Next Article in Journal
Synthesis and Characterization of High-Energy Anti-Perovskite Compounds Cs3X[B12H12] Based on Cesium Dodecahydro-Closo-Borate with Molecular Oxoanions (X = [NO3], [ClO3] and [ClO4])
Next Article in Special Issue
Design, Synthesis and Biological Activity of Novel Methoxy- and Hydroxy-Substituted N-Benzimidazole-Derived Carboxamides
Previous Article in Journal
Dendrimer Coated Silica as a Sorbent for Dispersive Solid-Phase Extraction of Select Non-Steroidal Anti-Inflammatory Drugs from Water
Previous Article in Special Issue
Design, Synthesis and Antifungal Activities of Novel Pyrazole Analogues Containing the Aryl Trifluoromethoxy Group
 
 
Font Type:
Arial Georgia Verdana
Font Size:
Aa Aa Aa
Line Spacing:
Column Width:
Background:
Article

F16 Hybrids Derived from Steviol or Isosteviol Are Accumulated in the Mitochondria of Tumor Cells and Overcome Drug Resistance

1
Organic Chemistry, Martin-Luther University Halle-Wittenberg, Kurt-Mothes, Str. 2, D-06120 Halle (Saale), Germany
2
Hematology/Oncology, Medical Faculty, University Clinic for Internal Medicine IV, Martin-Luther University Halle-Wittenberg, Ernst-Grube Str. 40, D-06120 Halle (Saale), Germany
*
Author to whom correspondence should be addressed.
Molecules 2024, 29(2), 381; https://doi.org/10.3390/molecules29020381
Submission received: 4 December 2023 / Revised: 6 January 2024 / Accepted: 10 January 2024 / Published: 12 January 2024
(This article belongs to the Special Issue Heterocycles in Medicinal Chemistry II)

Abstract

Steviol and isosteviol were prepared from the commercially available sweetener stevioside and converted into lipophilic F16 hybrids. Their cytotoxicity was determined in SRB assays and showed to depend on both the substitution pattern of the aromatic substituent as well as on the spacer length. Therefore, compound 25 held an IC50 (A2780) of 180 nM, thus surpassing the activity of comparable rhodamine hybrids. Several of the compounds were also able to overcome drug resistance in the A2780/A2780cis model. Extra staining experiments showed a similar subcellular accumulation pattern of the F16 hybrids as a well-established mitocan, hence proving preferential mitochondrial accumulation but also some other accumulation in other cellular areas.

1. Introduction

Exploiting structural metabolic differences between “normal” cells and cancer cells determines the efficiency, safety and success of a therapy and cure for cancer. Since cancer is still one of the most common causes of death worldwide, despite all the successes achieved, the development of new therapeutics is of the highest interest and essential importance. In addition to other structural differences, cancer cells can differ from normal cells in the potential of their mitochondrial membranes [1]. This is higher in many tumor cells, resulting in an increased affinity for cations, especially if these also have a high lipophilicity.
The resulting concept was successfully proven for compounds carrying, for example, a triphenylphosphonium residue [2], or a rhodamine residue connected via a suitable linker [3] or a Changsha NIR ligand [4]. Hybrids of acetylated pentacyclic triterpene carboxylic acids with (homo)-piperazinyl linkers and rhodamine residues were shown to act as mitocans. IC50 values in the single-digit or even sub-nanomolar nanomolar concentration range could be obtained with relatively high selectivity between malignant and non-malignant cells. Depending on the triterpene carboxylic acid used (or its degree of hydroxylation/acetylation), 2,3,23-tris-acetylated triterpene carboxylic acid derivatives interact preferentially with mitochondrial membranes with the almost complete shutdown of mitochondrial ATP synthesis, whereas with mono-acetylated analogues the conjugates could also be detected in the cell nucleus in some cases [4,5,6].
Currently, hybrids of pentacyclic triterpene carboxylic acids with a distal-linked, substituted N-methylpyridinium radical, so-called F16 derivatives [7,8], can also be prepared, which exhibit low EC50 values with good selectivity [9,10,11]. A decrease in the intensity of ADP phosphorylation was also observed for these derivatives.
In extensions of our previous investigations of triterpenes to diterpenes [12,13,14], we were able to present and investigate cytotoxic derivatives of isosteviol, a stachane-type diterpene, for the first time and to achieve initial success [15]. Therefore, it was obvious to also make corresponding F16 derivatives of steviol and isosteviol synthetically accessible and to investigate their cytotoxic potential.

2. Results

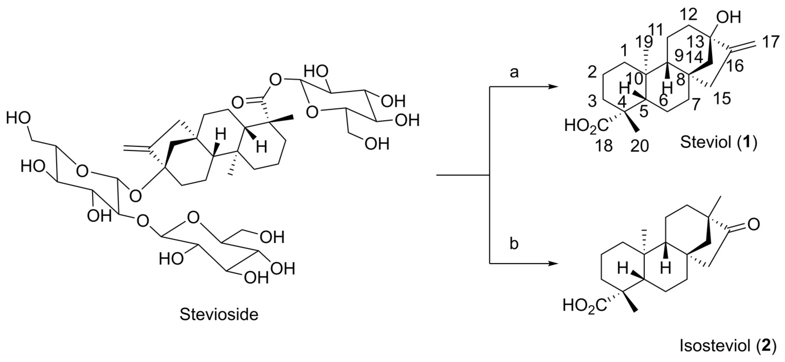
Steviol (1) [16,17,18,19,20,21,22] and isosteviol (2) [23,24,25] can be obtained by hydrolysis from commercially available stevioside (Scheme 1). Stevioside is used in large quantities in food manufacturing as a non-cariogenic sweetener with high sweetness. Its acid hydrolysis [26,27,28,29] proceeded smoothly and yielded isosteviol (2) in 63% isolated yield (Scheme 1). Meanwhile, the preparation of 1 is more problematic, as the degradation reaction described in the literature (Malaprade cleavage [30,31,32] with NaIO4 followed by alkaline hydrolysis) of stevioside gave 1 in only 20–30% yield. Our yield is in excellent agreement with the reported data [29] of M. Ukiya; previously reported [30,31,32] yields ranging between 57 and 70% could not be reproduced in our labs. Alternatively, enzymatic hydrolyses have been described in the literature [33,34], but the enzymes used in these reactions are not commercially available or are difficult to obtain. Our own experiments with commercially available pectinases (from Aspergillus niger), pancreatinases (porcine or hog) and β-glucosidases (almonds, A. niger) in acetate buffer at pH = 6 either at 21 °C or 50 °C for a period of 1–7 days with or without co-solvent ethanol or toluene were not successful at all, and only small amounts of 1 were isolated. Therefore, we decided to keep the classical synthesis variant—even if the yields were not satisfactory. Attempts to optimize this reaction were not very successful, and the yields could not be improved.
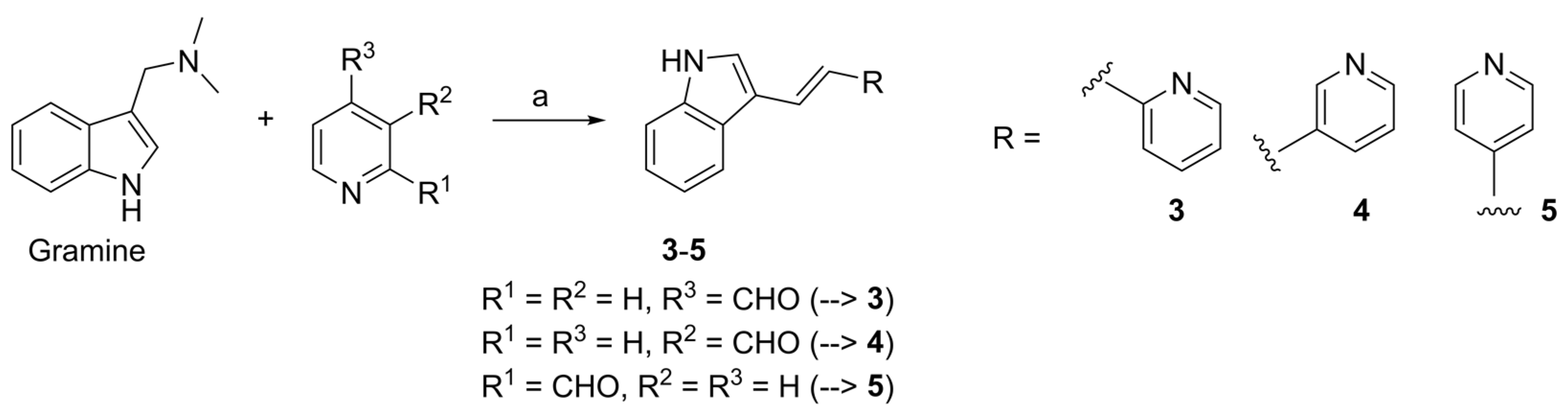
The reaction [35] of gramine (Scheme 2) with o-, m- or p-pyridine carbaldehyde furnished (E) configurated pyridyl-ethenylindoles 35. The coupling constant between the olefinic protons of J ~ 16 Hz confirms the (E) configuration of the compounds. The esterification of 1 or 2 with 1,2-dibromoethane, 1,3-dibromopropane or 1,4-dibromobutane (Scheme 3) furnished esters 6/7, 14/15 and 22/23, respectively, whose microwaves assisted coupling with 35 furnished final F16 derivatives 813, 1621 and 2429. This small library of compounds hence differs in the kind of diterpenoid skeleton (steviol vs. isosteviol), the length of the spacer between the diterpenoid core and the F16 moiety (2–4 carbons) and the substitution pattern of the F16 unit (ortho, meta or para).
All products were fully characterized by their 1H-, 13C NMR, IR and UV-vis spectra, as well as MS spectra and microanalysis. The obtained spectroscopic data agreed perfectly with the expected values. The assignment of the signals of the (iso)-steviol skeleton in the respective NMR spectra followed the assignments previously made [15].
All compounds were screened for their cytotoxic activity and tumor cell selectivity using our standard model, previously [36] described, comprising a selection of human tumor cell lines representing different solid tumor entities and non-malignant human fibroblasts (CCD18Co) including the cell line pair A2780/A2780cis, a well-known model of acquired drug resistance. The results from these assays are summarized in Table 1 and Table 2 and depicted in Figure 1.
The results reveal that the compounds were most sensitive for A2780 cells, with pyridyl-ethenylindoles 35 showing IC50 values below 3.0 µM. While the spacered diterpenoids were not cytotoxic at all, the F16 hybrids were even more active than their parent compounds, with only marginal differences observed between steviol- and isosteviol-derived variants. Those hybrids holding the linker in the para-position proved to be the most active, especially with a higher spacer length. Therefore, compound 25 has an IC50 (A2780) of 180 nM, surpassing the activity of comparable rhodamine hybrids. Though the activity is increased, coupling the F16 structures with the diterpenes leads to less selective compounds, except for compounds 17, 24 and 25, which retained selectivity. Thus, the three most active compounds were also the most selective. In addition, compounds 17, 24 and 25 were able to reduce or even overcome drug resistance in the A2780/A2780cis model. Using doxorubicin treatment as a control, the relative resistance of A2780cis compared to A2780 was reproduced, resulting in an approximately 14-fold difference in their IC50 values. In conclusion, compounds 17, 24 and 25, representing the para-linked hybrids with higher spacer length, showed the most promising profiles, combining anti-tumor cell activity, selectivity and the ability to overcome drug resistance. An increased spacer length allows more flexibility, providing effective action at its target site. Moreover, it offers a larger nonpolar region, obviously enhancing the compound’s ability to be accumulated in the mitochondria. However, no complete SAR model can be developed based on these results because the mode of action of the compounds is not yet fully understood. The influence of the orientation of the pyridinium and indole moiety on the cytotoxicity of F16 has already been established by Xu et al. [37]. Our own corresponding molecular modelling calculations for conformational analysis of the derivatives were postponed. In addition, since the intracellular distribution is much more inhomogeneous than, for example, with AHCS2 (see below), any differences in constitution, configuration and orientation will also have an influence on the mode of action. This will have to be investigated in detail in further experiments as well as with an exact investigation of possible differences between malignant and non-malignant cells.
Next, the subcellular accumulation of compounds 17 and 25 compared to 5 (F16 group) was studied, employing the fluorescent characteristics mediated by the F16 group. Expecting a mitochondrial accumulation of the compounds, our previously described strong mitochondria-targeted and NIR fluorescent agent/mitocan AHCS2 (compound 21 in ref. [4]) was used, thus enabling simultaneous analysis and direct comparison due to different fluorescence spectra. As shown in Figure 2, a similar subcellular accumulation pattern of the F16 compounds and AHCS2 could be observed, proving mitochondrial accumulation. However, a thorough analysis, especially of the merged pictures, revealed some minor accumulation of the F16 diterpene hybrids in other cellular areas in addition to mitochondria.
As a possible mode of action—in analogy to F16 or rhodamine conjugates of triterpenes [3,4,8]—an induced cell death combined with a cell cycle arrest, an interruption of the mitochondrial respiratory chain and an influence on the intracellular ATP level seems most likely. Further clarification is reserved for future experiments, as is the performance of clone formation assays or cell scratch assays. The results of our investigations also shed new light on earlier reports on the cytotoxicity of “simple” alkylpyridinium compounds; however, the F16 derivatives investigated in this work are significantly more cytotoxic than, for example, cetylpyridinium chloride—a very commonly used disinfectant [38].

3. Conclusions

Steviol and isosteviol were prepared from the commercial sweetener stevioside and converted into lipophilic F16 hybrids. Their cytotoxicity was determined in SRB assays and was shown to depend on both the substitution pattern of the aromatic substituent and the spacer length. Several of the compounds were able to overcome drug resistance in the A2780/A2780cis model. Staining experiments revealed a similar subcellular accumulation pattern of the F16 hybrids as a well-established mitocan, thus demonstrating preferential mitochondrial accumulation, but also minor accumulation in other cellular compartments. The IC50 value of compound 25 was as low as 0.18 μM (for A2780 ovarian tumor cells), holding a selectivity for this tumor cell line (as compared to non-malignant human fibroblast CCD18Co) of 59. Despite these very good results, the authors are aware that more intensive biological studies are needed to prove the merits of this new class of compounds.

4. Experimental Procedure

4.1. General

Reagents were bought from commercial suppliers and used without further purification. The solvents were dried according to the usual procedures. TLC was performed on silica gel (Macherey-Nagel, detection with UV absorption; Macherey-Nagel, Düren, Germany). Melting points have been measured with a Büchi M-565 instrument (Büchi Labortechnik, Flawill, Switzerland). NMR spectra were recorded using VARIAN spectrometers (Varian Germany, Darmstadt, Germany) at 27 °C (δ given in ppm; J in Hz, typical experiments for assignments: 13C APT, HMBC, HSQC). Numbering in the NMR spectra: 1–20 (diterpene core), 21–24 for O-(CH2)n-N fragment followed by the pyridinium ring, the ethenyl moiety and the indole moiety. ASAP-MS spectra were taken on an Advion (Advion, Ithaca, NY, USA); expression: CMS-L with an ASAP/APCI Ion source (capillary voltage 150 V, capillary temperature 220 °C and voltage of the ion source: 15 V; APCI source temperature 300 °C with 5 μA). IR spectra were recorded on a Perkin-Elmer Spectrum Two (UATR Two Unit, Perkin-Elmer GmbH, Rodgau, Germany). The human cancer cell lines A2780 (ECACC #93112519), A2780Cis (ECACC # 93112517), A549 (ATCC—CCL-185), HT29 (ATCC—HTB-38) and MCF7 (ATCC—HTB-22) were cultivated in RPMI1640 medium, and non-malignant human fibroblasts CCD18Co (ATCC—CRL-1459) were grown in MEME (both from Sigma-Aldrich, St. Louis, MO, USA). Both media were supplemented with 10% fetal bovine serum (Biowest, Nuaillé, France) and 1% penicillin-streptomycin (Sigma-Aldrich).
Cytotoxic activities of compounds were analyzed using the SRB cytotoxicity assay. Cells were seeded in 96-well plates and after 24 h were treated with serial dilutions of compounds for 72 h. All subsequent steps were performed according to the previously described SRB assay protocol [36]. Dose–response curves and calculation of IC50 values, including standard deviations, were carried out using GraphPad Prism8.
Analysis of subcellular localization of compounds was performed in A549 cells using the established mitochondrial targeting compound AHCS2 [4] for direct comparison. For all procedures, RPMI 1640 media without phenol-red (Pan-Biotech GmbH, Aidenbach, Germany) was used. Cells were seeded in a µ-Plate 96-well black plate (ibiTreat: #1.5 polymer coverslip bottom, ibidi GmbH, Gräfelfing, Germany) at a cell density of 30.000 per well. After 24 h, cells were treated with 10 µM of compound 5 or 1 µM of compound 17 or 1 µM of compound 25, each together with 20 nM of compound AHCS2. After 24 h, Hoechst 33342 (Sigma-Aldrich) was added and live cell imaging was performed on an Axio Observer 7 (Carl Zeiss Microscopy Deutschland GmbH, Oberkochen, Germany) using the settings for Ex/Em, as follows: Hoechst 33342 (385 nm/425 nm), F16 compounds (475 nm/514 nm), AHCS2 (735 nm/785 nm). For simultaneous analysis, multiple Z-stacked images were taken and resulting pictures were reconstructed using the ZEN 3.5 pro software (Zeiss).

4.2. Syntheses

4.2.1. (4α) 13-Hydroxy-kaur-16-en-18-oic Acid (1)

To a solution of stevioside (100.0 g, 0.12 mol) in dist. water (8.0 L), NaIO4 (160.0 g, 0.75 mol) was added and the mixture was stirred for 1 day at 21 °C. Finely ground KOH (650.0 g, 11.6 mol) was added, and the mixture was stirred under reflux for 3 h. The mixture was cooled to 0 °C and HOAc (650 mL) was slowly added; the mixture was extracted with ether (1.8 L). The combined organic layers were washed with water, dried (MgSO4), and the solvents were removed under reduced pressure. The residue was subjected to re-crystallization from MeOH to yield 1 (10.5 g, 26%) as a colorless solid: Rf = 0.47 (SiO2, CHCl3/MeOH, 9:1); m.p. = 204–206 °C [lit.: [39] 212–213 °C]; α D 20 = −62.88° (c = 0.09, CHCl3) [lit.: [40] α D 20 = −55.2° (CHCl3)]; IR (ATR): ν = 2945br, 1694w, 1456w, 1184w, 757w cm−1; 1H NMR (500 MHz, CDCl3): δ = 4.98 (s, 1H, 17-H), 4.81 (s, 1H, 17-H), 2.20 (dt, J = 17.0, 2.9 Hz, 1H, 15-H), 2.14 (td, J = 13.4, 3.3 Hz, 1H, 3-H), 2.12–2.04 (m, 2H, 14-H, 15-H), 1.94 (td, J = 13.8, 4.1 Hz, 1H, 2-H), 1.92–1.70 (m, 5H, 1-H, 6-H, 11-H, 12-H), 1.65–1.51 (m, 3H, 7-H, 11-H, 12-H), 1.48–1.39 (m, 2H, 2-H, 7-H), 1.30 (dd, J = 10.5, 2.7 Hz, 1H, 14-H), 1.23 (s, 3H, 19-H), 1.08 (dd, J = 12.1, 2.3 Hz, 1H, 5-H), 1.04–0.99 (m, 1H, 3-H), 0.99–0.96 (m, 1H, 9-H), 0.95 (s, 3H, 20-H), 0.84–0.79 (m, 1H, 1-H) ppm; 13C NMR (126 MHz, CDCl3): δ = 183.77 (C-18), 155.80 (C-16), 103.20 (C-17), 80.51 (C-13), 57.03 (C-5), 53.96 (C-9), 47.54 (C-15), 47.05 (C-14), 43.74 (C-4), 41.87 (C-8), 41.36 (C-7), 40.64 (C-1), 39.65 (C-10), 39.50 (C-12), 37.84 (C-3), 28.92 (C-19), 21.93 (C-6), 20.59 (C-11), 19.14 (C-2), 15.55 (C-20) ppm; MS (ESI, MeOH): m/z (%) 317 (100%, [M − H]).

4.2.2. (4α, 8β, 13β) 13-Methyl-16-oxo-17-norkauran-18-oic Acid (2)

A solution of stevioside (86.0 g, 0.10 mol) in MeOH (500 mL) and aq. HCl (33%, 90 mL) was heated under reflux for 2 h. Stirring at 21 °C was continued overnight, water (1200 mL) was added slowly, and the precipitate was filtered off, dried and re-crystallized from EtOH (300 mL) to yield 2 (21.6 g, 63%) as a colorless solid: Rf = 0.71 (SiO2, CHCl3/MeOH 9:1); m.p. = 229–231 °C [lit.: [41] 228–230 °C]; α D 20 = −84.02° (c = 0.15, CHCl3) [lit.: [39] α D 20 = −79.3° (EtOH)]; IR (ATR), 1H NMR and 13C NMR as previously reported; MS (ESI, MeOH/CHCl3, 4:1): m/z (%) 317 (100%, [M − H]).

4.2.3. General Procedure for the Synthesis of Pyridyl-ethenylindoles 35 (GPA)

A mixture of 2-, 3- or 4-pyridinecarboxaldehyde (1.5 equiv), tri-n-butyl-phosphine (1.5 equiv) and gramine (3-dimethylaminomethyl-indole, 3 equiv) in dry acetonitrile (75 mL) was stirred at 85 °C for 1 day; [35] the volatiles were removed under reduced pressure, and the residue was purified by chromatography.

4.2.4. 3-[(E)-2-Pyridin-2-yl-ethenyl]-1H-indole (3)

Following GPA from gramine (5.25 g, 30 mmol), acetonitrile (75 mL), n-PBu3 (12 mL, 46 mmol) and 24-pyridinecarbaldehyde (4.2 mL, 45 mmol) followed by chromatography (SiO2; hexanes/ethyl acetate, 1:1), 5 (3.05 g, 46%) was obtained as a yellowish solid: Rf = 0.52 (SiO2, hexanes/ethyl acetate, 1:1); m.p. = 185–187 °C (lit: [41] 190–191 °C); IR (ATR): ν = 3128w, 3086w, 3041w, 2972w, 2919w, 2879w, 1632m, 1565m, 1523w, 1500m, 1451m, 1417m, 1346br, 1283m, 1252m, 1222w, 1185w, 1151w, 1138w, 1117m, 1084w, 1042w, 1025w, 977w, 952s, 913w, 881w, 853w, 817w, 771br, 739s, 701s, 627m, 618m, 564w, 547w, 426m cm−1; UV-Vis (MeOH): λmax (log ε) = 303.67 nm (2.38); 1H NMR (500 MHz, DMSO-d6): δ = 11.42 (s, 1H, NH), 8.50 (ddd, J = 4.8, 1.8, 0.7 Hz, 1H, 15-H), 7.99 (d, J = 7.8 Hz, 1H, 3-H), 7.88 (d, J = 16.1 Hz, 1H, 9-H), 7.73 (d, J = 2.7 Hz, 1H, 8-H), 7.69 (td, J = 7.6, 1.8 Hz, 1H, 13-H), 7.47 (d, J = 7.9 Hz, 1H, 12-H), 7.45–7.41 (m, 1H, 2-H), 7.18 (dd, J = 7.0, 1.2 Hz,1H, 5-H), 7.15(d, J = 16.3 Hz, 1H, 10-H), 7.20–7.09 (m, 1H, 4-H), 7.12–7.10 (m, 1H, 14-H) ppm; 13C NMR (126 MHz, DMSO-d6): δ = 156.42 (C-15), 149.20 (C-11), 137.19 (C-1), 136.51 (C-13), 127.85 (C-9), 127.45 (C-6), 126.38 (C-8), 125.12 (C-3), 124.15 (C-10), 122.63 (C-12), 121.93 (C-4), 121.22 (C-14), 119.99 (C-5), 112.03 (C-7), 111.68 (C-2) ppm; MS (ESI, DMSO/CHCl3, 4:1): m/z (%) 221 (100%, [M + H]+); analysis calcd. for C15H12N2 (220.28): C 81.79, H 5.49, N 12.72; found: C 81.63, H 5.70, N 12.45.

4.2.5. 3-[(E)-2-Pyridin-3-yl-ethenyl]-1H-indole (4)

Following GPA from gramine (5.25 g, 30 mmol), acetonitrile (75 mL), n-PBu3 (12 mL, 46 mmol) and 3-pyridinecarbaldehyde (4.2 mL, 45 mmol), followed by chromatography (SiO2; hexanes/ethyl acetate, 1:1), 4 (3.32 g, 50%) [42,43,44,45] was obtained as a yellowish solid: Rf = 0.25 (SiO2, hexanes/ethyl acetate, 1:1); m.p. = 194–195 °C (lit.: [35] 194–195 °C); IR (ATR): ν = 3129w, 3089w, 3039w, 2970w, 2921w, 2881w, 1630m, 1568m, 1524w, 1499m, 1452m, 1416m, 1348br, 1281m, 1250m, 1224w, 1186w, 1153w, 1136w, 1118m, 1083w, 1042w, 1026w, 976w, 953s, 911w, 882w, 851w, 816w, 772br, 740s, 699s, 629m, 617m, 563w, 548w, 424s cm−1; UV-Vis (MeOH): λmax (log ε) = 335.01 nm (2.51); 1H NMR (500 MHz, DMSO-d6): δ = 11.40 (s, 1H, NH), 8.77 (d, J = 2.2 Hz, 1H, 15-H), 8.37 (dd, J = 4.6, 1.6 Hz, 1H, 14-H), 8.05 (d, J = 7.8 Hz, 1H, 2-H), 7.99 (dt, J = 7.9, 1.8 Hz, 1H, 12-H), 7.68 (dt, J = 2.6 Hz, 1H, 8-H), 7.56 (d, J = 16.6 Hz, 1H, 9-H), 7.45 (d, J = 7.8 Hz, 1H, 3-H), 7.34 (dd, J = 7.9, 4.7 Hz, 1H, 13-H), 7.21–7.16 (m1H, 5-H), 7.14 (td, J = 7.4, 6.8, 1.2 Hz, 1H, 4-H), 7.12 (d, J = 16.6 Hz, 1H, 10-H) ppm; 13C NMR (126 MHz, DMSO-d6): δ = 147.95 (C-15), 147.47 (C-14), 137.54 (C-6), 134.76 (C-11), 131.91 (C-12), 127.17 (C-8), 125.57 (C-1), 125.14 (C-9), 124.10 (C-13), 122.37 (C-5), 120.38 (C-2), 120.31 (C-4), 119.93 (C-10), 114.02 (C-7), 112.45 (C-3) ppm; MS (ESI, MeOH/DMSO, 4:1): m/z (%) 219 (77%, [M − H]); analysis calcd. for C15H12N2 (220.28): C 81.79, H 5.49, N 12.72; found: C 81.58, H 5.79, N 12.40.

4.2.6. 3-[(E)-2-Pyridin-4-yl-ethenyl]-1H-indole (5)

Following GPA from gramine (5.25 g, 30 mmol), acetonitrile (75 mL), n-PBu3 (12 mL, 46 mmol) and 4-pyridinecarbaldehyde (4.2 mL, 45 mmol), followed by chromatography (SiO2; hexanes/ethyl acetate, 1:1), 3 (4.31 g, 65%) was obtained as a reddish solid [37,46,47,48,49,50,51]: Rf = 0.26 (SiO2, hexanes/ethyl acetate, 1:1); m.p. = 254–255 °C (lit.: [37] 255–256 °C); C; IR (ATR): ν = 3127w, 3086w, 3064w, 3026w, 2958w, 2915w, 2869w, 1625m, 1592s, 1547m, 1519m, 1493m, 1444s, 1420s, 1352w, 1332w, 1303w, 1279m, 1247s, 1215m, 1200m, 1153w, 1135w, 1121m, 1093m, 1065w, 1018w, 999m, 962s, 902w, 869m, 830m, 802m, 772w, 732s, 666w, 618m, 559w, 546w, 526m, 496w, 422m cm−1; UV-Vis (MeOH): λmax (log ε) = 352.44 nm (1.26); 1H NMR (400 MHz, DMSO-d6): δ = 11.63–11.45 (s, 1H, NH), 8.47 (d, J = 6.1 Hz, 2H, 13-H, 14-H), 8.03 (dd, J = 7.5, 1.5 Hz, 1H, 5-H), 7.73 (d, J = 13.8 Hz, 1H, 9-H,), 7.75 (s, 1H, 8-H), 7.52 (d, J = 6.2 Hz, 2H, 12-H, 15-H), 7.43 (d, J = 7.9 Hz, 1H, 2-H), 7.20–7.11 (m, 2H, 3-H, 4-H), 7.04 (d, J = 16.5 Hz, 1H, 10-H) ppm; 13C NMR (101 MHz, DMSO-d6): δ = 150.18 (C-13, C-14), 146.38 (C-11), 137.61 (C-1), 128.44 (C-8), 127.83 (C-9), 125.50 (C-6), 122.54 (C-4), 120.67 (C-10), 120.55 (C-3), 120.43 (C-5), 120.37 (C-12, C-15), 113.65 (C-7), 112.54 (C-2) ppm; MS (ESI, MeOH/DMSO, 4:1): m/z (%) 219 (83%, [M − H]); analysis calcd. for C15H12N2 (220.28): C 81.79, H 5.49, N 12.72; found: C 81.50, H 5.71, N 12.46.

4.2.7. General Procedure for the Synthesis of Alkyl Bromides 6, 7, 14, 15, 22 and 23 (GPB)

To a solution of 1 or 2 in dry DMF/ACN (3:1), finely ground K2CO3 (2 equiv.) and 1,2-dibromoethane, 1,3-dibromopropane or 1,4-dibromobutane (4 equiv.) were added, and the mixture was stirred for 3 h at 50 °C [8]. The volatiles were removed under reduced pressure, and the residue was subjected to chromatography to yield compounds 6 and 7 (from dibromoethane), 14 and 15 (from dibromopropane) and 22 and 23 (from dibromobutane), respectively.

4.2.8. General Procedure for the Synthesis of the F16 Conjugates 813, 1621 and 2429 (GPC)

A mixture of bromide 6, 7, 14, 15, 22 or 23 (1.0 mmol) and pyridyl-ethenylindoles 35 (1 equiv.) in dry DMF (10 mL) was stirred in a microwave for 14 h at 120 °C (microwave assisted; Anton Parr Monowave apparatus; Anton Paar GmbH, Graz, Austria). The volatiles were removed under reduced pressure and the residue was subjected to chromatography to yield products 813, 1621 and 2429.

4.2.9. 2-Bromoethyl (4α)-13-Hydroxykaur-16-en-18-oate (6)

Following GPB from 1 (0.5 g, 1.57 mmol), K2CO3 (0.434 g, 3.1 mmol), 1,2-dibromoethane (0.55 mL, 6.3 mmol) followed by chromatography (SiO2, hexanes/ethyl acetate, 6:1), 6 (0.45 g, 68%) was obtained as a colorless solid: Rf = 0.33 (SiO2, hexanes/ethyl acetate, 8:2); m.p. = 115–117 °C; α D 20 = −57.06° (c = 0.145, CHCl3); IR (ATR): ν = 3554m, 2934m, 2853m, 1709s, 1460m, 1443m, 1388w, 1366w, 1316w, 1282w, 1208m, 1138s, 1113m, 1092m, 1057w, 1008w, 967m, 877w, 819w, 774w, 678w, 578w, 531w cm−1; 1H NMR (500 MHz, CDCl3): δ = 4.97 (s, 1H, 17-H), 4.81 (s, 1H, 17-H), 4.42–4.30 (m, 2H, 21-H), 3.53 (t, J = 5.8 Hz, 2H, 22-H), 2.17 (dd, J = 9.0, 5.6 Hz, 2H, 12-Ha, 15-Ha), 1.93–1.71 (m, 4H, 2-Ha, 6-H, 1-Ha), 1.71–1.57 (m, 5H, 3-H, 7-H, 11-Ha), 1.57–1.35 (m, 5H, 2-Hb, 11-H, 14-H), 1.20 (s, 3H, 19-H), 1.10–0.94 (m, 2H, 12-Hb, 5-H), 0.88 (s, 3H, 20-H), 0.87–0.76 (m, 2H, 1-H, 9-H) ppm; 13C NMR (126 MHz, CDCl3): δ = 177.27 (C-18), 143.61 (C-16), 103.04 (C-17), 82.73 (C-13), 63.99, 56.85 (C-5), 53.88 (C-9), 51.00 (C-15), 48.08 (C-14), 44.13 (C-4), 41.45 (C-8), 40.98 (C-1), 39.75 (C-7), 39.50 (C-10), 38.16 (C-12), 31.89 (C-3), 29.05 (C-22), 28.96 (C-19), 21.15 (C-6), 20.93 (C-11), 19.18 (C-2), 15.47 (C-20) ppm; MS (ESI, MeOH/CHCl3, 4:1): m/z (%) 345 (100%, [M − Br]+); analysis calcd. for C22H33O3Br (425.41): C 62.12, H 7.82; found: C 61.97, H 8.03.

4.2.10. 2-Bromoethyl (4α, 8β, 13β) 13-Methyl-16-oxo-17-norkauran-18-oate (7)

Following GPB from 2 (0.5 g, 1.57 mmol), K2CO3 (0.434 g, 3.1 mmol), 1,2-dibromoethane (0.55 mL, 6.3 mmol) followed by chromatography (SiO2, hexanes/ethyl acetate, 9:1), 7 (0.43 g, 64%) was obtained as a colorless solid: Rf = 0.7 (SiO2; hexanes/ethyl acetate, 4:1); m.p. = 141–144 °C; α D 20 = −63.27° (c = 0.156, CHCl3); IR (ATR): ν = 2935m, 2883w, 2839m, 1723s, 1470m, 1451m, 1431w, 1386w, 1322w, 1291w, 1229m, 1209m, 1176s, 1146s, 1132s, 1093m, 1060w, 1030w, 1017w, 996w, 974m, 952w, 928w, 880w, 856w, 803w, 759m, 696w, 587w, 574w, 561w, 535w, 505w, 462w cm−1; 1H NMR (500 MHz, CDCl3): δ = 4.42–4.32 (m, 2H, 21-H), 3.53 (t, J = 5.7 Hz, 2H, 22-H), 2.64 (dd, J = 18.6, 3.8 Hz, 1H, 15-H), 2.21 (d, J = 13.5 Hz, 1H, 3-H), 1.91 (dd, J = 14.1, 2.6 Hz, 2H, 2-H, 15-H), 1.86–1.76 (m, 3H, 1-H, 6-H, 11-H), 1.75–1.52 (m, 6H, 6-H, 7-H, 11-H, 12-H, 14-H), 1.52–1.34 (m, 3H, 2-H, 12-H, 14-H), 1.23 (s, 3H, 19-H), 1.22–1.13 (m, 2H, 5-H, 9-H), 1.04 (td, J = 13.5, 4.2 Hz, 1H, 3-H), 0.98 (s, 3H, 17-H), 0.92 (td, J = 13.3, 4.2 Hz, 1H, 1-H), 0.75 (s, 3H, 20-H) ppm; 13C NMR (126 MHz, CDCl3): δ = 222.39 (C-16), 177.03 (C-18), 63.94 (C-21), 57.09 (C-5), 54.69 (C-9), 54.28 (C-14), 48.70 (C-13), 48.42 (C-15), 43.97 (C-4), 41.51 (C-7), 39.79 (C-1), 39.48 (C-8), 38.09 (C-10), 37.93 (C-3), 37.31 (C-12), 28.95 (C-22), 28.93 (C-19), 21.73 (C-6), 20.35 (C-11), 19.85 (C-17), 18.89 (C-2), 13.45 (C-20) ppm; MS (ESI, MeOH:CHCl3 4:1): m/z (%) 345 (100%, [M − Br]+); analysis calcd. for C22H33O3Br (425.41): C 62.12, H 7.82; found: C 61.87, H 7.97.

4.2.11. 2-{4-[(E)-2-(1H-Indol-3-yl)ethenyl]-pyridinium-1-yl}-ethyl (4α)-13-Hydroxykaur-16-en-18-oate Bromide (8)

Following GPC from 6 (0.23 g, 0.54 mmol) and 3 (0.12 g, 0.54 mmol) followed by chromatography (SiO2, CHCl3/MeOH, 9:1), 8 (0.15 g, 48%) was obtained as a reddish solid: Rf = 0.2 (SiO2, CHCl3/MeOH, 9:1); m.p. = 188–190 °C; α D 20 = −27.39° (c = 0.076, MeOH); IR (ATR): ν = 2924w, 2850w, 1721w, 1594m, 1574m, 1500m, 1430m, 1363w, 1317br, 1275w, 1245m, 1203w, 1178m, 1131m, 1043w, 958w, 870w, 744m, 611w, 565br, 509w, 424w cm−1; UV-Vis (MeOH): λmax (log ε) = 436.98 nm (4.46); 1H NMR (500 MHz, DMSO-d6): δ = 11.99 (s, 1H, NH), 8.83 (d, J = 6.9 Hz, 2H, 23-H, 27-H), 8.32 (s, 1H, 37-H), 8.29 (d, J = 16.2 Hz, 1H, 29-H), 8.19–8.13 (m, 2H, 24-H, 26-H), 7.98 (d, J = 2.9 Hz, 1H, 35-H), 7.51 (d, J = 7.5 Hz, 1H, 32-H), 7.30 (d, J = 16.2 Hz, 1H, 28-H), 7.27–7.19 (m, 2H, 33-H, 34-H), 4.83–4.71 (m, 2H, 22-H), 4.75–4.64 (m, 2H, 17-H), 4.58 (m, 2H, 21-H), 2.54–2.46 (m, 1H, 15-H), 1.95 (s, 1H, 12-Ha), 1.84–1.65 (m, 4H, 3-H, 6-Ha, 11-Ha, 15-Ha), 1.65–1.43 (m, 4H, 1-Ha, 2-Ha, 11-Hb, 14-Ha), 1.43–1.17 (m, 3H, 2-Hb, 6-Hb, 7-Ha), 1.14 (d, J = 10.0 Hz, 2H, 12-Hb, 14-Hb), 1.03 (s, 3H, 19-H), 0.96 (q, J = 13.6, 12.6 Hz, 2H, 3-H, 7-Hb), 0.84 (d, J = 8.0 Hz, 2H, 5-H, 9-H), 0.72 (t, 1H, 1-Hb), 0.61 (s, 3H, 20-H) ppm; 13C NMR (126 MHz, DMSO-d6): δ = 176.64 (C-18), 156.59 (C-16), 155.67 (C-25), 144.13 (C-23, C-27), 138.00 (C-36), 137.66 (C-29), 133.12 (C-35), 125.39 (C-31), 123.42 (C-31), 122.23 (C-33), 121.67 (C-24, C-26), 120.94 (C-34), 117.23 (C-28), 114.16 (C-30), 113.09 (C-32), 102.96 (C-17), 79.03 (C-13), 62.73 (C-21), 57.94 (C-22), 56.21 (C-5), 53.50 (C-9), 47.63 (C-15), 46.50 (C-14), 43.74 (C-4), 43.70 (C-8), 41.43 (C-7), 41.19 (C-1), 39.39 (C-10), 39.12 (C-12), 37.72 (C-3), 28.63 (C-19), 21.93 (C-6), 20.32 (C-11), 18.99 (C-2), 15.42 (C-20) ppm; MS (ESI, MeOH/DMSO, 4:1): m/z (%) 566 (66%, [M − Br]+); analysis calcd. for C37H45N2O3Br (645.68): C 68.83, H 7.03, N 4.34; found: C 68.59, H 7.26, N 4.11.

4.2.12. 2-{4-[(E)-2-(1H-Indol-3-yl)-ethenyl]pyridinium-1-yl}-ethyl (4α, 8β, 13β) 13-Methyl-16-oxo-17-norkauran-18-oate Bromide (9)

Following GPC from 7 (0.215 g, 0.51 mmol) and 3 (0.115 g, 0.51 mmol) followed by chromatography (SiO2, CHCl3/MeOH, 9:1), 9 (0.2 g, 72%) was obtained as a reddish solid: Rf = 0.32 (SiO2, CHCl3/MeOH, 9:1); m.p. = 194–196 °C; α D 20 = −43.56° (c = 0.101, MeOH); IR (ATR): ν = 2925br, 2848w, 1726s, 1645w, 1594s, 1574s, 1500s, 1431s, 1356w, 1317w, 1275w, 1246m, 1204m, 1176s, 1130s, 1043w, 960w, 870w, 745s, 663w, 612w, 563w, 509w, 425w cm−1; UV-Vis (MeOH): λmax (log ε) = 438.15 nm (4.79); 1H NMR (500 MHz, DMSO-d6): δ = 11.98 (s, 1H, NH), 8.83 (d, J = 6.8 Hz, 2H, 23-H, 27-H), 8.31 (s, 1H, 37-H), 8.29 (d, J = 16.1 Hz, 1H, 29-H), 8.19 (d, J = 7.0 Hz, 2H, 24-H, 26-H), 8.12 (d, J = 7.6 Hz, 1H, 32-H), 7.51 (d, J = 7.6 Hz, 1H, 35-H), 7.29 (d, J = 16.1 Hz, 1H, 28-H), 7.27–7.19 (m, 2H, 33-H, 34-H), 4.77 (s, 2H, 22-H), 4.57–4.50 (m, 1H, 21-Ha), 4.44–4.37 (m, 1H, 21-Hb), 2.29–2.20 (m, 1H, 15-Ha), 1.95 (d, J = 12.8 Hz, 1H, 3-Ha), 1.75 (d, J = 18.5 Hz, 1H, 15-Hb), 1.65–1.46 (m, 5H, 1-Ha, 6-Ha, 2-Ha, 7-Ha, 11-Ha), 1.40–1.20 (m, 6H, 2-Hb, 7-Hb, 12-H, 14-H), 1.13–1.02 (m, 3H, 5-H, 6-Hb, 9-H), 1.06 (s, 3H, 19-H), 1.02–0.91 (m, 2H, 3-Hb, 11-Hb), 0.88–0.78 (m, 1H, 1-Hb), 0.75 (s, 3H, 17-H), 0.44 (s, 3H, 20-H) ppm; 13C NMR (126 MHz, DMSO-d6): δ = 220.8 (C-16), 176.6 (C-18), 155.7 (C-25), 144.2 (C-23, C-27), 138.0 (C-36), 137.8 (C-29), 133.2 (C-37), 125.4 (C-31), 123.4 (C-24, C-26), 122.2 (C-28), 121.7 (C-34), 120.9 (C-33), 117.2 (C-32), 114.2 (C-30), 113.1 (C-35), 63.0, 57.9, 56.1 (C-5), 54.0 (C-9), 53.6 (C-14), 48.2 (C-13), 48.1 (C-15), 43.7 (C-4), 40.8 (C-7), 39.4 (C-1), 39.3 (C-8), 37.8 (C-10), 37.7 (C-3), 36.9 (C-12), 28.7 (C-19), 21.8 (C-6), 20.2 (C-11), 20.1 (C-17), 18.8 (C-2), 13.2 (C-20) ppm; MS (ESI, MeOH/DMSO, 4:1): m/z (%) 566 (85%, [M − Br]+); C37H45N2O3Br (645.68): C 68.83, H 7.03, N 4.34; found: C 68.71, H 7.19, N 4.05.

4.2.13. 2-{3-[(E)-2-(1H-Indol-3-yl)ethenyl]-pyridinium-1-yl}-ethyl (4α)-13-Hydroxykaur-16-en-18-oate Bromide (10)

Following GPC from 6 (0.23 g, 0.54 mmol) and 4 (0.12 g, 0.54 mmol) followed by chromatography (SiO2, CHCl3/MeOH, 9:1), 10 (0.13 g, 42%) was obtained as a yellowish solid: Rf = 0.12 (SiO2, CHCl3/MeOH, 9:1); m.p. = 184–187 °C; α D 20 = −6.74° (c = 0.095, MeOH); IR (ATR): ν = 3370br, 2928m, 2851m, 1725m, 1662w, 1632m, 1615m, 1576m, 1526w, 1503w, 1459m, 1434m, 1387w, 1364w, 1330w, 1276w, 1229m, 1167w, 1148m, 1118m, 1083m, 1048w, 967w, 920w, 874w, 819w, 747s, 681m, 611w, 571w, 528w, 500w, 475w, 425w cm−1; UV-Vis (MeOH): λmax (log ε) = 360.00 nm (4.17); 1H NMR (400 MHz, DMSO-d6): δ = 11.6 (s, 1H, NH), 9.4 (s, 1H, 23-H), 8.9 (d, J = 5.9 Hz, 1H, 27-H), 8.7 (d, J = 8.3 Hz, 1H, 25-H), 8.3 (s, 1H), 8.1 (dd, J = 8.1, 6.0 Hz, 1H, 26-H), 8.0 (d, J = 7.6 Hz, 1H, 32-H), 7.9 (s, 1H, 37-H), 7.9 (d, J = 16.5 Hz, 1H, 29-H), 7.5 (d, J = 7.4 Hz, 1H, 35-H), 7.2 (d, J = 16.4 Hz, 1H, 28-H), 7.3–7.1 (m, 2H, 33-H, 34-H), 5.0–4.8 (m, 3H, 17-Ha, 22-H), 4.7–4.4 (m, 3H, 17-Hb, 21-H), 2.0–1.9 (m, 3H, 15-H, 3-Ha), 1.7–1.5 (m, 6H, 1-Hb, 2-H, 6-Hb, 11-Ha, 14-Hb), 1.5–1.4 (m, 1H, 6-Ha), 1.3–1.1 (m, 6H, 7-H, 11-Hb, 12-H, 14-Ha), 1.0 (s, 3H, 19-H), 1.0–0.9 (m, 2H, 3-Hb, 5-H), 0.9–0.8 (m, 1H, 9-H), 0.7 (s, 1H, 1-Ha), 0.5 (s, 3H, 20-H) ppm; 13C NMR (101 MHz, DMSO-d6): δ = 176.7 (C-18), 156.7 (C-16), 142.4 (C-23), 141.1 (C-27), 140.6 (C-25), 140.0 (C-36), 137.7 (C-24), 133.5 (C-37), 130.8 (C-29), 128.2 (C-26), 125.3 (C-31), 122.9 (C-34), 120.9 (C-33), 120.4 (C-32), 115.7 (C-28), 113.4 (C-30), 112.8 (C-35), 103.0 (C-17), 81.1 (C-13), 63.0 (C-21), 59.8 (C-22), 55.9 (C-5), 53.4 (C-9), 47.5 (C-15), 47.0 (C-14), 43.7 (C-4), 43.7 (C-8), 41.3 (C-7), 40.6 (C-1), 39.4 (C-10), 39.2 (C-12), 37.8 (C-3), 28.5 (C-19), 20.9 (C-6), 18.9 (C-11), 16.8 (C-2), 15.1 (C-20) ppm; MS (ESI, MeOH/DMSO, 4:1): m/z (%) 566 (70%, [M − Br]+); analysis calcd. for C37H45N2O3Br (645.67): C 68.83, H 7.02, N 4.34; found: C 68.61, H 7.22, N 4.17.

4.2.14. 2-{3-[(E)-2-(1H-Indol-3-yl)ethenyl]-pyridinium-1-yl}-ethyl (4α)-13-Hydroxykaur-16-en-18-oate bromide Bromide (11)

Following GPC from 7 (0.215 g, 0.51 mmol) and 4 (0.115 g, 0.51 mmol) followed by chromatography (SiO2, CHCl3/MeOH, 9:1), 11 (0.24 g, 83%) was obtained as a yellowish solid: Rf = 0.22 (SiO2, CHCl3/MeOH, 9:1); m.p. = 193–194 °C; α D 20 = +0.25° (c = 0.081, MeOH); IR (ATR): ν = 2926w, 2848w, 1725m, 1663w, 1630m, 1615w, 1576w, 1525w, 1501w, 1456m, 1433m, 1340w, 1319w, 1276w, 1250m, 1229m, 1176w, 1146w, 1130w, 1111w, 1095w, 1029w, 964w, 928w, 882w, 825w, 744m, 681m, 616w, 590w, 569w, 528w, 505w, 473w, 425w cm−1; UV-Vis (MeOH): λmax (log ε) = 360.42 nm (4.22); 1H NMR (400 MHz, DMSO-d6): δ = 11.66 (s, 1H, NH), 9.43 (s, 1H, 23-H), 8.88 (d, J = 6.0 Hz, 1H, 27-H), 8.77 (d, J = 8.4 Hz, 1H, 25-H), 8.30 (s, 1H, 37-H), 8.12 (dd, J = 8.2, 6.0 Hz, 1H, 26-H), 8.04 (d, J = 7.7 Hz, 1H, 32-H), 7.89 (d, J = 16.5 Hz, 1H, 29-H), 7.47 (d, J = 7.5 Hz, 1H, 35-H), 7.20 (d, J = 16.5 Hz, 1H, 28-H), 7.27–7.10 (m, 2H, 33-H, 34-H), 5.01–4.79 (m, 2H, 22-H), 4.63 (dt, J = 12.3, 4.4 Hz, 1H, 21-Ha), 4.47 (dd, J = 11.9, 3.5 Hz, 1H, 21-Hb), 2.20 (dd, J = 18.4, 3.4 Hz, 1H, 15-Ha), 1.94 (d, J = 12.8 Hz, 1H, 3-Ha), 1.74 (d, J = 18.4 Hz, 1H, 15-Hb), 1.60–1.40 (m, 5H, 1-Ha, 2-Ha, 6-Ha, 7-Ha, 11-Ha), 1.38–1.16 (m, 6H, 2-Hb, 7-Hb, 12-H, 14-H), 1.10–1.00 (m, 2H, 5-H, 9-H), 1.04 (s, 3H, 19-H), 1.02–0.86 (m, 3H, 3-Hb, 6-Hb, 11-Hb), 0.81 (s, 3H, 17-H), 0.85–0.73 (m, 1H, 1-Hb), 0.41 (s, 3H, 20-H) ppm; 13C NMR (101 MHz, DMSO-d6): δ = 221.0 (C-16), 176.6 (C-18), 142.3 (C-23), 141.2 (C-27), 140.5 (C-25), 139.9 (C-36), 137.7 (C-24), 130.8 (C-29), 129.7 (C-37), 128.2 (C-26), 125.3 (C-31), 122.9 (C-28), 120.9 (C-34), 120.4 (C-32), 115.6 (C-33), 113.4 (C-30), 112.8 (C-35), 63.1 (C-21), 59.8 (C-22), 56.1 (C-5), 54.0 (C-9), 53.5 (C-14), 48.2 (C-13), 48.2 (C-15), 43.7 (C-4), 40.6 (C-7), 39.4 (C-1), 39.3 (C-8), 37.8 (C-10), 37.6 (C-3), 36.9 (C-12), 28.6 (C-19), 21.8 (C-6), 20.2 (C-11), 20.1 (C-17), 18.7 (C-2), 13.1 (C-20) ppm; MS (ESI, MeOH/DMSO, 4:1): m/z (%) 566 (60%, [M − Br]+); analysis calcd. for C37H45N2O3Br (645.67): C 68.83, H 7.02, N 4.34; found: C 68.64, H 7.19, N 4.21.

4.2.15. 2-{2-[(E)-2-(1H-Indol-3-yl)ethenyl]-pyridinium-1-yl}-ethyl (4α)-13-Hydroxykaur-16-en-18-oate Bromide (12)

Following GPC from 6 (0.23 g, 0.54 mmol) and 5 (0.12 g, 0.54 mmol) followed by chromatography (SiO2, CHCl3/MeOH, 8:2), 12 (0.12 g, 40%) was obtained as a yellowish solid: Rf = 0.11 (SiO2, CHCl3/MeOH, 8.5:1.5); m.p. = 90–93 °C; α D 20 = −11.07° (c = 0.042, MeOH); IR (ATR): ν = 3386br, 2926w, 2854w, 1654s, 1495w, 1436m, 1420m, 1389m, 1351m, 1252w, 1166w, 1110m, 1061w, 823w, 666w, 481br cm−1; UV-Vis (MeOH): λmax (log ε) = 433.17 nm (3.48); 1H NMR (500 MHz, DMSO-d6): δ = 12.17 (s, 1H, NH), 8.87 (d, J = 6.2 Hz, 1H, 23-H), 8.62 (d, J = 8.7 Hz, 1H, 26-H), 8.40 (t, J = 8.1 Hz, 2H, 25-H), 8.35 (d, J = 15.8 Hz, 1H, 29-H), 8.28 (s, 1H, 37-H), 8.13 (d, J = 7.2 Hz, 1H, 32-H), 7.76 (t, J = 6.4 Hz, 1H, 24-H), 7.52 (d, J = 7.2 Hz, 1H, 35-H), 7.40 (d, J = 15.6 Hz, 1H, 28-H), 7.28–7.17 (m, 2H, 33-H, 34-H), 5.26–5.07 (m, 2H, 22-H), 4.94 (s, 1H, 17-Ha), 4.73 (s, 1H, 17-Hb), 4.69–4.57 (m, 1H, 21-Ha), 4.41–4.31 (m, 1H, 21-Hb), 2.03–1.80 (m, 2H, 3-Ha, 15-H), 1.74–1.36 (m, 6H, 1-Ha,2-Ha, 6-Ha, 11-Ha, 12-Ha, 14-Ha), 1.35–1.03 (m, 7H, 2-Hb, 6-Hb, 7-H, 11-Hb, 12-Hb, 14-Hb), 0.98 (s, 3H, 19-H), 0.96–0.73 (m, 3H, 3-Hb, 5-H, 9-H), 0.72–0.61 (m, 1H, 1-Ha), 0.51 (s, 3H, 20-H) ppm; 13C NMR (126 MHz, DMSO-d6): δ = 176.9 (C-18), 154.5 (C-16), 145.6 (C-23), 145.1 (C-27), 144.1 (C-25), 139.3 (C-29), 137.8 (C-36), 132.9 (C-37), 125.8 (C-31), 124.6 (C-26), 123.5, 123.4 (C-24, 34), 121.8 (C-33), 121.4 (C-30), 120.6 (C-32), 114.0 (C-17), 113.1 (C-35), 110.3 (C-28), 81.2 (C-13), 62.2 (C-21), 56.0 (C-5), 55.5 (C-22), 53.5 (C-9), 47.7 (C-14, 15), 43.7 (C-4), 41.4 (C-8), 41.1 (C-7), 40.7 (C-1), 39.4 (C-10), 39.2 (C-12), 37.8 (C-3), 28.4 (C-19), 21.0 (C-6), 20.8 (C-11), 19.0 (C-2), 15.1 (C-20) ppm; MS (ESI, MeOH/DMSO, 4:1): m/z (%) 566 (55%, [M − Br]+); analysis calcd. For C37H45N2O3Br (645.67): C 68.83, H 7.02, N 4.34; found: C 68.63, H 7.27, N 4.19.

4.2.16. 2-{2-[(E)-2-(1H-Indol-3-yl)ethenyl]-pyridinium-1-yl}-ethyl (4α, 8β, 13β) 13-Methyl-16-oxo-17-norkauran-18-oate Bromide (13)

Following GPC from 7 (0.215 g, 0.51 mmol) and 5 (0.12 g, 0.54 mmol) followed by chromatography (SiO2, CHCl3/MeOH, 8:2), 13 (0.10 g, 40%) was obtained as a yellowish solid: Rf = 0.35 (SiO2, CHCl3/MeOH, 8.5:1.5); m.p. = 94–97 °C; α D 20 = −12.83° (c = 0.073, MeOH); IR (ATR): ν = 3368br, 2923m, 2850m, 1725s, 1629w, 1604s, 1562m, 1496m, 1446br, 1433m, 1375w, 1318w, 1280w, 1244m, 1209w, 1166w, 1146w, 1131m, 1112w, 1095w, 1056m, 1040w, 966w, 928w, 818w, 745m, 665w, 570w, 508w, 423w cm−1; UV-Vis (MeOH): λmax (log ε) = 434.17 nm (4.02); 1H NMR (500 MHz, DMSO-d6): δ =12.14 (s, 1H, NH), 8.83 (d, J = 5.5 Hz, 1H, 23-H), 8.61 (d, J = 7.9 Hz, 1H, 26-H), 8.41 (t, J = 7.6 Hz, 1H, 25-H), 8.35 (d, J = 15.6 Hz, 1H, 29-H), 8.32 (s, 1H, 37-H), 8.12 (d, J = 7.2 Hz, 1H, 32-H), 7.76 (t, J = 6.8 Hz, 1H, 24-H), 7.52 (d, J = 7.0 Hz, 1H, 35-H), 7.38 (d, J = 15.7 Hz, 1H, 28-H), 7.30–7.20 (m, 2H, 33-H, 34-H), 5.25–4.95 (m, 2H, 22-H), 4.65–4.53 (m, 1H, 21-Ha), 4.43–4.30 (m, 1H, 21-Hb), 2.20 (dd, J = 18.4, 3.6 Hz, 1H, 15-Ha), 1.91 (d, J = 12.8 Hz, 1H, 3-Ha), 1.73 (d, J = 18.5 Hz, 1H, 15-Hb), 1.60–1.48 (m, 6H, 1-Hb, 2-H, 6-Hb, 7-Hb, 11-Hb), 1.46–1.36 (m, 4H, 7-Ha, 12-H, 14-Hb), 1.32 (d, J = 7.7 Hz, 2H, 11-Ha, 14-Ha), 1.17–1.04 (m, 2H, 5-H, 9-H), 1.03 (s, 2H, 3-Hb, 6-Ha), 0.99 (s, 3H, 19-H), 0.87 (s, 1H, 1-Ha), 0.85 (s, 3H, 17-H), 0.39 (s, 3H, 20-H) ppm; 13C NMR (126 MHz, DMSO-d6): δ = 221.1 (C-16), 176.8 (C-18), 154.4 (C-27), 145.5 (C-23), 145.4 (C-37), 144.0 (C-25), 139.2 (C-29), 137.7 (C-36), 125.7 (C-31), 124.4 (C-26), 123.4 (C-34), 123.2 (C-24), 121.8 (C-33), 120.4 (C-32), 119.6, 113.9 (C-30), 113.1 (C-35), 110.1 (C-28), 62.2 (C-21), 56.4 (C-22), 56.1 (C-5), 54.1 (C-9), 53.6 (C-14), 48.3 (C-13), 48.2 (C-15), 43.6 (C-4), 40.7 (C-7), 39.4 (C-1), 39.3 (C-8), 37.8 (C-10), 37.7 (C-3), 37.0 (C-12), 28.4 (C-19), 21.7 (C-6), 20.2 (C-17), 18.9 (C-11), 18.8 (C-2), 13.0 (C-20) ppm; MS (ESI, MeOH/DMSO, 4:1): m/z (%) 566 (65%, [M − Br]+; analysis calcd. for C37H45N2O3Br (645.67): C 68.83, H 7.02, N 4.34; found: C 68.60, H 7.19, N 4.08.

4.2.17. 3-Bromopropyl (4α) -13-hydroxykaur-16-en-18-oate (14)

Following GPB from 1 (0.5 g, 1.57 mmol), K2CO3 (0.434 g, 3.1 mmol) and 1,3-dibromopropane (0.64 mL, 6.3 mmol) followed by chromatography (SiO2, hexanes/ethyl acetate, 6:1), 14 (0.3 g, 44%) was obtained as a colorless solid: Rf = 0.3 (SiO2, hexanes/ethyl acetate, 8:2); m.p. = 97–99 °C; α D 20 = −56.12° (c = 0.104, CHCl3); IR (ATR): ν = 3493m, 2990w, 2974w, 2958w, 2939m, 2851m, 1703s, 1469w, 1458w, 1444w, 1392w, 1369w, 1330m, 1275w, 1237m, 1220w, 1201w, 1178w, 1155w, 1119m, 1097w, 1018w, 1001m, 967w, 952w, 938w, 891w, 875w, 849w, 813w, 770w, 694w, 620w, 571w, 518w, 420w cm−1; 1H NMR (400 MHz, CDCl3): δ = 4.99–4.95 (m, 1H, 17-Ha), 4.83–4.79 (m, 1H, 17-Hb), 4.26–4.18 (m, 1H, 21-Ha), 4.17–4.08 (m, 1H, 21-Hb), 3.48 (t, J = 6.5 Hz, 2H, 23-H), 2.23–2.00 (m, 6H, 3-Ha, 14-Ha, 15-H, 22-H), 1.89–1.79 (m, 3H, 1-Ha, 2-Ha 6-Ha), 1.79–1.71 (m, 3H, 6-Hb, 11-Ha, 12-Ha), 1.62–1.55 (m, 1H, 11-Hb), 1.55–1.48 (m, 2H, 7-Ha, 12-Hb), 1.48–1.35 (m, 2H, 2-Hb, 7-Hb), 1.29–1.23 (m, 1H, 14-Hb), 1.17 (d, J = 1.7 Hz, 3H, 19-H), 1.08–0.93 (m, 3H, 3-Hb, 5-H, 9-H), 0.85 (d, J = 2.3 Hz, 3H, 20-H), 0.80 (dd, J = 13.4, 4.8 Hz, 1H, 1-Hb) ppm; 13C NMR (101 MHz, CDCl3): δ = 177.3 (C-18), 156.0 (C-16), 102.9 (C-17), 82.6, 80.2 (C-13), 61.8, 56.9 (C-5), 53.7 (C-9), 50.9, 47.4 (C-15), 47.0 (C-14), 43.9 (C-4), 41.6 (C-8), 41.3 (C-7), 40.6 (C-1), 39.3 (C-10), 39.2 (C-12), 38.0 (C-3), 31.5 (C-22), 29.6 (C-23), 28.8 (C-19), 21.9 (C-6), 20.4 (C-11), 19.1 (C-2), 15.5 (C-20) ppm; MS (ESI, MeOH:CHCl3 4:1): m/z (%) 359 (90%, [M − Br]+); analysis calcd. for C23H35O3Br (439.43): C 62.87, H 8.03; found: C 62.77, H 8.20.

4.2.18. 3-Bromopropyl (4α, 8β, 13β) 13-Methyl-16-oxo-17-norkauran-18-oate (15)

Following GPB from 2 (0.5 g, 1.57 mmol), K2CO3 (0.434 g, 3.1 mmol) and 1,3-dibromopropane (0.64 mL, 6.3 mmol) followed by chromatography (SiO2, hexanes/ethyl acetate, 6:1), 15 (0.42 g, 61%) was obtained as a colorless solid: Rf = 0.69 (SiO2, hexanes/ethyl acetate,8:2); m.p. = 103–106 °C; α D 20 = −58.31° (c = 0.15, CHCl3); IR (ATR): ν = 2932m, 2899w, 2884w, 2854w, 2839w, 1720s, 1470m, 1457m, 1423w, 1389w, 1369w, 1332m, 1321w, 1288m, 1257m, 1233m, 1219w, 1209w, 1179s, 1149s, 1135m, 1110m, 1097m, 1062w, 1018m, 978m, 942w, 929w, 895w, 876w, 852w, 827w, 767m, 738w, 696w, 660w, 632w, 612w, 587m, 532w, 507w, 462w, 436w, 418w cm−1; 1H NMR (400 MHz, CDCl3): δ = 4.25–4.17 (m, 1H, 21-Ha), 4.15–4.06 (m, 1H, 21-Hb), 3.46 (t, J = 6.5 Hz, 2H, 23-H), 2.62 (dd, J = 18.6, 3.8 Hz, 1H, 15-Ha), 2.16 (p, J = 6.2 Hz, 3H, 3-Ha, 22-H), 1.92–1.84 (m, 1H, 6-Ha), 1.85–1.78 (m, 1H, 2-Ha), 1.79 (d, J = 18.7 Hz, 1H, 15-Hb), 1.74–1.60 (m, 5H, 1-Ha, 6-Hb, 7-Ha, 11-H), 1.61–1.49 (m, 2H, 12-Ha, 14-Ha), 1.48–1.31 (m, 4H, 2-Hb, 7-Hb, 12-Hb, 14-Hb), 1.29–1.21 (m, 1H, 9-H), 1.19 (s, 3H, 19-H), 1.13 (dd, J = 12.0, 2.1 Hz, 1H, 5-H), 1.02 (td, J = 13.5, 4.2 Hz, 1H, 3-Hb), 0.96 (s, 3H, 17-H), 0.90 (td, J = 13.1, 4.2 Hz, 1H, 1-Hb), 0.70 (s, 3H, 20-H) ppm; 13C NMR (101 MHz, CDCl3): δ = 222.3 (C-16), 177.1 (C-18), 61.8 (C-21), 57.0 (C-5), 54.7, 54.3 (C-14), 48.7 (C-13), 48.4 (C-15), 43.9 (C-4), 41.5 (C-7), 39.8 (C-1), 39.4 (C-8), 38.0 (C-10), 37.9 (C-3), 37.3 (C-12), 31.4 (C-22), 29.6 (C-23), 28.9 (C-19), 21.7 (C-6), 20.3 (C-11), 19.8 (C-17), 18.9 (C-2), 13.4 (C-20) ppm; MS (ESI, MeOH/CHCl3, 4:1): m/z (%) 359 (80%, [M − Br]+); analysis calcd. for C23H35O3Br (439.43): C 62.87, H 8.03; found: C 62.66, H 8.24.

4.2.19. 3-{4-[(E)-2-(1H-Indol-3-yl)ethenyl]-pyridinium-1-yl}-propyl (4α)-13-Hydroxykaur-16-en-18-oate Bromide (16)

Following GPC from 14 (0.155 g, 0.35 mmol) and 3 (0.08 g, 0.36 mmol) followed by chromatography (SiO2, CHCl3/MeOH, 6:1), 16 (0.161 g, 79%) was obtained as a reddish solid: Rf = 0.84 (SiO2, CHCl3/MeOH, 9:1); m.p. = 209–211 °C; α D 20 = −20.78° (c = 0.074, MeOH); IR (ATR): ν = 3316w, 3163w, 2935w, 1720m, 1607s, 1575m, 1503m, 1462m, 1433m, 1362w, 1330w, 1251m, 1204w, 1180m, 1165w, 1142m, 1104m, 1086w, 1049w, 1038w, 960m, 873m, 832w, 745s, 608w, 570w, 513w, 429w cm−1; UV-Vis (MeOH): λmax (log ε) = 445.33 nm (4.59); 1H NMR (500 MHz, DMSO-d6): δ = 11.98 (s, 1H, NH), 8.78 (d, J = 6.8 Hz, 2H, 25-H, 27-H), 8.28 (d, J = 16.3 Hz, 1H, 30-H), 8.19–8.12 (m, 3H, 24-H, 28-H, 33-H), 7.98 (d, J = 2.8 Hz, 1H, 38-H), 7.51 (d, J = 7.2 Hz, 1H, 36-H), 7.31 (d, J = 16.1 Hz, 1H, 29-H), 7.29–7.19 (m, 2H, 34-H, 35-H), 4.92–4.86 (m, 1H, 17-Ha), 4.70–4.65 (m, 1H, 17-Hb), 4.51 (t, J = 7.0 Hz, 2H, 23-H), 4.17–3.99 (m, 2H, 21-H), 2.32–2.23 (m, 2H, 22-H), 1.99 (dd, J = 26.6, 9.8 Hz, 3H, 3-Ha, 15-H), 1.86 (dd, J = 10.8, 1.1 Hz, 1H, 14-Hb), 1.80–1.55 (m, 6H, 1-Ha, 2-Ha, 6-H, 11-Ha, 12-Ha), 1.55–1.39 (m, 2H, 7-Ha, 11-Hb), 1.34 (s, 3H, 2-Hb, 7-Hb, 12-Hb), 1.20 (dd, J = 11.1, 1.7 Hz, 1H, 14-Ha), 1.08 (s, 3H, 19-H), 1.03 (dd, J = 11.9, 1.5 Hz, 1H, 5-H), 0.95 (td, J = 13.5, 4.1 Hz, 1H, 3-Hb), 0.90 (d, J = 7.9 Hz, 1H, 9-H), 0.80–0.76 (m, 1H, 1-Hb), 0.74 (s, 3H, 20-H) ppm; 13C NMR (126 MHz, DMSO-d6): δ = 176.9 (C-18), 156.7 (C-16), 145.0 (C-26), 143.9 (C-25, C-27), 138.0 (C-37), 137.2 (C-30), 133.0 (C-38), 125.4 (C-32), 123.4 (C-34), 122.4 (C-24, C-28), 121.6 (C-35), 120.9 (C-33), 117.2 (C-29), 114.1 (C-31), 113.1 (C-36), 103.0 (C-17), 81.2 (C-13), 61.4 (C-21), 57.2 (C-23), 56.4 (C-5), 53.6 (C-9), 47.7 (C-15), 46.6 (C-14), 43.7 (C-4), 41.5 (C-8), 41.3 (C-7), 40.4 (C-1), 39.5 (C-10), 39.2 (C-12), 37.8 (C-3), 29.9 (C-22), 28.7 (C-19), 22.0 (C-6), 20.4 (C-11), 19.2 (C-2), 15.7 (C-20) ppm; MS (ESI, MeOH/DMSO, 4:1): m/z (%) 580 (80%, [M − Br]+); analysis calcd. for C38H47N2O3Br (659.70): C 69.18, H 7.18, N 4.25; found: C 68.88, H 7.30, N 4.03.

4.2.20. 3-{4-[(E)-2-(1H-Indol-3-yl)ethenyl]-pyridinium-1-yl}-propyl (4α, 8β, 13β) 13-Methyl-16-oxo-17-norkauran-18-oate Bromide (17)

Following GPC from 15 (0.212 g, 0.48 mmol), 3 (0.11 g, 0.05 mmol) followed by chromatography (SiO2, CHCl3/MeOH, 6:1), 17 (0.246 g, 88%) was obtained as a reddish solid: Rf = 0.85 (SiO2, CHCl3/MeOH, 9:1); m.p. = 184–186 °C; α D 20 = −15.67° (c = 0.052, MeOH); IR (ATR): ν = 2924w, 2847w, 1722m, 1644w, 1598s, 1574m, 1500m, 1457w, 1432m, 1371w, 1355w, 1317w, 1275w, 1246m, 1205m, 1174s, 1131s, 1096w, 1043w, 965w, 871w,745s, 663w, 611w, 568w, 512w, 425w cm−1; UV-Vis (MeOH): λmax (log ε) = 444.49 nm (4.70); 1H NMR (400 MHz, DMSO-d6): δ = 11.94 (s, 1H, NH), 8.75 (d, J = 6.9 Hz, 2H, 24-H, 28-H), 8.25 (d, J = 16.2 Hz, 1H, 30-H), 8.14 (d, J = 6.9 Hz, 3H, 25-H, 27-H, 33-H), 7.96 (d, J = 2.7 Hz, 1H, 38-H), 7.50 (d, J = 7.0 Hz, 1H, 36-H), 7.29 (d, J = 16.1 Hz, 1H, 29-H), 7.26–7.18 (m, 2H, 34-H, 35-H), 4.48 (t, J = 7.0 Hz, 2H, 23-H), 4.17–3.96 (m, 2H, 21-H), 2.41 (d, J = 18.4 Hz, 1H, 15-Ha), 2.31–2.21 (m, 2H, 22-H), 1.96 (td, J = 12.5, 2.8 Hz, 1H, 3-Ha), 1.87 (d, J = 18.5 Hz, 1H, 6-Ha), 1.72 (td, J = 13.3, 2.4 Hz, 1H, 15-Hb), 1.68–1.54 (m, 5H, 1-Ha, 2-Ha, 6-Hb, 7-Ha, 11-Ha), 1.54–1.44 (m, 2H, 12-Ha, 14-Ha), 1.44–1.29 (m, 4H, 2-Hb, 7-Hb, 12-Hb, 14-Hb), 1.23–1.11 (m, 3H, 5-H, 9-H, 11-Hb), 1.09 (s, 3H, 19-H), 0.97 (td, J = 13.5, 4.2 Hz, 1H, 3-Hb), 0.92–0.87 (m, 1H, 1-Hb), 0.85 (s, 3H, 17-H), 0.60 (s, 3H, 20-H) ppm; 13C NMR (101 MHz, DMSO-d6): δ = 220.8 (C-16), 176.4 (C-18), 154.8 (C-26), 143.4 (C-24, C-28), 137.5 (C-37), 136.7 (C-30), 132.5 (C-38), 124.9 (C-32), 123.0 (C-29), 121.9 (C-25, C-27), 121.2 (C-35), 120.4 (C-34), 116.8 (C-33), 113.6 (C-31), 112.6 (C-36), 61.0 (C-21), 56.8 (C-23), 55.9 (C-5), 53.7 (C-9), 53.1 (C-14), 47.9 (C-15), 47.7 (C-13), 43.2 (C-4), 40.1 (C-7), 39.0 (C-1), 38.9 (C-8), 37.4 (C-3), 37.2 (C-10), 36.6 (C-12), 29.4 (C-22), 28.3 (C-19), 21.3 (C-6), 19.8 (C-11), 19.7 (C-17), 18.5 (C-2), 13.0 (C-20) ppm; MS (ESI, MeOH/DMSO, 4:1): m/z (%) 580 (80%, [M − Br]+); analysis calcd. for C38H47N2O3Br (659.70): C 69.18, H 7.18, N 4.25; found: C 68.89, H 7.33, N 4.02.

4.2.21. 3-{3-[(E)]-2-(1H-Indol-3-yl)-ethenyl]-pyridinium-1-yl}-propyl (4α)-13-Hydroxykaur-16-en-18-oate Bromide (18)

Following GPC from 14 (0.305 g, 0.7 mmol) and 4 (0.154 g, 0.7 mmol) followed by chromatography (SiO2, CHCl3/MeOH, 6:1), 18 (0.366 g, 91%) was obtained as a yellowish solid: Rf = 0.13 (SiO2, CHCl3/MeOH, 9:1); m.p. = 175–177 °C; α D 20 = −43.33° (c = 0.111, MeOH); IR (ATR): ν = 2932br, 2850w, 1713m 1631m, 1577m, 1525w, 1501w, 1459w, 1432m, 1365w, 1331w, 1277w, 1235m, 1148m, 1096w, 1055w, 1020w, 958w, 880w, 818w, 745m, 679w, 568w, 527w, 501w, 426w cm−1; UV-Vis (MeOH): λmax (log ε) = 358.18 nm (4.66); 1H NMR (500 MHz, DMSO-d6): δ = 11.66 (s, 1H, NH), 9.35 (s, 1H, 28-H), 8.83 (d, J = 6.0 Hz, 1H, 24-H), 8.75 (d, J = 8.4 Hz, 1H, 26-H), 8.12–8.04 (m, 2H, 25-H, 33-H), 7.89 (d, J = 16.6 Hz, 1H, 30-H), 7.78 (d, J = 2.7 Hz, 1H, 38-H), 7.48 (d, J = 7.5 Hz, 1H, 36-H), 7.22 (d, J = 16.5 Hz, 1H, 29-H), 7.24–7.14 (m, 2H, 34-H, 35-H), 4.87 (s, 1H, 17-Ha), 4.69 (d, J = 7.2 Hz, 3H, 17-Hb, 23-H), 4.21–4.03 (m, 2H, 21-H), 2.42–2.33 (m, 2H, 22-H), 2.05–1.90 (m, 3H, 3-Ha, 15-H), 1.85 (d, J = 11.0 Hz, 1H, 14-Hb), 1.79–1.65 (m, 3H, 1-Ha, 2-Ha, 6-Ha), 1.65–1.49 (m, 3H, 6-Hb, 11-Ha, 12-Ha), 1.50–1.39 (m, 2H, 7-Ha, 11-Hb), 1.33 (s, 3H, 2-Hb, 7-Hb, 12-Hb), 1.19 (dd, J = 10.8, 1.6 Hz, 1H, 14-Ha), 1.06 (s, 3H, 19-H), 1.03 (dd, J = 12.0, 1.7 Hz, 1H, 5-H), 0.95 (td, J = 13.5, 4.2 Hz, 1H, 3-Hb), 0.89 (d, J = 8.1 Hz, 1H, 9-H), 0.79–0.76 (m, 1H, 1-Hb), 0.75 (s, 3H, 20-H) ppm; 13C NMR (126 MHz, DMSO-d6): δ =176.9 (C-18), 156.7 (C-16), 142.0 (C-28), 141.1 (C-24), 140.1 (C-37), 140.0 (C-26), 137.8 (C-27), 130.7 (C-30), 129.7 (C-38), 128.2 (C-25), 125.3 (C-32), 122.9 (C-29), 120.9 (C-35), 120.5 (C-33), 115.8 (C-34), 113.4 (C-31), 112.8 (C-36), 103.0 (C-17), 79.1 (C-13), 61.5 (C-21), 59.1 (C-23), 56.4 (C-5), 53.6 (C-9), 47.7 (C-15), 46.6 (C-14), 43.6 (C-4), 41.4 (C-8), 41.3 (C-7), 40.5 (C-1), 39.5 (C-10), 39.2 (C-12), 37.8 (C-3), 30.0 (C-22), 28.7 (C-19), 22.0 (C-6), 20.4 (C-11), 19.2 (C-2), 15.7 (C-20) ppm; MS (ESI, MeOH/DMSO, 4:1): m/z (%) 580 (63%, [M − Br]+); analysis calcd. for C38H47N2O3Br (659.70): C 69.18, H 7.18, N 4.25; found: C 68.88, H 7.37, N 3.99.

4.2.22. 3-{3[(E)-2-(1H-Indol-3-yl)-ethenyl]-pyridinium-1-yl}-propyl (4α, 8β, 13β) 13-Methyl-16-oxo-17-norkauran-18-oate Bromide (19)

Following GPC from 15 (0.423 g, 0.96 mmol) and 4 (0.212 g, 0.96 mmol) followed by chromatography (SiO2, CHCl3/MeOH, 6:1), 19 (0.418 g, 75%) was obtained as a yellowish solid: Rf = 0.27 (SiO2, CHCl3/MeOH 9:1); m.p. = 171–173 °C; α D 20 = −29.97° (c = 0.109, MeOH); IR (ATR): ν = 3164br, 3058w, 2937m, 2847w, 2454w, 1732m, 1718s, 1632m, 1584m, 1526w, 1500m, 1456m, 1427m, 1374w, 1336w, 1321w, 1273w, 1246m, 1225m, 1159s, 1130m, 1108m, 1056w, 1016w, 976w, 953m, 926w, 905w, 873w, 822w, 807w, 746s, 678m, 662m, 610w, 590w, 567m, 508w, 441w, 423m cm−1; UV-Vis (MeOH): λmax (log ε) = 358.18 nm (4.02); 1H NMR (500 MHz, DMSO-d6): δ = 11.65 (s, 1H, NH), 9.32 (s, 1H, 28-H), 8.81 (d, J = 6.0 Hz, 1H, 26-H), 8.75 (d, J = 8.3 Hz, 1H, 24-H), 8.12–8.04 (m, 2H, 25-H, 33-H), 7.88 (d, J = 16.5 Hz, 1H, 30-H), 7.77 (d, J = 2.6 Hz, 2H, 38-H), 7.48 (d, J = 7.9 Hz, 1H, 36-H), 7.22 (d, J = 16.3 Hz, 1H, 29-H), 7.23–7.13 (m, 1H, 34-H, 35-H), 4.66 (t, J = 6.9 Hz, 2H, 23-H), 4.12 (m, 2H, 21-H), 2.46–2.34 (m, 3H, 15-Ha, 22-H), 1.95 (d, J = 13.0 Hz, 1H, 3-Ha), 1.84 (d, J = 18.3 Hz, 1H, 15-Hb), 1.73–1.49 (m, 6H, 1-Ha, 2-Ha, 6-H, 7-Ha, 11-Hb), 1.49–1.26 (m, 6H, 7-Hb, 11-Ha, 12-H, 14-H), 1.19–1.04 (m, 3H, 2-Hb, 5-H, 9-H), 1.08 (s, 3H, 19-H), 0.98 (td, J = 13.5, 3.9 Hz, 1H, 3-Hb), 0.88 (td, J = 13.4, 3.7 Hz, 1H, 1-Hb), 0.83 (s, 3H, 17-H), 0.61 (s, 3H, 20-H) ppm; 13C NMR (126 MHz, DMSO-d6): δ = 221.2 (C-16), 176.9 (C-18), 142.0 (C-28), 141.2 (C-26), 140.1 (C-37), 140.0 (C-24), 137.8 (C-27), 130.7 (C-30), 129.7 (C-38), 128.2 (C-25), 125.3 (C-32), 122.9 (C-29), 120.9 (C-35), 120.4 (C-33), 115.8 (C-34), 113.4 (C-31), 112.8 (C-36), 61.6 (C-21), 59.3 (C-23), 56.4 (C-5), 54.1 (C-9), 53.6 (C-14), 48.3 (C-13), 48.1 (C-15), 43.6 (C-4), 40.9 (C-7), 40.5 (C-1), 39.5 (C-8), 39.4 (C-10), 37.9 (C-3), 37.7 (C-12), 29.9 (C-22), 28.7 (C-19), 21.8 (C-6), 20.3 (C-2), 20.2 (C-17), 19.0 (C-11), 13.5 (C-20) ppm; MS (ESI, MeOH/DMSO, 4:1): m/z (%) 580 (64%, [M − Br]+); analysis calcd. for C38H47N2O3Br (659.70): C 69.18, H 7.18, N 4.25; found: C 68.96, H 4.45, N 4.02.

4.2.23. 3-{2-[(E)-2-(1H-Indol-3-yl)-ethenyl]-pyridinium-1-yl}-propyl (4α)-13-Hydroxykaur-16-en-18-oate bromide (20)

Following GPC from 14 (0.305 g, 0.7 mmol) and 5 (0.154 g, 0.7 mmol) followed by chromatography (SiO2, CHCl3/MeOH, 4:1), 21 (0.12 g, 30%) was obtained as a yellowish solid: Rf = 0.2 (SiO2, CHCl3/MeOH, 8.5:1.5); m.p. = 91–94 °C; α D 20 = −31.96° (c = 0.097, MeOH); IR (ATR): ν = 3370br, 2925w, 2851w, 1716w, 1628w, 1605m, 1564m, 1499m, 1461w, 1431m, 1364w, 1325w, 1274w, 1243m, 1164w, 1152w, 1135w, 1116w, 1051w, 955w, 816w, 745m, 520br, 423w cm−1; UV-Vis (MeOH): λmax (log ε) = 427.47 nm (4.24); 1H NMR (400 MHz, DMSO-d6): δ =12.14 (s, 1H, NH), 8.81 (d, J = 6.1 Hz, 1H, 24-H), 8.57 (d, J = 8.4 Hz, 1H, 27-H), 8.37 (t, J = 7.7 Hz, 1H, 26-H), 8.32 (d, J = 16.1 Hz, 1H, 30-H), 8.21 (s, 1H, 38-H), 8.06 (d, J = 7.7 Hz, 1H, 33-H), 7.74 (t, J = 6.6 Hz, 1H, 25-H), 7.50 (d, J = 7.8 Hz, 1H, 36-H), 7.31–7.14 (m, 2H, 34-H, 35-H), 7.23 (d, J = 15.2 Hz, 1H, 29-H), 4.94 (s, 1H, 17-Ha), 4.84 (t, 2H, 23-H), 4.56 (s, 1H, 17-Hb), 4.23–4.03 (m, 2H, 21-H), 2.33–2.12 (m, 2H, 22-H), 1.99–1.70 (m, 4H, 3-Ha, 14-H, 15-Ha), 1.69–1.31 (m, 10H, 1-Ha, 2-Ha, 6-H, 7-H, 11-H, 12-H), 1.32–1.04 (m, 2H, 2-Hb, 15-Hb), 0.99 (s, 3H, 19-H), 0.97–0.69 (m, 4H, 1-Hb, 3-Hb, 5-H, 9-H), 0.67 (s, 3H, 20-H) ppm; 13C NMR (101 MHz, DMSO-d6): δ = 176.8 (C-18), 153.8 (C-16), 145.1 (C-24), 144.9 (C-28), 143.8 (C-26), 139.1 (C-30), 137.7 (C-37), 133.6, 132.8 (C-38), 125.6 (C-32), 124.7 (C-27), 123.5 (C-25), 123.3 (C-35), 121.7 (C-34), 120.3 (C-33), 113.8 (C-31), 113.1 (C-36), 110.1 (C-29), 102.9 (C-17), 81.2 (C-13), 61.6 (C-21), 56.7 (C-5), 56.1 (C-9), 55.4 (C-23), 50.9 (C-15), 49.0, 47.6 (C-14), 46.7, 43.6 (C-8), 41.6 (C-7), 39.4 (C-1), 38.4 (C-10), 37.8 (C-3), 37.8, 32.2, 29.4 (C-22), 28.7 (C-19), 22.5 (C-6), 20.8 (C-11), 19.1 (C-2), 15.4 (C-20) ppm; MS (ESI, MeOH/DMSO, 4:1): m/z (%) 580 (90%, [M − Br]+); analysis calcd. For C38H47N2O3Br (659.70): C 69.18, H 7.18, N 4.25; found: C 68.96, H 7.34, N 4.13.

4.2.24. 3-{2-[(E)-2-(1-H-Indol-3-yl)-ethenyl]-pyridinium-1-yl}-propyl (4α)-13-Hydroxykaur-16-en-18-oate Bromide (21)

Following GPC from 15 (0.371 g, 0.72 mmol) and 5 (0.158 g, 0.72 mmol) followed by chromatography (SiO2, CHCl3/MeOH, 6:1), 20 (0.174 g, 36%) was obtained as a yellowish solid: Rf = 0.1 (SiO2, CHCl3/MeOH, 9:1); m.p. = 89–92 °C; α D 20 = −57.04° (c = 0.301, MeOH); IR (ATR): ν = 3360br, 2925w, 2848w, 1721m, 1628w, 1605m, 1564m, 1524w, 1499m, 1449w, 1432m, 1374w, 1318w, 1274w, 1237m, 1156m, 1131m, 1112w, 1096w, 1057w, 1039w, 1016w, 966w, 877w, 853w, 816w, 745s, 663w, 567w, 508w, 423w cm−1; UV-Vis (MeOH): λmax (log ε) = 430.32 nm (4.24); 1H NMR (500 MHz, DMSO-d6): δ = 12.08 (s, 1H, NH), 8.77 (d, J = 6.2 Hz, 1H, 24-H), 8.57 (d, J = 8.1 Hz, 1H, 27-H), 8.38 (dd, J = 7.8 Hz, 1H, 26-H), 8.31 (d, J = 15.6 Hz, 1H, 30-H), 8.19 (d, J = 2.9 Hz, 1H, 38-H), 8.07 (d, J = 7.6 Hz, 1H, 33-H), 7.75 (t, J = 6.6 Hz, 1H, 25-H), 7.51 (d, J = 7.6 Hz, 1H, 36-H), 7.27 (d, J = 28.6 Hz, 1H, 29-H), 7.28–7.17 (m, 2H, 34-H, 35-H), 4.89–4.76 (m, 2H, 23-H), 4.23–4.09 (m, 2H, 21-H), 2.33–2.22 (m, 3H, 15-Ha, 22-H), 1.93 (d, J = 13.2 Hz, 1H, 3-Ha), 1.70–1.42 (m, 7H, 1-Ha, 6-H, 7-Ha, 11-Ha, 15-Hb), 1.43–1.20 (m, 6H, 2-H, 7-Hb, 12-H, 14-H), 1.20–1.03 (m, 2H, 5-H, 9-H), 1.01 (s, 3H, 19-H), 1.00–0.86 (m, 3H, 1-Hb, 3-Hb, 11-Hb), 0.83 (s, 3H, 17-H), 0.53 (s, 3H, 20-H) ppm; 13C NMR (126 MHz, DMSO-d6): δ = 221.0 (C-16), 176.9 (C-18), 153.8 (C-28), 145.1 (C-24), 143.8 (C-26), 139.1 (C-30), 137.8 (C-37), 132.6 (C-38), 125.7 (C-32), 124.6 (C-27), 123.6 (C-25), 123.4 (C-35), 121.7 (C-34), 120.3 (C-33), 113.9 (C-31), 113.1 (C-36), 110.2 (C-29), 61.8 (C-21), 56.4 (C-5), 55.6 (C-23), 54.1 (C-9), 53.6 (C-14), 48.3 (C-13), 47.9 (C-15), 43.6 (C-4), 40.8 (C-7), 39.3 (C-1, 8), 37.8 (C-10), 37.7 (C-3), 37.0 (C-12), 28.7 (C-19), 28.6 (C-22), 21.7 (C-6), 20.2 (C-11), 20.2 (C-17), 19.0 (C-2), 13.4 (C-20) ppm; MS (ESI, MeOH/DMSO, 4:1): m/z (%) 580 (70%, [M + H]+); analysis calcd. for C38H47N2O3Br (579.8): C 78.72, H 8.17, N 4.83; found: C 78.56, H 8.37, N 4.65.

4.2.25. 4-Bromobutyl (4α) -13-Hydroxykaur-16-en-18-oate Bromide (22)

Following GPB from 1 (0.5 g, 1.57 mmol), K2CO3 0.434 g, 3.1 mmol), 1,4-dibromobutane (0.74 mL, 6.3 mmol) followed by chromatography (SiO2, hexanes/ethyl acetate, 6:1), 22 (0.53 g, 74%) was obtained as a colorless solid: Rf = 0.37 (SiO2, hexanes/ethyl acetate, 8:2); m.p. = 92–96 °C; α D 20 = −50.12° (c = 0.353, CHCl3); IR (ATR): ν = 3419br, 2934m, 2848m, 1719s, 1465w, 1444m, 1387w, 1365w, 1329m, 1270w, 1229m, 1202w, 1151s, 1118m, 1081m, 1047w, 1020w, 973w, 953w, 920w, 882w, 868w, 818w, 754m, 694w, 647w, 562w, 531w, 501w, 432w cm−1; 1H NMR (500 MHz, CDCl3): δ = 5.09 (s, 1H, OH), 4.96 (s, 1H, 17-Ha), 4.80 (s, 1H, 17-Hb), 4.13–3.98 (m, 2H, 21-H), 3.43 (t, J = 6.6 Hz, 2H, 24-H), 2.19–2.11 (m, 3H, 3-Ha, 14-Ha, 15-Ha), 2.00–1.91 (m, 2H, 22-H), 1.87–1.72 (m, 5H, 1-Ha, 2-Ha, 6-Ha, 23-H), 1.71–1.56 (m, 3H, 11-H, 12-Ha), 1.56–1.34 (m, 4H, 2-Hb, 6-Hb, 12-Hb, 15-Hb), 1.30–1.22 (m, 1H, 14-Hb), 1.16 (s, 3H, 19-H), 1.07–0.93 (m, 3H, 3-Hb, 5-H, 9-H), 0.84 (s, 3H, 20-H), 0.82–0.78 (m, 1H, 1-Hb) ppm; 13C NMR (126 MHz, CDCl3): δ = 177.4 (C-18), 143.5 (C-16), 102.9 (C-17), 82.6 (C-13), 63.1 (C-21), 56.7 (C-5), 53.8 (C-9), 50.9 (C-15), 47.9 (C-14), 43.9 (C-4), 41.3 (C-8), 40.9 (C-7), 40.7 (C-1), 39.6 (C-10), 39.4 (C-12), 38.1 (C-3), 31.8 (C-24), 29.6 (C-22), 28.8 (C-19), 27.2 (C-23), 21.0 (C-6), 20.8 (C-11), 19.1 (C-2), 15.3 (C-20) ppm; MS (ESI, MeOH:CHCl3 4:1): m/z (%) 373 (70%, [M − Br]+); analysis calcd. for C24H37O3Br (453.46): C 63.57, H 8.22; found: C 63.41, H 8.39.

4.2.26. 4-Bromobutyl (4α, 8β, 13β) 13-Methyl-16-oxo-17-norkauran-18-oate (23)

Following GPB from 2 (0.5 g, 1.57 mmol), K2CO3 (0.434 g, 3.1 mmol) and 1,4-dibromobutane (0.74 mL, 6.3 mmol) followed by chromatography (SiO2, hexanes/ethyl acetate, 6:1), 23 (0.53 g, 75%) was obtained as a colorless solid: Rf = 0.68 (SiO2, hexanes/ethyl acetate, 4:1); m.p. = 104–106 °C; α D 20 = −54.38° (c = 0.158, CHCl3); IR (ATR): ν = 2937m, 2891w, 2845w, 1734s, 1718s, 1448m, 1387w, 1355w, 1320w, 1299w, 1245w, 1231m, 1208w, 1180s, 1153s, 1133w, 1109w, 1095w, 1060w, 1031w, 1017w, 1002w, 978w, 928w, 868w, 850w, 827w, 809w, 776w, 750w, 735w, 694w, 652w, 594w, 557w, 513w, 462w cm−1; 1H NMR (400 MHz, CDCl3): δ = 4.13–3.96 (m, 2H, 21-H), 3.43 (t, J = 6.6 Hz, 2H, 24-H), 2.61 (dd, J = 18.6, 3.8 Hz, 1H, 15-Ha), 2.17 (dt, J = 13.4, 3.8 Hz, 1H, 3-Ha), 1.99–1.85 (m, 3H, 6-Ha, 22-H), 1.85–1.74 (m, 4H, 2-Ha, 15-Hb, 23-H), 1.74–1.57 (m, 5H, 1-Ha, 6-Hb, 7-Ha, 11-Ha), 1.53 (td, J = 11.4, 3.6 Hz, 1H, 14-Ha), 1.48–1.31 (m, 4H, 2-Hb, 7-Hb, 12-H, 14-Hb), 1.18 (s, 3H, 19-H), 1.15 (s, 2H, 9-H, 11-Hb), 1.12 (dd, J = 11.9, 2.2 Hz, 1H, 5-H), 1.03 (td, J = 13.4, 4.1 Hz, 1H, 3-Hb), 0.97 (s, 3H, 17-H), 0.90 (td, J = 13.1, 4.2 Hz, 1H, 1-Hb), 0.70 (s, 3H, 20-H) ppm; 13C NMR (101 MHz, CDCl3): δ = 222.4 (C-16), 177.3 (C-18), 63.2 (C-21), 57.0 (C-5), 54.7 (C-9), 54.3 (C-14), 48.4 (C-15), 41.5 (C-7), 39.8 (C-8), 39.4 (C-1), 38.0 (C-10), 37.9 (C-3), 37.3 (C-12), 32.9 (C-24), 29.5 (C-22), 29.0 (C-19), 27.2 (C-23), 21.8 (C-6), 20.3 (C-11), 19.8 (C-17), 19.0 (C-2), 13.4 (C-20) ppm; MS (ESI, MeOH/CHCl3, 4:1): m/z (%) 373 (90%, [M − Br]+); analysis calcd. for C24H37O3Br (453.46): C 63.57, H 8.22; found: C 63.41, H 8.39.

4.2.27. 4-{4-[(E)-2-(1H-Indol-3-yl)ethenyl-pyridinium-1-yl-butyl (4α)-13-Hydroxykaur-16-en-18-oate Bromide (24)

Following GPC from 22 (0.3 g, 0.66 mmol) and 3 (0.146 g, 0.66 mmol) followed by chromatography (SiO2, CHCl3/MeOH, 6:1), 24 (0.287 g, 73%) was obtained as a reddish solid: Rf = 0.11 (SiO2, CHCl3/MeOH, 9:1); m.p. = 179–182 °C; α D 20 = −44.96° (c = 0.045, MeOH); IR (ATR): ν = 3308br, 2953w, 2934m, 2857w, 2843w, 1716m, 1647w, 1591m, 1573m, 1556w, 1492m, 1460w, 1439m, 1385w, 1371w, 1356w, 1316w, 1278w, 1245m, 1207w, 1179m, 1150w, 1136w, 1116m, 1083w, 1062w, 1047w, 1021w, 984w, 967w, 940w, 899w, 872w, 841w, 820w, 802w, 766w, 751m, 696w, 617w, 574w, 551w, 527w, 513w, 499w, 429w cm−1; UV-Vis (MeOH): λmax (log ε) = 438.12 nm (4.14); 1H NMR (500 MHz, DMSO-d6): δ = 11.97 (s, 1H, NH), 8.78 (d, J = 7.0 Hz, 2H, 25-H, 29-H), 8.27 (d, J = 16.1 Hz, 1H, 31-H), 8.15 (m, 3H, 26-H, 28-H, 34-H), 7.98 (d, J = 2.7 Hz, 1H, 39-H), 7.51 (d, J = 7.3 Hz, 1H, 37-H), 7.30 (d, J = 16.2 Hz, 3H, 30-H), 7.27–7.19 (m, 2H, 35-H, 36-H), 5.00 (s, 1H, 17-Ha), 4.64 (s, 1H, 17-Hb), 4.48 (t, J = 7.1 Hz, 2H, 24-H), 4.12–3.94 (m, 2H, 21-H), 2.07–1.90 (m, 6H, 3-Ha, 14-H, 15-Ha, 22-H), 1.78–1.66 (m, 3H, 1-Ha, 2-Ha, 6-Ha), 1.65–1.48 (m, 4H, 11-H, 23-H), 1.48–1.40 (m, 2H, 12-H), 1.39–1.18 (m, 3H, 2-Hb, 6-Hb, 15-Hb), 1.10 (s, 3H, 19-H), 1.06–0.87 (m, 3H, 3-Hb, 5-H, 9-H), 0.82–0.76 (m, 1H, 1-Hb), 0.74 (s, 3H, 20-H) ppm; 13C NMR (126 MHz, DMSO-d6): δ = 176.4 (C-18), 154.7 (C-16), 144.5 (C-27), 143.3 (C-25, 29), 137.5 (C-38), 136.7 (C-31), 133.2 (C-39), 132.4, 124.9 (C-33), 122.9 (C-35), 121.9 (C-26, 28), 121.1 (C-36), 120.4 (C-34), 116.8 (C-30), 113.6 (C-32), 112.6 (C-37), 102.5 (C-17), 80.7 (C-13), 62.9 (C-21), 58.5 (C-24), 55.7 (C-5), 53.1 (C-9), 50.5 (C-15), 47.2 (C-14), 43.3 (C-4), 43.2 (C-8), 41.0 (C-7), 40.2 (C-1), 39.0 (C-12), 38.8 (C-10), 37.4 (C-3), 28.3 (C-19), 27.4 (C-22), 24.8 (C-23), 20.5 (C-6), 20.4 (C-11), 18.7 (C-2), 15.0 (C-20) ppm; MS (ESI, MeOH/DMSO, 4:1): m/z (%) 594 (75%, [M − Br]+); analysis calcd. for C39H49N2O3Br (673.72): C 69.53, H 7.33, N 4.16; found: C 69.39, H 7.54, N 3.87.

4.2.28. 4-{4[(E)-2-(1H-Indol-3-yl)ethenyl]-pyridinium-1-yl}butyl (4α, 8β, 13β) 13-Methyl-16-oxo-17-norkauran-18-oate Bromide (25)

Following GPC from 23 (0.3 g, 0.66 mmol) and 3 (0.146 g, 0.66 mmol) followed by chromatography (SiO2, CHCl3/MeOH, 6:1), 25 (0.314 g, 80%) was obtained as a reddish solid: Rf = 0.17 (SiO2, CHCl3/MeOH, 9:1); m.p. = 174–176 °C; α D 20 = −7.30° (c = 0.178, MeOH); IR (ATR): ν = 3406br, 3128br, 2925m, 2848w, 1721m, 1645w, 1597s, 1575m, 1557w, 1531w, 1501m, 1457m, 1432m, 1371w, 1356w, 1318w, 1274w, 1246m, 1206m, 1173s, 1132s, 1112m, 1097w, 1058w, 1044w, 1016w, 965m, 928w, 871w, 744s, 663w, 612w, 590w, 569w, 510w, 425w cm−1; UV-Vis (MeOH): λmax (log ε) = 443.61 nm (4.58); 1H NMR (500 MHz, DMSO-d6): δ = 11.97 (s, 1H, NH), 8.79 (d, J = 6.9 Hz, 2H, 25-H, 29-H), 8.26 (d, J = 16.3 Hz, 1H, 31-H), 8.17–8.12 (m, 3H, 26-H, 28-H, 34-H), 7.96 (d, J = 2.4 Hz, 1H, 39-H), 7.51 (d, J = 7.3 Hz, 1H, 37-H), 7.29 (d, J = 16.2 Hz, 1H, 30-H), 7.27–7.20 (m, 2H, 35-H, 36-H), 4.47 (t, J = 6.1 Hz, 2H, 21-H), 4.06–3.93 (m, 2H, 24-H), 2.35 (dd, J = 18.3, 3.5 Hz, 1H, 15-Ha), 2.02 (d, J = 13.0 Hz, 1H, 3-Ha), 1.99–1.88 (m, 2H, 23-H), 1.80 (d, J = 18.3 Hz, 1H, 15-Hb), 1.79–1.70 (m, 1H, 6-Hb), 1.71–1.51 (m, 6H, 1-Ha,2-Ha, 7-Ha, 11-Ha, 22-H), 1.49 (d, J = 14.0 Hz, 1H, 6-Ha), 1.44 (dd, J = 11.3, 1.9 Hz, 1H, 14-Ha), 1.39 (td, J = 13.1, 3.1 Hz, 1H, 7-Hb), 1.39–1.18 (m, 4H, 2-H, 12-H, 14-Hb), 1.19–1.13 (m, 2H, 5-H, 9-H), 1.12 (s, 3H, 19-H), 1.08–0.94 (m, 2H, 3-Hb, 11-Hb), 0.87 (td, J = 13.4, 13.0, 4.2 Hz, 1H, 1-Hb), 0.78 (s, 3H, 17-H), 0.57 (s, 3H, 20-H) ppm; 13C NMR (126 MHz, DMSO-d6): δ = 221.1 (C-16), 176.9 (C-18), 155.2 (C-27), 143.8 (C-25, 29), 138.0 (C-38), 137.2 (C-31), 133.0 (C-39), 125.4 (C-33), 123.4 (C-36), 122.4 (C-26, 28), 121.6 (C-35), 120.9 (C-34), 117.2 (C-30), 114.1 (C-32), 113.1 (C-37), 63.5 (C-24), 59.0 (C-21), 56.4 (C-5), 54.1 (C-9), 53.6 (C-14), 48.3 (C-13), 48.0 (C-15), 43.7 (C-4), 41.0 (C-7), 39.5 (C-1), 39.4 (C-8), 37.9 (C-10), 37.8 (C-3), 37.0 (C-12), 28.9 (C-19), 28.0 (C-23), 25.2 (C-22), 21.8 (C-6), 20.3 (C-11), 20.1 (C-17), 19.0 (C-2), 13.5 (C-20) ppm; MS (ESI, MeOH/DMSO, 4:1): m/z (%) 594 (80%, [M − Br]+); analysis calcd. for C39H49N2O3Br (673.72): C 69.53, H 7.33, N 4.16; found: C 69.40, H 7.53, N 3.89.

4.2.29. 4-{3-[(E)-2-(1H-Indol-3-yl)-ethenyl]-pyridinium-1-yl}butyl (4α)-13-Hydroxykaur-16-en-18-oate Bromide (26)

Following GPC from 22 (0.526 g, 1.15 mmol) and 4 (0.256 g, 1.16 mmol) followed by chromatography (SiO2, CHCl3/MeOH, 6:1), 26 (0.420 g, 61%) was obtained as a yellowish solid: Rf = 0.06 (SiO2, CHCl3/MeOH, 9:1); m.p. = 182–184 °C; α D 20 = −33.43° (c = 0.157, MeOH); IR (ATR): ν = 3376br, 3210br, 2933w, 2849w, 1707m, 1632m, 1577m, 1525w, 1501w, 1459w, 1434m, 1386w, 1364w, 1329w, 1276w, 1236m, 1202w, 1152m, 1116m, 1082w, 1055w, 1018w, 954w, 819w, 745s, 680w, 618w, 570w, 500w, 424w cm−1; UV-Vis (MeOH): λmax (log ε) = 359.12 nm (4.17); 1H NMR (500 MHz, DMSO-d6): δ = 11.65 (s, 1H, NH), 9.36 (s, 1H, 25-H), 8.82 (d, J = 5.9 Hz, 1H, 29-H), 8.74 (d, J = 8.4 Hz, 1H, 27-H), 8.32 (s, 1H), 8.11–8.05 (m, 2H, 28-H, 34-H), 7.90 (d, J = 16.5 Hz, 1H, 31-H), 7.78 (d, J = 2.7 Hz, 1H, 39-H), 7.49 (d, J = 7.7 Hz, 2H, 37-H), 7.22 (d, J = 16.4 Hz, 1H, 30-H), 7.25–7.14 (m, 2H, 35-H, 36-H), 4.99 (s, 1H, 17-Ha), 4.73–4.55 (m, 3H, 17-Hb, 24-H), 4.10–3.95 (m, 2H, 21-H), 2.11–1.97 (m, 5H, 3-Ha, 14-H, 23-H), 1.90 (d, J = 9.3 Hz, 1H, 15-Ha), 1.82–1.57 (m, 6H, 1-Ha, 2-Ha, 6-Ha, 11-Ha, 22-H), 1.56–1.40 (m, 3H, 11-Hb, 12-H), 1.39–1.15 (m, 3H, 2-Hb, 6-Hb, 15-Hb), 1.10 (s, 3H, 19-H), 1.02 (dd, J = 12.1, 1.6 Hz, 1H, 5-H), 0.95 (td, J = 13.5, 9.3, 3.7 Hz, 1H, 3-Hb), 0.89 (d, J = 8.0 Hz, 1H, 9-H), 0.77 (d, J = 8.5 Hz, 1H, 1-Hb), 0.74 (s, 3H, 20-H) ppm; 13C NMR (126 MHz, DMSO-d6): δ = 176.4 (C-18), 156.2 (C-16), 144.5 (C-38), 141.3 (C-25), 140.5 (C-29), 139.5 (C-27), 137.3 (C-26), 133.2, 130.2 (C-31), 129.1 (C-39), 127.7 (C-28), 124.8 (C-33), 122.4 (C-35), 120.4 (C-36), 120.0 (C-34), 115.3 (C-30), 112.9 (C-32), 112.3 (C-37), 102.5 (C-17), 80.7 (C-13), 62.9 (C-24), 60.3 (C-21), 55.7 (C-5), 53.0 (C-9), 50.5 (C-15), 47.2 (C-14), 43.2 (C-4), 41.5 (C-8), 41.0 (C-7), 40.8 (C-1), 40.2 (C-10), 38.7 (C-12), 37.4 (C-3), 31.8, 28.3 (C-19), 27.5 (C-23), 24.8 (C-22), 20.5 (C-6), 20.4 (C-11), 18.7 (C-2), 15.0 (C-20) ppm; MS (ESI, MeOH/DMSO, 4:1): m/z (%) 594 (70%, [M − Br]+); analysis calcd. For C39H49N2O3Br (673.72): C 69.53, H 7.33, N 4.16; found: C 69.40, H 7.52, N 3.97.

4.2.30. 4-{3-[(E)-2-(1H-Indol-3-yl)ethenyl]-pyridinium-1-yl}butyl (4α, 8β, 13β) 13-Methyl-16-oxo-17-norkauran-18-oate Bromide (27)

Following GPC from 23 (0.533 g, 1.17 mmol) and 4 (0.26 g, 1.18 mmol) followed by chromatography (SiO2, CHCl3/MeOH 6:1), 27 (0.447 g, 65%) was obtained as a yellowish solid: Rf = 0.09 (SiO2, CHCl3/MeOH 9:1); m.p. = 167–169 °C; α D 20 = −28.15° (c = 0.115, MeOH); IR (ATR): ν = 3417br, 4198br, 2928w, 2848w, 1722m, 1633m, 1578m, 1525w, 1501m, 1456w, 1434m, 1372w, 1337w, 1321w, 1276w, 1250w, 1233m, 1179w, 1151w, 1132w, 1111w, 1059w, 1029w, 1016w, 959w, 929w, 824w, 744m, 681w, 618w, 598w, 569w, 504w, 424w cm−1; UV-Vis (MeOH): λmax (log ε) = 357.9 nm (4.25); 1H NMR (500 MHz, DMSO-d6): δ = 11.65 (s, 1H, NH), 9.37–9.31 (m, 1H, 25-H), 8.83 (d, J = 5.9 Hz, 1H, 29-H), 8.76 (d, J = 8.4 Hz, 1H, 27-H), 8.15–8.06 (m, 2H, 28-H, 34-H), 7.89 (d, J = 16.5 Hz, 1H, 31-H), 7.78 (d, J = 2.7 Hz, 1H, 39-H), 7.50 (d, J = 7.7 Hz, 1H, 37-H), 7.22 (d, J = 15.7 Hz, 1H, 30-H), 7.27–7.16 (m, 2H, 35-H, 36-H), 4.65 (t, J = 7.1 Hz, 2H, 24-H), 4.11–3.97 (m, 2H, 21-H), 2.35 (d, J = 21.9 Hz, 1H, 15-Ha), 2.14–1.98 (m, 3H, 3-Ha, 23-H), 1.82 (d, J = 18.3 Hz, 1H, 15-Hb), 1.82–1.75 (m, 1H, 6-Ha), 1.73–1.47 (m, 7H, 1-Ha, 2-Ha, 6-Hb, 7-Ha, 11-Ha, 22-H), 1.43 (dd, J = 11.4, 2.1 Hz, 1H, 14-Ha), 1.40–1.21 (m, 5H, 2-Hb, 7-Hb, 12-H, 14-Hb), 1.19–1.15 (m, 2H, 5-H, 9-H), 1.14 (s, 3H, 19-H), 1.02 (m, 2H, 3-Hb, 11-Hb), 0.89 (td, J = 13.3, 3.9 Hz, 1H, 1-Hb), 0.84 (s, 3H, 17-H), 0.59 (s, 3H, 20-H) ppm; 13C NMR (126 MHz, DMSO-d6): δ = 221.1 (C-16), 176.9 (C-18), 141.7 (C-25), 141.0 (C-29), 140.0 (C-38), 140.0 (C-27), 137.8 (C-26), 130.7 (C-31), 129.7 (C-39), 128.2 (C-28), 125.3 (C-33), 122.9 (C-30), 120.9 (C-36), 120.4 (C-34), 115.8 (C-35), 113.4 (C-32), 112.8 (C-37), 63.5 (C-24), 60.9 (C-21), 56.4 (C-5), 54.1 (C-9), 53.5 (C-14), 48.3 (C-13), 48.0 (C-15), 43.7 (C-4), 41.0 (C-7), 39.4 (C-1, 8), 37.9 (C-10), 37.8 (C-3), 37.0 (C-12), 28.9 (C-19), 28.0 (C-23), 25.2 (C-22), 21.8 (C-6), 20.2 (C-11), 20.1 (C-17), 19.0 (C-2), 13.5 (C-20) ppm; MS (ESI, MeOH/DMSO, 4:1): m/z (%) 594 (80%, [M + H]+); analysis calcd. for C39H49N2O3Br (673.72): C 69.53, H 7.33, N 4.16; found: C 69.46, H 7.58, N 3.86.

4.2.31. 4-{2-[(E{-2-(1H-Indol-3-yl)ethenyl]pyridinium-1-yl}-butyl (4α)-13-Hydroxykaur-16-en-18-oate Bromide (28)

Following GPC from 22 (0.263 g, 0.58 mmol) and 5 (0.128 g, 0.58 mmol) followed by chromatography (SiO2, CHCl3/MeOH, 4:1), 28 (0.123 g, 36%) was obtained as a yellowish solid: Rf = 0.19 (SiO2, CHCl3/MeOH 8.5:1.5); m.p. = 84–87 °C; α D 20 = −21.46° (c = 0.135, MeOH); IR (ATR): ν = 3375br, 2925w, 2851w, 1715w, 1627w, 1605m, 1563m, 1499w, 1472w, 1432m, 1364w, 1329w, 1319w, 1278w, 1242m, 1153m, 1135w, 1117w, 1082w, 1055w, 1019w, 955w, 864w, 815w, 743w, 694w, 610w, 567w, 515w, 422w cm−1; UV-Vis (MeOH): λmax (log ε) = 426.84 nm (4.14); 1H NMR (400 MHz, DMSO-d6): δ = 12.11 (s, 1H, NH), 8.81 (d, J = 5.8 Hz, 1H, 25-H), 8.57 (d, J = 8.2 Hz, 1H, 28-H), 8.37 (d, J = 8.1 Hz, 1H, 26-H), 8.32 (d, J = 15.4 Hz, 1H, 31-H), 8.19 (s, 1H, 39-H), 8.06 (d, J = 7.2 Hz, 1H, 34-H), 7.72 (t, 1H, 27-H), 7.50 (d, J = 7.1 Hz, 1H, 37-H), 7.28 (d, J = 16.1 Hz, 1H, 30-H), 7.22 (s, 2H, 35-H, 36-H), 4.94 (s, 1H, 17-Ha), 4.90–4.74 (m, 2H, 24-H), 4.66 (s, 1H, 17-Hb), 4.12–3.87 (m, 2H, 21-H), 2.03–1.83 (m, 5H, 3-Ha, 14-H, 23-H), 1.75 (d, 1H, 15-Ha), 1.73–1.36 (m, 10H, 1-Ha, 2-Ha, 6-Ha, 7-Ha, 11-H, 12-H, 22-H), 1.26 (m, 4H, 2-Hb, 6-Hb, 7-Hb, 15-Hb), 0.92 (s, 3H, 19-H), 0.90–0.74 (m, 3H, 3-Hb, 5-H, 9-H), 0.72–0.64 (m, 1H, 1-Hb), 0.62 (s, 3H, 20-H) ppm; 13C NMR (101 MHz, DMSO-d6): δ = 176.8 (C-18), 156.7 (C-16), 153.5 (C-29), 145.1 (C-25), 144.9 (C-38), 143.7 (C-26), 139.0 (C-31), 137.8 (C-33), 132.8 (C-39), 125.6 (C-32), 124.4 (C-28), 123.4 (C-27), 123.3 (C-36), 121.7 (C-35), 120.3 (C-34), 113.9 (C-17), 113.1 (C-37), 110.0 (C-30), 81.2 (C-13), 63.4 (C-21), 61.5 (C-24), 56.1 (C-5), 53.5 (C-9), 51.0 (C-15), 47.6 (C-14), 43.6 (C-4), 42.3 (C-8), 41.7 (C-7), 40.5 (C-1), 40.1 (C-10), 39.1 (C-12), 37.8 (C-3), 28.6 (C-19), 26.6 (C-23), 25.4 (C-22), 21.0 (C-6), 20.8 (C-11), 19.1 (C-2), 15.4 (C-20) ppm; MS (ESI, MeOH/DMSO, 4:1): m/z (%) 594 (80%, [M − Br]+); analysis calcd. for C39H49N2O3Br (673.72): C 69.53, H 7.33, N 4.16; found: C 69.42, H 7.57, N 3.91.

4.2.32. 4-{2-[(E)-2-(1H-Indol-3-yl)ethenyl]pyridinium-1-yl}-butyl (4α, 8β, 13β) 13-Methyl-16-oxo-17-norkauran-18-oate Bromide (29)

Following GPC from 23 (0.267 g, 0.59 mmol) and 5 (0.13 g, 0.59 mmol) followed by chromatography (SiO2, CHCl3/MeOH, 4:1), 29 (1.04 g, 30%) was obtained as a yellowish solid: Rf = 0.35 (SiO2, CHCl3/MeOH, 8.5:1.5); m.p. = 86–89 °C; α D 20 = −5.25° (c = 0.294, MeOH); IR (ATR): ν = 3381br, 2924w, 2850w, 1719m, 1660w, 1627w, 1605m, 1562m, 1523w, 1499w, 1469w, 1432m, 1380w, 1335w, 1319w, 1278w, 1242m, 1156w, 1131w, 1112w, 1059w, 1016w, 966w, 855w, 816w, 744m, 661w, 564w, 506w, 459w, 423w cm−1; UV-Vis (MeOH): λmax (log ε) = 427.68 nm (4.67); 1H NMR (500 MHz, DMSO-d6): δ = 12.10 (s, 1H, NH), 8.81 (d, J = 6.2 Hz, 1H, 25-H), 8.58 (d, J = 8.4 Hz, 1H, 28-H), 8.40–8.32 (m, 1H, 26-H), 8.33 (d, J = 15.9 Hz, 1H, 31-H), 8.20 (d, J = 2.8 Hz, 1H, 39-H), 8.07 (d, J = 7.0 Hz, 1H, 34-H), 7.73 (t, J = 6.9 Hz, 1H, 27-H), 7.50 (d, J = 7.7 Hz, 1H, 37-H), 7.30 (d, J = 15.6 Hz, 1H, 30-H), 7.27–7.17 (m, 2H, 35-H, 36-H), 4.83 (t, J = 7.3 Hz, 2H, 24-H), 4.14–3.86 (m, 2H, 21-H), 2.24 (dd, J = 18.3, 3.3 Hz, 1H, 15-Ha), 2.05–1.87 (m, 3H, 3-Ha, 23-H), 1.78–1.51 (m, 5H, 2-Ha, 6-Ha, 15-Hb, 22-H), 1.51–1.18 (m, 10H, 1-Ha, 2-Hb, 6-Hb, 7-H, 11-Ha, 12-H, 14-H), 1.08–0.98 (m, 2H, 5-H, 9-H), 0.96 (s, 3H, 19-H), 0.94–0.86 (m, 2H, 3-Hb, 11-Hb), 0.86–0.80 (m, 3H, 17-H), 0.75 (td, J = 12.9, 12.4, 4.9 Hz, 1H, 1-Hb), 0.48 (s, 3H, 20-H) ppm; 13C NMR (126 MHz, DMSO-d6): δ = 221.0 (C-16), 176.8, 153.5 (C-29), 145.1 (C-25), 143.7 (C-26), 139.0 (C-31), 137.8 (C-38), 132.7 (C-39), 129.8, 125.7 (C-33), 124.4 (C-28), 123.4 (C-27), 122.7 (C-36), 121.7 (C-35), 120.3 (C-34), 113.9 (C-32), 113.1 (C-37), 110.0 (C-30), 63.6 (C-21), 57.2 (C-24), 56.3 (C-5), 54.0 (C-9), 53.5 (C-14), 48.3 (C-13), 47.9 (C-15), 43.6 (C-4), 40.8 (C-7), 39.4 (C-1), 39.4 (C-8), 39.3 (C-10), 37.8 (C-3), 37.0 (C-12), 28.7 (C-19), 26.8 (C-23), 25.4 (C-22), 21.7 (C-6), 20.2 (C-17), 20.2 (C-11), 18.9 (C-2), 13.4 (C-20) ppm; MS (ESI, MeOH/DMSO, 4:1): m/z (%) 594 (75%, [M + H]+); analysis calcd. For C39H49N2O3Br (673.72): C 69.53, H 7.33, N 4.16; found: C 69.36, H 7.59, N 3.94.

Supplementary Materials

The following supporting information can be downloaded at: https://www.mdpi.com/article/10.3390/molecules29020381/s1.

Author Contributions

Conceptualization, R.C.; validation, R.C.; investigation: N.V.H., J.H., K.M., T.M. and R.C.; writing—original draft preparation, R.C. and T.M.; writing—review and editing, N.V.H., K.M., T.M. and R.C. All authors have read and agreed to the published version of the manuscript.

Funding

This research received no external funding.

Institutional Review Board Statement

Not applicable.

Informed Consent Statement

Not applicable.

Data Availability Statement

Data are contained within the article and the Supplementary Material.

Acknowledgments

We would like to thank Th. Schmidt for the measurement of the ASAP-MS spectra and M. Schneider for measuring IR spectra and measuring the optical rotations as well as performing the micro-analyses. NMR spectra have been measured by D. Ströhl, Y. Schiller and S. Ludwig.

Conflicts of Interest

The authors declare no conflicts of interest.

References

  1. Begum, H.M.; Shen, K. Intracellular and microenvironmental regulation of mitochondrial membrane potential in cancer cells. WIREs Mech. Dis. 2023, 15, e1595. [Google Scholar] [CrossRef]
  2. Zielonka, J.; Joseph, J.; Sikora, A.; Hardy, M.; Ouari, O.; Vasquez-Vivar, J.; Cheng, G.; Lopez, M.; Kalyanaraman, B. Mitochondria-Targeted Triphenylphosphonium-Based Compounds: Syntheses, Mechanisms of Action, and Therapeutic and Diagnostic Applications. Chem. Rev. 2017, 117, 10043–10120. [Google Scholar] [CrossRef] [PubMed]
  3. Hoenke, S.; Serbian, I.; Deigner, H.-P.; Csuk, R. Mitocanic Di- and triterpenoid rhodamine B conjugates. Molecules 2020, 25, 5443. [Google Scholar] [CrossRef] [PubMed]
  4. Heise, N.; Lehmann, F.; Csuk, R.; Mueller, T. Targeted theranostics: Near-infrared triterpenoic acid-rhodamine conjugates as prerequisites for precise cancer diagnosis and therapy. Eur. J. Med. Chem. 2023, 259, 115663. [Google Scholar] [CrossRef]
  5. Heise, N.; Becker, S.; Mueller, T.; Bache, M.; Csuk, R.; Güttler, A. Mitochondria-Targeting 1,5-Diazacyclooctane-Spacered Triterpene Rhodamine Conjugates Exhibit Cytotoxicity at Sub-Nanomolar Concentration against Breast Cancer Cells. Int. J. Mol. Sci. 2023, 24, 10695. [Google Scholar] [CrossRef] [PubMed]
  6. Kraft, O.; Hartmann, A.K.; Brandt, S.; Hoenke, S.; Heise, N.V.; Csuk, R.; Mueller, T. Asiatic acid as a leading structure for derivatives combining sub-nanomolar cytotoxicity, high selectivity, and the ability to overcome drug resistance in human preclinical tumor models. Eur. J. Med. Chem. 2023, 250, 115189. [Google Scholar] [CrossRef] [PubMed]
  7. Dubinin, M.V.; Semenova, A.A.; Ilzorkina, A.I.; Penkov, N.V.; Nedopekina, D.A.; Sharapov, V.A.; Khoroshavina, E.I.; Davletshin, E.V.; Belosludtseva, N.V.; Spivak, A.Y.; et al. Mitochondria-targeted prooxidant effects of betulinic acid conjugated with delocalized lipophilic cation F16. Free Radical Biol. Med. 2021, 168, 55–69. [Google Scholar] [CrossRef]
  8. Spivak, A.Y.; Nedopekina, D.A.; Gubaidullin, R.R.; Davletshin, E.V.; Tukhbatullin, A.A.; D’Yakonov, V.A.; Yunusbaeva, M.M.; Dzhemileva, L.U.; Dzhemilev, U.M. Pentacyclic triterpene acid conjugated with mitochondria-targeting cation F16: Synthesis and evaluation of cytotoxic activities. Med. Chem. Res. 2021, 30, 940–951. [Google Scholar] [CrossRef]
  9. Belosludtsev, K.N.; Ilzorkina, A.I.; Belosludtseva, N.V.; Sharapov, V.A.; Penkov, N.V.; Serov, D.A.; Karagyaur, M.N.; Nedopekina, D.A.; Davletshin, E.V.; Solovieva, M.E.; et al. Comparative Study of Cytotoxic and Membranotropic Properties of Betulinic Acid-F16 Conjugate on Breast Adenocarcinoma Cells (MCF-7) and Primary Human Fibroblasts. Biomedicines 2022, 10, 2903. [Google Scholar] [CrossRef] [PubMed]
  10. Dubinin, M.V.; Nedopekina, D.A.; Ilzorkina, A.I.; Semenova, A.A.; Sharapov, V.A.; Davletshin, E.V.; Mikina, N.V.; Belsky, Y.P.; Spivak, A.Y.; Akatov, V.S.; et al. Conjugation of Triterpenic Acids of Ursane and Oleanane Types with Mitochondria-Targeting Cation F16 Synergistically Enhanced Their Cytotoxicity against Tumor Cells. Membranes 2023, 13, 563. [Google Scholar] [CrossRef] [PubMed]
  11. Spivak, A.Y.; Nedopekina, D.A.; Gubaidullin, R.R.; Dubinin, M.V.; Belosludtsev, K.N. Conjugation of Natural Triterpenic Acids with Delocalized Lipophilic Cations: Selective Targeting Cancer Cell Mitochondria. J. Pers. Med. 2021, 11, 470. [Google Scholar] [CrossRef] [PubMed]
  12. Wiemann, J.; Al-Harrasi, A.; Csuk, R. Cytotoxic Dehydroabietylamine Derived Compounds. Anti-Cancer Agent. Me 2020, 20, 1756–1767. [Google Scholar] [CrossRef] [PubMed]
  13. Wiemann, J.; Fischer, L.; Kessler, J.; Ströhl, D.; Csuk, R. Ugi multicomponent-reaction: Syntheses of cytotoxic dehydroabietylamine derivatives. Bioorg. Chem. 2018, 81, 567–576. [Google Scholar] [CrossRef] [PubMed]
  14. Wiemann, J.; Loesche, A.; Csuk, R. Novel dehydroabietylamine derivatives as potent inhibitors of acetylcholinesterase. Bioorg. Chem. 2017, 74, 145–157. [Google Scholar] [CrossRef] [PubMed]
  15. Heisig, J.; Heise, N.V.; Hoenke, S.; Ströhl, D.; Csuk, R. The Finally Rewarding Search for A Cytotoxic Isosteviol Derivative. Molecules 2023, 28, 4951. [Google Scholar] [CrossRef] [PubMed]
  16. Brusick, D.J. A critical review of the genetic toxicity of steviol and steviol glycosides. Food Chem. Toxicol. 2008, 46, S83–S91. [Google Scholar] [CrossRef] [PubMed]
  17. Ceunen, S.; Geuns, J.M.C. Steviol Glycosides: Chemical Diversity, Metabolism, and Function. J. Nat. Prod. 2013, 76, 1201–1228. [Google Scholar] [CrossRef]
  18. Chatsudthipong, V.; Muanprasat, C. Stevioside and related compounds: Therapeutic benefits beyond sweetness. Pharmacol. Ther. 2009, 121, 41–54. [Google Scholar] [CrossRef]
  19. Geuns, J.M.C. Stevioside. Phytochemistry 2003, 64, 913–921. [Google Scholar] [CrossRef]
  20. Liu, J.-S.; Luo, L.-P.; Xu, G.; Xu, X.-J.; Xu, C.; Ou, E.; Zhang, H.-Y.; Yuan, Z.-Q.; Zhao, Y. Synthesis and Biological Evaluation of Steviol Derivatives with Improved Cytotoxic Activity and Selectivity. J. Nat. Prod. 2022, 85, 1945–1958. [Google Scholar] [CrossRef]
  21. Moons, N.; De Borggraeve, W.; Dehaen, W. Stevioside and steviol as starting materials in organic synthesis. Curr. Org. Chem. 2012, 16, 1986–1995. [Google Scholar] [CrossRef]
  22. Wang, M.; Li, H.; Xu, F.; Gao, X.; Li, J.; Xu, S.; Zhang, D.; Wu, X.; Xu, J.; Hua, H.; et al. Diterpenoid lead stevioside and its hydrolysis products steviol and isosteviol: Biological activity and structural modification. Eur. J. Med. Chem. 2018, 156, 885–906. [Google Scholar] [CrossRef]
  23. Lohoelter, C.; Weckbecker, M.; Waldvogel, S.R. (-)-Isosteviol as a Versatile Ex-Chiral-Pool Building Block for Organic Chemistry. Eur. J. Org. Chem. 2013, 2013, 5539–5554. [Google Scholar] [CrossRef]
  24. Moons, N.; De Borggraeve, W.; Dehaen, W. Isosteviol as a starting material in organic synthesis. Curr. Org. Chem. 2011, 15, 2731–2741. [Google Scholar] [CrossRef]
  25. Ullah, A.; Munir, S.; Mabkhot, Y.; Badshah, S.L. Bioactivity profile of the diterpene isosteviol and its derivatives. Molecules 2019, 24, 678. [Google Scholar] [CrossRef] [PubMed]
  26. Chen, P.; Zhang, D.; Li, M.; Wu, Q.; Lam, Y.P.Y.; Guo, Y.; Chen, C.; Bai, N.; Malhotra, S.; Li, W.; et al. Discovery of novel, potent, isosteviol-based antithrombotic agents. Eur. J. Med. Chem. 2019, 183, 111722. [Google Scholar] [CrossRef] [PubMed]
  27. Holth, T.A.D.; Walters, M.A.; Hutt, O.E.; Georg, G.I. Diversity-Oriented Library Synthesis from Steviol and Isosteviol-Derived Scaffolds. ACS Comb. Sci. 2020, 22, 150–155. [Google Scholar] [CrossRef]
  28. Malki, A.; Laha, R.; Bergmeier, S.C. Synthesis and cytotoxic activity of MOM-ether analogs of isosteviol. Bioorg. Med. Chem. Lett. 2014, 24, 1184–1187. [Google Scholar] [CrossRef]
  29. Ukiya, M.; Sawada, S.; Kikuchi, T.; Kushi, Y.; Fukatsu, M.; Akihisa, T. Cytotoxic and Apoptosis-Inducing Activities of Steviol and Isosteviol Derivatives against Human Cancer Cell Lines. Chem. Biodivers. 2013, 10, 177–188. [Google Scholar] [CrossRef]
  30. Bai, D.; Schelz, Z.; Erdos, D.; Kis, A.K.; Nagy, V.; Zupko, I.; Balogh, G.T.; Szakonyi, Z. Stereoselective Synthesis and Antiproliferative Activities of Tetrafunctional Diterpene Steviol Derivatives. Int. J. Mol. Sci. 2023, 24, 1121. [Google Scholar] [CrossRef]
  31. Ozsvar, D.; Nagy, V.; Zupko, I.; Szakonyi, Z. Stereoselective synthesis and antiproliferative activity of steviol-based diterpene aminodiols. Int. J. Mol. Sci. 2020, 21, 184. [Google Scholar] [CrossRef]
  32. Shi, L.-Y.; Wu, J.-Q.; Zhang, D.-Y.; Wu, Y.-C.; Hua, W.-Y.; Wu, X.-M. Efficient synthesis of novel jolkinolides and related derivatives starting from stevioside. Synthesis 2011, 2011, 3807–3814. [Google Scholar]
  33. Milagre, H.M.S.; Martins, L.R.; Takahashi, J.A. Novel agents for enzymatic and fungal hydrolysis of stevioside. Braz. J. Microbiol. 2009, 40, 367–372. [Google Scholar] [CrossRef] [PubMed]
  34. Prakash, I.; Chaturvedula, V.S.P.; Markosyan, A. Structural characterization of the degradation products of a minor natural sweet diterpene glycoside rebaudioside M under acidic conditions. Int. J. Mol. Sci. 2014, 15, 1014. [Google Scholar] [CrossRef] [PubMed]
  35. Low, K.H.; Magomedov, N.A. Phosphine-mediated coupling of gramines with aldehydes: A remarkably simple synthesis of 3-vinylindoles. Org. Lett. 2005, 7, 2003–2005. [Google Scholar] [CrossRef]
  36. Heinrich, A.K.; Lucas, H.; Schindler, L.; Etrych, T.; Mäder, K.; Mueller, T. Improved tumor-specific drug accumulation by polymer therapeutics with pH-sensitive drug release overcomes chemotherapy resistance. Mol. Cancer Ther. 2016, 15, 998–1007. [Google Scholar] [CrossRef] [PubMed]
  37. Xu, J.; He, H.; Zhou, L.-J.; Liu, Y.-Z.; Li, D.-W.; Jiang, F.-L.; Liu, Y. Pyridinium and indole orientation determines the mitochondrial uncoupling and anti-cancer efficiency of F16. Eur. J. Med. Chem. 2018, 154, 305–313. [Google Scholar] [CrossRef] [PubMed]
  38. Kanno, S.; Hirano, S.; Kato, H.; Fukata, M.; Mukai, T.; Aoki, Y. Benzalkonium chloride and cetylpyridinium chloride induce apoptosis in human lung epithelial cells and alter surface activity of pulmonary surfactant monolayers. Chem. Biol. Interact. 2020, 317, 108962. [Google Scholar] [CrossRef] [PubMed]
  39. Mosettig, E.; Nes, W.R. Stevioside. II. The structure of the aglucon. J. Org. Chem. 1955, 20, 884–899. [Google Scholar] [CrossRef]
  40. Anjaneyulu, A.S.R.; Lakshmana Rao, V. Ceriopsins F and G, diterpenoids from Ceriops decandra. Phytochemistry 2003, 62, 1207–1211. [Google Scholar] [CrossRef]
  41. Aksenov, A.V.; Nadein, O.N.; Aksenov, N.A.; Skomorokhov, A.A.; Aksenova, I.V.; Rubin, M.A. Microwave synthesis of 2-[(2-(1-indol-3-yl)vinyl] hetarenes. Chem. Heterocycl. Comp. 2015, 51, 865–868. [Google Scholar] [CrossRef]
  42. De Silva, S.O.; Snieckus, V. Wittig synthesis and photocyclodehydrogenation of 3-(2-aryl)vinylindole derivatives. Can. J. Chem. 1974, 52, 1294–1306. [Google Scholar] [CrossRef]
  43. Hua, S.; Chen, F.; Gou, S. Microtubule inhibitors containing immunostimulatory agents promote cancer immunochemotherapy by inhibiting tubulin polymerization and tryptophan-2,3-dioxygenase. Eur. J. Med. Chem. 2020, 187, 111949. [Google Scholar] [CrossRef] [PubMed]
  44. Nagarathnam, D. A facile synthesis of 3-substituted indoles. J. Heterocycl. Chem. 1992, 29, 953–958. [Google Scholar] [CrossRef]
  45. Zhao, M.; Li, X.; Zhang, X.; Shao, Z. Efficient Synthesis of C3-Alkylated and Alkenylated Indoles via Manganese-Catalyzed Dehydrogenation. Chem. Asian J. 2022, 17, e202200483. [Google Scholar] [CrossRef] [PubMed]
  46. Dubinin, M.V.; Semenova, A.A.; Nedopekina, D.A.; Davletshin, E.V.; Spivak, A.Y.; Belosludtsev, K.N. Effect of F16-betulin conjugate on mitochondrial membranes and its role in cell death initiation. Membranes 2021, 11, 352. [Google Scholar] [CrossRef] [PubMed]
  47. Liu, Y.-J.; Fan, X.-Y.; Zhang, D.-D.; Xia, Y.-Z.; Hu, Y.-J.; Jiang, F.-L.; Zhou, F.-L.; Liu, Y. Dual Inhibition of Pyruvate Dehydrogenase Complex and Respiratory Chain Complex Induces Apoptosis by a Mitochondria-Targeted Fluorescent Organic Arsenical in vitro and in vivo. ChemMedChem 2020, 15, 552–558. [Google Scholar] [CrossRef]
  48. Madge, D.J.; Hazelwood, R.; Iyer, R.; Jones, H.T.; Salter, M. Novel tryptophan dioxygenase inhibitors and combined tryptophan dioxygenase/5-HT reuptake inhibitors. Bioorg. Med. Chem. Lett. 1996, 6, 857–860. [Google Scholar] [CrossRef]
  49. Reinhard, J.F., Jr.; Flanagan, E.M.; Madge, D.J.; Iyer, R.; Salter, M. Effects of 540C91 [(E)-3][2-(4′-pyridyl)-vinyl]-1H-indole], an inhibitor of hepatic tryptophan dioxygenase, on brain quinolinic acid in mice. Biochem. Pharmacol. 1996, 51, 159. [Google Scholar] [CrossRef]
  50. Wang, J.; He, H.; Xiang, C.; Fan, X.-Y.; Yang, L.-Y.; Yuan, L.; Jiang, F.-L.; Liu, Y. Uncoupling effect of F16 is responsible for its mitochondrial toxicity and anticancer activity. Toxicol. Sci. 2018, 161, 431–442. [Google Scholar] [CrossRef]
  51. Wang, J.; Xiang, C.; Tian, F.-F.; Xu, Z.-Q.; Jiang, F.-L.; Liu, Y. Investigating the interactions of a novel anticancer delocalized lipophilic cation and its precursor compound with human serum albumin. RSC Adv. 2014, 4, 18205–18216. [Google Scholar] [CrossRef]
Scheme 1. Synthesis of steviol (1) and isosteviol (2) from stevioside; numbering scheme as well as reactions and conditions: (a) NaIO4, H2O, 21 °C, 1 d, 26%; (b) aq. HCl, MeOH, reflux, 2 h, 63%.
Scheme 1. Synthesis of steviol (1) and isosteviol (2) from stevioside; numbering scheme as well as reactions and conditions: (a) NaIO4, H2O, 21 °C, 1 d, 26%; (b) aq. HCl, MeOH, reflux, 2 h, 63%.
Molecules 29 00381 sch001
Scheme 2. Synthesis of precursors 35. Reactions and conditions: MeCN, n-Bu3P, 85 °C, 1 d, 65% of 3, 50% of 4 and 46% of 5, respectively.
Scheme 2. Synthesis of precursors 35. Reactions and conditions: MeCN, n-Bu3P, 85 °C, 1 d, 65% of 3, 50% of 4 and 46% of 5, respectively.
Molecules 29 00381 sch002
Scheme 3. Synthesis of target compounds 813, 1621 and 2429. Reactions and conditions: (a) DMF, MeCN, K2CO3, 3 h 50 °C; (b) DMF, microwaves (14 h, 120 °C).
Scheme 3. Synthesis of target compounds 813, 1621 and 2429. Reactions and conditions: (a) DMF, MeCN, K2CO3, 3 h 50 °C; (b) DMF, microwaves (14 h, 120 °C).
Molecules 29 00381 sch003
Figure 1. Representative IC50 (in μM) values (from SRB assays) for steviol- and isosteviol-derived compounds employing A2780 ovarian carcinoma cells with respect to substitution pattern (ortho-, meta- or para in the pyridinium moiety) and spacer length (2–4).
Figure 1. Representative IC50 (in μM) values (from SRB assays) for steviol- and isosteviol-derived compounds employing A2780 ovarian carcinoma cells with respect to substitution pattern (ortho-, meta- or para in the pyridinium moiety) and spacer length (2–4).
Molecules 29 00381 g001
Figure 2. Analysis of subcellular accumulation of 5, 17 and 25 using combined treatment with the mitochondrial targeting compound AHCS2 and Hoechst 33,342 for the staining of nuclei showing the preferential mitochondrial localization of compounds with some accumulation in other cellular areas. Scale bar: 20 μm; (for higher resolution, see original images in the Supplementary Materials File).
Figure 2. Analysis of subcellular accumulation of 5, 17 and 25 using combined treatment with the mitochondrial targeting compound AHCS2 and Hoechst 33,342 for the staining of nuclei showing the preferential mitochondrial localization of compounds with some accumulation in other cellular areas. Scale bar: 20 μm; (for higher resolution, see original images in the Supplementary Materials File).
Molecules 29 00381 g002
Table 1. Cytotoxicity (IC50 in μM) of isosteviol derivatives from SRB assays; cell lines: A2780 (ovarian carcinoma), A2780cis (resistant derivative of A2780), A549 (lung carcinoma), MCF7 (breast carcinoma), HT29 (colorectal carcinoma), CCD18Co (non-malignant human fibroblasts); results are mean values (n = 3) with SD for all experiments between 5 and 10%. DOX: doxorubicin as a positive standard; SL denotes the spacer length, SP the substitution pattern (ortho, meta or para in the pyridinium moiety); resistance index (RI): quotient IC50 values A2780cis/A2780; selectivity index 1 (SI 1): CCD18Co/A2780, SI 2 = CCD18Co/A549.
Table 1. Cytotoxicity (IC50 in μM) of isosteviol derivatives from SRB assays; cell lines: A2780 (ovarian carcinoma), A2780cis (resistant derivative of A2780), A549 (lung carcinoma), MCF7 (breast carcinoma), HT29 (colorectal carcinoma), CCD18Co (non-malignant human fibroblasts); results are mean values (n = 3) with SD for all experiments between 5 and 10%. DOX: doxorubicin as a positive standard; SL denotes the spacer length, SP the substitution pattern (ortho, meta or para in the pyridinium moiety); resistance index (RI): quotient IC50 values A2780cis/A2780; selectivity index 1 (SI 1): CCD18Co/A2780, SI 2 = CCD18Co/A549.
SLSP#A2780A2780cisA549MCF7HT29CCD18CoRISI 1SI 2
o31.1939.2326.271.1228.7087.4132.8873.273.33
m41.1720.9716.415.187.8390.3217.9777.405.50
p52.2616.4215.4110.8616.49100.007.2644.216.49
2Br719.1228.7032.0711.8416.1462.281.503.261.94
2o131.924.0710.853.836.3520.642.1210.751.90
2m112.945.2423.598.739.4229.351.789.971.24
2p90.931.549.091.081.5612.951.6613.961.42
3Br159.0016.6524.7712.7815.1341.481.854.611.67
3o211.862.359.271.713.3810.061.265.421.09
3m190.991.9311.222.505.0515.491.9415.601.38
3p170.280.303.390.590.7619.931.0771.255.88
4Br2313.0329.1034.2918.3624.6131.332.232.400.91
4o291.063.229.862.053.8118.583.0517.611.88
4m270.761.276.281.572.2010.831.6714.181.72
4p250.180.312.620.490.8810.851.7059.324.14
DOX0.0070.1090.0170.0830.0980.24214.732.713.9
Table 2. Cytotoxicity (IC50 in μM) of steviol derivatives from SRB assays; cell lines: A2780 (ovarian carcinoma), A2780cis (resistant derivative of A2780), A549 (lung carcinoma), MCF7 (breast carcinoma), HT29 (colorectal carcinoma), CCD18Co (non-malignant human fibroblasts); results are mean values (n = 3) with SD for all experiments between 5 and 10%. DOX: doxorubicin as a positive standard; SL denotes the spacer length, SP the substitution pattern (ortho, meta or para in the pyridinium moiety); resistance index (RI): quotient IC50 values A2780cis/A2780; selectivity index 1 (SI 1): CCD18Co/A2780, SI 2 = CCD18Co/A549.
Table 2. Cytotoxicity (IC50 in μM) of steviol derivatives from SRB assays; cell lines: A2780 (ovarian carcinoma), A2780cis (resistant derivative of A2780), A549 (lung carcinoma), MCF7 (breast carcinoma), HT29 (colorectal carcinoma), CCD18Co (non-malignant human fibroblasts); results are mean values (n = 3) with SD for all experiments between 5 and 10%. DOX: doxorubicin as a positive standard; SL denotes the spacer length, SP the substitution pattern (ortho, meta or para in the pyridinium moiety); resistance index (RI): quotient IC50 values A2780cis/A2780; selectivity index 1 (SI 1): CCD18Co/A2780, SI 2 = CCD18Co/A549.
SLSP#A2780A2780cisA549MCF7HT29CCD18CoRISI 1SI 2
2Br624.7828.0883.3829.4230.5942.191.131.700.51
2o1225.7329.4354.3120.2328.5175.931.142.951.40
2m102.804.2016.693.837.6522.721.508.121.36
2p82.011.868.821.811.8111.820.925.871.34
3Br1427.6528.3628.9728.0929.1141.721.031.511.44
3o201.812.7012.571.856.1119.441.4910.731.55
3m182.282.719.479.476.6626.911.1911.822.84
3p160.320.453.000.720.988.331.4126.272.77
4Br2216.6618.9535.6221.1729.5259.681.143.581.68
4o280.501.687.511.181.7810.943.3321.751.46
4m261.281.826.941.982.4311.731.429.141.69
4p240.240.282.760.580.8813.091.1353.964.74
Disclaimer/Publisher’s Note: The statements, opinions and data contained in all publications are solely those of the individual author(s) and contributor(s) and not of MDPI and/or the editor(s). MDPI and/or the editor(s) disclaim responsibility for any injury to people or property resulting from any ideas, methods, instructions or products referred to in the content.

Share and Cite

MDPI and ACS Style

Heise, N.V.; Heisig, J.; Meier, K.; Csuk, R.; Mueller, T. F16 Hybrids Derived from Steviol or Isosteviol Are Accumulated in the Mitochondria of Tumor Cells and Overcome Drug Resistance. Molecules 2024, 29, 381. https://doi.org/10.3390/molecules29020381

AMA Style

Heise NV, Heisig J, Meier K, Csuk R, Mueller T. F16 Hybrids Derived from Steviol or Isosteviol Are Accumulated in the Mitochondria of Tumor Cells and Overcome Drug Resistance. Molecules. 2024; 29(2):381. https://doi.org/10.3390/molecules29020381

Chicago/Turabian Style

Heise, Niels V., Julia Heisig, Kristof Meier, René Csuk, and Thomas Mueller. 2024. "F16 Hybrids Derived from Steviol or Isosteviol Are Accumulated in the Mitochondria of Tumor Cells and Overcome Drug Resistance" Molecules 29, no. 2: 381. https://doi.org/10.3390/molecules29020381

APA Style

Heise, N. V., Heisig, J., Meier, K., Csuk, R., & Mueller, T. (2024). F16 Hybrids Derived from Steviol or Isosteviol Are Accumulated in the Mitochondria of Tumor Cells and Overcome Drug Resistance. Molecules, 29(2), 381. https://doi.org/10.3390/molecules29020381

Article Metrics

Back to TopTop