You are currently viewing a new version of our website. To view the old version click .
Systems
  • This is an early access version, the complete PDF, HTML, and XML versions will be available soon.
  • Article
  • Open Access

5 December 2025

Resilient and Sustainable Restaurant Supply Chain Operations Considering Multi-Brand Strategies

,
and
1
Dongguk Business School, Dongguk University, Jung-gu, Seoul 04620, Republic of Korea
2
Graduate School of Industrial Data Engineering, Hanyang University, Seongdong-gu, Seoul 04763, Republic of Korea
3
School of Interdisciplinary Industrial Studies, Hanyang University, Seoul 04763, Republic of Korea
*
Author to whom correspondence should be addressed.
This article belongs to the Special Issue Navigating Complexity in a Changing World: Challenges and Opportunities for Sustainable and Resilient Supply Chains

Abstract

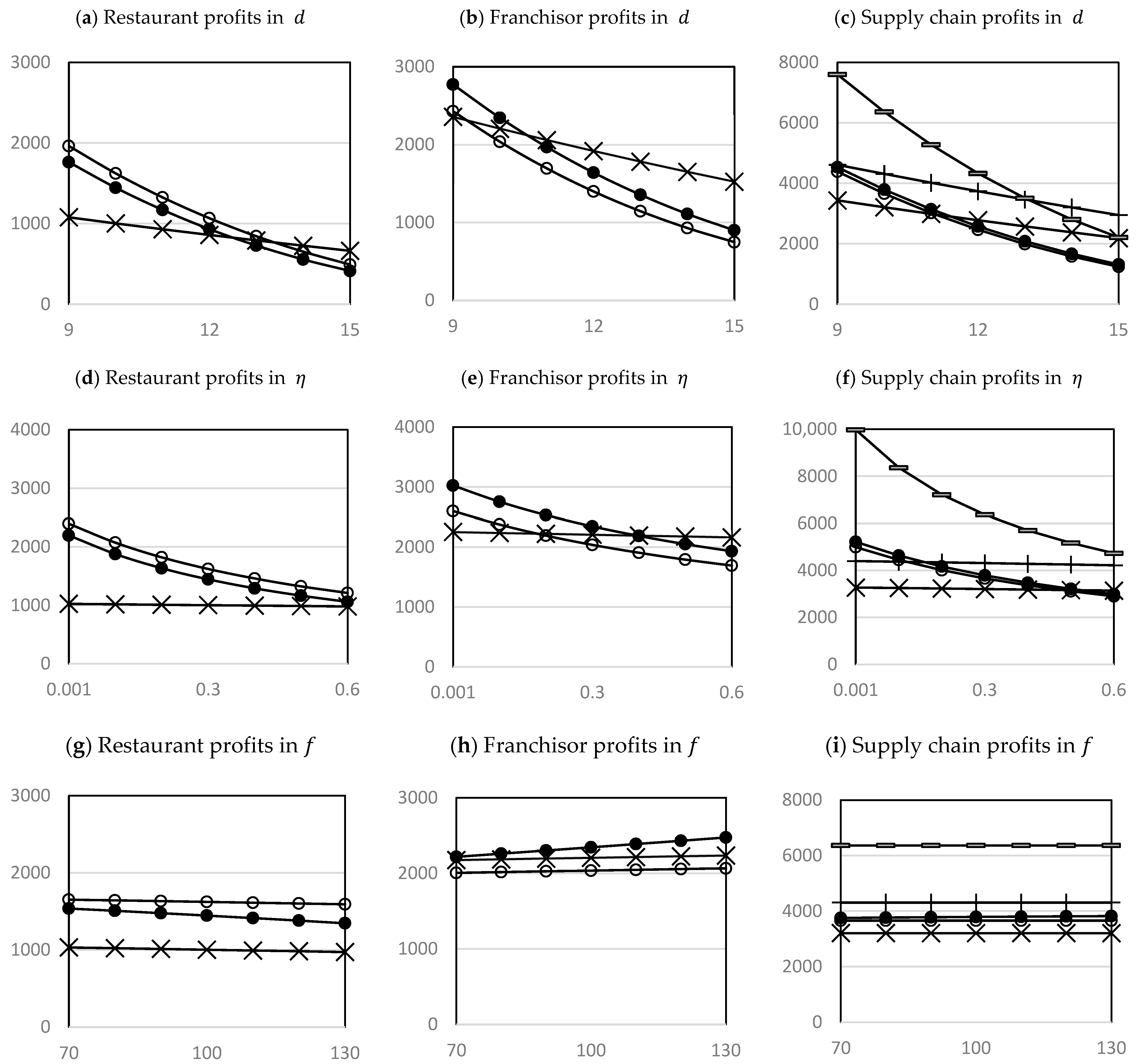
This study analyzes the performance and strategic implications of multi-brand kitchen restaurants from a supply chain perspective. Multi-brand kitchens are increasingly adopted in franchise systems as they enhance resilience by pooling demand risks and enabling substitution across brands. They also promote environmental sustainability by integrating operations and reducing land use. However, limited research has examined how such models perform under different supply chain structures and contract types. To address this gap, we develop analytical models comparing five configurations that vary by brand scope (single- vs. multi-brand) and integration level (centralized vs. decentralized). We examine how optimal pricing, brand portfolio, and royalty structures influence profits across franchisors, franchisees, and the overall chain under diverse market environments. Our findings reveal that multi-brand strategies improve profitability, particularly under high demand and favorable market potential. However, decentralized systems show greater profit fluctuations, highlighting the need for alignment between contracts and operations. Theoretically, this study contributes to the restaurant supply chain literature by modeling coordination across organizational boundaries. Practically, it offers actionable insights for franchisors and restaurant operators on when and how to implement multi-brand kitchen strategies for resilient and sustainable supply chain operations.

Article Metrics

Citations

Article Access Statistics

Multiple requests from the same IP address are counted as one view.