Sign in to use this feature.

Years

Between: -

Subjects

remove_circle_outline
remove_circle_outline
remove_circle_outline
remove_circle_outline
remove_circle_outline
remove_circle_outline
remove_circle_outline
remove_circle_outline
remove_circle_outline

Journals

remove_circle_outline
remove_circle_outline
remove_circle_outline
remove_circle_outline
remove_circle_outline
remove_circle_outline
remove_circle_outline
remove_circle_outline
remove_circle_outline

Article Types

Countries / Regions

remove_circle_outline
remove_circle_outline
remove_circle_outline
remove_circle_outline

Search Results (573)

Search Parameters:
Keywords = integral lifting

Order results
Result details
Results per page
Select all
Export citation of selected articles as:
19 pages, 5230 KB  
Article
Global Linearized Sparse Prediction and Adaptive Dead Zone Compensation for a Piezoelectric Actuator
by Xue Qi, Meiting Zhao, Lina Zhang, Lei Fan, Zhihui Liu, Pengying Xu and Qiulin Tan
Micromachines 2026, 17(4), 392; https://doi.org/10.3390/mi17040392 - 24 Mar 2026
Abstract
A piezoelectric actuator (PEA) is a fundamental part of a high-precision motion system, yet its performance is critically constrained by inherent nonlinearities such as the velocity dead zone and hysteresis. To overcome these limitations and the associated time-varying dynamics, this study introduces a [...] Read more.
A piezoelectric actuator (PEA) is a fundamental part of a high-precision motion system, yet its performance is critically constrained by inherent nonlinearities such as the velocity dead zone and hysteresis. To overcome these limitations and the associated time-varying dynamics, this study introduces a novel control framework for a dual-mode standing wave PEA. The framework integrates a Global Linearized Sparse Prediction (GLSP) model with an Adaptive Kalman Observer-based Model Predictive Control (AKOBMPC) strategy, specifically designed for velocity dead-zone compensation. The GLSP model employs Koopman operator theory to lift the complex, nonlinear electromechanical and contact dynamics into a linear invariant subspace. Incorporated with a deep learning-based structured pruning mechanism, the model achieves an effective balance between prediction accuracy and computational efficiency, facilitating real-time implementation. Leveraging this high-fidelity model, the AKOBMPC algorithm is developed to estimate unmeasurable disturbances and optimize the control sequence for precise velocity tracking. Experimental results demonstrate the GLSP model’s accurate prediction of system behavior under varying loads and excitation frequencies. The proposed controller effectively suppresses the velocity dead zone, achieving tracking errors within ±0.35 mm/s for a 40.00 mm/s trapezoidal reference and within ±0.50 mm/s for sinusoidal tracking. These results confirm the superior performance of the AKOBMPC scheme over conventional methods, offering a robust solution for high-precision velocity regulation in PEA system and contributing to the advancement of next-generation precision actuator. Full article
(This article belongs to the Special Issue Micro/Nanostructures in Sensors and Actuators, 2nd Edition)
Show Figures

Figure 1

31 pages, 1355 KB  
Article
A Closed-Loop PX–ISO Framework for Staged Day-Ahead Energy and Ancillary Clearing in Power Markets
by Lei Yu, Lingling An, Xiaomei Lin, Kai-Hung Lu and Hongqing Zheng
Processes 2026, 14(6), 1027; https://doi.org/10.3390/pr14061027 - 23 Mar 2026
Abstract
As modern power markets integrate more renewable generation, day-ahead energy clearing remains the central procurement step, while flexibility products are procured to ensure that the cleared energy schedule can be operated securely. This paper proposes a closed-loop framework linking the Power Exchange (PX) [...] Read more.
As modern power markets integrate more renewable generation, day-ahead energy clearing remains the central procurement step, while flexibility products are procured to ensure that the cleared energy schedule can be operated securely. This paper proposes a closed-loop framework linking the Power Exchange (PX) and the Independent System Operator (ISO) to bridge energy-market settlement and network-feasible operation. The PX performs staged day-ahead clearing with energy settled first, followed by aAutomatic generation control (AGC) and spinning reserve (SR) procured from the residual headroom of committed (energy-awarded) units. The ISO then validates the cleared schedule using an equivalent current injection (ECI)-based screening. This paper uses a single-period (single-hour) IEEE 30-bus case setting; multi-period scheduling and intertemporal constraints are not modeled. When congestion is detected, power-flow tracing identifies the main contributors and guides a minimal-change redispatch. The ISO-feasible dispatch is then sent back to the PX for re-clearing, aligning prices and welfare with an executable operating point. The resulting nonconvex clearing problems with valve-point effects and prohibited operating zones are solved by Artificial Protozoa Optimizer with Social Learning (APO–SL) and evaluated against representative metaheuristic baselines. IEEE 30-bus studies show that off-peak and average-load cases pass ISO screening directly, whereas the peak case tightens reserve headroom (SR capped at 39.08 MW) and triggers congestion. After ISO feedback and energy re-clearing, line loadings return within limits. The ISO-feasible dispatch changes the marginal accepted offer and lifts the MCP (3.73 → 4.38 $/MWh). The welfare value reported here follows the paper’s settlement-based definition (purchase total minus accepted offer cost), and it increases accordingly (113.77 → 190.17 $/h). Full article
(This article belongs to the Section Energy Systems)
Show Figures

Figure 1

18 pages, 7872 KB  
Article
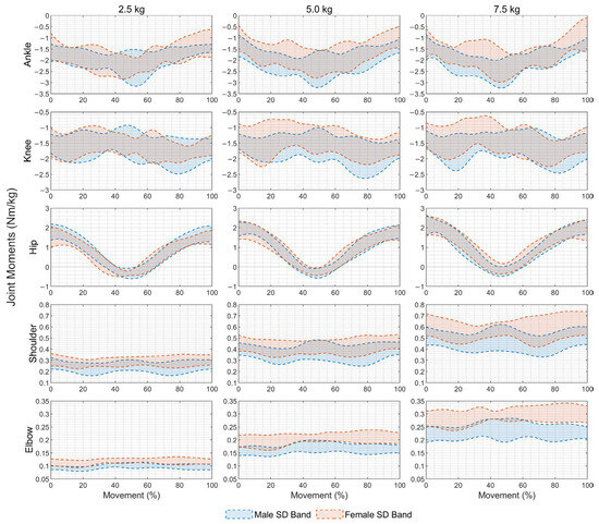
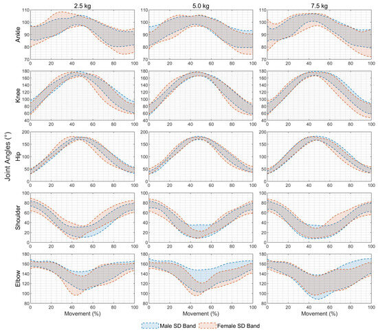
An Investigation of Variable Segmental Inertial Parameters in Manual Load Lifting: A Genetic Algorithm-Based Inverse Dynamics Approach
by Muhammed Çil, Bilal Usanmaz and Ömer Gündoğdu
Mathematics 2026, 14(6), 1065; https://doi.org/10.3390/math14061065 - 21 Mar 2026
Viewed by 77
Abstract
This study investigates the common assumption that segmental inertial parameters remain constant during manual lifting using a model-based experimental approach. The primary objective was to evaluate the variability in these parameters and the subsequent effects on biomechanical calculations. The research was conducted with [...] Read more.
This study investigates the common assumption that segmental inertial parameters remain constant during manual lifting using a model-based experimental approach. The primary objective was to evaluate the variability in these parameters and the subsequent effects on biomechanical calculations. The research was conducted with 20 participants (10 females and 10 males) who performed lifting tasks in the two-dimensional sagittal plane under three distinct load conditions: 2.5 kg, 5.0 kg, and 7.5 kg. Angular variations of the hand, arm, and leg joints were recorded using video-based image processing techniques. These kinematic data, integrated with anthropometric measurements, were incorporated into Newton–Euler-based equations of motion to determine joint reaction forces and net joint moments. During the initial forward dynamics stage, the solvability of the problem was tested using constant mass ratios from the established literature. In the following inverse dynamics stage, genetic algorithms were utilized to overcome solution diversity and identify the variable inertial parameters responsible for the observed motion. The results indicate that changes in segment moments of inertia reached 18–37%, leading to variations of 0–19% in net joint moments. These findings highlight the critical necessity of incorporating dynamic inertial parameters into accurate biomechanical moment calculations for manual materials handling. Full article
(This article belongs to the Special Issue Mathematical Modelling of Nonlinear Dynamical Systems)
Show Figures

Figure 1

19 pages, 2091 KB  
Article
An Investigation of Atmospheric Icing Effects on Wind Turbine Blade Aerodynamics and Power Output: A Case Study of the NREL 5 MW Turbine
by Berkay Öztürk and Eyup Koçak
Appl. Sci. 2026, 16(6), 2991; https://doi.org/10.3390/app16062991 - 20 Mar 2026
Viewed by 129
Abstract
This study presents a numerical investigation of the effects of atmospheric icing on the aerodynamic performance and power output of the NREL 5 MW reference wind turbine. In cold climate regions, ice accretion on wind turbine blades significantly alters the airfoil geometry, leading [...] Read more.
This study presents a numerical investigation of the effects of atmospheric icing on the aerodynamic performance and power output of the NREL 5 MW reference wind turbine. In cold climate regions, ice accretion on wind turbine blades significantly alters the airfoil geometry, leading to aerodynamic degradation characterized by increased drag, reduced lift, and substantial power losses. Understanding these effects is therefore essential for reliable performance prediction and efficient turbine operation under icing conditions. To address this problem, numerical simulations were conducted on six representative blade sections using the FENSAP-ICE framework, which integrates flow field calculations, droplet transport, and ice accretion modeling within a unified computational environment. The analyses were performed under different atmospheric icing conditions, considering liquid water content values of 0.22 g/m3 and 0.50 g/m3 and ambient temperatures of −2.5 °C and −10 °C. The median volumetric diameter was fixed at 20 µm, and the icing duration was set to one hour for all cases, allowing for both glaze and rime ice formations to be systematically examined. The results reveal that ice accretion becomes increasingly pronounced toward the blade tip, mainly due to higher relative velocities and increased collection efficiency in the outer sections. Glaze icing conditions produce irregular horn-shaped ice formations and lead to severe aerodynamic degradation, whereas rime ice forms more compact structures near the leading edge and results in comparatively lower performance losses. The degraded aerodynamic coefficients obtained from the iced airfoils were subsequently incorporated into BEM-based power calculations, indicating that total power losses can reach up to 40% under severe icing conditions, with the outer blade sections contributing most significantly to this reduction. Furthermore, an economic assessment based on annual energy losses highlights the substantial impact of atmospheric icing on wind turbine performance and operational costs. Full article
(This article belongs to the Section Mechanical Engineering)
Show Figures

Figure 1

26 pages, 3861 KB  
Review
Mechanization and Intelligent Technologies for Ginger Harvesting: Evolution, Frontiers, and Prospects
by Haiyang Shen, Guangyu Xue, Gongpu Wang, Wenhao Zheng, Lianglong Hu, Yanhua Zhang and Baoliang Peng
AgriEngineering 2026, 8(3), 112; https://doi.org/10.3390/agriengineering8030112 - 15 Mar 2026
Viewed by 232
Abstract
Driven by agricultural labor shortages and rising quality requirements, ginger harvesting increasingly demands high-throughput, low-damage operations and a reliable supply chain. This review summarizes harvesting modes and harvester types used in ginger production, with emphasis on critical process modules: digging and lifting, soil [...] Read more.
Driven by agricultural labor shortages and rising quality requirements, ginger harvesting increasingly demands high-throughput, low-damage operations and a reliable supply chain. This review summarizes harvesting modes and harvester types used in ginger production, with emphasis on critical process modules: digging and lifting, soil disintegration and cleaning, vine cutting and anti-tangling, gentle conveying, and collection. We compare major technical routes in terms of field capacity, control of soil and foreign materials, damage mitigation, and reliability under continuous operation, and identify the conditions under which each route performs best. Drawing on advances in harvesting systems for other root and bulb crops, we outline transferable approaches for intelligent sensing, precision control, and system-level integration. We then propose an online monitoring and closed-loop regulation framework for strongly coupled conditions, such as heavy clay soils, plastic-mulch residues, and vine interference. Key bottlenecks include limited cross-regional adaptability, persistent trade-offs between low damage and high throughput, cost constraints on intelligent functions, and the lack of shared datasets and standardized evaluation protocols. Future progress should be anchored in integrated equipment sets and supporting operating specifications, guided by multi-source sensing-based quality indicators and interpretable control strategy libraries, to reduce harvest losses, stabilize marketable quality, improve operational efficiency, and enable scalable adoption. Full article
Show Figures

Figure 1

17 pages, 1647 KB  
Article
Development of a Modular Bionic Hand with Intuitive Control and Thumb Opposition
by Larisa Dunai, Isabel Seguí Verdú, Alba Rey De Viñas Redondo and Lilia Sava
Prosthesis 2026, 8(3), 29; https://doi.org/10.3390/prosthesis8030029 - 13 Mar 2026
Viewed by 306
Abstract
Background/Objectives: Hand loss or severe impairment significantly reduces quality of life by restricting essential daily activities and professional tasks. Despite advances in prosthetics, challenges remain in affordability, accessibility, and usability. This study aimed to design and develop a low-cost, ergonomic bionic hand prototype [...] Read more.
Background/Objectives: Hand loss or severe impairment significantly reduces quality of life by restricting essential daily activities and professional tasks. Despite advances in prosthetics, challenges remain in affordability, accessibility, and usability. This study aimed to design and develop a low-cost, ergonomic bionic hand prototype that integrates sustainable fabrication, intuitive control, and modular electronics. Methods: A user-centred design process guided by iterative prototyping, anatomical modelling, and functional validation. The prototype was manufactured using 3D printing techniques and assembled with modular electronic components. The design included segmented fingers, independent thumb articulation, and a tendon-like actuation system driven by micro-motors. Control was implemented through an ESP32-based board and a Bluetooth-enabled mobile application. Durability was preliminarily assessed through 500 grasp–release cycles. Results: Experimental validation confirmed the feasibility of both precision and power grips. The pinch grip successfully lifted objects to 120 g, and the power grip up to 85 g, corresponding to effective output forces of approximately 1.2 N and 0.83 N, respectively. The final prototype weighed ~350 g and maintained reliable performance during 500 grasp–release cycles. Conclusions: The developed bionic hand demonstrates that an affordable, ergonomic, and functional prosthetic can be achieved through sustainable 3D printing and accessible electronics. Future work will focus on enhancing actuation strength, long-term durability, and integration of sensory feedback, with the long-term objective of clinical testing and scalable production. Full article
(This article belongs to the Section Orthopedics and Rehabilitation)
Show Figures

Figure 1

16 pages, 8378 KB  
Article
Optimization of Ornithopter Energy Efficiency Through Spring-Induced Harmonic Motion
by Jimin Kim and Ji-Chul Ryu
Biomimetics 2026, 11(3), 207; https://doi.org/10.3390/biomimetics11030207 - 13 Mar 2026
Viewed by 248
Abstract
Ornithopters generate lift and thrust through periodic flapping-wing motion. While control-based optimization has been widely studied to improve the flight efficiency of ornithopters, passive mechanical tuning remains underexplored. This study investigates whether integrating a lightweight torsional spring can passively tune a flapping-wing system [...] Read more.
Ornithopters generate lift and thrust through periodic flapping-wing motion. While control-based optimization has been widely studied to improve the flight efficiency of ornithopters, passive mechanical tuning remains underexplored. This study investigates whether integrating a lightweight torsional spring can passively tune a flapping-wing system toward resonance to reduce input power and enhance aerodynamic performance. We evaluated springs of different stiffness on a 3D-printed, motor-driven flapping rig, recording input voltage and current as well as flapping frequency and thrust. Wing kinematics were analyzed using high-speed video, and free-oscillation tests identified a resonant period of ~0.14 s (~7.1 Hz). Experimental results show that an optimally tuned spring-assisted system achieves up to a threefold improvement in thrust efficiency and up to a twofold improvement in kinematic efficiency, compared to the no-spring baseline. Indoor flight tests using a commercial ornithopter (MetaFly) confirmed the improvement, showing a 12.8% increase in average endurance. The spring-assisted configuration also produced smoother stroke reversals, consistent with reduced energy losses. These results demonstrate that a low-complexity, lightweight torsional spring tuned near resonance can provide an effective passive means to enhance both energy efficiency and aerodynamic output in flapping-wing UAVs, serving as a practical, low-cost complement to control-based optimization methods. Full article
(This article belongs to the Section Locomotion and Bioinspired Robotics)
Show Figures

Graphical abstract

9 pages, 924 KB  
Proceeding Paper
Multi-Class Electroencephalography Motor Imagery Classification of Limb Movements Using Convolutional Neural Network
by Yean Ling Chan, Yiqi Tew, Ching Pang Goh and Choon Kit Chan
Eng. Proc. 2026, 128(1), 20; https://doi.org/10.3390/engproc2026128020 - 11 Mar 2026
Viewed by 201
Abstract
We classified essential motor actions, dorsal and plantar flexion (lower limb), and arm movement (upper limb) from electroencephalography (EEG)-based brain–computer interface (BCI) signals, using a convolutional neural network (CNN). Different from previous research on upper or lower limb motor imagery in isolation, we [...] Read more.
We classified essential motor actions, dorsal and plantar flexion (lower limb), and arm movement (upper limb) from electroencephalography (EEG)-based brain–computer interface (BCI) signals, using a convolutional neural network (CNN). Different from previous research on upper or lower limb motor imagery in isolation, we integrated both categories in a unified framework to explore a broader range of movements for broader applications. These motor actions are fundamental to daily activities such as walking, running, maintaining balance, lifting, reaching, and exercising. Upper limb EEG data were provided by INTI International University, whereas lower limb data were obtained from a publicly available dataset, recorded using 16-channel Emotiv and OpenBCI systems, respectively, each with distinct sampling rates and signal formats. To improve signal quality and facilitate joint model training, all signals were downsampled to 125 Hz, standardized to 16 channels, segmented using sliding windows, normalized via StandardScaler, and labelled according to action class. The processed data were used to train a CNN model configured with a kernel size of 3 and rectified linear unit activation functions. Training was terminated early at epoch 11 using an early stopping strategy, resulting in approximately 67% accuracy for both training and validation sets. Although this accuracy was moderate for deep learning, a promising outcome for EEG-based multi-class motor imagery classification was obtained, with the challenges posed by limited data availability, low inter-class feature discriminability, and the inherently noisy nature of non-invasive EEG signals. The results of this study underscore the potential of CNN-based models for future real-time BCI applications. By expanding the dataset, deep learning architectures can be refined to improve signal preprocessing techniques. Prosthetic devices need to be integrated to validate the system in practical scenarios. Full article
Show Figures

Figure 1

32 pages, 7237 KB  
Article
AI-Assisted UPQC with Quasi Z-Source SEPIC-Luo Converter for Harmonic Mitigation and Voltage Regulation in PV Applications
by Shekaina Justin
Electronics 2026, 15(6), 1156; https://doi.org/10.3390/electronics15061156 - 10 Mar 2026
Viewed by 188
Abstract
The intermittent nature of photovoltaic (PV) energy, especially under nonlinear and unbalanced loading situations, has made it more difficult to ensure steady operation as it is increasingly integrated into modern power systems. The Power Quality (PQ) issues cause severe degradation of both system [...] Read more.
The intermittent nature of photovoltaic (PV) energy, especially under nonlinear and unbalanced loading situations, has made it more difficult to ensure steady operation as it is increasingly integrated into modern power systems. The Power Quality (PQ) issues cause severe degradation of both system performance and device lifetime. A novel Neural Power Quality Network (NeuPQ-Net) controlled Unified Power Quality Conditioner (UPQC) combined with a Quasi Z-Source Lift (QZSL) converter for PV applications is presented in this research as a novel solution for addressing these issues. The QZSL converter, which is controlled by a Maximum Power Point Tracking (MPPT) algorithm based on Perturb and Observe (P&O), increases the PV source voltage to the necessary DC-link level. A Zebra Optimisation Algorithm tuned PI (ZOA-PI) controller continually adjusts PI gains for quick and accurate regulation, ensuring steady DC-link voltage. Unlike conventional Synchronous Reference Frame (SRF) or Decoupled Double Synchronous Reference Frame (DDSRF)-based reference generation, the proposed NeuPQ-Net operates directly in the abc domain, eliminating Phase-Locked Loop (PLL) dependency and reducing computational complexity. Simulation and hardware prototype validations demonstrate that the proposed system achieves significant improvements in PQ indices, including reduced Total Harmonic Distortion (THD), faster response to transients, and enhanced voltage regulation, while complying with IEEE-519 standards. Full article
(This article belongs to the Section Power Electronics)
Show Figures

Figure 1

31 pages, 3100 KB  
Article
A Study on the Association Between Tower Crane Operator Fatigue State and Collision Risk Under Human–Machine Interaction
by Zhijiang Wu, Yaru Zhu, Junwen Wang, Zhenzhen Chai, Jixun Fan and Guofeng Ma
Buildings 2026, 16(6), 1102; https://doi.org/10.3390/buildings16061102 - 10 Mar 2026
Viewed by 203
Abstract
To investigate the relationship between operator fatigue and collision risk under human–machine interaction (HMI) in intelligent tower crane operations, and to reveal the mitigating effects of HMI on fatigue-induced collision risks, a comprehensive data acquisition approach integrating eye-tracking signals, risk indicators, and fatigue [...] Read more.
To investigate the relationship between operator fatigue and collision risk under human–machine interaction (HMI) in intelligent tower crane operations, and to reveal the mitigating effects of HMI on fatigue-induced collision risks, a comprehensive data acquisition approach integrating eye-tracking signals, risk indicators, and fatigue scale assessments was proposed and validated through scenario-based experiments. First, two experimental scenarios—traditional mechanical operation and HMI operation—were established. Based on a review of existing studies, representative eye-movement metrics and fatigue scale indicators were selected. Subsequently, operator fatigue states were classified into three levels: low fatigue, moderate fatigue, and high fatigue. A total of 28 participants were recruited to complete fatigue assessments and subsequently perform tower crane lifting tasks under both experimental scenarios. Finally, collision risk under different scenarios was quantitatively evaluated using the safety distance between the crane hook and the rigger, as well as the frequency of collision alarms. The results indicate that, under traditional mechanical operation, increasing fatigue levels were associated with a significant reduction in safety distance between the crane hook and the rigger, accompanied by a marked increase in collision alarm occurrences, resulting in a relatively high overall collision risk. In contrast, under the HMI operation scenario, participants demonstrated superior operational control at equivalent fatigue levels. Specifically, under moderate fatigue, collision risk was reduced from low risk to no risk, while under high fatigue, collision risk decreased from high risk to low risk. These results indicate that, under laboratory-simulated conditions, human–machine interaction can mitigate, to a certain extent, the increasing trend of collision risk when operators perform tower crane lifting operations under fatigue. These findings provide a scientific basis for further optimization of intelligent tower crane operational modes and the development of enhanced safety management strategies. Full article
Show Figures

Figure 1

16 pages, 732 KB  
Article
Population-Level Shifts in Caribbean Family Resilience Across the COVID-19 Pandemic
by Karina Donald, Lorna Durrant and Xingyi Li
Populations 2026, 2(1), 8; https://doi.org/10.3390/populations2010008 - 10 Mar 2026
Viewed by 200
Abstract
The COVID-19 pandemic introduced an additional major stressor for families in the Caribbean, a region already shaped by environmental risk and socioeconomic vulnerability. This study examined changes in family resilience across pandemic phases among English-speaking Caribbean populations, drawing on Walsh’s family resilience framework, [...] Read more.
The COVID-19 pandemic introduced an additional major stressor for families in the Caribbean, a region already shaped by environmental risk and socioeconomic vulnerability. This study examined changes in family resilience across pandemic phases among English-speaking Caribbean populations, drawing on Walsh’s family resilience framework, which emphasizes belief systems, organizational processes, and communication. Using a convergent parallel mixed methods design, quantitative and qualitative data were integrated from two studies conducted before and during pandemic restrictions and after restrictions were lifted. Survey data were collected from 198 families across English-speaking Caribbean nations, and in-depth interviews were conducted with 31 families from Grenada, Jamaica, and Trinidad. Quantitative analyses indicated a significant decline in family resilience during periods of heightened restrictions, followed by a return to pre-pandemic levels. Qualitative findings identified faith, family connectedness, communication, resourcefulness, and a positive outlook as key processes supporting adaptation during the crisis. Overall, results suggest that while family resilience at the population level was strained during the pandemic, it demonstrated recovery over time. Policies and interventions that strengthen communication supports and community- and faith-based resources may enhance family resilience and preparedness for future public health and environmental disruptions in the Caribbean. Full article
Show Figures

Figure 1

25 pages, 5611 KB  
Article
Static Ditching Performance Analysis and Experiment of Horizontal Ditching Device for Salix Psammophila Sand Barriers
by Feixu Zhang, Fei Liu, Xuan Zhao, Hongbin Bai, Wenxue Dong, Rifeng Guo, Haoran Jiang, Qihao Wan, Yunong Ma and Yarong Zhang
Agriculture 2026, 16(5), 617; https://doi.org/10.3390/agriculture16050617 - 7 Mar 2026
Viewed by 262
Abstract
To address the complex dynamic mechanisms and lack of static operation data in trench-digging for transverse planting of Salix psammophila sand barriers, a transverse trench-digging device was designed. Based on the discrete element method, the Hertz–Mindlin with JKR Cohesion model was used to [...] Read more.
To address the complex dynamic mechanisms and lack of static operation data in trench-digging for transverse planting of Salix psammophila sand barriers, a transverse trench-digging device was designed. Based on the discrete element method, the Hertz–Mindlin with JKR Cohesion model was used to simulate sandy soil. The Box–Behnken experiment was adopted to optimize the single auger structure with helix angle and soil-cutting angle as factors and trench depth and working torque as indices, yielding the optimal parameters of 30° soil-cutting angle and 20.37° helix angle (5.52 cm trench depth, 2.6 N·m maximum torque). The optimized auger was integrated into the device, and a further Box–Behnken experiment was conducted under a 20 cm fixed descending depth of the lifting platform. With auger rotation speed, shaft spacing and lifting speed as factors, and trench depth, soil compaction and Salix psammophila insertion depth as indices, the optimal operating parameters were determined as 257.25 r/min, 7 cm and 9 cm/s, corresponding to 6.7 cm trench depth, 33.37 kPa soil compaction and 14.87 cm insertion depth. This study clarifies the effects of auger and operation parameters on trench-digging quality, provides a basis for the design and parameter matching of dynamic continuous operation equipment, and offers a reference for the R&D of mechanized transverse planting equipment for Salix psammophila sand barriers, which is of practical value for reducing sand control costs and improving efficiency. Full article
(This article belongs to the Topic Ecological Protection and Modern Agricultural Development)
Show Figures

Figure 1

20 pages, 7825 KB  
Article
STAG-Net: A Lightweight Spatial–Temporal Attention GCN for Real-Time 6D Human Pose Estimation in Human–Robot Collaboration Scenarios
by Chunxin Yang, Ruoyu Jia, Qitong Guo, Xiaohang Shi, Masahiro Hirano and Yuji Yamakawa
Robotics 2026, 15(3), 54; https://doi.org/10.3390/robotics15030054 - 4 Mar 2026
Viewed by 347
Abstract
Most existing research in human pose estimation focuses on predicting joint positions, paying limited attention to recovering the full 6D human pose, which comprises both 3D joint positions and bone orientations. Position-only methods treat joints as independent points, often resulting in structurally implausible [...] Read more.
Most existing research in human pose estimation focuses on predicting joint positions, paying limited attention to recovering the full 6D human pose, which comprises both 3D joint positions and bone orientations. Position-only methods treat joints as independent points, often resulting in structurally implausible poses and increased sensitivity to depth ambiguities—cases where poses share nearly identical joint positions but differ significantly in limb orientations. Incorporating bone orientation information helps enforce geometric consistency, yielding more anatomically plausible skeletal structures. Additionally, many state-of-the-art methods rely on large, computationally expensive models, which limit their applicability in real-time scenarios, such as human–robot collaboration. In this work, we propose STAG-Net, a novel 2D-to-6D lifting network that integrates Graph Convolutional Networks (GCNs), attention mechanisms, and Temporal Convolutional Networks (TCNs). By simultaneously learning joint positions and bone orientations, STAG-Net promotes geometrically consistent skeletal structures while remaining lightweight and computationally efficient. On the Human3.6M benchmark, STAG-Net achieves an MPJPE of 41.8 mm using 243 input frames. In addition, we introduce a lightweight single-frame variant, STG-Net, which achieves 50.8 mm MPJPE while operating in real time at 60 FPS using a single RGB camera. Extensive experiments on multiple large-scale datasets demonstrate the effectiveness and efficiency of the proposed approach. Full article
(This article belongs to the Special Issue Human–Robot Collaboration in Industry 5.0)
Show Figures

Figure 1

26 pages, 1102 KB  
Article
Digital Footprints as Institutional Hard Constraints: A Multi-Source Data Fusion System for the Agricultural Credit Risk Early Warning
by Kan Zhang, Yuan Song and Weilin Hao
Systems 2026, 14(3), 275; https://doi.org/10.3390/systems14030275 - 3 Mar 2026
Viewed by 302
Abstract
Agricultural credit rationing remains a persistent systemic friction driven by information opacity and limited collateral. This study develops a credit risk early-warning system by fusing multi-source institutional digital footprints (tax compliance signals, judicial enforcement records, and credit history indicators) for 1021 agricultural enterprises [...] Read more.
Agricultural credit rationing remains a persistent systemic friction driven by information opacity and limited collateral. This study develops a credit risk early-warning system by fusing multi-source institutional digital footprints (tax compliance signals, judicial enforcement records, and credit history indicators) for 1021 agricultural enterprises in China. Methodologically, we propose a Default Event Isolation protocol to enforce strict ex ante validity by discarding observations at and after the event month, and implement a two-step feature optimization pipeline that reduces 138 predictors to a parsimonious set of 50 features. Empirically, the optimized LightGBM (version 4.6.0) model achieves an AUC = 0.9345 (95% bootstrap CI: 0.8745–0.9563) and PR-AUC = 0.4421, representing a 47× lift over the random baseline under extreme class imbalance (0.94% event rate), and captures 87.4% of early-warning events by monitoring only the top 10% highest-risk firms. The interpretability analysis consistently highlights judicial boundary constraints and tax stability signals as dominant predictors, forming a “judicial baseline + tax stability” dual-core structure. A strict credit-only robustness check using bank-recorded NPL labels maintains strong predictive performance (AUC = 0.9089, 95% bootstrap CI: 0.8255–0.9591), mitigating concerns that the model’s signal is driven by label overlap. These findings suggest that integrating institutional records into automated screening pipelines can enable the earlier and more targeted identification of distressed borrowers in rural lending, even when traditional financial statements are unavailable. Full article
(This article belongs to the Section Systems Practice in Social Science)
Show Figures

Figure 1

20 pages, 6043 KB  
Article
Design and Experimental Investigation of a Resistance-Reducing and Clogging-Prevention Device for Chain-Type Peanut Harvesters
by Jun Yuan, Donghan Li, Yilin Cai, Weilong Yan, Hongtao Liu, Zhenke Sun, Hui Liu, Jing Fan, Dongyan Huang and Lianxing Gao
AgriEngineering 2026, 8(3), 92; https://doi.org/10.3390/agriengineering8030092 - 2 Mar 2026
Viewed by 217
Abstract
To address persistent problems such as clogging, high digging resistance, incomplete soil removal, and severe pod loss during the operation of shovel-chain peanut harvesters, a hybrid excavation approach was developed based on an in-depth analysis of the mechanical interaction between the peanut plant–soil [...] Read more.
To address persistent problems such as clogging, high digging resistance, incomplete soil removal, and severe pod loss during the operation of shovel-chain peanut harvesters, a hybrid excavation approach was developed based on an in-depth analysis of the mechanical interaction between the peanut plant–soil complex (hereafter referred to as the “complex”) and the harvesting mechanism. The proposed approach integrates vertical and horizontal excavation directions to enhance soil fragmentation and reduce operational resistance. A progressive soil disintegration process was introduced, in which the complex undergoes lateral and longitudinal compression-bending deformation during movement. A driven soil–plant separation scheme was implemented through coordinated operation of upper conveying and lower combing–lifting mechanisms, promoting efficient and continuous material flow. A resistance-reducing digging device consisting of opposing round plow blades and horizontally sliding digging shovels was designed to minimize excavation resistance and soil adhesion. Meanwhile, an anti-clogging separation mechanism, integrating squeezing and feeding rollers and harrow-chain, was developed to improve soil removal and pod separation. Key structural and operational parameters—such as the chain-to-machine speed ratio, tooth-to-chain rotation speed ratio, harrow-tooth spacing ratio, and pushing-tooth transmission ratio—were optimized through theoretical analysis and prototyping. The final design also refined the number of pushing-tooth rows, squeezing and feeding roller geometry, conveying-tooth radius, and the configuration and distribution of rake and stick-tooth shafts. Field experiments were conducted using the developed prototype under sandy loam conditions (11–15% moisture content) with Yu Hua 22 peanut plants (35–40 cm height, 70 cm ridge spacing, 30 cm narrow-row spacing) at a working speed of 1.5–1.6 km·h−1. Results demonstrated that the prototype achieved average ground pod loss, buried pod, and soil carryover rates of 1.13%, 0.95%, and 7.87%, respectively. The entire operation proceeded smoothly without clogging, and continuous conveying of peanut plants was maintained. These findings confirm that the proposed combined excavation and separation system meets and in some respects exceeds the performance requirements for efficient peanut harvesting under typical field conditions. Full article
Show Figures

Figure 1

Back to TopTop