data from a USV and UAV Orthophoto on a Complex Inland Lake
by Mariusz Specht and Oktawia Specht
Remote Sens. 2025, 17(24), 3940; https://doi.org/10.3390/rs17243940 - 5 Dec 2025
Viewed by 229
Abstract
Accurate shoreline determination is essential for the study of coastal and inland water processes, hydrography, and the monitoring of aquatic and terrestrial environments. This study compares two modern remote sensing technologies: MLS conducted with a USV and photogrammetry using a UAV. The research [...] Read more.
Accurate shoreline determination is essential for the study of coastal and inland water processes, hydrography, and the monitoring of aquatic and terrestrial environments. This study compares two modern remote sensing technologies: MLS conducted with a USV and photogrammetry using a UAV. The research was carried out on Lake Kłodno, characterised by a complex shoreline with vegetation and hydrotechnical structures. Both approaches satisfied the accuracy requirements of the IHO Special Order for shoreline extraction (≤5 m at the 95% confidence level). For the UAV-derived orthophoto, the error within which 95% of shoreline points were located (corresponding to 2.45·σ) was 0.05 m for the natural shoreline and 0.06 m for the variant including piers, both well below the IHO threshold. MLS achieved a 95% error of 1.16 m, which also complies with the Special Order criteria. UAV data enable clear interpretation of the land–water boundary, whereas MLS provides complete three-dimensional spatial information, independent of lighting conditions, and allows surveys of vegetated or inaccessible areas. The results demonstrate the complementarity of the two approaches: UAV is well suited to highly accurate shoreline mapping and the identification of hydrotechnical structures, while MLS is valuable for analysing the nearshore zone and for surveying vegetated or inaccessible areas. The findings confirm the value of integrating these approaches and highlight the need to extend research to other types of waterbodies, to consider seasonal variability, and to develop methods for the automatic extraction of shorelines. Full article
Show Figures

Figure 1

22 pages, 3352 KB  
Article
Hemodynamic Impact of the Aberrant Subclavian Artery: A CFD Investigation
by Edoardo Ugolini, Giorgio La Civita, Marco Ferraresi, Moad Alaidroos, Alessandro Carlo Luigi Molinari, Maria Katsarou, Giovanni Rossi and Emanuele Ghedini
J. Pers. Med. 2025, 15(12), 603; https://doi.org/10.3390/jpm15120603 - 5 Dec 2025
Viewed by 226
Abstract
Background/Objectives: The aberrant subclavian artery (ASA) represents the most common congenital anomaly of the aortic arch, and is frequently associated with a Kommerell diverticulum, an aneurysmal dilation at the anomalous vessel origin. This condition carries a significant risk of rupture and dissection, [...] Read more.
Background/Objectives: The aberrant subclavian artery (ASA) represents the most common congenital anomaly of the aortic arch, and is frequently associated with a Kommerell diverticulum, an aneurysmal dilation at the anomalous vessel origin. This condition carries a significant risk of rupture and dissection, and growing evidence indicates that local hemodynamic alterations may contribute to its development and progression. Computational Fluid Dynamics (CFD) provides a valuable non-invasive modality to assess biomechanical stresses and elucidate the pathophysiological mechanisms underlying these vascular abnormalities. Methods: In this study, twelve thoracic CT angiography scans were analyzed: six from patients with ASA and six from individuals with normal aortic anatomy. CFD simulations were performed using OpenFOAM, with standardized boundary conditions applied across all cases to isolate the influence of anatomical differences in flow behavior. Four key hemodynamic metrics were evaluated—Wall Shear Stress (WSS), Oscillatory Shear Index (OSI), Drag Forces (DF), and Turbulent Viscosity Ratio (TVR). The aortic arch was subdivided into Ishimaru zones 0–3, with an adapted definition accounting for ASA anatomy. For each region, time- and space-averaged quantities were computed to characterize mean values and oscillatory behavior. Conclusions: The findings demonstrate that patients with ASA exhibit markedly altered hemodynamics in zones 1–3 compared to controls, with consistently elevated WSS, OSI, DF, and TVR. The most pronounced abnormalities occurred in zones 2–3 near the origin of the aberrant vessel, where disturbed flow patterns and off-axis mechanical forces were observed. These features may promote chronic wall stress, endothelial dysfunction, and localized aneurysmal degeneration. Notably, two patients (M1 and M6) displayed particularly elevated drag forces and TVR in the distal arch, correlating with the presence of a distal aneurysm and right-sided arch configuration, respectively. Overall, this work supports the hypothesis that aberrant hemodynamics contribute to Kommerell diverticulum formation and progression, and highlights the CFD’s feasibility for clarifying disease mechanisms, characterizing flow patterns, and informing endovascular planning by identifying hemodynamically favorable landing zones. Full article
Show Figures

Figure 1

25 pages, 8864 KB  
Article
Collaboration Mechanics with AR/VR for Cadastral Surveys—A Conceptual Implementation for an Urban Ward in Indonesia
by Trias Aditya, Adrian N. Pamungkas, Faishal Ashaari, Walter T. de Vries, Calvin Wijaya and Nicholas G. Setiawan
Geomatics 2025, 5(4), 75; https://doi.org/10.3390/geomatics5040075 - 5 Dec 2025
Viewed by 321
Abstract
Synchronous interactions from different locations have become a globally accepted modus of interaction since the COVID-19 outbreak. For centuries, professional cadastral survey activities always required an interaction modus whereby surveyors, neighboring landowners, and local officers were present simultaneously. During the systematic adjudication and [...] Read more.
Synchronous interactions from different locations have become a globally accepted modus of interaction since the COVID-19 outbreak. For centuries, professional cadastral survey activities always required an interaction modus whereby surveyors, neighboring landowners, and local officers were present simultaneously. During the systematic adjudication and land registration project in Indonesia, multiple problems in the land information systems emerged, which, up to date, remain unsolved. These include the presence of plots of land without a related title, incorrect demarcations in the field, and the listing of titles without a connection to a land plot. We argue that these problems emerged due to ineffective survey workflows, which draw on inflexible process steps. This research assesses how and how much the use of augmented and virtual reality (AR/VR) technologies can make land registration services more effective and expand collaboration in a synchronous and at distant manner (the so-called same time, different place principle). The tested cadastral survey workflows include the procedure for a first land titling, the one for land subdivision, and the updating and maintenance of the cadastral database. These are common cases that could potentially benefit from integrated uses of augmented and virtual reality applications. Mixed reality technologies using VR glasses are also tested as tools, allowing individuals, surveyors, and government officers to work together synchronously from different places via a web mediation dashboard. The work aims at providing alternatives for safe interactions of field surveyors with decision-making groups in their endeavors to reach fast and effective collaborative decisions on boundaries. Full article
Show Figures

Figure 1

29 pages, 25965 KB  
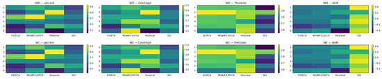
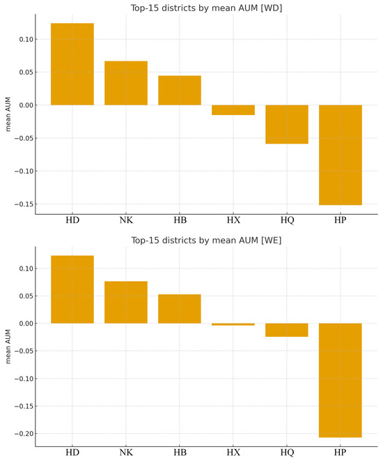
Article
Last-Mile or Overreach? Behavior-Validated Park Boundaries for Equitable Access: Evidence from Tianjin
by Lunsai Wu, Longhao Zhang, Shengbei Zhou, Lu Hou and Yike Hu
Land 2025, 14(12), 2364; https://doi.org/10.3390/land14122364 - 3 Dec 2025
Viewed by 258
Abstract
Urban park accessibility is often planned with fixed service radii, that is, circular walking catchments around each park defined by a maximum walking distance of about 1500 m, roughly a 15–20 min walk in this study, yet real visitation is uneven and dynamic, [...] Read more.
Urban park accessibility is often planned with fixed service radii, that is, circular walking catchments around each park defined by a maximum walking distance of about 1500 m, roughly a 15–20 min walk in this study, yet real visitation is uneven and dynamic, leaving persistent gaps between normative coverage and where people actually originate. We propose an interpretable discovery-to-parameter workflow that converts behavior evidence into localized accessibility and actionable planning guidance. Monthly Origin–Destination (OD) and heatmap samples are fused to construct visitation intensity on a 200 m grid and derive empirical park service boundaries. Multiscale Geographically Weighted Regression (MGWR) then quantifies spatial heterogeneity, and its local coefficients are embedded into the enhanced two-step floating catchment area (E2SFCA) model as location-specific supply weights and distance-decay bandwidths. Compared with network isochrones and uncalibrated E2SFCA, the MGWR–E2SFCA achieves higher Jaccard overlap and lower population-weighted error, while maintaining balanced coverage–precision across districts and day types. A Δ-surface lens decomposes gains into corridor correction and envelope contraction, revealing where conventional radii over- or under-serve residents. We further demonstrate an event-sensitivity switch, in which temporary adjustments of demand and decay parameters can accommodate short-term inflows during events such as festivals without contaminating the planning baseline. Together, the framework offers a transparent toolset for diagnosing mismatches between normative standards and observed use, prioritizing upgrades in under-served neighborhoods, and stress-testing park systems under recurring demand shocks. For land planning, it pinpoints where barriers to access should be reduced and where targeted connectivity improvements, public realm upgrades, and park capacity interventions can most effectively improve urban park accessibility. Full article
(This article belongs to the Section Land Planning and Landscape Architecture)
Show Figures

Figure 1

27 pages, 10767 KB  
Article
HCTANet: Hierarchical Cross-Temporal Attention Network for Semantic Change Detection in Complex Remote Sensing Scenes
by Zhuli Xie, Gang Wan, Zhanji Wei, Nan Li and Guangde Sun
Remote Sens. 2025, 17(23), 3906; https://doi.org/10.3390/rs17233906 - 2 Dec 2025
Viewed by 230
Abstract
Semantic change detection has become a key technology for monitoring the evolution of land cover and land use categories at the semantic level. However, existing methods often lack effective information interaction and fail to capture changes at multiple granularities using single-scale features, resulting [...] Read more.
Semantic change detection has become a key technology for monitoring the evolution of land cover and land use categories at the semantic level. However, existing methods often lack effective information interaction and fail to capture changes at multiple granularities using single-scale features, resulting in inconsistent outcomes and frequent missed or false detections. To address these challenges, we propose a three-branch model HCTANet, which enhances spatial and semantic feature representations at each time stage and models semantic correlations and differences between multi-temporal images through three innovative modules. First, the multi-scale change mapping association module extracts and fuses multi-resolution dual-temporal difference features in parallel, explicitly constraining semantic segmentation results with the change area output. Second, an adaptive collaborative semantic attention mechanism is introduced, modeling the semantic correlations of dual-temporal features via dynamic weight fusion and cross-temporal cross-attention. Third, the spatial semantic residual aggregation module aggregates global context and high-resolution shallow features through residual connections to restore pixel-level boundary details. HCTANet is evaluated on the SECOND, SenseEarth 2020 and AirFC datasets, and the results show that it outperforms existing methods in metrics such as mIoU and SeK, demonstrating its superior capability and effectiveness in accurately detecting semantic changes in complex remote sensing scenarios. Full article
Show Figures

Figure 1

25 pages, 8066 KB  
Article
Estimation of All-Weather Daily Surface Net Radiation over the Tibetan Plateau Using an Optimized CNN Model
by Bin Ma, Yaoming Ma and Weiqiang Ma
Remote Sens. 2025, 17(23), 3894; https://doi.org/10.3390/rs17233894 - 30 Nov 2025
Viewed by 300
Abstract
Accurate daily surface net radiation (Rn) estimation over the Tibetan Plateau’s complex and highly heterogeneous terrain is essential for advancing the understanding of land–atmosphere exchanges and regional climate processes. This study developed an optimized deep learning framework that systematically evaluates 19 [...] Read more.
Accurate daily surface net radiation (Rn) estimation over the Tibetan Plateau’s complex and highly heterogeneous terrain is essential for advancing the understanding of land–atmosphere exchanges and regional climate processes. This study developed an optimized deep learning framework that systematically evaluates 19 CNN architectures using a per-pixel multivariate regression design (1 × 1 × 21). The channel-rich representation incorporates engineered neighborhood descriptors to statistically embed spatial context while fully avoiding the mosaic and boundary artifacts common in patch-based approaches. Among all tested networks, Xception delivered the best combination of accuracy (R2 > 0.94), computational efficiency, and physical consistency. Its depthwise separable convolutions and skip connections enable hierarchical nonlinear cross-channel feature learning, effectively capturing the complex dependencies between surface variables and Rn. Independent validation confirmed stable performance under diverse weather conditions and substantially better skill than GLASS, especially across rugged terrain and high-albedo surfaces. SHAP analysis further highlights physically meaningful behavior, with astronomical and topographic factors contributing ~70% and surface properties ~25% to predictions. Remaining challenges include dependence on continuous high-quality multi-source inputs and scale effects from mixed pixels. Future work will enhance operational deployment through automated daily preprocessing, improved sub-diurnal characterization via multi-scale data fusion, and stronger physical constraints to increase reliability. Full article
(This article belongs to the Section Atmospheric Remote Sensing)
Show Figures

Figure 1

25 pages, 6601 KB  
Article
Ecological Security Assessment Based on Sensitivity, Connectivity, and Ecosystem Service Value and Pattern Construction: A Case Study of Chengmai County, China
by Yaoyao Zhao, Yuan Feng, Qing Liu, Yixian Mo, Shuhai Zhuo and Peng Zhou
Sustainability 2025, 17(23), 10724; https://doi.org/10.3390/su172310724 - 30 Nov 2025
Viewed by 207
Abstract
Against the backdrop of continuous natural space loss and accelerated urbanization, considerable attention has been directed toward balancing economic development demands with the protection of fragile ecosystems within limited spatial boundaries to achieve regional sustainable development. This study therefore focuses on Chengmai County, [...] Read more.
Against the backdrop of continuous natural space loss and accelerated urbanization, considerable attention has been directed toward balancing economic development demands with the protection of fragile ecosystems within limited spatial boundaries to achieve regional sustainable development. This study therefore focuses on Chengmai County, a small-scale region prioritizing both green development and ecological conservation. Land-use changes and trends in ecosystem services value (ESV) from 2000 to 2020 were analyzed. An ecological security assessment model was developed, integrating ecosystem services, ecological sensitivity, and landscape connectivity, which enabled the identification of areas with high ecological security value as ecological sources. Ecological corridors and nodes were extracted using the minimum cumulative resistance model and the gravity model, culminating in the construction of Chengmai County’s ecological security pattern through overlay analysis. The main findings are summarized as follows: (1) Construction land expanded rapidly between 2000 and 2020. The ecological sensitivity of Chengmai County displayed a spatial distribution pattern of “high in the south, low in the north,” while ESV exhibited a pattern of “high in the central-south and low in the northeast,” showing an overall increasing trend. (2) The overall ecological security status was relatively favorable. A total of 10 ecological nodes and 45 ecological corridors were identified, including 16 core corridors. (3) Based on these analyses, an ecological security pattern described as “one axis, two belts, and three zones” was established for Chengmai County. This study provides a practical spatial strategy for ecological conservation and sustainable development in Chengmai County and offers a transferable methodological framework for similar coastal regions facing development pressures. Full article
Show Figures

Figure 1

29 pages, 43944 KB  
Article
GPRNet: A Geometric Prior-Refined Semantic Segmentation Network for Land Use and Land Cover Mapping
by Zhuozheng Li, Zhennan Xu, Runliang Xia, Jiahao Sun, Ruihui Mu, Liang Chen, Daofang Liu and Xin Li
Remote Sens. 2025, 17(23), 3856; https://doi.org/10.3390/rs17233856 - 28 Nov 2025
Viewed by 229
Abstract
Semantic segmentation of high-resolution remote sensing images remains a challenging task due to the intricate spatial structures, scale variability, and semantic ambiguity among ground objects. Moreover, the reliable delineation of fine-grained boundaries continues to impose difficulties on existing CNN- and transformer-based models, particularly [...] Read more.
Semantic segmentation of high-resolution remote sensing images remains a challenging task due to the intricate spatial structures, scale variability, and semantic ambiguity among ground objects. Moreover, the reliable delineation of fine-grained boundaries continues to impose difficulties on existing CNN- and transformer-based models, particularly in heterogeneous urban and rural environments. In this study, we propose GPRNet, a novel geometry-aware segmentation framework that leverages geometric priors and cross-stage semantic alignment for more precise land-cover classification. Central to our approach is the Geometric Prior-Refined Block (GPRB), which learns directional derivative filters, initialized with Sobel-like operators, to generate edge-aware strength and orientation maps that explicitly encode structural cues. These maps are used to guide structure-aware attention modulation, enabling refined spatial localization. Additionally, we introduce the Mutual Calibrated Fusion Module (MCFM) to mitigate the semantic gap between encoder and decoder features by incorporating cross-stage geometric alignment and semantic enhancement mechanisms. Extensive experiments conducted on the ISPRS Potsdam and LoveDA datasets validate the effectiveness of the proposed method, with GPRNet achieving improvements of up to 1.7% mIoU on Potsdam and 1.3% mIoU on LoveDA over strong recent baselines. Furthermore, the model maintains competitive inference efficiency, suggesting a favorable balance between accuracy and computational cost. These results demonstrate the promising potential of geometric-prior integration and mutual calibration in advancing semantic segmentation in complex environments. Full article
Show Figures

Figure 1

21 pages, 3296 KB  
Article
A Multi-Agent Simulation-Based Decision Support Tool for Sustainable Tourism Land Use Planning in Rural China
by Puwei Zhang, Anna Huang, Li Wu, Rui Li and Ziting Fu
Land 2025, 14(12), 2342; https://doi.org/10.3390/land14122342 - 28 Nov 2025
Viewed by 412
Abstract
The sustainable development of Rural Summer Health Tourism for the Urban Elderly (RSHTUE) is fundamentally tied to the rational utilization of rural land. Land use is a dynamic process involving multiple stakeholders; it requires predictive modeling of its evolution to ensure long-term sustainability. [...] Read more.
The sustainable development of Rural Summer Health Tourism for the Urban Elderly (RSHTUE) is fundamentally tied to the rational utilization of rural land. Land use is a dynamic process involving multiple stakeholders; it requires predictive modeling of its evolution to ensure long-term sustainability. This study integrates key factors under rigid boundary constraints to establish decision-making rules for government, villager, and tourist agents. Taking Zhongyuan Township as a research site, we constructed a multi-agent simulation model by integrating environmental data processed in ArcGIS with decision-making rules encoded in NetLogo. Through scenario analysis, we simulate the evolution of tourism land use for 2028 and 2033 under three distinct development scenarios: tourism-led, ecological protection, and rural belt joint. The results demonstrate that each scenario leads to markedly different spatial patterns. The model developed in this study can directly simulate land use in RSHTUE destination villages while also being applicable to other types of rural tourism by adjusting relevant parameters. The model serves as a “policy laboratory” to simulate and compare the effects of different policy scenarios, thereby enabling the generation of land use strategies that balance multi-stakeholder sustainable development and providing an empirical basis for policy formulation and optimization. Full article
Show Figures

Figure 1

Back to TopTop