Sign in to use this feature.

Years

Between: -

Subjects

remove_circle_outline
remove_circle_outline
remove_circle_outline
remove_circle_outline
remove_circle_outline

Journals

Article Types

Countries / Regions

Search Results (21)

Search Parameters:
Keywords = isosteviol

Order results
Result details
Results per page
Select all
Export citation of selected articles as:
12 pages, 3925 KB  
Article
Ratiometric Fluorescent Probes Based on Isosteviol with Identification of Maleic Acid in Starchy Foods
by Xinye Qian, Chunling Zheng and Fang Zhang
Foods 2025, 14(9), 1541; https://doi.org/10.3390/foods14091541 - 28 Apr 2025
Viewed by 826
Abstract
The rigid saddle-shaped framework of isosteviol provides a unique host–guest recognition cavity. For the first time, we have utilized isosteviol to construct fluorescent probes 4 and 5, achieving highly selective recognition of maleic acid and fumaric acid. The experimental results indicated that neither [...] Read more.
The rigid saddle-shaped framework of isosteviol provides a unique host–guest recognition cavity. For the first time, we have utilized isosteviol to construct fluorescent probes 4 and 5, achieving highly selective recognition of maleic acid and fumaric acid. The experimental results indicated that neither probe 4 nor probe 5 exhibited significant fluorescence changes when exposed to fumaric acid. However, both probes demonstrated distinct ratiometric fluorescence responses upon interaction with maleic acid. For maleic acid, probes 4 and 5 showed detection limits of 4.14 × 10−6 M and 1.88 × 10−6 M, respectively. Density functional theory (DFT) calculations and 1H NMR spectroscopy revealed that probes 4 and 5 formed stable intermolecular hydrogen bonds with maleic acid, contributing to the observed changes in fluorescence signals. Furthermore, maleic acid was successfully detected in starch-rich dietary samples, including potatoes, sweet potatoes, and corn, utilizing the sensing capabilities of probes 4 and 5. In conclusion, probes 4 and 5 hold significant potential for the development of fluorescence-based recognition systems for fumaric acid and maleic acid. Full article
Show Figures

Figure 1

20 pages, 11005 KB  
Article
Synthesis and Evaluation of Isosteviol Derivatives: Promising Anticancer Therapies for Colon Cancer
by Yecang Chen, Feifei Zhu, Yuxin Ding, Lin Xing, Enxiao Wang, Yixiang Fang, Ruilong Sheng, Qidong Tu and Ruihua Guo
Biomedicines 2025, 13(4), 793; https://doi.org/10.3390/biomedicines13040793 - 25 Mar 2025
Cited by 1 | Viewed by 1072
Abstract
Background: Isosteviol, a tetracyclic diterpenoid with a beyerene-type skeleton, exhibited wide pharmacological activities and an inhibitory impact on tumor proliferation in colon cancer; Methods: 22 isosteviol derivatives were synthesized by modifying the C-16 and C-19 position of isosteviol, and then the inhibitory activities [...] Read more.
Background: Isosteviol, a tetracyclic diterpenoid with a beyerene-type skeleton, exhibited wide pharmacological activities and an inhibitory impact on tumor proliferation in colon cancer; Methods: 22 isosteviol derivatives were synthesized by modifying the C-16 and C-19 position of isosteviol, and then the inhibitory activities of derivatives 222 were evaluated by CCK8 method. Next, the structure–activity relationships (SARs) of these isosteviol derivatives in HCT116 cells were discussed in detail. Network pharmacology was employed to predict and analyze the targets of isosteviol in the treatment of colon cancer; Results: The results indicated derivative 8 possessed stronger inhibitory activity against HCT116 and HepG2 cells (IC50 = 6.20 ± 0.61 μM for HCT116, and IC50 = 39.84 ± 0.43 μM for HepG2). Additionally, cell cycle analysis indicated that derivative 8 arrested HCT116 cells at the G1 phase and increased the percentage of apoptotic cells. Moreover, the molecular docking showed that derivative 8 could interact with TP53 through its Tyr-1600 and Leu-1534 residues (docking energy: −11.84 kcal/mol); Conclusions: With these results, we can conclude that derivative 8 may be a promising candidate for anticancer chemotherapy. Full article
(This article belongs to the Special Issue Compounds from Natural Products as Sources for Drug Discovery)
Show Figures

Graphical abstract

18 pages, 1712 KB  
Article
Synthesis and Study of the Structure–Activity Relationship of Antiproliferative N-Substituted Isosteviol-Based 1,3-Aminoalcohols
by Dániel Ozsvár, Noémi Bózsity, István Zupkó and Zsolt Szakonyi
Pharmaceuticals 2024, 17(2), 262; https://doi.org/10.3390/ph17020262 - 19 Feb 2024
Cited by 3 | Viewed by 2584
Abstract
Starting from isosteviol, a series of diterpenoid 1,3-aminoalcohol derivatives were prepared via stereoselective transformations. The acid-catalysed hydrolysis and rearrangement of natural stevioside produced isosteviol, which was transformed into the key intermediate methyl ester. In the next step, an 1,3-aminoalcohol library was prepared by [...] Read more.
Starting from isosteviol, a series of diterpenoid 1,3-aminoalcohol derivatives were prepared via stereoselective transformations. The acid-catalysed hydrolysis and rearrangement of natural stevioside produced isosteviol, which was transformed into the key intermediate methyl ester. In the next step, an 1,3-aminoalcohol library was prepared by the reductive amination of the intermediate 3-hydroxyaldehyde obtained from isosteviol in a two-step synthesis. To study the effect of the carboxylate ester function at position 4, the free carboxylic acid, benzyl ester and acryloyl ester analogues were prepared as elongated derivatives in comparison with our earlier results in this field. The antiproliferative activity of compounds against human tumour cell lines (A2780, HeLa, MCF-7 and MDA-MB-231) was investigated. In our preliminary study, the 1,3-aminoalcohol function with N-benzyl or (1H-imidazol-1-yl)-propyl substitution and benzyl ester moiety seemed essential for the reliable antiproliferative activity. The results obtained could be a good starting point to further functionalisation towards more efficient antiproliferative diterpenes. Full article
(This article belongs to the Special Issue Novel Anti-proliferative Agents, 2nd Edition)
Show Figures

Graphical abstract

17 pages, 7284 KB  
Article
Novel Thiourea and Oxime Ether Isosteviol-Based Anticoagulants: MD Simulation and ADMET Prediction
by Marcin Gackowski, Mateusz Jędrzejewski, Sri Satya Medicharla, Rajesh Kondabala, Burhanuddin Madriwala, Katarzyna Mądra-Gackowska and Renata Studzińska
Pharmaceuticals 2024, 17(2), 163; https://doi.org/10.3390/ph17020163 - 28 Jan 2024
Cited by 6 | Viewed by 2966
Abstract
Activated blood coagulation factor X (FXa) plays a critical initiation step of the blood-coagulation pathway and is considered a desirable target for anticoagulant drug development. It is reversibly inhibited by nonvitamin K antagonist oral anticoagulants (NOACs) such as apixaban, betrixaban, edoxaban, and rivaroxaban. [...] Read more.
Activated blood coagulation factor X (FXa) plays a critical initiation step of the blood-coagulation pathway and is considered a desirable target for anticoagulant drug development. It is reversibly inhibited by nonvitamin K antagonist oral anticoagulants (NOACs) such as apixaban, betrixaban, edoxaban, and rivaroxaban. Thrombosis is extremely common and is one of the leading causes of death in developed countries. In previous studies, novel thiourea and oxime ether isosteviol derivatives as FXa inhibitors were designed through a combination of QSAR studies and molecular docking. In the present contribution, molecular dynamics (MD) simulations were performed for 100 ns to assess binding structures previously predicted by docking and furnish additional information. Moreover, three thiourea- and six oxime ether-designed isosteviol analogs were then examined for their drug-like and ADMET properties. MD simulations demonstrated that four out of the nine investigated isosteviol derivatives, i.e., one thiourea and three oxime ether ISV analogs, form stable complexes with FXa. These derivatives interact with FXa in a manner similar to Food and Drug Administration (FDA)-approved drugs like edoxaban and betrixaban, indicating their potential to inhibit factor Xa activity. One of these derivatives, E24, displays favorable pharmacokinetic properties, positioning it as the most promising drug candidate. This, along with the other three derivatives, can undergo further chemical synthesis and bioassessment. Full article
Show Figures

Figure 1

17 pages, 2973 KB  
Article
Effects of Exogenous Isosteviol on the Physiological Characteristics of Brassica napus Seedlings under Salt Stress
by Wenjing Xia, Wangang Meng, Yueqin Peng, Yutian Qin, Liang Zhang and Nianqing Zhu
Plants 2024, 13(2), 217; https://doi.org/10.3390/plants13020217 - 12 Jan 2024
Cited by 11 | Viewed by 2263
Abstract
In this paper, the effect of isosteviol on the physiological metabolism of Brassica napus seedlings under salt stress is explored. Brassica napus seeds (Qinyou 2) were used as materials, and the seeds were soaked in different concentrations of isosteviol under salt stress. The [...] Read more.
In this paper, the effect of isosteviol on the physiological metabolism of Brassica napus seedlings under salt stress is explored. Brassica napus seeds (Qinyou 2) were used as materials, and the seeds were soaked in different concentrations of isosteviol under salt stress. The fresh weight, dry weight, osmotic substance, absorption and distribution of Na+, K+, Cl, and the content of reactive oxygen species (ROS) were measured, and these results were combined with the changes shown by Fourier transform infrared spectroscopy (FTIR). The results showed that isosteviol at an appropriate concentration could effectively increase the biomass and soluble protein content of Brassica napus seedlings and reduce the contents of proline, glycine betaine, and ROS in the seedlings. Isosteviol reduces the oxidative damage to Brassica napus seedlings caused by salt stress by regulating the production of osmotic substances and ROS. In addition, after seed soaking in isosteviol, the Na+ content in the shoots of the Brassica napus seedlings was always lower than that in the roots, while the opposite was true for the K+ content. This indicated that under salt stress the Na+ absorbed by the Brassica napus seedlings was mainly accumulated in the roots and that less Na+ was transported to the shoots, while more of the K+ absorbed by the Brassica napus seedlings was retained in the leaves. It is speculated that this may be an important mechanism for Brassica napus seedlings to relieve Na+ toxicity. The spectroscopy analysis showed that, compared with the control group (T1), salt stress increased the absorbance values of carbohydrates, proteins, lipids, nucleic acids, etc., indicating structural damage to the plasma membrane and cell wall. The spectra of the isosteviol seed soaking treatment group were nearly the same as those of the control group (T1). The correlation analysis shows that under salt stress the Brassica napus seedling tissues could absorb large amounts of Na+ and Cl to induce oxidative stress and inhibit the growth of the plants. After the seed soaking treatment, isosteviol could significantly reduce the absorption of Na+ by the seedling tissues, increase the K+ content, and reduce the salt stress damage to the plant seedlings. Therefore, under salt stress, seed soaking with isosteviol at an appropriate concentration (10−9~10−8 M) can increase the salt resistance of Brassica napus seedlings by regulating their physiological and metabolic functions. Full article
(This article belongs to the Special Issue Molecular Mechanisms of Plant Salinity Stress and Tolerance)
Show Figures

Figure 1

22 pages, 2983 KB  
Article
F16 Hybrids Derived from Steviol or Isosteviol Are Accumulated in the Mitochondria of Tumor Cells and Overcome Drug Resistance
by Niels V. Heise, Julia Heisig, Kristof Meier, René Csuk and Thomas Mueller
Molecules 2024, 29(2), 381; https://doi.org/10.3390/molecules29020381 - 12 Jan 2024
Cited by 8 | Viewed by 2358
Abstract
Steviol and isosteviol were prepared from the commercially available sweetener stevioside and converted into lipophilic F16 hybrids. Their cytotoxicity was determined in SRB assays and showed to depend on both the substitution pattern of the aromatic substituent as well as on the spacer [...] Read more.
Steviol and isosteviol were prepared from the commercially available sweetener stevioside and converted into lipophilic F16 hybrids. Their cytotoxicity was determined in SRB assays and showed to depend on both the substitution pattern of the aromatic substituent as well as on the spacer length. Therefore, compound 25 held an IC50 (A2780) of 180 nM, thus surpassing the activity of comparable rhodamine hybrids. Several of the compounds were also able to overcome drug resistance in the A2780/A2780cis model. Extra staining experiments showed a similar subcellular accumulation pattern of the F16 hybrids as a well-established mitocan, hence proving preferential mitochondrial accumulation but also some other accumulation in other cellular areas. Full article
(This article belongs to the Special Issue Heterocycles in Medicinal Chemistry II)
Show Figures

Figure 1

24 pages, 42476 KB  
Article
Novel Isosteviol-Based FXa Inhibitors: Molecular Modeling, In Silico Design and Docking Simulation
by Marcin Gackowski, Burhanuddin Madriwala, Renata Studzińska and Marcin Koba
Molecules 2023, 28(13), 4977; https://doi.org/10.3390/molecules28134977 - 24 Jun 2023
Cited by 9 | Viewed by 3110
Abstract
Direct oral anticoagulants are an important and relatively new class of synthetic anticoagulant drugs commonly used for the pharmacotherapy of thromboembolic disorders. However, they still have some limitations and serious side effects, which continuously encourage medicinal chemists to search for new active compounds [...] Read more.
Direct oral anticoagulants are an important and relatively new class of synthetic anticoagulant drugs commonly used for the pharmacotherapy of thromboembolic disorders. However, they still have some limitations and serious side effects, which continuously encourage medicinal chemists to search for new active compounds acting as human-activated coagulation factor X (FXa) inhibitors. Isosteviol is a nontoxic hydrolysis product of naturally occurring stevioside and possesses a wide range of therapeutic properties, including anticoagulant activity. The present contribution describes the in silico design of novel oxime ether isosteviol derivatives as well as a molecular modeling approach based on QSAR analysis and a docking simulation for searching for novel isosteviol-based compounds as potential FXa inhibitors. The elaborated ANN model, encompassing topological and geometrical information, exhibited a significant correlation with FXa-inhibitory activity. Moreover, the docking simulation indicated six of the most promising isosteviol-like compounds for further investigation. Analysis showed that the most promising derivatives contain heterocyclic, aromatic, five-membered moieties, with substituents containing chlorine or fluorine atoms. It is anticipated that the findings reported in the present work may provide useful information for designing effective FXa inhibitors as anticoagulant agents. Full article
(This article belongs to the Special Issue Computational Method in Drug Design and Food Chemistry II)
Show Figures

Graphical abstract

24 pages, 1729 KB  
Article
The Finally Rewarding Search for A Cytotoxic Isosteviol Derivative
by Julia Heisig, Niels V. Heise, Sophie Hoenke, Dieter Ströhl and René Csuk
Molecules 2023, 28(13), 4951; https://doi.org/10.3390/molecules28134951 - 23 Jun 2023
Cited by 6 | Viewed by 2023
Abstract
Acid hydrolysis of stevioside resulted in a 63% yield of isosteviol (1), which served as a starting material for the preparation of numerous amides. These compounds were tested for cytotoxic activity, employing a panel of human tumor cell lines, and almost [...] Read more.
Acid hydrolysis of stevioside resulted in a 63% yield of isosteviol (1), which served as a starting material for the preparation of numerous amides. These compounds were tested for cytotoxic activity, employing a panel of human tumor cell lines, and almost all amides were found to be non-cytotoxic. Only the combination of isosteviol, a (homo)-piperazinyl spacer and rhodamine B or rhodamine 101 unit proved to be particularly suitable. These spacered rhodamine conjugates exhibited cytotoxic activity in the sub-micromolar concentration range. In this regard, the homopiperazinyl-spacered derivatives were found to be better than those compounds with piperazinyl spacers, and rhodamine 101 conjugates were more cytotoxic than rhodamine B hybrids. Full article
(This article belongs to the Special Issue Recent Advances in Development of Small Molecules to Fight Cancer)
Show Figures

Graphical abstract

1 pages, 185 KB  
Abstract
MARSplines Approach for Quantitative Relationships between Structure and Pharmacological Activity of Potential Drug Candidates
by Marcin Gackowski, Karolina Szewczyk-Golec and Marcin Koba
Med. Sci. Forum 2022, 14(1), 91; https://doi.org/10.3390/ECMC2022-13170 - 1 Nov 2022
Viewed by 987
Abstract
A multivariate adaptive regression splines (MARSplines) approach was applied to the quantitative structure–activity relationship studies of antitumor activity against murine leukemia L1210 of anthrapyrazoles, as well as activated coagulation factor X (FXa) inhibitory activity of isosteviol analogues. These two different sets of molecules [...] Read more.
A multivariate adaptive regression splines (MARSplines) approach was applied to the quantitative structure–activity relationship studies of antitumor activity against murine leukemia L1210 of anthrapyrazoles, as well as activated coagulation factor X (FXa) inhibitory activity of isosteviol analogues. These two different sets of molecules in the first stage underwent molecular modelling studies, i.e., geometrical optimization via the MM+ and the AM1 method using the Polak–Ribiere algorithm, and finally, about 5000 molecular descriptors encoding structural features were calculated. Afterwards, statistical analysis using the MARSplines algorithm was performed, which led to the establishment of a portfolio of submodels. As a result, the statistically significant MARS model that best describes quantitative structure–activity relationships for each set of the studied compounds was chosen. Elaborated models reveal which molecular properties have the greatest impact on the pharmacological activity of anthrapyrazole and isosteviol compounds. Among the independent variables appearing in the statistically significant MARS models, descriptors belonging to 2D Atom Pairs, 2D autocorrelations, 3D-MoRSE, GETAWAY, burden eigenvalues, RDF, and WHIM descriptors may be distinguished. The studies confirmed the benefit of using the MARSplines algorithm, the since high predictive power of the obtained models makes them useful for the prediction of antitumor and FXa inhibitory activity, and this approach can possibly be considered as a tool for searching for new drug candidates. Full article
(This article belongs to the Proceedings of The 8th International Electronic Conference on Medicinal Chemistry)
15 pages, 4233 KB  
Article
Quantitative Structure–Activity Relationship Analysis of Isosteviol-Related Compounds as Activated Coagulation Factor X (FXa) Inhibitors
by Marcin Gackowski, Karolina Szewczyk-Golec, Katarzyna Mądra-Gackowska, Robert Pluskota and Marcin Koba
Nutrients 2022, 14(17), 3521; https://doi.org/10.3390/nu14173521 - 26 Aug 2022
Cited by 10 | Viewed by 2480
Abstract
Stevioside, one of the natural sweeteners extracted from stevia leaves, and its derivatives are considered to have numerous beneficial pharmacological properties, including the inhibition of activated coagulation factor X (FXa). FXa-PAR signaling is a possible therapeutic target to enhance impaired metabolism and insulin [...] Read more.
Stevioside, one of the natural sweeteners extracted from stevia leaves, and its derivatives are considered to have numerous beneficial pharmacological properties, including the inhibition of activated coagulation factor X (FXa). FXa-PAR signaling is a possible therapeutic target to enhance impaired metabolism and insulin resistance in obesity. Thus, the goal of the investigation was a QSAR analysis using multivariate adaptive regression splines (MARSplines) applied to a data set of 20 isosteviol derivatives bearing thiourea fragments with possible FXa inhibitory action. The best MARS submodel described a strong correlation between FXa inhibitory activity and molecular descriptors, such as: B01[C-Cl], E2m, L3v, Mor06i, RDF070i and HATS7s. Five out of six descriptors included in the model are geometrical descriptors quantifying three-dimensional aspects of molecular structure, which indicates that the molecular three-dimensional conformation is of high significance for the MARSplines modeling procedure and obviously for FXa inhibitory activity. High model performance was confirmed through an extensive validation protocol. The results of the study not only confirmed the enhancement in pharmacological activity by the presence of chlorine in a phenyl ring, but also, and primarily, may provide the basis for searching for new active isosteviol analogues, which may serve as drugs or health-beneficial food additives in patients suffering from obesity and comorbidities. Full article
(This article belongs to the Special Issue Specialized Diet, Obesity and Associated Metabolic Diseases)
Show Figures

Graphical abstract

11 pages, 1293 KB  
Article
Isosteviol Sodium (STVNA) Reduces Pro-Inflammatory Cytokine IL-6 and GM-CSF in an In Vitro Murine Stroke Model of the Blood–Brain Barrier (BBB)
by Moritz Reschke, Ellaine Salvador, Nicolas Schlegel, Malgorzata Burek, Srikanth Karnati, Christian Wunder and Carola Y. Förster
Pharmaceutics 2022, 14(9), 1753; https://doi.org/10.3390/pharmaceutics14091753 - 23 Aug 2022
Cited by 9 | Viewed by 3247
Abstract
Early treatment with glucocorticoids could help reduce both cytotoxic and vasogenic edema, leading to improved clinical outcome after stroke. In our previous study, isosteviol sodium (STVNA) demonstrated neuroprotective effects in an in vitro stroke model, which utilizes oxygen-glucose deprivation (OGD). Herein, we tested [...] Read more.
Early treatment with glucocorticoids could help reduce both cytotoxic and vasogenic edema, leading to improved clinical outcome after stroke. In our previous study, isosteviol sodium (STVNA) demonstrated neuroprotective effects in an in vitro stroke model, which utilizes oxygen-glucose deprivation (OGD). Herein, we tested the hypothesis that STVNA can activate glucocorticoid receptor (GR) transcriptional activity in brain microvascular endothelial cells (BMECs) as previously published for T cells. STVNA exhibited no effects on transcriptional activation of the glucocorticoid receptor, contrary to previous reports in Jurkat cells. However, similar to dexamethasone, STVNA inhibited inflammatory marker IL-6 as well as granulocyte-macrophage colony-stimulating factor (GM-CSF) secretion. Based on these results, STVNA proves to be beneficial as a possible prevention and treatment modality for brain ischemia-reperfusion injury-induced blood–brain barrier (BBB) dysfunction. Full article
(This article belongs to the Collection Women in Pharmaceutics)
Show Figures

Figure 1

20 pages, 2129 KB  
Article
Synthesis and Biological Application of Isosteviol-Based 1,3-Aminoalcohols
by Dániel Ozsvár, Viktória Nagy, István Zupkó and Zsolt Szakonyi
Int. J. Mol. Sci. 2021, 22(20), 11232; https://doi.org/10.3390/ijms222011232 - 18 Oct 2021
Cited by 19 | Viewed by 3513
Abstract
Starting from isosteviol, a series of diterpenoid 1,3-aminoalcohol derivatives were stereoselectively synthesised. The acid-catalysed hydrolysis and rearrangement of natural stevioside gave isosteviol, which was transformed to the key intermediate methyl ester. In the next step, Mannich condensation of diterpenoid ketone, paraformaldehyde, and secondary [...] Read more.
Starting from isosteviol, a series of diterpenoid 1,3-aminoalcohol derivatives were stereoselectively synthesised. The acid-catalysed hydrolysis and rearrangement of natural stevioside gave isosteviol, which was transformed to the key intermediate methyl ester. In the next step, Mannich condensation of diterpenoid ketone, paraformaldehyde, and secondary amines resulted in the formation of 1,3-aminoketones with different stereoselectivities. During the Mannich condensation with dibenzylamine, an interesting N-benzyl → N-methyl substituent exchange was observed. Reduction of 1,3-aminoketones produced diastereoisomeric 1,3-aminoalcohols. Alternatively, aminoalcohols were obtained via stereoselective hydroxy-formylation, followed by oxime preparation, reduction, and finally, reductive alkylation of the obtained primary aminoalcohols. An alternative 1,3-aminoalcohol library was prepared by reductive amination of the intermediate 3-hydroxyaldehyde obtained from isosteviol in two-step synthesis. Cytotoxic activity of compounds against human tumour cell lines (A2780, SiHa, HeLa, MCF-7 and MDA-MB-231) was investigated. In our preliminary study, the 1,3-aminoalcohol function and N-benzyl substitution seemed to be essential for the reliable antiproliferative activity. To extend their application, a diterpenoid condensed with 2-phenylimino-1,3-thiazine and -1,3-oxazine was also attempted to prepare, but only formation of thioether intermediate was observed. Full article
(This article belongs to the Special Issue Advances in Molecular Activity of Potential Drugs)
Show Figures

Figure 1

17 pages, 7703 KB  
Article
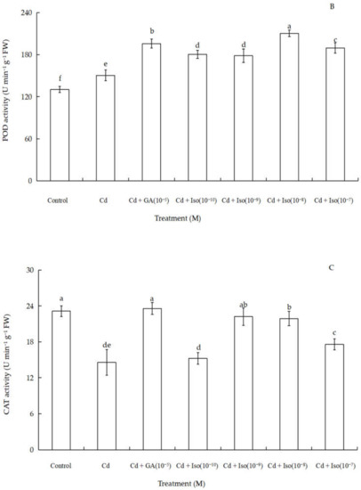
Effect of Isosteviol on Wheat Seed Germination and Seedling Growth under Cadmium Stress
by Liang Zhang and Bingbing Gao
Plants 2021, 10(9), 1779; https://doi.org/10.3390/plants10091779 - 26 Aug 2021
Cited by 19 | Viewed by 3646
Abstract
Cadmium (Cd) contamination of agricultural soil has become a serious threat to global food security. The present study highlights the effect of added isosteviol in modulating growth physiology and antioxidant defense systems conferring tolerance against cadmium (Cd) stress in wheat. Wheat growth, chlorophyll [...] Read more.
Cadmium (Cd) contamination of agricultural soil has become a serious threat to global food security. The present study highlights the effect of added isosteviol in modulating growth physiology and antioxidant defense systems conferring tolerance against cadmium (Cd) stress in wheat. Wheat growth, chlorophyll content, malondialdehyde (MDA) content of leaves, dehydrogenase activity of root, and antioxidant enzyme activity were determined to get an overview of cellular response in conquering Cd-induced oxidative stress damages. The results indicated that wheat germination was inhibited under Cd2+ concentration at 10 µM. The presence of isosteviol and gibberellic acid (GA) significantly alleviated the inhibitory effect on the growth of wheat seedling under 10 µM Cd2+ stress. Moreover, different concentrations of isosteviol and GA regulated the physiological changes of wheat under Cd stress: more chlorophyll a + b content; less MDA content; and higher dehydrogenase activity of root and antioxidant enzyme activity of superoxide dismutase (SOD), peroxidase (POD), and catalase (CAT), as compared to Cd alone in wheat seedling. The present study thus suggests a possible role of isosteviol in amelioration of Cd stress by increasing chlorophyll content and root dehydrogenase activity, which also could reduce oxidative damage of the cell membrane by regulating the activities of antioxidant enzymes in wheat seedling. Full article
Show Figures

Figure 1

14 pages, 3144 KB  
Article
STVNa Attenuates Isoproterenol-Induced Cardiac Hypertrophy Response through the HDAC4 and Prdx2/ROS/Trx1 Pathways
by Fei Liu, Hao Su, Bo Liu, Ying Mei, Qingjin Ke, Xiaoou Sun and Wen Tan
Int. J. Mol. Sci. 2020, 21(2), 682; https://doi.org/10.3390/ijms21020682 - 20 Jan 2020
Cited by 25 | Viewed by 6929
Abstract
Recent data show that cardiac hypertrophy contributes substantially to the overall heart failure burden. Mitochondrial dysfunction is a common feature of cardiac hypertrophy. Recent studies have reported that isosteviol inhibits myocardial ischemia-reperfusion injury in guinea pigs and H9c2 cells. This work investigated the [...] Read more.
Recent data show that cardiac hypertrophy contributes substantially to the overall heart failure burden. Mitochondrial dysfunction is a common feature of cardiac hypertrophy. Recent studies have reported that isosteviol inhibits myocardial ischemia-reperfusion injury in guinea pigs and H9c2 cells. This work investigated the protective mechanisms of isosteviol sodium (STVNa) against isoproterenol (Iso)-induced cardiac hypertrophy. We found that STVNa significantly inhibited H9c2 cell and rat primary cardiomyocyte cell surface, restored mitochondrial membrane potential (MMP) and morphological integrity, and decreased the expression of mitochondrial function-related proteins Fis1 and Drp1. Furthermore, STVNa decreased reactive oxygen species (ROS) levels and upregulated the expression of antioxidant factors, Thioredoxin 1 (Trx1) and Peroxiredoxin 2 (Prdx2). Moreover, STVNa restored the activity of histone deacetylase 4 (HDAC4) in the nucleus. Together, our data show that STVNa confers protection against Iso-induced myocardial hypertrophy primarily through the Prdx2/ROS/Trx1 signaling pathway. Thus, STVNA is a potentially effective treatment for cardiac hypertrophy in humans. Full article
(This article belongs to the Section Molecular Pathology, Diagnostics, and Therapeutics)
Show Figures

Figure 1

24 pages, 989 KB  
Review
Bioactivity Profile of the Diterpene Isosteviol and its Derivatives
by Asad Ullah, Sidra Munir, Yahia Mabkhot and Syed Lal Badshah
Molecules 2019, 24(4), 678; https://doi.org/10.3390/molecules24040678 - 14 Feb 2019
Cited by 60 | Viewed by 8604
Abstract
Steviosides, rebaudiosides and their analogues constitute a major class of naturally occurring biologically active diterpene compounds. The wide spectrum of pharmacological activity of this group of compounds has developed an interest among medicinal chemists to synthesize, purify, and analyze more selective and potent [...] Read more.
Steviosides, rebaudiosides and their analogues constitute a major class of naturally occurring biologically active diterpene compounds. The wide spectrum of pharmacological activity of this group of compounds has developed an interest among medicinal chemists to synthesize, purify, and analyze more selective and potent isosteviol derivatives. It has potential biological applications and improves the field of medicinal chemistry by designing novel drugs with the ability to cope against resistance developing diseases. The outstanding advancement in the design and synthesis of isosteviol and its derivative has proved its effectiveness and importance in the field of medicinal chemical research. The present review is an effort to integrate recently developed novel drugs syntheses from isosteviol and potentially active pharmacological importance of the isosteviol derivatives covering the recent advances. Full article
(This article belongs to the Collection Bioactive Compounds)
Show Figures

Graphical abstract

Back to TopTop