Hemodynamic Impact of the Aberrant Subclavian Artery: A CFD Investigation
Abstract
1. Introduction
2. Materials and Methods
2.1. CFD Analysis Method
2.1.1. Governing Equations
2.1.2. Numerical Methods
2.1.3. Mesh Generation
2.1.4. Boundary Conditions
2.2. Parameters Post-Processing
2.2.1. Wall Shear Stress (WSS)
2.2.2. Oscillatory Shear Index (OSI)
2.2.3. Drag Forces (DF)
2.2.4. Turbulent Viscosity Ratio (TVR)
2.3. Ishimaru Classification
- Zone 0: Includes the ascending aorta and the origin of the brachiocephalic artery.
- Zone 1: Extends from the brachiocephalic artery to the origin of the left common carotid artery.
- Zone 2: Extends from the left common carotid artery to the origin of the left subclavian artery.
- Zone 3: Located distal to the origin of the left subclavian artery, in the proximal descending thoracic aorta [29].
- Zone 0: Includes the ascending aorta and the origin of both common carotid arteries, and the bicarotid trunk.
- Zone 1: Encompasses the segment of the aortic arch that includes the origin of the non-aberrant subclavian artery.
- Zone 2: Refers to the segment of the aortic arch that includes only the origin of the ASA.
- Zone 3: Located distal to the ASA origin, within the proximal descending thoracic aorta.
3. Results
3.1. Patients’ Selection
3.2. WSS and OSI Analysis
3.3. DF Analysis
3.4. TVR Analysis
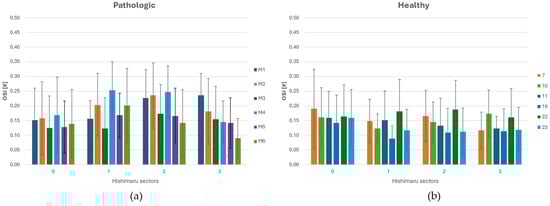
3.5. Sector-Wise Analysis
3.6. Representative Cases
4. Discussion
5. Conclusions
- Zone 2: Typically displays high drag force and significant variability, likely due to disturbed flow from the aberrant vessel. Hence, it should be avoided for stent anchoring.
- Zone 3: May experience steep force gradients, possibly related to geometric transitions before the ASA origin. Hence, represents a less stable landing site.
- Internal velocity streamlines and velocity glyphs at the patch
- Velocity streamlines’ glyph
- WSS distribution map and direction glyph on the wall
- Pressure at the wall
- OSI distribution map
- Internal fluid’s velocity
- Internal fluid’s pressure
Author Contributions
Funding
Institutional Review Board Statement
Data Availability Statement
Conflicts of Interest
References
- Janssen, M.; Baggen, M.G.A.; Veen, H.F.; Smout, A.J.P.M.; Bekkers, J.A.; Jonkman, J.G.J.; Ouwendijk, R.J.T. Dysphagia lusoria: Clinical aspects, manometric findings, diagnosis, and therapy. Am. J. Gastroenterol. 2000, 95, 1411–1416. [Google Scholar] [CrossRef]
- Shuford, W.H.; Sybers, R.G.; Milledge, R.D. The aberrant left subclavian artery with right-sided aortic arch. Am. J. Roentgenol. 1972, 115, 312–319. [Google Scholar] [CrossRef]
- Stone, W.M.; Ricotta, J.J.; Fowl, R.J.; Garg, N.; Bower, T.C.; Money, S.R. Contemporary management of aberrant right subclavian arteries. Ann. Vasc. Surg. 2011, 25, 508–514. [Google Scholar] [CrossRef]
- Woods, R.K.; Sharp, R.J.; Holcomb, G.W.; Snyder, C.L.; Lofland, G.K.; Ashcraft, K.W.; Holder, T.M. Vascular anomalies and tracheoesophageal compression: A single institution’s 25-year experience. Ann. Thorac. Surg. 2001, 72, 434–438. [Google Scholar] [CrossRef]
- Idrees, J.; Keshavamurthy, S.; Subramanian, S.; Clair, D.G.; Svensson, L.G.; Roselli, E.E. Hybrid repair of Kommerell diverticulum. J. Thorac. Cardiovasc. Surg. 2014, 147, 973–976. [Google Scholar] [CrossRef]
- Kim, K.M.; Cambria, R.P.; Isselbacher, E.M.; Baker, J.N.; LaMuraglia, G.M.; Stone, J.R.; MacGillivray, T.E. Macgillivray, Contemporary surgical approaches and outcomes in adults with kommerell diverticulum. Ann. Thorac. Surg. 2014, 98, 1347–1354. [Google Scholar] [CrossRef] [PubMed]
- Fraisse, A.; Ovaert, C.; Luciano, D.; Mitchell, J.; Kreitmann, B. Kommerell diverticulum should be removed when operating symptomatic children with aberrant right subclavian artery (VAS-CULAR RING). J. Am. Coll. Cardiol. 2013, 61, E442. [Google Scholar] [CrossRef]
- Sultan, S.; Acharya, Y.; Ibrahim, R.; Parodi, J.C.; Wijns, W.; Soliman, O. Endovascular management of a giant aortic arch aneurysm diverticulum: A case report. Eur. Heart. J. Case Rep. 2025, 9, ytaf054. [Google Scholar] [CrossRef] [PubMed] [PubMed Central]
- Siasos, G.; Sara, J.D.; Zaromytidou, M.; Park, K.H.; Coskun, A.U.; Lerman, L.O.; Oikonomou, E.; Maynard, C.C.; Fotiadis, D.; Stefanou, K.; et al. Local Low Shear Stress and Endothelial Dysfunction in Patients with Nonobstructive Coronary Atherosclerosis. J. Am. Coll. Cardiol. 2018, 71, 2092–2102. [Google Scholar] [CrossRef]
- Almeida, G.d.C.; Gomes, B.A.d.A.; de Azevedo, F.S.; Kalaun, K.; Ibanez, I.; Teixeira, P.S.; Gottlieb, I.; Melo, M.M.; de Oliveira, G.M.M.; Nieckele, A.O. Computational Fluid Dynamics to Assess the Future Risk of Ascending Aortic Aneurysms. Arq. Bras. Cardiol. 2022, 118, 448–460. [Google Scholar] [CrossRef]
- Zhou, M.; Yu, Y.; Chen, R.; Liu, X.; Hu, Y.; Ma, Z.; Gao, L.; Jian, W.; Wang, L. Wall shear stress and its role in atherosclerosis. Front. Cardiovasc. Med. 2023, 10, 1083547. [Google Scholar] [CrossRef]
- Song, J.; Gao, S.; Xie, E.; Wang, W.; Dai, L.; Zhao, R.; Zhou, C.; Qiu, J.; Yu, C. Systematic Review of the Application of Computational Fluid Dynamics for Adult Aortic Diseases. Rev. Cardiovasc. Med. 2023, 24, 355. [Google Scholar] [CrossRef]
- Domanin, M.; Bissacco, D.; Romarowsky, R.M.; Conti, M.; Auricchio, F.; Ferraresi, M.; Trimarchi, S. Drag Forces after Thoracic Endovascular Aortic Repair. General Review of the Literature. Ann. Vasc. Surg. 2021, 75, 479–488. [Google Scholar] [CrossRef]
- Yushkevich, P.A.; Piven, J.; Hazlett, H.C.; Smith, R.G.; Ho, S.; Gee, J.C.; Gerig, G. User-guided 3D active contour segmentation of anatomical structures: Significantly improved efficiency and reliability. NeuroImage 2006, 31, 1116–1128. [Google Scholar] [CrossRef] [PubMed]
- Tinelli, G.; Ferrer, C.; Giudice, R.; Ferraresi, M.; Pogany, G.; Cao, P.; Tshomba, Y.; Montenegro, C.; De Nigris, F.; Minelli, F.; et al. Long-term results of hybrid repair techniques for Kommerell’s diverticulum. J. Vasc. Surg. 2020, 72, 1213–1221. [Google Scholar] [CrossRef] [PubMed]
- Menter, F.R. Zonal two equation κ-ω turbulence models for aerodynamic flows. In Proceedings of the AIAA 23rd Fluid Dynamics, Plasmadynamics, and Lasers Conference, Orlando, FL, USA, 6–9 July 1993. [Google Scholar] [CrossRef]
- Willemet, M.; Chowienczyk, P.; Alastruey, J. A database of virtual healthy subjects to assess the accuracy of foot-to-foot pulse wave velocities for estimation of aortic stiffness. Am. J. Physiol. Heart Circ. Physiol. 2015, 309, H663–H675. [Google Scholar] [CrossRef]
- Ene-Iordache, B. Descriptors of Flow in Computational Hemodynamics. Fluids 2025, 10, 191. [Google Scholar] [CrossRef]
- Cheng, H.; Zhong, W.; Wang, L.; Zhang, Q.; Ma, X.; Wang, Y.; Wang, S.; He, C.; Wei, Q.; Fu, C. Effects of shear stress on vascular endothelial functions in atherosclerosis and potential therapeutic approaches. Biomed. Pharmacother. 2023, 158, 114198. [Google Scholar] [CrossRef]
- Tamargo, I.A.; Baek, K.I.; Kim, Y.; Park, C.; Jo, H. Flow-induced reprogramming of endothelial cells in atherosclerosis. Nat. Rev. Cardiol. 2023, 20, 738–753. [Google Scholar] [CrossRef]
- Gallo, D.; Lefieux, A.; Morganti, S.; Veneziani, A.; Reali, A.; Auricchio, F.; Conti, M.; Morbiducci, U. A patient-specific follow up study of the impact of thoracic endovascular repair (TEVAR) on aortic anatomy and on post-operative hemodynamics. Comput. Fluids 2016, 141, 54–61. [Google Scholar] [CrossRef]
- Trenti, C.; Fedak, P.W.M.; White, J.A.; Garcia, J.; Dyverfeldt, P. Oscillatory shear stress is elevated in patients with bicuspid aortic valve and aortic regurgitation: A 4D flow cardiovascular magnetic resonance cross-sectional study. Eur. Heart J. Cardiovasc. Imaging 2024, 25, 404–412. [Google Scholar] [CrossRef] [PubMed] [PubMed Central]
- Takehara, Y.; Isoda, H.; Takahashi, M.; Unno, N.; Shiiya, N.; Ushio, T.; Goshima, S.; Naganawa, S.; Alley, M.; Wakayama, T.; et al. Abnormal Flow Dynamics Result in Low Wall Shear Stress and High Oscillatory Shear Index in Abdominal Aortic Dilatation: Initial in vivo Assessment with 4D-flow MRI. Magn. Reson. Med. Sci. 2020, 19, 235–246. [Google Scholar] [CrossRef] [PubMed] [PubMed Central]
- Moerman, A.M.; Korteland, S.; Dilba, K.; van Gaalen, K.; Poot, D.H.J.; van Der Lugt, A.; Verhagen, H.J.M.; Wentzel, J.J.; van Der Steen, A.F.W.; Gijsen, F.J.H.; et al. The Correlation Between Wall Shear Stress and Plaque Composition in Advanced Human Carotid Atherosclerosis. Front. Bioeng. Biotechnol. 2022, 9, 828577. [Google Scholar] [CrossRef] [PubMed] [PubMed Central]
- Mittal, R.; Seo, J.H.; Vedula, V.; Choi, Y.J.; Liu, H.; Huang, H.H.; Jain, S.; Younes, L.; Abraham, T.; George, R.T. Computational modeling of cardiac hemodynamics: Current status and future outlook. J. Comput. Phys. 2016, 305, 1065–1082. [Google Scholar] [CrossRef]
- Martínez, A.; Hoeijmakers, M.; Geronzi, L.; Morgenthaler, V.; Tomasi, J.; Rochette, M.; Biancolini, M.E. Effect of turbulence and viscosity models on wall shear stress derived biomarkers for aorta simulations. Comput. Biol. Med. 2023, 167, 107603. [Google Scholar] [CrossRef] [PubMed]
- Hu, M.; Chen, B.; Luo, Y. Computational fluid dynamics modelling of hemodynamics in aortic aneurysm and dissection: A review. Front. Bioeng. Biotechnol. 2025, 13, 1556091. [Google Scholar] [CrossRef] [PubMed] [PubMed Central]
- Wilcox, D.C. Turbulence Modeling for CFD, 3rd ed.; DCW Industries: Mumbai, India, 2006. [Google Scholar]
- Metzger, P.B.; Rossi, F.; Moreira, S.M.; Issa, M.; Izukawa, N.M.; Dinkhuysen, J.J.; Neto, D.S.; Kambara, A.M. Hybrid Treatment of Aortic Arch Disease. Rev. Bras. Cir. Cardiovasc. 2014, 29, 527–536. [Google Scholar] [CrossRef][Green Version]
- Ahrens, J.; Geveci, B.; Law, C. ParaView: An End-User Tool for Large Data Visualization. In Visualization Handbook; Elsevier: Amsterdam, The Netherlands, 2005. [Google Scholar]
- Morbiducci, U.; Ponzini, R.; Rizzo, G.; Cadioli, M.; Esposito, A.; Montevecchi, F.M.; Redaelli, A. Mechanistic insight into the physiological relevance of helical blood flow in the human aorta: An in vivo study. Biomech. Model. Mechanobiol. 2010, 10, 339–355. [Google Scholar] [CrossRef] [PubMed]
- Chiu, J.J.; Chien, S. Effects of disturbed flow on vascular endothelium: Pathophysiological basis and clinical perspectives. Physiol. Rev. 2011, 91, 327–387. [Google Scholar] [CrossRef]
- Davies, P.F. Hemodynamic shear stress and the endothelium in cardiovascular pathophysiology. Nat. Clin. Pract. Cardiovasc. Med. 2009, 6, 16–26. [Google Scholar] [CrossRef]
- Hope, M.D.; Hope, T.A.; Meadows, A.K.; Ordovas, K.G.; Urbania, T.H.; Alley, M.T.; Higgins, C.B. Higgins, Bicuspid aortic valve: Four-dimensional MR evaluation of ascending aortic systolic flow patterns. Radiology 2010, 255, 53–61. [Google Scholar] [CrossRef] [PubMed]
- Koru, M.; Canbolat, G.; Darıcık, F.; Karahan, O.; Etli, M.; Korkmaz, E. Investigation of Rupture Risk of Thoracic Aortic Aneurysms via Fluid–Structure Inter-action and Artificial Intelligence Method. Arab. J. Sci. Eng. 2024, 49, 14787–14802. [Google Scholar] [CrossRef]
- Duronio, F.; Di Mascio, A. Blood Flow Simulation of Aneurysmatic and Normal Thoracic Aorta Using OpenFOAM CFD Software. Fluids 2023, 8, 272. [Google Scholar] [CrossRef]
- Ugolini, E.; La Civita, G.; Al Aidroos, M.; Salti, S.; Lisanti, G.; Ghedini, E.; Faggioli, G.; Gargiulo, M.; Rossi, G. Validation of Replicable Pipeline 3D Surface Reconstruction for Patient-Specific Abdominal Aortic Lumen Diagnostics. BioMed 2025, 5, 9. [Google Scholar] [CrossRef]















| # | Gender, Age | Ethnic Group |
|---|---|---|
| 7 | M, 90 | Caucasian |
| 10 | M, 79 | Caucasian |
| 11 | M, 90 | Caucasian |
| 19 | M, 78 | Caucasian |
| 22 | M, 76 | Caucasian |
| 23 | M, 61 | Caucasian |
| # | Gender, Age | Ethnic Group | ASA and Associated Aortic Lesion | Right or Left-Sided Arch | KD | Retro-Esophageal ASA | Bicarotid Trunk |
|---|---|---|---|---|---|---|---|
| M1 | F, 74 | Caucasian | Ruptured arch aneurysm (zone 2 and 3) + ARSA | Left | Yes | Yes | No |
| M2 | M, 80 | Caucasian | Symptomatic ARSA | Left | Yes | Yes | No |
| M3 | F, 73 | Caucasian | TAAD (Type A Aortic Dissection) + ARSA | Left | Yes | Yes | Yes |
| M4 | M, 76 | Caucasian | TAAD + ARSA | Left | Yes | Yes | No |
| M5 | M, 34 | Caucasian | TAAD + ARSA | Left | No | Yes | Yes |
| M6 | F, 80 | Caucasian | Asymptomatic ALSA | Right | Yes | Yes | No |
| Ishimaru Region | 0 | 1 | 2 | 3 | ||||
|---|---|---|---|---|---|---|---|---|
| Pathologic | Healthy | Pathologic | Healthy | Pathologic | Healthy | Pathologic | Healthy | |
| DF [N] | 10.83 | 15.51 | 8.32 | 1.72 | 6.78 | 2.61 | 6.46 | 6.29 |
| OSI [#] | 0.15 | 0.16 | 0.18 | 0.13 | 0.20 | 0.14 | 0.16 | 0.13 |
| WSS [Pa] | 1.03 | 0.89 | 1.41 | 1.24 | 1.74 | 1.29 | 1.43 | 1.59 |
| TVR [#] | 0.31 | 0.54 | 0.38 | 0.50 | 0.64 | 0.41 | 0.83 | 0.56 |
Disclaimer/Publisher’s Note: The statements, opinions and data contained in all publications are solely those of the individual author(s) and contributor(s) and not of MDPI and/or the editor(s). MDPI and/or the editor(s) disclaim responsibility for any injury to people or property resulting from any ideas, methods, instructions or products referred to in the content. |
© 2025 by the authors. Licensee MDPI, Basel, Switzerland. This article is an open access article distributed under the terms and conditions of the Creative Commons Attribution (CC BY) license (https://creativecommons.org/licenses/by/4.0/).
Share and Cite
Ugolini, E.; La Civita, G.; Ferraresi, M.; Alaidroos, M.; Molinari, A.C.L.; Katsarou, M.; Rossi, G.; Ghedini, E. Hemodynamic Impact of the Aberrant Subclavian Artery: A CFD Investigation. J. Pers. Med. 2025, 15, 603. https://doi.org/10.3390/jpm15120603
Ugolini E, La Civita G, Ferraresi M, Alaidroos M, Molinari ACL, Katsarou M, Rossi G, Ghedini E. Hemodynamic Impact of the Aberrant Subclavian Artery: A CFD Investigation. Journal of Personalized Medicine. 2025; 15(12):603. https://doi.org/10.3390/jpm15120603
Chicago/Turabian StyleUgolini, Edoardo, Giorgio La Civita, Marco Ferraresi, Moad Alaidroos, Alessandro Carlo Luigi Molinari, Maria Katsarou, Giovanni Rossi, and Emanuele Ghedini. 2025. "Hemodynamic Impact of the Aberrant Subclavian Artery: A CFD Investigation" Journal of Personalized Medicine 15, no. 12: 603. https://doi.org/10.3390/jpm15120603
APA StyleUgolini, E., La Civita, G., Ferraresi, M., Alaidroos, M., Molinari, A. C. L., Katsarou, M., Rossi, G., & Ghedini, E. (2025). Hemodynamic Impact of the Aberrant Subclavian Artery: A CFD Investigation. Journal of Personalized Medicine, 15(12), 603. https://doi.org/10.3390/jpm15120603

