Abstract
Starting from isosteviol, a series of diterpenoid 1,3-aminoalcohol derivatives were prepared via stereoselective transformations. The acid-catalysed hydrolysis and rearrangement of natural stevioside produced isosteviol, which was transformed into the key intermediate methyl ester. In the next step, an 1,3-aminoalcohol library was prepared by the reductive amination of the intermediate 3-hydroxyaldehyde obtained from isosteviol in a two-step synthesis. To study the effect of the carboxylate ester function at position 4, the free carboxylic acid, benzyl ester and acryloyl ester analogues were prepared as elongated derivatives in comparison with our earlier results in this field. The antiproliferative activity of compounds against human tumour cell lines (A2780, HeLa, MCF-7 and MDA-MB-231) was investigated. In our preliminary study, the 1,3-aminoalcohol function with N-benzyl or (1H-imidazol-1-yl)-propyl substitution and benzyl ester moiety seemed essential for the reliable antiproliferative activity. The results obtained could be a good starting point to further functionalisation towards more efficient antiproliferative diterpenes.
1. Introduction
Nowadays, particular attention has been paid toward the glycosides of the plant Stevia rebaudiana, not only because they are much sweeter than sucrose and applied as a zero-calory artificial sweetener [1], but because they have a wide range of biological activities, including antibacterial, antiviral, and anticancer properties [2,3]. In addition to the glycosides, isosteviol, a derivative of stevioside aglycone steviol, has also been found to exhibit several biological activities, such as hypoglycemic, anti-inflammatory, antihypertensive, and anticancer [4,5]. Hence, to access new derivatives with remarkable biological activities, they are often structurally modified, and the resulting derivatives exhibit antiproliferative [6], antiviral [7], antimitotic [8], anticarcinogenic [9], cardioprotective [10], acetylcholinesterase inhibitor [11], antibacterial [12], and antituberculotic [13] activities.
The increasing number of cancer cases is a severe health problem worldwide and it is expected to reach 24 million by 2035 [14]. Despite modern therapies, current cancer treatment has several limitations, including side effects and the high costs of anticancer agents [15,16,17]. Therefore, developing new compounds, such as cheaper anticancer agents with higher bioactivities and weaker side effects, is imperative. Natural products and their modifications have been vital as anticancer agents, and metabolites of diterpenoids have increasingly become a significant part of anticancer drug research in the past decade [18,19]. Recently, microbial transformations and chemical modifications have been used to synthesise cytotoxic isosteviol derivatives, which have garnered significant attention [20,21,22]. In particular, hundreds of isosteviol derivatives are synthesised by chemical modifications on their reactive groups, and some of the compounds exhibit good cytotoxic activity and can become potential drug candidates [23]. Isosteviol derivatives containing the cyclopentanone ring with an exo-methylene bridge were synthesised by Zhang et al. [24], and their antiproliferative activities were evaluated against human gastric carcinoma MGC-803, HepG-2, and breast carcinoma MDA-MB-231 human cell lines.
The 1,3-oxoallyl derivative was certified as one of the most potent and most selective anticancer compounds in this group, which was more effective than Adriamycin (IC50: 2.53, 2.08, and 2.26 μM) with an IC50 value of 1.58 μM. At C-19 of the diterpenoid skeleton of isosteviol, some structural modifications were carried out by Khaybullin et al. They synthesised 15 hybrids of nitric oxide donor functionality and an isosteviol core, resulting in several compounds with antiproliferative properties [4]. The C-19 conjugated derivative was found to be the most potent against B16-F10 melanoma cells with an IC50 of 0.02 μM.
A series of 1,2- and 1,3-aminoalcohol derivatives of isosteviol were synthesised by Zhang et al., and they investigated their in vitro antitumour activities [25]. Their results demonstrated that both the hydroxyl and the amino functionalities proved to be advantageous considering the anticancer activities of the desired isosteviol derivatives. When the antiproliferative activities of diastereoisomeric and regioisomeric 1,3-aminoalcohols were compared, it was observed that there was no significant difference in the cytotoxicity between the epimers and regioisomers (IC50 values were observed between 2.47 µM and 12.25 µM against HCT-116, EC9706, and Eca109 cells), but any modification of the amino alcohol moiety resulted in decreased activity [23,25]. Similarly, the reaction of isosteviol-based 1,3-aminoalcohols with isothiocyanates resulted in thiourea derivatives with remarkable antiproliferative activity, whereas the p-nitrophenyl-substituted derivative showed the strongest cytotoxic activity with IC50 values of 1.45 µM, 2.35 µM, and 3.54 µM against HCT-116, HGC-27, and JEKO-1 cells, respectively [9].
In our recent work, we reported the synthesis of a series of isosteviol-based 1,3-aminoalcohols with the advantage of an N-benzyl substitution of the amino function on the antiproliferative activity of the prepared compounds [26]. In our present study, our aim is to extend the structure–activity examination of the effect of the N-substitution, as well as the changing in the ester function at position 4 either to a free carboxylic acid function or other ester groups, such as a benzyl functionality. We plan to extend the antiproliferative activity by combining the aminoalcohol function with other bioactive functions, like acroyl moieties at position 4 of the ent-caurane moiety.
2. Results and Discussion
2.1. Synthesis of Isosteviol-Based 1,3-Aminoalcohols
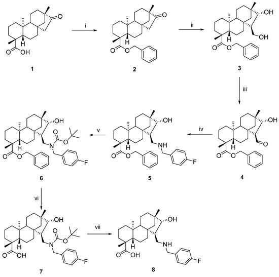
In our previous study, the structure–activity study revealed that the isosteviol methyl ester with a 1,3-aminoalcohol group and an N-(4-fluorobenzyl) moiety were the most effective against cancer cell lines. Consequently, this compound was chosen for further modifications [26]. Two possibilities were considered: building a number of new moieties on the NH group or forming an alternative functional group on the carboxyl function at position C-19. The second substitution of the amino function was excluded as the NH group was found in our previous study to be essential for cytotoxic activity. Therefore, only an additional modification of the benzylamino group seemed to be promising. In the literature, the carboxyl group of isosteviol was not found to play any role in the cytotoxic activity, making it a good starting point.
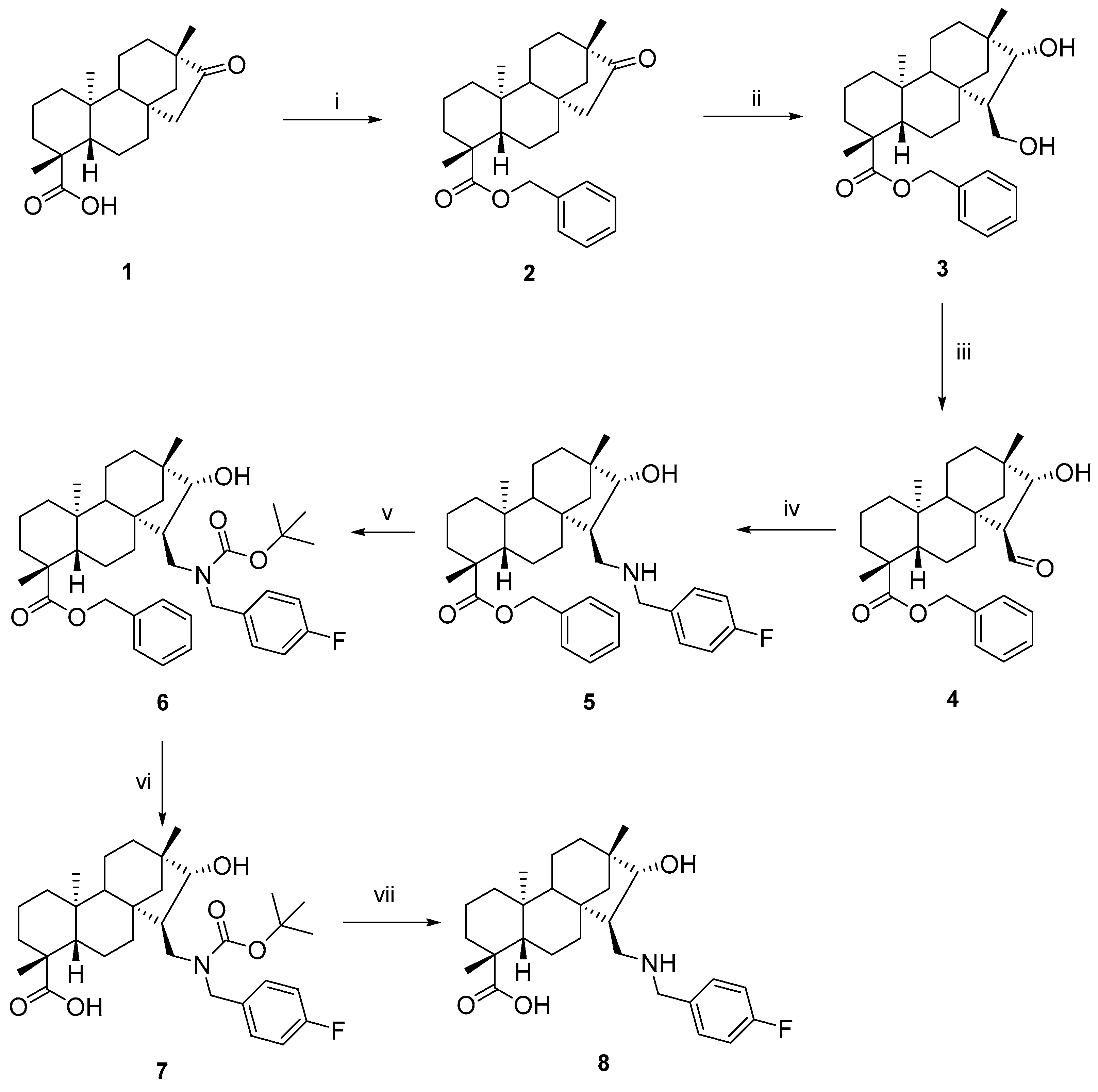
We desired to prepare a derivative containing a free carboxyl group by the removal of the methyl ester group. However, in our experiments, this proved to be unsuccessful, and this led to a change in the entire synthesis route. The use of a free carboxyl group in the synthesis was not feasible due to cross-reactions during the building of amino functionality, and the resulting products were not purifiable. The benzyl ester functional group was chosen since it could be easily removed by a debenzylation reaction, and the purification of the resulting intermediates seemed to be easier by column chromatography. The desired key intermediate 7 was produced in six steps with an acceptable yield (Scheme 1).
Scheme 1.
Synthesis of isosteviol-based N-(4-fluorobenzyl)-1,3-aminoalcohol 8. (i) BnBr, K2CO3, dry acetone, 4 h, 60 °C, 87%; (ii) HCHO, NaOEt, dry EtOH, 1 h, 60 °C, 78%; (iii) 10 mol% TEMPO, NBS, TBAB, DCM/H2O, 12 h, reflux, 83%; (iv) (1) 4-FBnNH2, dry EtOH, 3 h, 25 °C; (2) MeOH, NaBH4, 4 h, 25 °C, 70%; (v) Boc2O, dry DCM, 1 h, 25 °C, 79%; (vi) EtOAc/n-hexane, 5% Pd/C, H2 (1 atm), 24 h, 25 °C, 82%; (vii) (1) TFA, dry DCM, 3 h, 25 °C; (2) Et3N, dry DCM, 3 min, 25 °C, 77%.
Isosteviol 1 was obtained by acid-catalysed hydrolysis and the Wagner–Meerwein rearrangement of a natural mixture of stevioside according to a literature process [9]. The benzyl ester derivative of isosteviol 2 was prepared with benzyl bromide in a good yield.
Benzyl ester diol 3 was prepared with a good yield using a one-pot aldol-Cannizzaro process, a well-known stereoselective method according to the literature [27]. Compound 4 was prepared in a regioselective manner in an excellent yield by the TBAB-catalysed oxidation of 3 with TEMPO and NBS. The synthesis of N-(4-fluorobenzyl)-1,3-aminoalcohol benzyl ester 5 was carried out by a two-step synthesis. First, the reductive amination of hydroxyaldehyde 4 with 4-fluorobenzylamine formed a Schiff base, followed by its reduction with NaBH4 under mild conditions.
The synthesis of 8 required a debenzylation reaction, but it also removed the N-benzyl unit. To avoid this unwanted reaction, the nitrogen was protected with the Boc group. Boc-protected 7 with a free carboxyl function was obtained in an excellent yield during the debenzylation of 6 by hydrogenolysis over Pd/C in a 1:1 mixture of EtOAc/n-hexane without the elimination of the 4-fluorobenzyl function.
The removal of the N-Boc-protecting group under acidic conditions was accomplished by TFA treatment, resulting in the corresponding salt of 8, which was dissolved in DCM, neutralised with TEA to produce free-base 8 in a pure form (Scheme 1).
2.2. (Acryloyloxy)butyl and Propargyl Ester Derivatives of N-Substituted 1,3-Aminoalcohols
In the next step of the synthesis, a linker containing an acrylic acid unit was prepared through a simple esterification reaction between acrylic acid and 1,4-dibromobutane. The excess use of 1,4-dibromobutane was necessary to suppress diester formation. However, because of the fast dimerisation of acrylic acid and the elongated reaction time, both an esterified monomer and dimer products were formed and isolated in the esterification reaction (Scheme 2). This provided an opportunity to investigate the contribution of the carbon chain length to the development of cytotoxic effects.
Scheme 2.
Synthesis of allyl (11, 12) and acetylene derivatives (13, 14). (i) Acrylic acid, K2CO3, 1,4-dibromobutane, dry acetone, 24 h, 25 °C, 61% (9), 26% (10); (ii) 4-bromobutyl acrylate, K2CO3, dry acetone, 24 h, 25 °C, 83%; (iii) 3-(4-bromobutoxy)-3-oxopropyl acrylate, K2CO3, dry acetone, 24 h, 25 °C, 77%; (iv) propargyl bromide, K2CO3, dry acetone, 24 h, 25 °C, 88%; (v) (1) TFA, dry DCM, 3 h, 25 °C; (2) Et3N, dry DCM, 3 min, 25 °C, 79%.
During the synthetic process, acrylic acid esters containing one or two acrylic units were coupled to product 7 via a simple ester formation, resulting in 11 and 12. N-Boc protection was necessary to avoid the N-alkylation reaction. Unfortunately, the removal of the Boc groups could not be carried out due to the formation of many side reactions. It was surmised that these products were formed in inter- or intramolecular aza-Michael reaction between the free NH group and the acryloyloxy function (Scheme 2).
Finally, compound 14 with an alkyne function on the C-19 was prepared by reacting 7 with propargyl bromide, followed by removing the Boc-protecting group (Scheme 2).
2.3. Isosteviol-Based 1,3-Aminoalcohols with Diverse O and N Functions
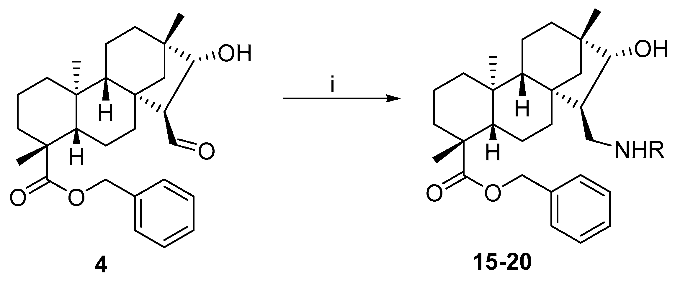
The isosteviol-based 1,3-aminoalcohols were found to be the most effective products against cancer cell lines among those synthesised to date. Thus, it was decided to expand the library of 1,3-aminoalcohols by reacting hydroxyaldehyde benzyl ester 4 with six different primary amines. In the method for synthesising 15–20, the results of the N-substituted isosteviol-based 1,3-aminoalcohol experiment were utilised. The syntheses were performed in two parts. First, hydroxyaldehyde 4 was subjected to reductive amination with primary amines to form Schiff bases. The second step involved a reduction with NaBH4 under mild conditions. The desired N-substituted 1,3-aminoalcohols 15–20 were obtained in moderate yields. Crystallisation was employed to purify each product, resulting in a 98% purity of the aminoalcohols with low product recovery. Scheme 3 and Table 1 show the synthesised products and the corresponding yields.
Scheme 3.
Synthesis of isosteviol-based 1,3-aminoalcohols. (i) (1) RNH2 (1 equ.), dry EtOH, 3 h, 25 °C; (2) MeOH, NaBH4 (2 equ.), 4 h, 25 °C, 21–68%.
Table 1.
Synthesis of 1,3-aminoalcohols 14–19 via Schiff intermediates.
To determine the extent to which the development of the cytotoxic effect was contributed to by the various NH-linked units, a 6-membered 1,3-aminoalcohol library 23–28 was prepared, whereas benzyl ester 4 served as a key intermediate in the first step. Acid 21 was prepared from 4 by the debenzylation over 5% Pd/C in the 1:1 mixture of n-hexane/EtOAc, followed by re-esterification with diazomethane to obtain 22 (Scheme 4).
Scheme 4.
Synthesis of the library of 23–28. (i) EtOAc/n-hexane 1:1, 5% Pd/C, H2 (1 atm), 24 h, 25 °C, 63%; (ii) CH2N2, Et2O, 5 min, 25 °C, 81%; (iii) (1) RNH2 (1 equ.), dry EtOH, 3 h, 25 °C; (2) MeOH, NaBH4 (2 equ.), 4 h, 25 °C, 38–88%.
The 1,3-aminoalcohol library 23–28 was prepared by reacting hydroxyaldehyde 22 with 6 primary amines, followed by a reduction of the resulting Schiff bases (Scheme 4 and Table 2).
Table 2.
Synthesis of 1,3-aminoalcohols 23–28 via Schiff products.
2.4. In Vitro Antiproliferative Studies of Steviol-Based Aminoalcohols and Structure–Activity Relationship
The antiproliferative activities of the prepared diterpene analogues were studied using an MTT assay on a panel of human adherent cancer lines, including cells from cervical (HeLa), breast (MDA-MB-231, MCF-7), and ovary cancers (A2780), as given in Figure 1 and Table S1 in the Supplementary Materials. A non-malignant fibroblast cell line (NIH/3T3) was also utilised to obtain preliminary information on the cancer selectivity of the tested compounds. Based on the obtained activities, some conclusions could be drawn regarding the structure–activity relationships (SARs). Since neither the key intermediate benzyl ester of hydroxylaldehyde 4 nor the N-Boc protected aminoalcohols (6, 7, 11, 12) or even compound 8 with a free carboxylic function exerted remarkable antiproliferative effects (except for 12 against A2780 ovarian cancer cells), we could conclude that the simultaneous presence of the ester function and the basic secondary amino function were essential for the inhibition of cell growth. No consistent and substantial difference was recognised comparing the activity of the benzyl esters of the secondary amines (15–20) and their methyl analogues (23–28), indicating that the alcohol had no crucial impact on the antiproliferative properties. All active molecules inhibited considerably the proliferation of non-malignant cells, which meant that most currently presented agents were not optimal for further investigations of their anticancer properties.
Figure 1.
Antiproliferative properties showing IC50 values of the prepared isosteviol analogues against cancer cells and NIH/3T3 fibroblasts. The numeric values are given in Table S1 in the Supplementary Materials.
Changing the methyl ester function of our most active compound produced during our previous work (methyl ester and N-4-fluorobenzyl-substituted aminoalcohol, (best IC50 value: 2.14 µM for MCF-7 cells) [26], and propargyl (14, best IC50: 1.54 µM for MCF-7 cells)) increased the antiproliferative activity, while the benzyl ester presented similar results. This was probably due to their π–π overlapping properties. Note, however, that in the case of the free carboxylic function, the antiproliferative activity was lost.
The further change in the 4-fluorobenzyl substituent into other aromatic systems did not increase the activity. Surprisingly, compound 20 substituted with the N-(1H-imidazol-1-yl)propyl group was proven to be the most active derivative (best IC50 value: 1.37 µM for MCF-7 cells), despite our previous observation that an N-alkyl substitution reduced the antiproliferative activity [26,28]. Since this latter molecule seems to be superior to the clinically utilised cisplatin, it can be regarded as a potential hit compound and it can be investigated further.
3. Materials and Methods
3.1. Chemistry
General methods: commercially available reagents were used as obtained from the suppliers (Molar Chemicals Ltd., Halásztelek, Hungary; Merck Ltd., Budapest, Hungary and VWR International Ltd., Debrecen, Hungary), while solvents were dried according to standard procedures. Optical rotations were measured in MeOH at 20 °C with a Perkin-Elmer 341 polarimeter (PerkinElmer Inc., Shelton, CT, USA). Chromatographic separations and monitoring of the reactions were carried out on Merck Kieselgel 60 (Merck Ltd., Budapest, Hungary). Melting points were determined on a Kofler apparatus (Nagema, Dresden, Germany). 1H- and 13C-NMR spectra were recorded on a Brucker Avance DRX 500 spectrometer (500 MHz (1H) and 125 MHz (13C), δ = 0 (TMS)). Chemical shifts were expressed in ppm (δ) relative to the TMS as an internal reference. J values were presented as Hz. All 1H/13C NMR, NOESY, 2D-HMBC, and 2D-HSQC spectra are available in the Supplementary Materials. An HRMS flow injection analysis was performed with a Thermo Scientific Q Exactive Plus hybrid quadrupole-Orbitrap (Thermo Fisher Scientific, Waltham, MA, USA) mass spectrometer coupled to a Waters Acquity I-Class UPLC™ (Waters, Manchester, UK).
Starting materials: stevioside was obtained from Molar Chemicals Ltd., Halásztelek, Hungary. Isosteviol 1 was prepared from commercially available stevioside or a mixture of steviol glycosides in a one-step synthesis according to the literature, and all spectroscopic data were the same as described in the literature [29].
Compounds 2 [30], 3 [31], 9 [32], 21 [33], and 22 [26] were prepared by the methods presented in the literature. Their spectroscopic data and physical and chemical properties were similar to those reported in the literature.
3.1.1. (4R,4aS,6aS,7S,8R,9S,11bS)-Benzyl 7-formyl-8-hydroxy-4,9,11b-trimethyltetradecahydro-6a,9-methanocyclohepta[a]naphthalene-4-carboxylate (4)
To a solution of 3 (6.81 mmol, 3.00 g) in 1/1 DCM/H2O (300 mL), TEMPO (10 mol%, 106 mg), NBS (13.62 mmol, 2.42 g), and TBAB (6.81 mmol, 2.20 g) were added. After a 12 h reflux, the reaction was found to be completed (indicated by TLC), and the mixture was extracted with DCM (3 × 100 mL). The combined organic phase was extracted with water (1 × 100 mL), dried (Na2SO4), filtered, and concentrated. The purification of the crude product was accomplished by column chromatography on silica gel with an appropriate solvent mixture (n-hexane/EtOAc = 3:1). Yield: 2.48 g (83%); colourless oil; [α]D20 = −69 (c 0.71 MeOH); 1H-NMR (500 MHz, CDCl3) δ (ppm): 0.79 (s, 3H), 0.86–0.91 (m, 1H), 0.95 (s, 3H), 0.99–1.04 (m, 3H), 1.12–1.15 (m, 1H), 1.19 (s, 3H), 1.22–1.23 (m, 1H), 1.33–1.36 (m, 1H), 1.41–1.45 (m, 1H), 1.50–1.4 (m, 1H), 1.64–1.85 (m, 8H), 2.22 (d, 1H, J = 13.2 Hz), 2.85–2.86 (m, 1H), 4.27 (d, 1H, J = 4.9 Hz), 5.03 (d, 1H, J = 12.2 Hz), 5.14 (d, 1H, J = 12.2 Hz), 7.31–7.39 (m, 5H), 9.77 (d, 1H, J = 2.2 Hz); 13C-NMR (125 MHz, CDCl3) δ (ppm) 13.1 (CH3), 18.8 (CH2), 19.7 (CH2), 21.8 (CH2), 24.5 (CH3), 28.8 (CH3), 33.0 (CH2), 36.0 (CH2), 38.1 (Cq), 38.4 (Cq), 39.6 (CH2), 41.1 (Cq), 43.9 (Cq), 46.5 (Cq), 53.9 (CH2), 56.9 (CH), 57.3 (CH), 61.7 (CH), 66.3 (CH2), 78.2 (CH), 128.3 (CH), 128.6 (2 × CH), 128.6 (2 × CH), 135.9 (Cq), 177.1 (C=O), 204.0 (CHO). C28H38O4: 438.5989. HRMS (ESI+): m/z calcd. for C28H39O4 [M + H]+ 439.2848; found 439.28230.
3.1.2. (4R,4aS,6aS,7R,8R,9S,11bS)-Benzyl 7-(((4-fluorobenzyl)amino)methyl)-8-hydroxy-4,9,11b-trimethyltetradecahydro-6a,9-methanocyclohepta[a]naphthalene-4-carboxylate (5)
To a solution of 4 (1.14 mmol, 500 mg) in dry EtOH (20 mL), 4-fluorobenzylamine (1.14 mmol, 130 µL) was added in one portion, and the solution was stirred at room temperature for 3 h and then evaporated to dryness. The residue was dissolved in dry EtOH (20 mL), stirred for a further 1 h, and evaporated to dryness again. The product was dissolved in dry MeOH (20 mL), and NaBH4 (2.28 mmol, 90 mg) was added in small portions to the mixture under ice cooling. After stirring for 4 h at room temperature, the mixture was evaporated to dryness, and the residue was dissolved in H2O (50 mL) and extracted with DCM (3 × 50 mL). The combined organic layer was dried (Na2SO4), filtered, and evaporated to dryness. The crude product obtained was purified by column chromatography on silica gel (CHCl3/MeOH = 19:1). Yield: 440 mg (70%); colourless oil; [α]D20 = −38 (c 1.6 MeOH); 1H-NMR (500 MHz, CDCl3) δ (ppm): 0.65 (s, 3H), 0.83–0.88 (m, 2H), 0.90 (s, 3H), 0.93–1.07 (m, 5H), 1.13–1.15 (m, 1H), 1.19 (s, 3H), 1.31 (d, 1H, J = 11.5 Hz), 1.40 (d, 1H, J = 14.2 Hz), 1.53–1.84 (m, 9H), 2.20 (d, 1H, J = 13.4 Hz), 2.33 (t, 1H, J = 11.9 Hz), 2.89 (dd, 1H, J = 3.7 Hz, 11.2 Hz), 3.44 (d, 1H, J = 4.8 Hz), 3.65 (d, 1H, J = 13.1 Hz), 3.85 (d, 1H, J = 13.1 Hz), 5.07 (dd, 2H, J = 12.4 Hz, J = 12.4 Hz), 7.01 (t, 2H, J = 8.5 Hz), 7.30–7.36 (m, 7H); 13C-NMR (125 MHz, CDCl3) δ (ppm): 13.3 (CH3), 18.9 (CH2), 19.5 (CH2), 22.2 (CH2), 25.1 (CH3), 29.0 (CH3), 33.0 (CH2), 35.0 (CH2), 38.0 (CH2), 38.2 (Cq), 39.6 (CH2), 40.7 (Cq), 42.3 (Cq), 43.9 (Cq), 48.0 (CH), 51.6 (CH2), 53.2 (CH2), 54.2 (CH2), 57.2 (CH), 57.7 (CH), 66.0 (CH2), 88.3 (CH), 115.2 (CH), 115.3 (CH), 128.0 (CH), 128.3 (CH), 128.4 (2 × CH), 129.8 (2 × CH), 129.9 (CH), 135.4 (Cq-F), 136.1 (2 × Cq), 136.2 (Cq-F), 161.1 (Cq-F), 163.0 (Cq-F), 177.1 (C=O); 19F-NMR (470 MHz, CDCl3) δ (ppm): −116.2 (Cq-F). C35H46FNO3: 547.7430. HRMS (ESI+): m/z calcd. for C35H47FNO3 [M + H]+ 548.3540; found 548.3533.
3.1.3. (4R,4aS,6aS,7R,8R,9S,11bS)-Benzyl 7-(((tert-butoxycarbonyl)(4-fluorobenzyl)amino)methyl)-8-hydroxy-4,9,11b-trimethyltetradecahydro-6a,9-methanocyclohepta[a]naphthalene-4-carboxylate (6)
To a solution of 5 (0.91 mmol, 500 mg) in dry DCM (10 mL), tert-butyloxycarbonyl anhydride (0.91 mmol, 200 mg) was added in one portion. The solution was stirred at room temperature for 2 h and then evaporated to dryness, and the residue was dissolved in DCM (10 mL) and extracted with H2O (3 × 10 mL). The organic layer was dried (Na2SO4), filtered, and evaporated to dryness. The crude product obtained was purified by column chromatography on silica gel (n-hexane/EtOAc = 4:1). Yield: 470 mg (79%); colourless oil; [α]D20 = −1 (c 2.80 MeOH); 1H-NMR (500 MHz, CDCl3) δ (ppm): 0.70 (s, 3H), 0.83–0.87 (m, 1H), 0.90 (s, 3H), 0.92–1.06 (m, 5H), 1.12–1.18 (m, 4H), 1.37–1.42 (m, 2H), 1.47 (s, 9H), 1.56–1.84 (m, 8H), 2.14–2.21 (m, 2H), 3.03 (dd, 1H, J = 4.5 Hz, J = 13.8 Hz), 3.55 (t, 1H, J = 13.1 Hz), 3.64 (d, 1H, J = 4.4 Hz), 4.18 (d, 1H, J = 15.5 Hz), 4.66 (d, 1H, J = 15.5 Hz), 4.87 (d, 1H, J = 12.5 Hz), 5.18 (d, 1H, J = 12.5 Hz), 6.99 (t, 2H, J = 8.6 Hz), 7.23–7.31 (m, 7H); 13C-NMR (125 MHz, CDCl3) δ (ppm): 13.5 (CH3), 19.0 (CH2), 19.5 (CH2), 22.0 (CH2), 25.1 (CH3), 28.5 (3 × CH3), 29.0 (CH3), 33.2 (CH2), 34.9 (CH2), 37.9 (CH2), 38.2 (Cq), 39.5 (CH2), 41.0 (Cq), 42.9 (Cq), 43.8 (Cq), 45.6 (CH), 47.5 (CH2), 49.3 (CH2), 53.9 (CH2), 57.3 (CH), 57.7 (CH), 65.8 (CH2), 80.0 (Cq), 85.6 (CH), 115.3 (CH), 115.5 (CH), 127.9 (CH), 127.9 (2 × CH), 128.4 (2 × CH), 129.4 (CH), 129.5 (CH), 134.3 (2 × Cq), 136.3 (Cq), 156.5 (Cq-F), 161.1 (Cq-F), 163.1 (Cq-F), 176.8 (C=O); 19F-NMR (470 MHz, CDCl3) δ (ppm): −115.0 (Cq-F). C40H54FNO5: 647.3986. HRMS (ESI+): m/z calcd. for C40H55FNO5 [M + H]+ 648.4064; found 648.4074.
3.1.4. (4R,4aS,6aS,7R,8R,9S,11bS)-7-(((tert-butoxycarbonyl)(4-fluorobenzyl)amino)methyl)-8-hydroxy-4,9,11b-trimethyltetradecahydro-6a,9-methanocyclohepta[a]naphthalene-4-carboxylic Acid (7)
To a suspension of palladium on carbon (5% Pd/C, 120 mg) in n-hexane/EtOAc (1:1, 20 mL) we added 6 (0.77 mmol, 500 mg) in n-hexane/EtOAc (1:1, 20 mL), and the mixture was stirred in an H2 atmosphere (1 atm) at room temperature. After the completion of the reaction (monitored by TLC for 24 h), the mixture was filtered through a Celite pad, and the solution was evaporated to dryness. The crude product was purified by column chromatography on silica gel (CHCl3/MeOH = 9:1). Yield: 350 mg (82%), colourless oil; [α]D20 = −9 (c 0.67 MeOH); 1H-NMR (500 MHz, CDCl3) δ (ppm): 0.85–0.89 (m, 1H), 0.90 (s, 3H), 0.92 (s, 3H), 0.94–1.05 (m, 4H), 1.09–1.11 (m, 1H), 1.13–1.18 (m, 1H), 1.20 (s, 3H), 1.37–1.42 (m, 1H), 1.49 (s, 9H), 1.58–1.81 (m, 9H), 2.16–2.19 (m, 2H), 2.99–3.02 (m, 1H), 3.56 (t, 1H, J = 12.5 Hz), 3.76 (d, 1H, J = 4.4 Hz), 3.95 (d, 1H, J = 15.3 Hz), 4.86–4.88 (m, 1H), 7.00 (t, 2H, J = 8.6 Hz), 7.24–7.26 (m, 2H); 13C-NMR (125 MHz, CDCl3) δ (ppm): 13.6 (CH3), 18.8 (CH2), 19.6 (CH2), 21.9 (CH2), 25.2 (CH3), 28.5 (3 × CH3), 29.0 (CH3), 33.2 (CH2), 34.8 (CH2), 37.8 (CH2), 38.4 (Cq), 39.6 (CH2), 41.0 (Cq), 42.9 (Cq), 43.7 (Cq), 45.9 (CH), 46.8 (CH2), 48.6 (CH2), 53.9 (CH2), 57.2 (CH), 57.7 (CH), 80.1 (Cq), 115.4 (CH), 115.5 (CH), 129.8 (2 × CH), 156.4 (Cq-F), 161.2 (Cq-F), 163.2 (Cq-F), 171.3 (Cq), 183.4 (C=O); 19F-NMR (470 MHz, CDCl3) δ (ppm): −116.2 (Cq-F). C33H48FNO5: 557.7363. HRMS (ESI+): m/z calcd. for C33H49FNO5 [M + H]+ 558.3595; found 558.3607.
3.1.5. (4R,4aS,6aS,7R,8R,9S,11bS)-7-(((4-Fluorobenzyl)amino)methyl)-8-hydroxy-4,9,11b-trimethyltetradecahydro-6a,9-methanocyclohepta[a]naphthalene-4-carboxylic Acid (8)
To a solution of 7 (0.54 mmol, 300 mg) in dry DCM (15 mL) at 0 °C we added TFA (6.53 mmol, 0.50 mL). The ice bath was removed and the reaction mixture was stirred at room temperature for 3 h. The solvent and TFA were removed in vacuo and the residue was diluted with dry DCM. The mixture was cooled to 0 °C and we added TEA (1.23 mmol, 171.10 µL). The resulting homogeneous mixture was allowed to warm to room temperature and stirred for 1 h. The solution was evaporated to dryness and the crude product was purified by column chromatography on silica gel (CHCl3/MeOH = 9:1). Yield: 190 mg (77%); white crystals; m.p. 149–150 °C; [α]D20 = −39 (c 0.28 MeOH); 1H-NMR (500 MHz, CDCl3) δ (ppm): 0.77 (s, 3H), 0.80–0.84 (m, 2H), 0.90 (s, 3H), 0.94–1.03 (m, 3H), 1.06–1.09 (m, 4H), 1.13–1.18 (m, 1H), 1.29 (d, 1H, J = 11.4 Hz), 1.35 (d, 1H, J = 14.1 Hz), 1.52–1.85 (m, 8H), 2.09 (d, 1H, J = 13.1 Hz), 2.21 (d, 1H, J = 12.0 Hz), 2.52 (d, 1H, J = 11.6 Hz), 3.10 (d, 1H, J = 8.4 Hz), 3.42 (s, 1H), 3.86 (d, 1H, J = 12.4 Hz), 3.97 (d, 1H, J = 12.4 Hz), 7.04 (t, 2H, J = 8.4 Hz), 7.39 (t, 2H, J = 6.9 Hz); 13C-NMR (125 MHz, CDCl3) δ (ppm): 14.6 (CH3), 18.9 (CH2), 19.4 (CH2), 22.0 (CH2), 25.1 (CH3), 29.2 (CH3), 33.0 (CH2), 34.8 (CH2), 37.8 (CH2), 38.1 (Cq), 39.6 (CH2), 41.5 (Cq), 43.3 (Cq), 43.9 (Cq), 46.0 (CH), 51.1 (CH2), 52.3 (CH2), 56.7 (CH), 56.9 (CH), 86.1 (CH), 115.6 (CH), 115.8 (CH), 130.1 (Cq), 131.4 (CH), 131.5 (CH), 161.8 (Cq-F), 163.8 (Cq-F), 182.5 (C=O). C28H40FNO3: 457.6205. HRMS (ESI+): m/z calcd. for C28H41FNO3 [M + H]+ 458.3070; found 458.3060.
3.1.6. 4-Bromobutyl Acrylate (9) and 3-(4-Bromobutoxy)-3-oxopropyl Acrylate (10)
To a suspension of potassium carbonate (2.78 mmol, 380 mg) in dry acetone (50 mL), acrylic acid containing approx. 20% dimer (2.78 mmol, 200 mg) and 1,4-dibromobutane (2.78 mmol, 332 µL) was added and the mixture was stirred at room temperature for 1 day. After the completion of the reaction (monitored by TLC for 24 h), the mixture was filtered through filter paper and the solution was evaporated to dryness. The crude product was purified by column chromatography on silica gel (n-hexane/EtOAc = 3:1). Yield: 351 mg (product 9, 61%), 202 mg (product 10, 26%); colourless oil; 1H-NMR (500 MHz, CDCl3) δ (ppm): 1.18–1.84 (m, 2H), 1.91–1.96 (m, 2H), 2.69 (t, 2H, J = 6.3 Hz), 3.42 (t, 2H, J = 6.6 Hz), 4.16 (t, 2H, J = 6.2 Hz), 4.44 (t, 2H, J = 6.4 Hz), 5.83 (d, 1H J = 10.5 Hz), 6.11 (dd, 1H, J = 10.5 Hz, J = 17.0 Hz), 6.40 (d, 1H, J = 17,1 Hz); 13C-NMR (125 MHz, CDCl3) δ (ppm): 27.3 (CH2), 29.2 (CH2), 32.7 (CH2), 34.0 (CH2), 59.9 (CH2), 63.8 (CH2), 128.1 (CH), 131.0 (CH2), 165.8 (Cq), 170.5 (Cq); C10H15BrO4: 279.1277. HRMS (ESI+): m/z calcd. for C10H16BrO4 [M + H]+ 280.1356; found 280.1368.
3.1.7. (4R,4aS,6aS,7R,8R,9S,11bS)-4-(Acryloyloxy)butyl 7-(((tert-butoxycarbonyl)(4-fluorobenzyl)amino)methyl)-8-hydroxy-4,9,11b-trimethyltetradecahydro-6a,9-methanocyclohepta[a]naphthalene-4-carboxylate (11)
To a suspension of potassium carbonate (0.44 mmol, 30 mg) in dry acetone (15 mL) we added 7 (0.22 mmol, 100 mg) and 4-bromobutyl acrylate (0.22 mmol, 35 µL), and the mixture was stirred at room temperature for one day. After the completion of the reaction (monitored by TLC, 24 h), the mixture was filtered through filter paper, and the solution was evaporated to dryness. The crude product was purified by column chromatography on silica gel (n-hexane/EtOAc = 3:1). Yield: 120 mg (83%); colourless oil; [α]D20 = −17 (c 0.05 MeOH); 1H-NMR (500 MHz, CDCl3) δ (ppm): 0.72 (s, 3H), 0.84–0.87 (m, 1H), 0.90 (s, 3H), 0.95–1.06 (m, 5H), 1.13 (s, 3H), 1.15–1.20 (m, 1H), 1.39–1.43 (m, 3H), 1.47 (s, 9H), 1.56–1.83 (m, 11H), 2.13–2.20 (m, 2H), 3.02 (dd, 1H, J = 4.6 Hz, J = 13.8 Hz), 3.58–3.65 (m, 2H), 3.81–3.86 (m, 1H), 4.08–4.17 (m, 4H), 4.78 (d, 1H, J = 15.6 Hz), 5.81 (d, 1H, J = 10.5 Hz), 6.11 (dd, 1H, J = 10.5 Hz, J = 17.6 Hz), 6.39 (d, 1H, J = 17.6 Hz), 7.01 (t, 2H, J = 8.7 Hz), 7.22–7.25 (m, 2H); 13C-NMR (125 MHz, CDCl3) δ (ppm): 13.4 (CH3), 19.0 (CH2), 19.5 (CH2), 22.1 (CH2), 25.1 (CH3), 25.3 (CH2), 25.6 (CH2), 28.5 (3 × CH3), 29.0 (CH3), 33.3 (CH2), 34.9 (CH2), 38.0 (CH2), 38.2 (Cq), 39.5 (CH2), 41.0 (Cq), 42.8 (Cq), 43.8 (Cq), 45.5 (CH), 47.1 (CH2), 48.8 (CH2), 54.0 (CH2), 57.2 (CH), 57.8 (CH), 63.4 (CH2), 64.0 (CH2), 80.1 (Cq), 85.7 (CH), 115.4 (CH), 115.6 (CH), 128.5 (CH), 129.3 (2 × CH), 130.6 (CH2), 134.2 (Cq), 134.3 (Cq), 156.5 (Cq-F), 161.2 (Cq-F), 163.1 (Cq-F), 166.2 (C=O), 177.1 (C=O); 19F-NMR (470 MHz, CDCl3) δ (ppm): −115.0 (Cq-F). C40H58FNO7: 683.8894. HRMS (ESI+): m/z calcd. for C40H59FNO7 [M + H]+ 684.4064; found 684.4283.
3.1.8. (4R,4aS,6aS,7R,8R,9S,11bS)-4-((3-(Acryloyloxy)propanoyl)oxy)butyl 7-(((tert-butoxycarbonyl)(4-fluorobenzyl)amino)methyl)-8-hydroxy-4,9,11b-trimethyltetradecahydro-6a,9-methanocyclohepta[a]naphthalene-4-carboxylate (12)
To a suspension of potassium carbonate (0.44 mmol, 30 mg) in dry acetone (15 mL) we added 7 (0.22 mmol, 100 mg) and 3-(4-bromobutoxy)-3-oxopropyl acrylate-product 10 (0.22 mmol, 60 mg), and the mixture was stirred at room temperature for one day. After the completion of the reaction (monitored by TLC for 24 h), the mixture was filtered through filter paper, and the solution was evaporated to dryness. The crude product was purified by column chromatography on silica gel (n-hexane/EtOAc = 3:1). Yield: 130 mg (77%); colourless oil; [α]D20 = +8.7 (c 0.11 MeOH); 1H-NMR (500 MHz, CDCl3) δ (ppm): 0.72 (s, 3H), 0.84–0.88 (m, 1H), 0.90 (s, 3H), 0.95–1.06 (m, 5H), 1.12 (s, 3H), 1.15–1.20 (m, 1H), 1.39–1.43 (m, 3H), 1.47 (s, 9H), 1.57–1.82 (m, 11H), 2.12–2.20 (m, 2H), 2.68 (t, 2H, J = 6.3 Hz), 3.02 (dd, 1H, J = 4.6 Hz, J = 13.8 Hz), 3.57–3.65 (m, 2H), 3.80–3.84 (m, 1H), 4.07–4.16 (m, 4H), 4.43 (t, 2H, J = 6.5 Hz), 4.79 (d, 1H, J = 15.6 Hz), 5.81 (d, 1H, J = 10.5 Hz), 6.10 (dd, 1H, J = 10.5 Hz, J = 17.6 Hz), 6.39 (d, 1H, J = 17.6 Hz), 7.01 (t, 2H, J = 8.9 Hz), 7.22–7.25 (m, 2H); 13C-NMR (125 MHz, CDCl3) δ (ppm): 13.4 (CH3), 19.0 (CH2), 19.5 (CH2), 22.1 (CH2), 25.1 (CH3), 25.2 (CH2), 25.5 (CH2), 28.5 (3 × CH3), 29.1 (CH3), 33.3 (CH2), 34.0 (CH2), 34.9 (CH2), 38.0 (CH2), 38.2 (Cq), 39.5 (CH2), 41.0 (Cq), 42.8 (Cq), 43.8 (Cq), 45.5 (CH), 47.1 (CH2), 48.8 (CH2), 54.0 (CH2), 57.2 (CH), 57.8 (CH), 59.9 (CH2), 63.3 (CH2), 64.3 (CH2), 80.1 (Cq), 85.6 (CH), 115.4 (CH), 115.5 (CH), 128.2 (CH), 129.3 (2 × CH), 131.0 (CH2), 134.2 (Cq), 134.3 (Cq), 156.5 (Cq-F), 161.2 (Cq-F), 163.1 (Cq-F), 165.8 (C=O), 170.5 (C=O), 177.1 (C=O); 19F-NMR (470 MHz, CDCl3) δ (ppm): −115.0 (Cq-F). 19F-NMR (470 MHz, CDCl3) δ (ppm): −115.3 (Cq-F). C43H62FNO9: 755.9521. HRMS (ESI+): m/z calcd. for C43H63FNO9 [M + H]+ 756.9600; found 756.4495.
3.1.9. (4R,4aS,6aS,7R,8R,9S,11bS)-Prop-2-yn-1-yl 7-(((tert-butoxycarbonyl)(4-fluorobenzyl)amino)methyl)-8-hydroxy-4,9,11b-trimethyltetradecahydro-6a,9-methanocyclohepta[a]naphthalene-4-carboxylate (13)
To a suspension of potassium carbonate (0.72 mmol, 100 mg) in dry acetone (15 mL) we added 7 (0.36 mmol, 200 mg) and propargyl bromide (0.36 mmol, 28 µL), and the mixture was stirred at room temperature for one day. After the completion of the reaction (monitored by TLC for 24 h), the mixture was filtered through filter paper, and the solution was evaporated to dryness. The crude product was purified by column chromatography on silica gel (n-hexane/EtOAc = 4:1). Yield: 190 mg (88%); colourless oil; [α]D20 = −17 (c 0.23 MeOH); 1H-NMR (500 MHz, CDCl3) δ (ppm): 0.75 (s, 3H), 0.84–0.88 (m, 1H), 0.93 (s, 3H), 0.95–1.08 (m, 5H), 1.13–1.16 (m, 4H), 1.57–1.80 (m, 7H), 2.15–2.19 (m, 2H), 2.26 (s, 1H), 2.26–2.30 (m, 2H), 3.06 (dd, 1H, J = 4.2 Hz, J = 13.5 Hz), 3.60 (t, 1H, J = 12.9 Hz), 3.67 (m, 1H), 4.16 (d, 1H, J = 15.5 Hz), 4.51 (d, 1H, J = 15.6 Hz), 4.66 (d, 1H, J = 15.5 Hz), 4.74 (d, 1H, J = 15.7 Hz), 7.03 (t, 2H, J = 9.1 Hz), 7.25–7.28 (m, 2H); 13C-NMR (125 MHz, CDCl3) δ (ppm): 13.6 (CH3), 18.9 (CH2), 19.5 (CH2), 21.9 (CH2), 25.1 (CH3), 28.4 (3 × CH3), 28.8 (CH3), 33.2 (CH2), 34.9 (CH2), 37.9 (CH2), 38.2 (Cq), 39.5 (CH2), 41.0 (Cq), 42.9 (Cq), 43.8 (Cq), 45.7 (CH), 47.5 (CH2), 49.1 (CH2), 51.3 (CH2), 53.9 (CH2), 57.2 (CH), 57.7 (CH), 74.4 (Cq), 80.0 (Cq), 85.6 (CH), 115.4 (CH), 115.5 (CH), 129.3 (CH), 129.4 (CH), 134.3 (2 × Cq), 156.5 (Cq), 161.1 (Cq-F), 163.1 (Cq-F), 176.2 (C=O). C36H50FNO5: 595.3673. HRMS (ESI+): m/z calcd. for C36H51FNO3 [M + H]+ 596.3751; found 596.3759.
3.1.10. (4R,4aS,6aS,7R,8R,9S,11bS)-Prop-2-yn-1-yl 7-(((4-fluorobenzyl)amino)methyl)-8-hydroxy-4,9,11b-trimethyltetradecahydro-6a,9-methanocyclohepta[a]naphthalene-4-carboxylate (14)
To a solution of 13 (0.34 mmol, 200 mg) in dry DCM (15 mL) at 0 °C we added TFA (6.53 mmol, 0.50 mL). The ice bath was removed and the reaction mixture was stirred at RT for 3 h. The solvent and TFA were removed in vacuo and the residue was diluted with dry DCM. The mixture was cooled to °C and TEA (0.68 mmol, 95 µL) was added. The resulting homogeneous mixture was allowed to warm to RT and stirred for 1 h, and the solution was evaporated to dryness. The crude product was purified by column chromatography on silica gel (CHCl3/MeOH = 19:1). Yield: 130 mg (79%); white crystals; m.p. 104–105 °C; [α]D20 = −52 (c 1.06 MeOH); 1H-NMR (500 MHz, CDCl3) δ (ppm): 0.73 (s, 3H), 0.83–0.87 (m, 1H), 0.90 (s, 3H), 0.95–1.08 (m, 5H), 1.14–1.20 (m, 4H), 1.31 (d, 1H, J = 10.7 Hz), 1.42 (m, 1H, J = 14.2 Hz), 1.51–1.63 (m, 4H), 1.69–1.84 (m, 4H), 2.06 (d, 1H, J = 12.0 Hz), 2.17 (d, 1H, J = 13.3 Hz), 2.52–2.56 (m, 2H), 3.03 (dd, 1H, J = 3.4 Hz, J = 11.4 Hz), 3.53 (d, 1H, J = 4.7 Hz), 3.84 (d, 1H, J = 13.1 Hz), 4.01 (d, 1H, J = 13.1 Hz), 4.61–4.69 (m, 2H), 7.05 (t, 2H, J = 8.6 Hz), 7.42–7.45 (m, 2H); 13C-NMR (125 MHz, CDCl3) δ (ppm): 13.5 (CH3), 18.8 (CH2), 19.5 (CH2), 21.9 (CH2), 24.9 (CH3), 28.8 (CH3), 33.0 (CH2), 34.9 (CH2), 37.8 (CH2), 38.1 (Cq), 39.4 (CH2), 41.0 (Cq), 42.5 (Cq), 43.8 (Cq), 46.2 (CH), 50.7 (CH2), 51.4 (CH2), 51.9 (CH2), 53.8 (CH2), 57.0 (CH), 57.6 (CH), 74.8 (Cq), 77.9 (Cq), 87.1 (CH), 115.5 (CH), 115.7 (CH), 130.9 (2 × CH), 131.8 (Cq), 161.5 (Cq-F), 163.5 (Cq-F), 176.3 (C=O); 19F-NMR (470 MHz, CDCl3) δ (ppm): −113.9 (Cq-F). C31H42FNO3: 495.6685. HRMS (ESI+): m/z calcd. for C31H43FNO3 [M + H]+ 496.3227; found 496.3233.
3.1.11. General Procedure for the Preparation of Aminoalcohol with Primary Amines and Benzyl Ester Aldehydes
To a solution of 4 (0.23 mmol, 100 mg) in dry EtOH (10 mL), the appropriate primary amine (0.23 mmol) was added in one portion, and the solution was stirred at room temperature for 3 h and then evaporated to dryness. The residue was dissolved in dry EtOH (10 mL), stirred for a further 1 h, and evaporated to dryness again. The product was dissolved in dry MeOH (10 mL), and NaBH4 (0.46 mmol, 0.02 g) was added in small portions to the mixture under ice cooling. After stirring for 4 h at room temperature, the mixture was evaporated to dryness, and the residue was dissolved in H2O (20 mL) and extracted with DCM (3 × 20 mL). The combined organic layer was dried (Na2SO4), filtered, and evaporated to dryness. The crude product obtained was purified by column chromatography on silica gel (CHCl3/MeOH = 19:1).
(4R,4aS,6aS,7R,8R,9S,11bS)-Benzyl 7-((((R)-1-(4-fluorophenyl)ethyl)amino)methyl)-8-hydroxy-4,9,11b-trimethyltetradecahydro-6a,9-methanocyclohepta[a]naphthalene-4-carboxylate (15)
The reaction was performed starting from 4 with (R)-4-fluoro-α-methylbenzylamine (0.23 mmol, 38 µL) according to the general procedure. Yield: 30 mg (21%); white crystals; m.p. 135–136 °C; [α]D20 = −33 (c 0.97 MeOH); 1H-NMR (500 MHz, CDCl3) δ (ppm): 0.58 (s, 3H), 0.81–0.83 (m, 1H), 0.87 (s, 3H), 0.93–1.06 (m, 5H), 1.15 (s, 3H), 1.30–1.44 (m, 6H), 1.55–1.57 (m, 2H), 1.66 (d, 3H, J = 6.7 Hz), 1.72–1.80 (m, 3H), 2.13–2.19 (m, 2H), 2.82 (t, 1H, J = 12.5 Hz), 3.00 (d, 1H, J = 9.4 Hz), 3.70 (d, 1H, J = 4.5 Hz), 4.32–4.33 (m, 1H), 5.02 (d, 1H, J = 12.7 Hz), 5.20 (d, 1H, J = 12.7 Hz), 7.07 (t, 2H, J = 8.4 Hz), 7.31–7.39 (m, 5H), 7.56–7.58 (m, 2H); 13C-NMR (125 MHz, CDCl3) δ (ppm): 13.2 (CH3), 18.9 (CH2), 19.2 (CH3), 19.4 (CH2), 21.7 (CH2), 24.7 (CH3), 29.0 (CH3), 33.0 (CH2), 34.8 (CH2), 37.8 (CH2), 38.0 (Cq), 39.5 (CH2), 41.4 (Cq), 42.9 (Cq), 43.7 (Cq), 44.4 (CH), 48.4 (CH2), 53.4 (CH2), 57.0 (CH), 57.5 (CH), 57.7 (Cq), 65.8 (CH2), 85.3 (CH), 116.2 (CH), 116.4 (CH), 127.8 (2 × CH), 128.0 (CH), 128.6 (2 × CH), 129.9 (CH), 129.9 (CH), 132.9 (Cq) 136.4 (Cq), 162.1 (Cq-F), 164.0 (Cq-F), 176.6 (C=O). C36H48FNO3: 561.7696. HRMS (ESI+): m/z calcd. for C36H49FNO3 [M + H]+ 562.3696; found 562.3702.
(4R,4aS,6aS,7R,8R,9S,11bS)-Benzyl 8-hydroxy-4,9,11b-trimethyl-7-((((R)-1-phenylpropyl)amino)methyl)tetradecahydro-6a,9-methanocyclohepta[a]naphthalene-4-carboxylate (16)
The reaction was performed starting from 4 with (R)-(+)-α-ethylbenzylamine (0.23 mmol, 37 µL) according to the general procedure. Yield: 60 mg (52%); white crystals; m.p. 154–155 °C; [α]D20 = −24 (c 0.26 MeOH); 1H-NMR (500 MHz, CDCl3) δ (ppm): 0.56 (s, 3H), 0.79 (t, 3H, J = 7.4 Hz), 0.82–0.90 (m, 3H), 0.92 (s, 3H), 0.95–1.03 (m, 3H), 1.13 (s, 3H), 1.15–1.17 (m, 1H), 1.33–1.39 (m, 2H), 1.52–1.81 (m, 11H), 2.16 (d, 1H, J = 13.2 Hz), 2.32 (t, 1H, J = 11.6 Hz), 2.82 (dd, 1H, J = 4.1 Hz, J = 11.0 Hz), 3.42–3.48 (m, 2H), 4.94 (d, 1H, J = 12.7 Hz), 5.12 (d, 1H, J = 12.7 Hz), 7.18–7.22 (m, 1H), 7.25–7.33 (m, 9H); 13C-NMR (125 MHz, CDCl3) δ (ppm): 10.5 (CH3), 13.0 (CH3), 18.9 (CH2), 19.5 (CH2), 22.2 (CH2), 25.1 (CH3), 28.9 (CH3), 30.2 (CH2), 33.0 (CH2), 35.0 (CH2), 38.1 (CH2), 38.1 (Cq), 39.6 (CH2), 40.6 (Cq), 42.3 (Cq), 43.8 (Cq), 49.0 (CH), 50.2 (CH2), 54.4 (CH2), 57.2 (CH), 57.9 (CH), 65.7 (CH), 65.7 (CH2), 88.6 (CH), 127.0 (CH), 127.1 (2 × CH), 127.9 (CH), 128.1 (2 × CH), 128.4 (2 × CH), 128.4 (2 × CH), 136.3 (Cq), 144.4 (Cq), 177.0 (C=O). C37H51NO3: 557.8057. HRMS (ESI+): m/z calcd. for C37H52NO3 [M + H]+ 558.8137; found 558.3951.
(4R,4aS,6aS,7R,8R,9S,11bS)-Benzyl 8-hydroxy-4,9,11b-trimethyl-7-((((S)-1-phenylpropyl)amino)methyl)tetradecahydro-6a,9-methanocyclohepta[a]naphthalene-4-carboxylate (17)
The reaction was performed starting from 4 with (S)-(+)-α-ethylbenzylamine (0.23 mmol, 37 µL) according to the general procedure. Yield: 80 mg (68%); white crystals; m.p. 62–63 °C; [α]D20 = −32 (c 0.19 MeOH); 1H-NMR (500 MHz, CDCl3) δ (ppm): 0.67 (s, 3H), 0.78–0.82 (m, 4H), 0.84 (s, 3H), 0.84 (m, 1H), 0.90–1.04 (m, 4H), 1.15 (m, 1H), 1.16 (s, 3H), 1.39–1.43 (m, 2H), 1.56–1.79 (m, 11H), 2.02 (t, 1H, J = 11.9 Hz), 2.19 (d, 1H, J = 13.6 Hz), 2.75 (dd, 1H, J = 3.7 Hz, J = 10.8 Hz), 3.30 (d, 1H, J = 4.9 Hz), 3.48 (t, 1H, J = 6.8 Hz), 5.06 (d, 1H, J = 12.5 Hz), 5.10 (d, 1H, J = 12.5 Hz), 7.23–7.38 (m, 10H); 13C-NMR (125 MHz, CDCl3) δ (ppm): 10.7 (CH3), 13.3 (CH3), 19.0 (CH2), 19.6 (CH2), 22.2 (CH2), 25.1 (CH3), 29.0 (CH3), 31.7 (CH2), 33.0 (CH2), 35.0 (CH2), 38.0 (CH2), 38.2 (Cq), 39.6 (CH2), 40.4 (Cq), 42.1 (Cq), 43.9 (Cq), 48.7 (CH), 49.8 (CH2), 54.2 (CH2), 57.0 (CH), 57.8 (CH), 65.3 (CH), 66.0 (CH2), 88.5 (CH), 127.0 (CH), 127.6 (2 × CH), 128.0 (CH), 128.2 (2 × CH), 128.3 (2 × CH), 128.4 (2 × CH), 136.2 (Cq), 143.8 (Cq), 177.2 (C=O). C37H51NO3: 557.8057. HRMS (ESI+): m/z calcd. for C37H52NO3 [M + H]+ 558.8137; found 558.3947.
(4R,4aS,6aS,7R,8R,9S,11bS)-Benzyl 8-hydroxy-4,9,11b-trimethyl-7-((((R)-1-(naphthalen-1-yl)ethyl)amino)methyl)tetradecahydro-6a,9-methanocyclohepta[a]naphthalene-4-carboxylate (18)
The reaction was performed starting from 4 with (R)-(+)-1-(1-naphthyl)ethylamine (0.23 mmol, 37 µL) according to the general procedure. Yield: 60 mg (40%); white crystals; m.p. 118–119 °C; [α]D20 = −36 (c 0.43 MeOH); 1H-NMR (500 MHz, CDCl3) δ (ppm): 0.64 (s, 3H), 0.82–0.90 (m, 2H), 0.93 (s, 3H), 0.95–1.04 (m, 4H), 1.13 (s, 3H), 1.16–1.20 (m, 1H), 1.37 (t, 3H, J = 15.7 Hz), 1.49 (d, 3H, J = 6.5 Hz), 1.56–1.79 (m, 9H), 2.16 (d, 1H, J = 13.1 Hz), 2.41 (t, 1H, J = 11.5 Hz), 2.94 (dd, 1H, J = 3.1 Hz, J = 10.6 Hz), 3.52 (d, 1H, J = 4.4 Hz), 3.58–3.60 (m, 1H), 4.89 (d, 1H, J = 12.2 Hz), 5.09 (d, 1H, J = 12.2 Hz), 7.13–7.15 (m, 1H), 7.21–7.26 (m, 4H), 7.43–7.53 (m, 3H), 7.62 (d, 1H, J = 6.8 Hz), 7.72 (d, 1H, J = 7.9 Hz), 7.85 (d, 1H, J = 7.9 Hz), 8.18 (d, 1H, J = 8.4 Hz); 13C-NMR (125 MHz, CDCl3) δ (ppm): 13.1 (CH3), 18.9 (CH2), 19.5 (CH2), 22.3 (CH2), 23.1 (CH3), 25.2 (CH3), 28.9 (CH3), 33.0 (CH2), 35.1 (CH2), 38.1 (CH), 38.2 (Cq), 39.6 (CH2), 40.6 (Cq), 42.3 (Cq), 43.8 (Cq), 49.2 (CH), 50.3 (CH2), 54.3 (CH), 54.4 (CH2), 57.1 (CH), 57.8 (CH), 65.8 (CH2), 88.8 (CH), 122.5 (CH), 123.1 (CH), 125.4 (CH), 125.7 (CH), 125.8 (CH), 127.3 (CH), 127.9 (CH), 128.2 (2 × CH), 128.4 (2 × CH), 129.0 (CH), 131.0 (Cq), 134.0 (Cq), 136.2 (Cq), 141.7 (Cq), 177.1 (C=O); C40H51NO3: 593.8378. HRMS (ESI+): m/z calcd. for C40H52NO3 [M + H]+ 594.3947; found 594.3953.
(4R,4aS,6aS,7R,8R,9S,11bS)-Benzyl 8-hydroxy-4,9,11b-trimethyl-7-((((S)-1-(naphthalen-1-yl)ethyl)amino)methyl)tetradecahydro-6a,9-methanocyclohepta[a]naphthalene-4-carboxylate (19)
The reaction was performed starting from 4 with (S)-(+)-1-(1-naphthyl)ethylamine (0.23 mmol, 37 µL) according to the general procedure. Yield: 60 mg (46%); white crystals; m.p. 126–127 °C; [α]D20 = −31 (c 0.12 MeOH); 1H-NMR (500 MHz, CDCl3) δ (ppm): 0.04 (s, 3H), 0.69–0.73 (m, 1H), 0.85–0.90 (m, 5H), 0.91 (s, 3H), 1.05 (s, 3H), 1.09–1.17 (m, 2H), 1.24–1.30 (m, 3H), 1.53–1.64 (m, 5H), 1.82 (d, 1H, J = 12.3 Hz), 2.05–2.07 (m, 4H), 2.26 (d, 1H, J = 12.8 Hz), 2.89 (t, 1H, J = 12.5 Hz), 3.15–3.17 (m, 1H), 3.87–3.88 (m, 1H), 4.86 (d, 1H, J = 12.5 Hz), 5.05 (m, 1H, J = 12.5 Hz), 5.60 (s, 1H), 7.36–7.63 (m, 8H), 7.84 (d, 2H, J = 8.2 Hz), 8.00 (d, 1H, J = 8.5 Hz), 8.24 (d, 1H, J = 6.9 Hz); 13C-NMR (125 MHz, CDCl3) δ (ppm): 12.3 (CH3), 18.8 (CH2), 19.3 (CH2), 21.7 (CH2), 22.1 (CH3), 24.6 (CH3), 28.9 (CH3), 33.1 (CH2), 34.6 (CH2), 37.7 (CH), 37.8 (Cq), 39.4 (CH2), 41.4 (Cq), 42.8 (Cq), 43.0 (CH), 43.5 (Cq), 48.7 (CH2), 53.0 (CH), 53.4 (CH2), 57.1 (CH), 58.0 (CH), 65.8 (CH2), 84.6 (CH), 121.9 (CH), 124.5 (2 × CH), 126.1 (2 × CH), 127.1 (CH), 128.2 (2 × CH), 128.5 (2 × CH), 129.1 (CH), 129.3 (CH), 130.7 (Cq), 133.0 (Cq) 134.0 (Cq), 136.6 (Cq), 178.0 (C=O); C40H51NO3: 593.8378. HRMS (ESI+): m/z calcd. for C40H52NO3 [M + H]+ 594.3947; found 594.3945.
(4R,4aS,7R,8R,11bS)-Benzyl 7-(((3-(1H-imidazol-1-yl)propyl)amino)methyl)-8-hydroxy-4,9,11b-trimethyltetradecahydro-6a,9-methanocyclohepta[a]naphthalene-4-carboxylate (20)
The reaction was performed starting from 4 with 1-(3-aminopropyl)imidazole (0.23 mmol, 27 µL) according to the general procedure. Yield: 30 mg (33%); colourless oil; [α]D20 = −11 (c 0.25 MeOH); 1H-NMR (500 MHz, CDCl3) δ (ppm): 0.67 (s, 3H), 0.84–0.89 (m, 1H), 0.91 (s, 3H), 0.93–1.08 (m, 5H), 1.16–1.20 (m, 4H), 1.32–1.35 (m, 1H), 1.39–1.43 (m, 1H), 1.56–1.85 (m, 9H), 1.91–1.95 (m, 2H), 2.19–2.25 (m, 2H), 2.47–2.52 (m, 1H), 2.66–2.71 (m, 1H), 2.83 (dd, 1H, J = 4.0 Hz, J = 10.7 Hz), 3.40 (d, 1H, J = 5.0 Hz), 3.97–4.07 (m, 2H), 5.03 (d, 1H, J = 12.5 Hz), 5.10 (d, 1H, J = 12.5 Hz), 6.91 (s, 1H), 7.05 (s, 1H), 7.27–7.35 (m, 5H), 7.48 (s, 1H); 13C-NMR (125 MHz, CDCl3) δ (ppm): 13.3 (CH3), 19.0 (CH2), 19.5 (CH2), 22.2 (CH2), 25.1 (CH3), 29.0 (CH3), 31.5 (CH2), 33.0 (CH2), 35.0 (CH2), 38.0 (CH2) 38.2 (Cq), 39.6 (CH2), 40.7 (Cq), 42.4 (Cq), 43.9 (Cq), 44.9 (CH2), 46.9 (CH2), 48.4 (CH), 52.4 (CH2), 54.3 (CH2), 57.2 (CH), 57.8 (CH), 66.0 (CH2), 88.6 (CH), 118.8 (CH), 127.9 (CH), 128.2 (2 × CH), 128.4 (2 × CH), 129.5 (Cq), 136.2 (Cq), 137.2 (CH), 177.1 (C=O). C34H49N3O3: 547.7712. HRMS (ESI+): m/z calcd. For C34H50N3O3 [M + H]+ 548.7791; found 548.3862.
3.1.12. General Procedure for the Preparation of Aminoalcohols by the Reaction of Aldehyde 22 with Primary Amines
To a solution of 22 (100 mg, 0.28 mmol) in dry EtOH (10 mL), the appropriate primary amine (0.28 mmol) was added in one portion, and the solution was stirred at room temperature for 3 h and then evaporated to dryness. The residue was dissolved in dry EtOH (10 mL), stirred for a further 1 h, and evaporated to dryness. The product was dissolved in dry MeOH (10 mL), and NaBH4 (0.56 mmol, 20 mg) was added in small portions to the mixture under ice cooling. After stirring for 4 h at room temperature, the mixture was evaporated to dryness, and the residue was dissolved in H2O (20 mL) and extracted with DCM (3 × 20 mL). The combined organic layer was dried (Na2SO4), filtered, and evaporated to dryness. The crude product obtained was purified by column chromatography on silica gel (CHCl3/MeOH = 19:1).
(4R,4aS,6aS,7R,8R,9S,11bS)-Methyl 7-((((R)-1-(4-fluorophenyl)ethyl)amino)methyl)-8-hydroxy-4,9,11b-trimethyltetradecahydro-6a,9-methanocyclohepta[a]naphthalene-4-carboxylate (23)
The reaction was performed starting from 22 with (R)-4-fluoro-α-methylbenzylamine (0.28 mmol, 38 µL) according to the general procedure. Yield: 60 mg (50%); white crystals; m.p. 129–130 °C; [α]D20 = −56 (c 0.17 MeOH); 1H-NMR (500 MHz, CDCl3) δ (ppm): 0.58 (s, 3H), 0.81–0.91 (m, 3H), 0.93 (s, 3H), 0.95–1.01 (m, 3H), 1.11 (s, 3H), 1.14–1.19 (m, 1H), 1.33 (d, 3H, J = 6.5 Hz), 1.35 (m, 1H), 1.38–1.47 (m, 2H), 1.51–1.59 (m, 3H), 1.64–1.69 (m, 2H), 1.75–1.79 (m, 3H), 2.13 (d, 1H, J = 13.5 Hz), 2.34 (t, 1H, J = 11.6 Hz), 2.78 (dd, 1H, J = 4.3 Hz, J = 11.0 Hz), 3.47 (d, 1H, J = 5.0 Hz), 3.56 (s, 3H), 3.77 (m, 1H), 7.00 (t, 2H, J = 8.8 Hz), 7.28–7.31 (m, 2Hz); 13C-NMR (125 MHz, CDCl3) δ (ppm): 12.8 (CH3), 18.9 (CH2), 19.5 (CH2), 22.1 (CH2), 24.3 (CH3), 25.1 (CH3), 28.8 (CH3), 33.0 (CH2), 34.9 (CH2), 38.0 (CH2), 38.0 (Cq), 39.6 (CH2), 40.7 (Cq), 42.2 (Cq), 43.7 (Cq), 48.8 (CH), 50.0 (CH2), 51.0 (CH3), 54.3 (CH2), 56.7 (CH), 57.7 (CH), 58.1 (CH), 88.5 (CH), 115.1 (CH), 115.3 (CH), 127.9 (CH), 128.0 (CH), 141.5 (Cq), 160.8 (Cq-F), 162.8 (Cq-F), 177.9 (C=O); 19F-NMR (470 MHz, CDCl3) δ (ppm): −116.3 (Cq-F). C30H44FNO3: 485.6737. HRMS (ESI+): m/z calcd. for C30H45FNO3 [M + H]+ 485.3305; found 485.3321.
(4R,4aS,6aS,7R,8R,9S,11bS)-Methyl 8-hydroxy-4,9,11b-trimethyl-7-((((R)-1-phenylpropyl)amino)methyl)tetradecahydro-6a,9-methanocyclohepta[a]naphthalene-4-carboxylate (24)
The reaction was performed starting from 22 with (R)-(+)-α-ethylbenzylamine (0.28 mmol, 36 µL) according to the general procedure. Yield: 120 mg (88%); white crystals; m.p. 144–145 °C; [α]D20 = −47 (c 0.26 MeOH); 1H-NMR (500 MHz, CDCl3) δ (ppm): 0.58 (s, 3H), 0.81 (t, 3H, J = 7.4 Hz), 0.81–0.91 (m, 3H), 0.93 (s, 3H), 0.95–1.02 (m, 3H), 1.10 (s, 3H), 1.14–1.20 (m, 1H), 1.32–1.79 (m, 14H), 2.12 (d, 1H, J = 13.3 Hz), 2.30 (t, 1H, J = 11.7 Hz), 2.82 (dd, 1H, J = 4.2 Hz, J = 11.0 Hz), 3.47–3.50 (m, 2H), 3.54 (s, 3H), 7.21–7.25 (m, 1H), 7.26–7.33 (m, 4H); 13C-NMR (125 MHz, CDCl3) δ (ppm): 10.7 (CH3), 12.8 (CH3), 18.8 (CH2), 19.5 (CH2), 22.1 (CH2), 25.1 (CH3), 28.8 (CH3), 30.7 (CH2), 33.0 (CH2), 34.9 (CH2), 38.0 (Cq), 38.1 (CH2), 39.6 (CH2), 40.6 (Cq), 42.2 (Cq), 43.7 (Cq), 48.9 (CH), 50.2 (CH2), 51.0 (CH3), 54.4 (CH2), 57.0 (CH), 57.8 (CH), 65.7 (CH), 88.8 (CH), 126.9 (2 × CH), 127.1 (2 × CH), 128.3 (CH), 144.6 (Cq), 178.0 (C=O); C31H47NO3: 481.7098. HRMS (ESI+): m/z calcd. for C31H48NO3 [M + H]+ 482.3634; found 482.3644.
(4R,4aS,6aS,7R,8R,9S,11bS)-Methyl 8-hydroxy-4,9,11b-trimethyl-7-((((S)-1-phenylpropyl)amino)methyl)tetradecahydro-6a,9-methanocyclohepta[a]naphthalene-4-carboxylate (25)
The reaction was performed starting from 22 with (S)-(+)-α-ethylbenzylamine (0.28 mmol, 36 µL) according to the general procedure. Yield: 60 mg (48%); white crystals; m.p. 115–116 °C; [α]D20 = −23 (c 0.27 MeOH); 1H-NMR (500 MHz, CDCl3) δ (ppm): 0.71 (s, 3H), 0.78–0.83 (m, 4H), 0.85–0.88 (m, 4H), 0.91–1.02 (m, 4H), 1.13 (s, 3H), 1.15–1.21 (m, 2H), 1.39–1.83 (m, 14H), 2.08–2.17 (m, 2H), 2.85 (dd, 1H, J = 3.9 Hz, J = 11.1 Hz), 3.34 (d, 1H, J = 4.9 Hz), 3.53 (t, 1H, J = 7.1 Hz), 3.62 (s, 3H), 7.23–7.24 (m, 1H), 7.28–7.34 (m, 4H); 13C-NMR (125 MHz, CDCl3) δ (ppm): 10.7 (CH3), 13.1 (CH3), 19.0 (CH2), 19.6 (CH2), 22.1 (CH2), 25.1 (CH3), 29.0 (CH3), 31.6 (CH2), 33.0 (CH2), 34.9 (CH2), 37.9 (CH), 38.0 (Cq), 39.6 (CH2), 40.4 (Cq), 42.1 (Cq), 43.7 (Cq), 48.5 (CH), 49.6 (CH2), 51.3 (CH3), 54.3 (CH2), 57.1 (CH), 57.9 (CH), 64.9 (CH), 88.5 (CH), 126.9 (CH), 127.5 (2 × CH), 128.3 (2 × CH), 144.0 (Cq), 177.9 (C=O); C31H47NO3: 481.7098. HRMS (ESI+): m/z calcd. for C31H48NO3 [M + H]+ 482.3634; found 482.3631.
(4R,4aS,6aS,7R,8R,9S,11bS)-Methyl 8-hydroxy-4,9,11b-trimethyl-7-((((S)-1-(naphthalen-2-yl)ethyl)amino)methyl)tetradecahydro-6a,9-methanocyclohepta[a]naphthalene-4-carboxylate (26)
The reaction was performed starting from 22 with (S)-(+)-1-(1-naphthyl)ethylamine (0.28 mmol, 45 µL) according to the general procedure. Yield: 60 mg (42%); white crystals; m.p. 194–195 °C; [α]D20 = −65 (c 0.47 MeOH); 1H-NMR (500 MHz, CDCl3) δ (ppm): 0.66 (s, 3H), 0.81–0.87 (m, 2H), 0.89 (s, 3H), 0.91–1.01 (m, 4H), 1.10 (s, 3H), 1.14–1.23 (m, 2H), 1.37–1.40 (m, 1H), 1.43–1.46 (m, 1H), 1.48 (d, 3H, J = 6.6 Hz), 1.59–1.82 (m, 6H), 1.87–1.89 (m, 1H), 2.12 (d, 1H, J = 13.4 Hz), 2.23 (t, 1H, J = 12.0 Hz), 2.31 (s, 1H), 2.95 (dd, 1H, J = 3.9 Hz, J = 11.0 Hz), 3.43 (s, 3H), 3.50 (d, 1H, J = 4.8 Hz), 4.67–4.71 (m, 1H), 7.45–7.52 (m, 3H), 7.69 (d, 1H, J = 7.0 Hz), 7.74 (d, 1H, J = 8.2 Hz), 7.86 (d, 1H, J = 7.8 Hz), 8.20 (d, 1H, J = 8.4 Hz); 13C-NMR (125 MHz, CDCl3) δ (ppm): 13.1 (CH3), 18.9 (CH2), 19.6 (CH2), 22.1 (CH2), 24.5 (CH3), 25.1 (CH3), 28.9 (CH3), 33.0 (CH2), 34.9 (CH2), 37.9 (CH), 38.1 (Cq), 39.6 (CH2), 40.5 (Cq), 42.2 (Cq), 43.7 (Cq), 48.6 (CH2), 50.2 (CH2), 51.0 (CH3), 53.7 (CH), 54.3 (CH2), 57.1 (CH), 57.8 (CH), 88.6 (CH), 122.6 (CH), 122.9 (CH), 125.3 (CH), 125.7 (2 × CH), 127.1 (CH), 128.9 (CH), 131.5 (Cq), 134.0 (Cq), 141.2 (Cq), 177.9 (C=O); C34H47NO3: 517.7419. HRMS (ESI+): m/z calcd. for C34H48NO3 [M + H]+ 518.3634; found 518.3629.
(4R,4aS,6aS,7R,8R,9S,11bS)-Methyl 8-hydroxy-4,9,11b-trimethyl-7-((((R)-1-(naphthalen-2-yl)ethyl)amino)methyl)tetradecahydro-6a,9-methanocyclohepta[a]naphthalene-4-carboxylate (27)
The reaction was performed starting from 22 with (R)-(+)-1-(1-naphthyl)ethylamine (0.28 mmol, 45 µL) according to the general procedure. Yield: 60 mg (38%); white crystals; m.p. 153–154 °C; [α]D20 = −40 (c 0.75 MeOH); 1H-NMR (500 MHz, CDCl3) δ (ppm): 0.66 (s, 3H), 0.84–0.92 (m, 2H), 0.93 (s, 3H), 0.95–1.02 (m, 3H), 1.09 (s, 3H), 1.15–1.22 (m, 1H), 1.37–1.47 (m, 3H), 1.51 (d, 3H, J = 6.7 Hz), 1.57–1.86 (m, 9H), 2.12 (d, 1H, J = 13.3 Hz), 2.42 (t, 1H, J = 11.3 Hz), 2.96 (dd, 1H, J = 3.9 Hz, J = 10.9 Hz), 3.50 (s, 3H), 3.52 (d, 1H, J = 5.0 Hz), 4.63 (m, 1H), 7.44–7.54 (m, 3H), 7.64 (d, 1H, J = 7.2 Hz), 7.74 (d, 1H, J = 8.3 Hz), 7.87 (d, 1H, J = 7.6 Hz), 8.19 (d, 1H, J = 8.5 Hz); 13C-NMR (125 MHz, CDCl3) δ (ppm): 12.8 (CH3), 18.9 (CH2), 19.5 (CH2), 22.2 (CH2), 23.5 (CH3), 25.1 (CH3), 28.8 (CH3), 33.0 (CH2), 34.9 (CH2), 38.1 (CH), 38.1 (Cq), 39.6 (CH2), 40.7 (Cq), 42.3 (Cq), 43.7 (Cq), 49.1 (CH2), 50.4 (CH2), 51.0 (CH3), 54.3 (CH2), 54.4 (Cq), 57.0 (CH), 57.8 (CH), 88.8 (CH), 122.4 (CH), 123.0 (CH), 125.4 (CH), 125.7 (CH), 125.8 (CH), 127.2 (CH), 129.0 (CH), 131.2 (Cq), 134.1 (Cq), 141.6 (Cq), 178.0 (C=O); C34H47NO3: 517.7419. HRMS (ESI+): m/z calcd. for C34H48NO3 [M + H]+ 518.3634; found 518.3632.
(4R,4aS,6aS,7R,8R,9S,11bS)-Methyl 7-(((3-(1H-imidazol-1-yl)propyl)amino)methyl)-8-hydroxy-4,9,11b-trimethyltetradecahydro-6a,9-methanocyclohepta[a]naphthalene-4-carboxylate (28)
The reaction was performed starting from 22 with 1-(3-aminopropyl)imidazole (0.28 mmol, 33 µL) according to the general procedure. Yield: 60 mg (42%); white crystals; m.p. 107–108 °C; [α]D20 = −39 (c 0.20 MeOH); 1H-NMR (500 MHz, CDCl3) δ (ppm): 0.71 (s, 3H), 0.84–0.90 (m, 1H), 0.92 (s, 3H), 0.95–1.08 (m, 5H), 1.16 (s, 3H), 1.18–1.22 (m, 1H), 1.34–1.42 (m, 2H), 1.64–1.81 (m, 9H), 1.94–1.99 (m, 2H), 2.16 (d, 1H, J = 13.3 Hz), 2.31 (t, 1H, J = 11.8 Hz), 2.55–2.60 (m, 1H), 2.71–2.76 (m, 1H), 2.95 (dd, 1H, J = 4.0 Hz, J = 11.0 Hz), 3.43 (d, 1H, J = 4.8 Hz), 3.62 (s, 3H), 4.00–4.09 (m, 2H), 6.92 (s, 1H), 7.05 (s, 3H), 7.48 (s, 1H); 13C-NMR (125 MHz, CDCl3) δ (ppm): 13.2 (CH3), 19.0 (CH2), 19.6 (CH2), 22.2 (CH2), 25.1 (CH3), 29.0 (CH3), 31.4 (CH2), 33.1 (CH2), 35.1 (CH2), 38.0 (CH2), 38.2 (Cq), 39.7 (CH2), 40.8 (Cq), 42.4 (Cq), 43.8 (Cq), 44.9 (CH2), 46.9 (CH2), 48.3 (CH), 51.2 (CH3), 52.5 (CH2), 54.3 (CH2), 57.3 (CH), 57.8 (CH), 88.7 (CH), 118.9 (CH), 129.6 (CH), 137.3 (CH), 177.9 (C=O); C28H45N3O3: 471.6752. HRMS (ESI+): m/z calcd. For C28H46N3O3 [M + H]+ 472.3539; found 472.3551.
3.2. Determination of the Antiproliferative Effect
The growth-inhibitory effects of the isosteviol-based 1,3-aminoalcohols were determined by a standard MTT (3-(4,5-dimethylthiazol-2-yl)-2,5-diphenyltetrazolium bromide) assay on a panel containing five cell lines, including Hela (cervical cancer), MDA-MB-231 and MCF-7 (breast cancers), and A2780 ovarian cancer cells [34]. All cell lines were purchased from the European Collection of Cell Cultures (Salisbury, UK). The cells were maintained in a minimal essential medium supplemented with 10% foetal bovine serum, 1% non-essential amino acids, and 1% penicillin–streptomycin at 37 °C in a humidified atmosphere containing 5% CO2. All media and supplements were obtained from Lonza Group Ltd. (Basel, Switzerland). Cancer cells were seeded into 96-well plates (5000 cells/well); after overnight incubation, the test compound was added in two different concentrations (10 µM and 30 µM) and incubated for another 72 h under cell-culturing conditions. In the next step, 20 μL of 5 mg/mL of an MTT solution was added to each well and incubated for a further 4 h. The medium was removed and the precipitated formazan crystals were dissolved in DMSO after 60 min of shaking at 37 °C. As a final step, the absorbance was measured at 545 nm by using a microplate reader. Untreated cells were included as controls. In the case of the most effective compounds (i.e., compounds eliciting higher than 50 or 85% at 10 or 30 μM, respectively), the assays were repeated with a set of dilutions (1.0–30 μM) in order to determine the IC50 values. Two independent experiments were performed with five wells for each condition. Calculations were performed using the GraphPad Prism 10.0 software (GraphPad Software Inc., San Diego, CA, USA).
4. Conclusions
Starting from isosteviol, a series of diterpenoid 1,3-aminoalcohol derivatives were prepared via stereoselective transformations. To study the effect of the carboxylate ester function at position 4, the free carboxylic acid as well as the benzyl, propargyl, and acryloyl ester analogues were prepared as a new development of our former results in this field. The antiproliferative activity of compounds against human tumour cell lines (A2780, HeLa, MCF-7, and MDA-MB-231) was also investigated. The exchange of the methyl ester to the propargyl group increased the antiproliferative activity, which could be explained by their π–π bonding properties and the increased lipophilicity, while the exchange to the benzyl ester presented no remarkable advantage. Surprisingly, compound 20 with the N-(1H-imidazol-1-yl)propyl substituent was proven to be the most active derivative, despite our previous observation that N-alkyl substitution reduced the antiproliferative activity [26,28]. Since this latter agent seems to be superior to the clinically utilised cisplatin, it can be regarded as a potential hit. It can be useful to investigate additional different aminoalcohol- or aminodiol-type diterpenes with a potential antiproliferative activity in the future. Additionally, Boc-protected aminoalcohol derivative 12 exerted substantial and selective cell growth-inhibiting action against A2780 cells (IC50: 4.78 µM), indicating that the structure could be utilised for the design and synthesis of candidates against ovarian cancer.
Supplementary Materials
The following supporting information can be downloaded at: https://www.mdpi.com/article/10.3390/ph17020262/s1, Figures S1–S139: NMR spectra of the prepared new compounds; Table S1: calculated IC50 values and 95% confidence intervals (Cis) of the investigated molecules against four cancer cell lines and non-malignant fibroblasts (NIH/3T3).
Author Contributions
Z.S. and I.Z. conceived and designed the experiments; D.O. and N.B. performed the experiments, analysed the data, and wrote the experimental part; Z.S. and I.Z. discussed the results and contributed to write the paper. All authors have read and agreed to the published version of the manuscript.
Funding
This research was funded by the Hungarian Research Foundation (NKFI K138871). Project no. TKP2021-EGA-32 was implemented with the support provided by the Ministry of Innovation and Technology of Hungary from the National Research, Development and Innovation Fund, financed under TKP2021-EGA.
Institutional Review Board Statement
Not applicable.
Informed Consent Statement
Not applicable.
Data Availability Statement
Data are contained within the article and Supplementary Materials.
Acknowledgments
The high-resolution mass spectrometric analysis was performed by Robert Berkecz.
Conflicts of Interest
The authors declare no conflicts of interest. The funders had no role in the design of the study; in the collection, analyses, or interpretation of data; in the writing of the manuscript, or in the decision to publish the results.
References
- Carrera-Lanestosa, A.; Moguel-Ordóñez, Y.; Segura-Campos, M. Stevia Rebaudiana Bertoni: A Natural Alternative for Treating Diseases Associated with Metabolic Syndrome. J. Med. Food 2017, 20, 933–943. [Google Scholar] [CrossRef] [PubMed]
- Singh, S.D.; Rao, G.P. Stevia: The Herbal Sugar of 21st Century. Sugar Tech 2005, 7, 17–24. [Google Scholar] [CrossRef]
- Sanches Lopes, S.M.; Francisco, M.G.; Higashi, B.; De Almeida, R.T.R.; Krausová, G.; Pilau, E.J.; Gonçalves, J.E.; Gonçalves, R.A.C.; Oliveira, A.J.B.D. Chemical Characterization and Prebiotic Activity of Fructo-Oligosaccharides from Stevia Rebaudiana (Bertoni) Roots and in Vitro Adventitious Root Cultures. Carbohydr. Polym. 2016, 152, 718–725. [Google Scholar] [CrossRef] [PubMed]
- Khaybullin, R.; Zhang, M.; Fu, J.; Liang, X.; Li, T.; Katritzky, A.; Okunieff, P.; Qi, X. Design and Synthesis of Isosteviol Triazole Conjugates for Cancer Therapy. Molecules 2014, 19, 18676–18689. [Google Scholar] [CrossRef] [PubMed]
- Ullah, A.; Munir, S.; Mabkhot, Y.; Badshah, S. Bioactivity Profile of the Diterpene Isosteviol and Its Derivatives. Molecules 2019, 24, 678. [Google Scholar] [CrossRef] [PubMed]
- Luan, T.; Cao, L.-H.; Deng, H.; Shen, Q.-K.; Tian, Y.-S.; Quan, Z.-S. Design and Synthesis of C-19 Isosteviol Derivatives as Potent and Highly Selective Antiproliferative Agents. Molecules 2018, 24, 121. [Google Scholar] [CrossRef] [PubMed]
- Huang, T.-J.; Chou, B.-H.; Lin, C.-W.; Weng, J.-H.; Chou, C.-H.; Yang, L.-M.; Lin, S.-J. Synthesis and Antiviral Effects of Isosteviol-Derived Analogues against the Hepatitis B Virus. Phytochemistry 2014, 99, 107–114. [Google Scholar] [CrossRef]
- Strobykina, I.Y.; Belenok, M.G.; Semenova, M.N.; Semenov, V.V.; Babaev, V.M.; Rizvanov, I.K.; Mironov, V.F.; Kataev, V.E. Triphenylphosphonium Cations of the Diterpenoid Isosteviol: Synthesis and Antimitotic Activity in a Sea Urchin Embryo Model. J. Nat. Prod. 2015, 78, 1300–1308. [Google Scholar] [CrossRef]
- Liu, C.-J.; Yu, S.-L.; Liu, Y.-P.; Dai, X.-J.; Wu, Y.; Li, R.-J.; Tao, J.-C. Synthesis, Cytotoxic Activity Evaluation and HQSAR Study of Novel Isosteviol Derivatives as Potential Anticancer Agents. Eur. J. Med. Chem. 2016, 115, 26–40. [Google Scholar] [CrossRef]
- Testai, L.; Strobykina, I.; Semenov, V.V.; Semenova, M.; Pozzo, E.D.; Martelli, A.; Citi, V.; Martini, C.; Breschi, M.C.; Kataev, V.E.; et al. Mitochondriotropic and Cardioprotective Effects of Triphenylphosphonium-Conjugated Derivatives of the Diterpenoid Isosteviol. Int. J. Mol. Sci. 2017, 18, 2060. [Google Scholar] [CrossRef]
- Korochkina, M.G.; Nikitashina, A.D.; Khaybullin, R.N.; Petrov, K.A.; Strobykina, I.Y.; Zobov, V.V.; Kataev, V.E. Unfolded and Macrocyclic Ammonium Derivatives of Diterpenoids Steviol and Isosteviol Having Choline Moieties. Synthesis and Inhibitory Activities toward Acetylcholine- and Butyrylcholinesterases. MedChemComm 2012, 3, 1449–1454. [Google Scholar] [CrossRef]
- Wu, Y.; Liu, C.-J.; Liu, X.; Dai, G.-F.; Du, J.-Y.; Tao, J.-C. Stereoselective Synthesis, Characterization, and Antibacterial Activities of Novel Isosteviol Derivatives with D-Ring Modification. Helv. Chim. Acta 2010, 93, 2052–2069. [Google Scholar] [CrossRef]
- Kataev, V.E.; Strobykina, I.Y.; Andreeva, O.V.; Garifullin, B.F.; Sharipova, R.R.; Mironov, V.F.; Chestnova, R.V. Synthesis and Antituberculosis Activity of Derivatives of Stevia Rebaudiana Glycoside Steviolbioside and Diterpenoid Isosteviol Containing Hydrazone, Hydrazide, and Pyridinoyl Moieties. Russ. J. Bioorganic Chem. 2011, 37, 483–491. [Google Scholar] [CrossRef]
- McGuire, S. World Cancer Report 2014. Geneva, Switzerland: World Health Organization, International Agency for Research on Cancer, WHO Press, 2015. Adv. Nutr. 2016, 7, 418–419. [Google Scholar] [CrossRef]
- Vera-Badillo, F.E.; Al-Mubarak, M.; Templeton, A.J.; Amir, E. Benefit and Harms of New Anti-Cancer Drugs. Curr. Oncol. Rep. 2013, 15, 270–275. [Google Scholar] [CrossRef]
- Chen Eh, L.D. Anticancer Drug Development, a Matter of Money or a Matter of Idea? J. Postgenomics Drug Biomark. Dev. 2015, 5, e134. [Google Scholar] [CrossRef]
- Wefel, J.S.; Schagen, S.B. Chemotherapy-Related Cognitive Dysfunction. Curr. Neurol. Neurosci. Rep. 2012, 12, 267–275. [Google Scholar] [CrossRef]
- Newman, D.J.; Cragg, G.M. Natural Products as Sources of New Drugs over the Last 25 Years. J. Nat. Prod. 2007, 70, 461–477. [Google Scholar] [CrossRef]
- Gordaliza, M. Natural Products as Leads to Anticancer Drugs. Clin. Transl. Oncol. 2007, 9, 767–776. [Google Scholar] [CrossRef]
- Lohoelter, C.; Weckbecker, M.; Waldvogel, S.R. (–)-Isosteviol as a Versatile Ex-Chiral-Pool Building Block for Organic Chemistry. Eur. J. Org. Chem. 2013, 2013, 5539–5554. [Google Scholar] [CrossRef]
- Huang, T.-J.; Yang, C.-L.; Kuo, Y.-C.; Chang, Y.-C.; Yang, L.-M.; Chou, B.-H.; Lin, S.-J. Synthesis and Anti-Hepatitis B Virus Activity of C4 Amide-Substituted Isosteviol Derivatives. Bioorg. Med. Chem. 2015, 23, 720–728. [Google Scholar] [CrossRef]
- Heise, N.V.; Heisig, J.; Meier, K.; Csuk, R.; Mueller, T. F16 Hybrids Derived from Steviol or Isosteviol Are Accumulated in the Mitochondria of Tumor Cells and Overcome Drug Resistance. Molecules 2024, 29, 381. [Google Scholar] [CrossRef]
- Yang, Y.; Zhao, L.; Wang, T.; Zheng, X.; Wu, Y. Biological Activity and Structural Modification of Isosteviol over the Past 15 Years. Bioorganic Chem. 2024, 143, 107074. [Google Scholar] [CrossRef]
- Abdullah Al-Dhabi, N.; Valan Arasu, M.; Rejiniemon, T.S. In Vitro Antibacterial, Antifungal, Antibiofilm, Antioxidant, and Anticancer Properties of Isosteviol Isolated from Endangered Medicinal Plant Pittosporum tetraspermum. Evid. Based Complement. Alternat. Med. 2015, 2015, 164261. [Google Scholar] [CrossRef]
- Zhang, T.; Lu, L.-H.; Liu, H.; Wang, J.-W.; Wang, R.-X.; Zhang, Y.-X.; Tao, J.-C. D-Ring Modified Novel Isosteviol Derivatives: Design, Synthesis and Cytotoxic Activity Evaluation. Bioorg. Med. Chem. Lett. 2012, 22, 5827–5832. [Google Scholar] [CrossRef]
- Ozsvár, D.; Nagy, V.; Zupkó, I.; Szakonyi, Z. Synthesis and Biological Application of Isosteviol-Based 1,3-Aminoalcohols. Int. J. Mol. Sci. 2021, 22, 11232. [Google Scholar] [CrossRef]
- Wu, Y.; Yang, J.-H.; Dai, G.-F.; Liu, C.-J.; Tian, G.-Q.; Ma, W.-Y.; Tao, J.-C. Stereoselective Synthesis of Bioactive Isosteviol Derivatives as α-Glucosidase Inhibitors. Bioorg. Med. Chem. 2009, 17, 1464–1473. [Google Scholar] [CrossRef]
- Ozsvár, D.; Nagy, V.; Zupkó, I.; Szakonyi, Z. Stereoselective Synthesis and Antiproliferative Activity of Steviol-Based Diterpen Aminodiols. Int. J. Mol. Sci. 2020, 21, 184. [Google Scholar] [CrossRef]
- Melis, M.S. Renal Excretion of Stevioside in Rats. J. Nat. Prod. 1992, 55, 688–690. [Google Scholar] [CrossRef]
- Li, N.; Li, X.; Deng, M.; Zhu, F.; Wang, Z.; Sheng, R.; Wu, W.; Guo, R. Isosteviol Derivatives as Protein Tyrosine Phosphatase-1B Inhibitors: Synthesis, Biological Evaluation and Molecular Docking. Bioorg. Med. Chem. 2023, 83, 117240. [Google Scholar] [CrossRef] [PubMed]
- Li, J.; Zhang, D.; Wu, X. Synthesis and Biological Evaluation of Novel Exo-Methylene Cyclopentanone Tetracyclic Diterpenoids as Antitumor Agents. Bioorg. Med. Chem. Lett. 2011, 21, 130–132. [Google Scholar] [CrossRef] [PubMed]
- Malik, S.; Kawano, S.; Fujita, N.; Shinkai, S. Pyridine-Containing Versatile Gelators for Post-Modification of Gel Tissues toward Construction of Novel Porphyrin Nanotubes. Tetrahedron 2007, 63, 7326–7333. [Google Scholar] [CrossRef]
- Jayachandra, R.; Zhao, H.; Cheng, Z.; Luo, L.; Sun, T.; Tan, W. Synthesis of Isosteviol Analogues as Potential Protective Agents against Doxorubicin-Induced Cardiomyopathy in Zebrafish Embryos. Bioorg. Med. Chem. Lett. 2019, 29, 1705–1709. [Google Scholar] [CrossRef] [PubMed]
- Mosmann, T. Rapid Colorimetric Assay for Cellular Growth and Survival: Application to Proliferation and Cytotoxicity Assays. J. Immunol. Methods 1983, 65, 55–63. [Google Scholar] [CrossRef] [PubMed]
Disclaimer/Publisher’s Note: The statements, opinions and data contained in all publications are solely those of the individual author(s) and contributor(s) and not of MDPI and/or the editor(s). MDPI and/or the editor(s) disclaim responsibility for any injury to people or property resulting from any ideas, methods, instructions or products referred to in the content. |
© 2024 by the authors. Licensee MDPI, Basel, Switzerland. This article is an open access article distributed under the terms and conditions of the Creative Commons Attribution (CC BY) license (https://creativecommons.org/licenses/by/4.0/).




