Sign in to use this feature.

Years

Between: -

Subjects

remove_circle_outline
remove_circle_outline
remove_circle_outline
remove_circle_outline
remove_circle_outline
remove_circle_outline
remove_circle_outline
remove_circle_outline
remove_circle_outline

Journals

Article Types

Countries / Regions

remove_circle_outline
remove_circle_outline
remove_circle_outline
remove_circle_outline

Search Results (250)

Search Parameters:
Keywords = inorganic amendments

Order results
Result details
Results per page
Select all
Export citation of selected articles as:
19 pages, 1390 KB  
Article
Heterotrophic Soil Microbes at Work: Short-Term Responses to Differentiated Fertilization Inputs
by Florin Aonofriesei, Alina Giorgiana Brotea (Andriescu) and Enuță Simion
Biology 2026, 15(1), 41; https://doi.org/10.3390/biology15010041 - 26 Dec 2025
Viewed by 272
Abstract
The interaction between organic and inorganic nutrients, bacterial communities, and soil fertility has been well documented over time. Conventional agricultural systems heavily utilize both inorganic and organic fertilizers, each exerting distinct effects on soil microbial dynamics and plant growth. The objective of our [...] Read more.
The interaction between organic and inorganic nutrients, bacterial communities, and soil fertility has been well documented over time. Conventional agricultural systems heavily utilize both inorganic and organic fertilizers, each exerting distinct effects on soil microbial dynamics and plant growth. The objective of our experiments was to identify the most effective fertilization strategy for improving the biological quality of a microbiologically impoverished and low-productivity soil. To this end, four fertilization strategies were evaluated: (i) organic fertilizers characterized by a high content of organic carbon (Fertil 4-5-7—variant 1); (ii) organic fertilizers with 12% organic nitrogen from proteins (Bio Ostara N—variant 2) (iii) combined inorganic–organic fertilizers (P35 Bio—variant 3) and (iv) mineral (inorganic) fertilizers (BioAktiv—variant V4). This study aimed to assess the short-term effects of fertilizers with varying chemical compositions on the density of cultivable heterotrophic bacteria and their associated dehydrogenase (DH) activity in a petrocalcic chernozem soil containing pedogenic carbonates. Soil sampling was conducted according to a randomized block design, comprising four replicates per treatment (control plus four fertilizer types). The enumeration of cultivable bacteria was performed using Nutrient Agar and A2R Agar media, whereas dehydrogenase activity (DHA) was quantified based on the reduction of 2,3,5-triphenyl-2H-tetrazolium chloride (TTC) to 1,3,5-triphenyl-tetrazolium formazan (TPF) by bacterial dehydrogenase enzymes. Marked differences were observed in both parameters between the plots amended with inorganic fertilizers and those treated with organic fertilizers, as well as among the organic fertilizer treatments of varying composition. The most pronounced increases in both bacterial density and dehydrogenase activity (DHA) were recorded in the plots receiving the fertilizer with a high organic nitrogen content. In this treatment, the maximum bacterial population density reached 6.25 log10 CFU g−1 dry soil after approximately two months (May), followed by a significant decline starting in July. In contrast, DHA exhibited a more rapid response, reaching its peak in April (42.75 µg TPF g−1 soil), indicating an earlier DHA activation of microbial metabolism. This temporal lag between the two parameters suggests that enzymatic activity responded more swiftly to the nutrient inputs than did microbial biomass proliferation. For the other two organic fertilizer variants, bacterial population dynamics were broadly similar, with peak densities recorded in June, ranging from 5.98 log10 CFU g−1 soil (V3) to 6.03 log10 CFU g−1 soil (V1). A comparable trend was observed in DHA: in V3, maximum DHA was attained in June (30 µg TPF g−1 soil), after which it remained relatively stable, whereas in V1, it peaked in June (24.05 µg TPF g−1 soil) and subsequently declined slightly toward the end of the experimental period. Overall, the temporal dynamics of bacterial density and DHA demonstrated a strong dependence on the quality and biodegradability of the organic matter supplied by each fertilizer. Both parameters were consistently lower under inorganic fertilization compared with organic treatments, suggesting that the observed increases in microbial density and activity were primarily mediated by the enhanced availability of organic substrates. The relationship between the density of culturable heterotrophic bacteria and dehydrogenase (DH) activity was strongly positive (r = 0.79), indicating a close functional linkage between bacterial density and oxidative enzyme activity. This connection suggests that the culturable fraction of the heterotrophic microbial community plays a key role in the early stages of organic matter mineralization derived from the applied fertilizers, particularly in the decomposition of easily degradable substrates. Full article
(This article belongs to the Special Issue The Application of Microorganisms and Plants in Soil Improvement)
Show Figures

Figure 1

16 pages, 2684 KB  
Article
Improving Soil Health and Rice Yields with the Application of Soil Amendments in Acidic Paddy Soils
by Jian Liu, Ting Wang, Lihua Lan, Qingjiu Meng, Jun Xu, Minjun Hu, Tehseen Sajid and Jun Meng
Agronomy 2026, 16(1), 9; https://doi.org/10.3390/agronomy16010009 - 19 Dec 2025
Viewed by 320
Abstract
The over-application of nitrogen fertilizers has expedited soil acidification, resulting in the deterioration of agricultural soil quality and a decline in rice yields. This study evaluated the performance of seven soil amendments, including lime (L), biochar (BC), composted manure (CM), and alkaline inorganic [...] Read more.
The over-application of nitrogen fertilizers has expedited soil acidification, resulting in the deterioration of agricultural soil quality and a decline in rice yields. This study evaluated the performance of seven soil amendments, including lime (L), biochar (BC), composted manure (CM), and alkaline inorganic material (AM), and their combinations, such as L with BC, L with CM, and BC with AM, in regulating soil pH, nutrient levels, heavy metal bioaccumulation, and rice yields at two field sites. The results demonstrated that soil pH increased by 0.33–1.57 units after amendment application. Compared with the control, the amendments reduced the concentrations of available cadmium in soils by 7–57%, available copper by 32–91%, available nickel by 12–88%, and available zinc by 18–99%. Moreover, they induced a reduction in exchangeable H+ and Al3+ levels, improving various properties and soil health. Furthermore, these amendments caused an increase in rice yields and a decrease in Cd and Ni accumulation in rice grains by 5–30% and 11–40%, respectively. Structural equation modeling indicated that the accumulation of heavy metals in rice is mainly mediated by soil pH via its impact on exchangeable acidity. This impact subsequently modifies soil nutrient availability, thereby influencing metal bioaccumulation. Overall, the application of these amendments presents promising strategies for mitigating soil acidification and improving agricultural productivity. Full article
(This article belongs to the Section Soil and Plant Nutrition)
Show Figures

Figure 1

16 pages, 1736 KB  
Article
A First Process-Oriented Characterization of Eriolobus trilobatus (Labill. ex Poiret) Bark from Turkey: Chemical, Morphological and Energy Properties
by Umut Șen, Cengiz Yücedağ, Büşra Balcı, Şefik Arıcı, Günnur Koçar, Beyza Şat, Catarina Viegas, Margarida Gonçalves, Isabel Miranda and Helena Pereira
Processes 2025, 13(12), 3946; https://doi.org/10.3390/pr13123946 - 6 Dec 2025
Viewed by 304
Abstract
For the first time, Eriolobus trilobatus bark from Turkey has been characterized in terms of its chemical, extractive, fuel, and ash characteristics using SEM–EDS, wet chemical analysis, phenolic analysis, FT-IR, TGA, XRF, XRD, BET surface area measurement, proximate analysis, and ash fusion temperature [...] Read more.
For the first time, Eriolobus trilobatus bark from Turkey has been characterized in terms of its chemical, extractive, fuel, and ash characteristics using SEM–EDS, wet chemical analysis, phenolic analysis, FT-IR, TGA, XRF, XRD, BET surface area measurement, proximate analysis, and ash fusion temperature (AFT) determination. The results showed that the bark contains 13% ash, dominated by calcium oxalate, and 15% extractives, largely composed of polar phenolic compounds with moderate radical-scavenging potential. Thermal decomposition of bark proceeds in four distinct stages, associated with the sequential degradation of extractives/hemicelluloses, cellulose, lignin/suberin, and inorganic fractions. The higher calorific value of 14.9 MJ/kg indicates moderate fuel quality compared with conventional woody biomass. Ash is mesoporous with a CaO-rich structure highly suitable for catalytic applications in biodiesel production and biomass gasification. Ash fusion analysis revealed a high flow temperature (1452 °C), indicating a very low slagging risk during thermochemical conversion. Overall, E. trilobatus bark is a promising material for value-added biorefinery pathways, enabling processes for the production of biochars, CaO-based catalysts, phenolic extracts, and sustainable energy. The valorization of E. trilobatus bark not only enhances the economic potential of forestry residues but also provides environmental co-benefits through carbon soil amendment and landscape applications. Full article
(This article belongs to the Section Environmental and Green Processes)
Show Figures

Graphical abstract

23 pages, 7790 KB  
Article
Ultrasound-Induced Embedded-Silica Migration to Biochar Surface: Applications in Agriculture and Environmental Sustainability
by Muhammad Abdullah, Shanza Baig, Maria Paula Hernández Martinez and Baharak Sajjadi
Sustainability 2025, 17(23), 10813; https://doi.org/10.3390/su172310813 - 2 Dec 2025
Viewed by 348
Abstract
Silicon (Si)–containing compounds, such as silica (SiO2), play a crucial role as fillers, binding phases, and linking agents in sustainable materials. Coating biochar with SiO2 can enhance its performance as a carbon-negative filler in composites such as bioplastics, rubber, asphalt, [...] Read more.
Silicon (Si)–containing compounds, such as silica (SiO2), play a crucial role as fillers, binding phases, and linking agents in sustainable materials. Coating biochar with SiO2 can enhance its performance as a carbon-negative filler in composites such as bioplastics, rubber, asphalt, and cement, making it more competitive with conventional fillers. Biochar, derived from biomass pyrolysis, contains a high concentration of biogenic SiO2—typically 50–80% of its total inorganic content. However, conventional extraction methods such as solvent extraction or gasification detach SiO2 from the biochar matrix, leading to energy-intensive and environmentally unfavorable processes. The objective of this study was to develop an environmentally friendly and energy-efficient approach to induce the migration of embedded biogenic SiO2 from within biochar to its surface—without detachment—using ultrasonic treatment. Fifteen biochar samples were produced by pyrolyzing five biomass types (sugarcane bagasse, miscanthus, wheat straw, corn stover, and railroad ties) at 650, 750, and 850 °C. Each sample was subsequently subjected to ultrasonic irradiation in an isopropanol–water mixture for 1 and 2 min. Scanning Electron Microscopy (SEM) and Energy-Dispersive X-ray Spectroscopy (EDS) analyses confirmed that ultrasound treatment significantly enhanced SiO2 migration to the biochar surface, with up to a 2.5-fold increase in surface Si and O concentrations after 2 min of sonication. The effect was most pronounced for biochar synthesized at 850 °C, corresponding to higher surface porosity and structural stability. Fourier Transform Infrared (FTIR) spectroscopy revealed an increased intensity of the Si–O–Si asymmetric stretching band at 1030 cm−1, indicating surface enrichment of siloxane networks and rearrangement of Si-containing functional groups. Overall, the results demonstrate that ultrasound-assisted treatment is a viable and sustainable technique for enhancing SiO2 surface concentration and modifying the surface chemistry of biochar. This SiO2-enriched biochar shows potential for advanced applications in soil amendment, CO2 capture, water purification, and as a reactive additive in cementitious and asphalt composites. Full article
(This article belongs to the Special Issue Sustainable Development and Application of Biochar: 2nd Edition)
Show Figures

Figure 1

16 pages, 431 KB  
Article
Phosphorus Fertilizer Effects Following Continuous Application of Biochar-Based Soil Amendments in Low-Input Cropping System
by Amsalu Tilahun, Bettina Eichler-Löbermann, Amsalu Nebiyu, Gebeyanesh Worku, Milkiyas Ahmed and Abebe Nigussie
Agronomy 2025, 15(12), 2751; https://doi.org/10.3390/agronomy15122751 - 28 Nov 2025
Viewed by 407
Abstract
Biochar produced from phosphorus (P)-rich feedstocks has often been promoted as an alternative P fertilizer. However, existing evidence has mainly been obtained from incubation experiments and field trials with a rather short duration, leaving uncertainty about whether repeated low-rate applications of biochar can [...] Read more.
Biochar produced from phosphorus (P)-rich feedstocks has often been promoted as an alternative P fertilizer. However, existing evidence has mainly been obtained from incubation experiments and field trials with a rather short duration, leaving uncertainty about whether repeated low-rate applications of biochar can meaningfully supply P and increase soil P pools over time. This study evaluates the agronomic effects of 10 years of application of biochar derived from plant biowaste (BIO) and bones (BC) at an application rate of 4 t ha−1 yr−1, compared with a mineral P fertilizer (MIN), compost application (COM), and a zero-P control. The application of P through BC and COM led to higher total soil P concentrations than the control. Changes in labile P pools (H2O–P, NaHCO3–P, Bray-P) were generally modest, but BC again tended to yield higher values relative to the other treatments. The ratio of organic to inorganic P was not influenced by fertilizer type. A clear effect of the amendments on maize yield was observed, with BC producing the highest yields among all amendments (6.4 t ha−1; average 2020–2023), and yields were occasionally further increased when BC was combined with COM. The BIO treatments also achieved yields that were at least comparable to those of the MIN treatment (4.7 t ha−1). Despite the limited effects on labile soil P pools, the amendments increased yields and can be considered effective substitutes for mineral P fertilizers at this application rate. Full article
(This article belongs to the Section Soil and Plant Nutrition)
Show Figures

Figure 1

15 pages, 1458 KB  
Article
Comparative Evaluation of Organic and Synthetic Fertilizers on Lettuce Yield and Metabolomic Profiles
by Ana García-Rández, Luciano Orden, Silvia Sánchez-Méndez, Francisco Javier Andreu-Rodríguez, José Antonio Sáez-Tovar, Encarnación Martínez-Sabater, María de los Ángeles Bustamante, María Dolores Pérez-Murcia and Raúl Moral
Horticulturae 2025, 11(12), 1421; https://doi.org/10.3390/horticulturae11121421 - 24 Nov 2025
Viewed by 614
Abstract
The excessive use of synthetic fertilizers in agriculture has raised environmental concerns, prompting the search for sustainable alternatives, such as organic amendments. This study evaluated the agronomic performance, nutrient use efficiency and metabolomic profiles of lettuce (Lactuca sativa L. var. baby leaf) [...] Read more.
The excessive use of synthetic fertilizers in agriculture has raised environmental concerns, prompting the search for sustainable alternatives, such as organic amendments. This study evaluated the agronomic performance, nutrient use efficiency and metabolomic profiles of lettuce (Lactuca sativa L. var. baby leaf) cultivated using synthetic and organic (olive mill waste-based compost pellets and sewage sludge) in a controlled pot experiment. The treatments included three doses of inorganic fertilizer and two organic fertilizers applied at equivalent nitrogen (N) rates, alongside an unfertilized control. Soil physicochemical properties, plant biomass, nutrient uptake and metabolite profiles, including amino acids, sugars and organic acids, were analyzed. Inorganic fertilization rapidly increased soil mineral N and phosphorus (P), enhancing leaf chlorophyll, canopy development and fresh biomass, and promoting the accumulation of reducing sugars (p < 0.05). However, it reduced amino acid and phenolic levels, indicating a metabolic shift towards growth at the expense of stress and antioxidant compounds. Sewage sludge increased soil organic matter and amino acid and sucrose accumulation, but also induced stress-related metabolites. Pelletized compost maintained an intermediate level of nutrient availability, preserved phenolic compounds and improved phosphorus use efficiency. This surpassed the results achieved with sewage sludge in terms of dry matter yield, despite limited short-term growth stimulation. These findings highlight the potential of integrating moderate mineral fertilization with pelletized compost to balance immediate productivity, nutrient efficiency and long-term soil and metabolic quality in lettuce cultivation. Full article
Show Figures

Figure 1

22 pages, 1403 KB  
Article
Mineral Sources and Vertical Distribution of Nutrients in Extremely Acidic Pit Lakes: Impact on Microbial Ecology
by Javier Sánchez-España, Carmen Falagán, Andrey M. Ilin and Iñaki Yusta
Minerals 2025, 15(11), 1223; https://doi.org/10.3390/min15111223 - 20 Nov 2025
Viewed by 451
Abstract
Nutrient cycling has barely been studied in acidic environments and may have an important influence on the evolution of the microbial communities. In this research, we studied nutrient sources and fluxes in acidic metal-mine pit lakes to evaluate their relationship with the lakes’ [...] Read more.
Nutrient cycling has barely been studied in acidic environments and may have an important influence on the evolution of the microbial communities. In this research, we studied nutrient sources and fluxes in acidic metal-mine pit lakes to evaluate their relationship with the lakes’ microbial ecology. Nutrient concentrations (including phosphorus, nitrogen, and dissolved inorganic carbon) increase with depth in all the studied pit lakes. Phosphorus comes mainly from the leaching of the host rock and is rapidly scavenged from the aqueous phase in the oxygenic and Fe(III)-rich mixolimnion due to adsorption on ferric precipitates (schwertmannite, jarosite), which leads to an important P-limitation in the photic zone. Below the chemocline, however, the sum of phosphorus inputs (e.g., settling of algal biomass, desorption from the ferric compounds, microbial reduction of Fe(III)-sediments) sharply increases the concentration of this element in the anoxic monimolimnion. Nitrogen is very scarce in the host rocks, and only a limited input occurs via atmospheric deposition followed by N-uptake by algae, N-fixation by acidophilic microorganisms, sedimentation, and organic matter degradation in the sediments. The latter process releases ammonium to the anoxic monimolimnion and allows some nitrogen cycling in the chemocline. Soluble SiO2 in the mixolimnion is abundant and does not represent a limiting nutrient for diatom growth. Differences in phytoplankton biomass and extent of bacterial sulfate reduction between relatively unproductive lakes (San Telmo) and the more fertile lakes (Cueva de la Mora) are likely caused by a P-limitation in the former due to the abundance of ferric iron colloids in the water column. Our results suggest that phosphorus amendment in the photic zone could be an efficient method to indirectly increase acidity-consuming and metal-sequestering bacterial metabolisms in these lakes. Full article
(This article belongs to the Section Environmental Mineralogy and Biogeochemistry)
Show Figures

Figure 1

22 pages, 818 KB  
Article
Chemical Changes During Hydrothermal Carbonization of Manure Derived from Free-Range Bred Chickens and Its Potential as Organic Fertilizer for Tomato, Lettuce and Sunflower Plants
by Francisco J. Moreno-Racero, Marta Velasco-Molina, Rafael López-Núñez, Judy A. Libra and Heike Knicker
Environments 2025, 12(11), 444; https://doi.org/10.3390/environments12110444 - 18 Nov 2025
Viewed by 733
Abstract
Hygienization by hydrothermal carbonization (HTC) of chicken manure (CM) at 250 °C allows its valorization as soil amendment or even organic fertilizer. To test if this hypothesis is also valid for feedstocks from free-range breeding, respective material of a small farm in southern [...] Read more.
Hygienization by hydrothermal carbonization (HTC) of chicken manure (CM) at 250 °C allows its valorization as soil amendment or even organic fertilizer. To test if this hypothesis is also valid for feedstocks from free-range breeding, respective material of a small farm in southern Spain was comprehensively chemically characterized. The hydrochar of the manure collected from the ground of the farm was rich in mineral matter. After HTC, 68% of the organic carbon (C) was recovered, whereas 82% of the nitrogen (N) was lost most likely by volatilization and with the discarded process water. Despite this, 2.8% of the total N in the hydrochar was identified as inorganic N (Ni). Solid-state 13C and 15N NMR spectroscopy revealed aromatization of organic C and N, although alkyl C and amide N still contributed with 23% and 35% to the total organic C and N, respectively. The obtained distribution of N-forms indicated that enough Ni is plant-available for early plant growth, while the remaining N occurs in structures that can be slowly mobilized during advanced plant development. Low heavy metal concentrations suggest low phytotoxicity. Pot experiments with lettuce, sunflower, and tomato plants confirmed species- and dosage-dependent effects. A dosage of 3.25 t ha−1 improved lettuce and sunflower yields, whereas a dosage of 6.5 t ha−1 provided no additional growth benefits but caused phytotoxic reactions of the tomato plants. Our results support HTC as a strategy to valorize CM from free-range farms, although, due to the high variability of such materials, we recommend a thorough chemical characterization and phytotoxic tests before its application. Full article
(This article belongs to the Special Issue Preparation and Application of Biochar (Second Edition))
Show Figures

Figure 1

18 pages, 2549 KB  
Article
Biochar and Arbuscular Mycorrhizal Fungi Promote Rice Paddy Phosphorus Cycle by Altering Soil Phosphorus Turnover and Leaf Phosphorus Distribution
by Zhonghua Wen, Xu Yang, Xuanwei Zhou, Yongjia Shi, Haoyue Zheng and Jun Meng
Agronomy 2025, 15(11), 2562; https://doi.org/10.3390/agronomy15112562 - 6 Nov 2025
Viewed by 672
Abstract
Biochar and arbuscular mycorrhizal fungi (AMF) make significant contributions to improving soil and plant mineral nutrition, primarily phosphorus (P). However, the response of soil and leaf P fractions dynamics to biochar and AMF amendment in paddy ecosystems remains unclear. A pot experiment in [...] Read more.
Biochar and arbuscular mycorrhizal fungi (AMF) make significant contributions to improving soil and plant mineral nutrition, primarily phosphorus (P). However, the response of soil and leaf P fractions dynamics to biochar and AMF amendment in paddy ecosystems remains unclear. A pot experiment in greenhouse was conducted to study the effects of three biochars produced from rice husk (HBC), maize straw (MBC), and wood chips (WBC) and Rhizophagus irregularis on soil and leaf P fractions, soil chemical properties, and rice growth. The combination of biochar and AMF increased soil content of labile inorganic P (38.25%, 50.87% and 23.65%, respectively) and decreased that of labile organic P (52.31%, 61.12% and 44.60%, respectively) compared to the control. Similarly, HBC and MBC with AMF combination increased leaf contents of inorganic (7.29% and 8.81%, respectively) and nucleic acid (18.75% and 14.73%, respectively) P, which were strongly correlated with soil labile P fractions. Biochar and AMF amendment governed the transformation of soil P by altering total P, organic matter, and pH. Meanwhile, the distribution of leaf P was influenced by leaf total P content, soil organic matter, and electrical conductivity (EC). In addition, MBC and HBC increased the rice mycorrhizal colonization rate by 6.78% and 18.19%, respectively. The application of HBC and AMF increased leaves’ and stems’ biomass (28.57% and 26.67%, respectively), and three biochars and AMF also facilitated P accumulation in rice. Therefore, these results provide the first evidence for the interaction between biochar and AMF to alter P distribution among leaf fractions in paddy fields. Full article
Show Figures

Figure 1

18 pages, 1976 KB  
Article
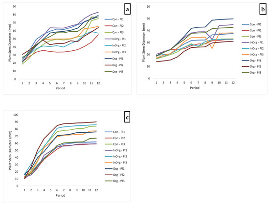
Comparative Impacts of Organic and Inorganic Fertilizers on the Restoration of Rangeland in the Semi-Arid Regions of Saudi Arabia
by Sahar Ezzat, Abdelaziz Gaiballa, Mosaed A. Majrashi, Zafer Alasmary, Hesham M. Ibrahim, Meshal Abdullah Harbi, Abdullah Abldubise, Munirah Ayid Alqahtani and Abdulaziz G. Alghamdi
Sustainability 2025, 17(20), 9253; https://doi.org/10.3390/su17209253 - 18 Oct 2025
Viewed by 981
Abstract
Rangeland degradation in arid and semi-arid regions is a serious ecological challenge, damaging soil health and reducing plant growth. This study evaluated the comparative effects of Almarai organic and inorganic fertilizers on the growth performance of three native rangeland species across three semi-arid [...] Read more.
Rangeland degradation in arid and semi-arid regions is a serious ecological challenge, damaging soil health and reducing plant growth. This study evaluated the comparative effects of Almarai organic and inorganic fertilizers on the growth performance of three native rangeland species across three semi-arid locations of Saudi Arabia, including Al-Tamiryyat (Al-Jouf), Al-Sahwa (Al-Madina), and Al-Fuhaihil (Thadiq), in a randomized complete block design. The study revealed that fertilization significantly influenced plant height and stem diameter, with organic fertilizers yielding superior results compared to inorganic treatments across most regions (p < 0.001). Specifically, plant height for Pl3 demonstrated a substantial increase of 71% and 159% under Almarai organic fertilization in the Al-Tamiryyat and Al-Fuhaihil regions, respectively, while inorganic fertilization yielded an improvement of 61% and 132% only in the Al-Tamiryyat and Al-Fuhaihil sites, respectively. Stem diameter also exhibited significant growth under both fertilizer types (p < 0.001), with the most significant increases observed in Pl1, particularly under organic amendment in Al-Tamiryyat (184%) and inorganic fertilizer in Al-Sahwa (151%). Conversely, the effect of fertilization on crown size ratio was minimal in Al-Tamiryyat and Al-Fuhaihil (p > 0.05) but was significantly improved in Al-Sahwa region (p < 0.001) under Almarai organic fertilization. Conclusively, results of current research suggest that organic fertilization is effective way of restoring rangelands in arid environments compared to inorganic amendments. Full article
(This article belongs to the Section Soil Conservation and Sustainability)
Show Figures

Figure 1

20 pages, 5430 KB  
Article
Characterization of Biochar Produced from Greenhouse Vegetable Waste and Its Application in Agricultural Soil Amendment
by Sergio Medina, Ullrich Stahl, Washington Ruiz, Angela N. García and Antonio Marcilla
AgriEngineering 2025, 7(10), 348; https://doi.org/10.3390/agriengineering7100348 - 13 Oct 2025
Cited by 1 | Viewed by 884
Abstract
The main objective of the current work is to evaluate the effect of adding biochar obtained by pyrolysis of a mixture of greenhouse waste to agricultural soil, measuring its effectiveness as an amendment. A mixture of broccoli, zucchini, and tomato plant residues was [...] Read more.
The main objective of the current work is to evaluate the effect of adding biochar obtained by pyrolysis of a mixture of greenhouse waste to agricultural soil, measuring its effectiveness as an amendment. A mixture of broccoli, zucchini, and tomato plant residues was pyrolyzed in a lab-scale reactor at 450 °C, obtaining a biochar yield of 35.6%. No carrier gas was used in the process. A thorough characterization of the biochar obtained was performed, including elemental and proximal analysis, density, pH, electrical conductivity, cation exchange capacity, surface area, and metal content. Since the raw material had a high percentage of ash (approximately 20%), the resulting biochar contained around 50% inorganic matter, with potassium and calcium being the major metals detected (10–11%). This biochar had a 29% fixed carbon content, a high heating value of 11.5 MJ kg−1, a cation exchange capacity of 477 mmol kg−1, and an electrical conductivity of 16 mS cm−1.The biochar was mixed with greenhouse soil and fertilizer to form a substrate to grow bean seeds, the crop selected for the study. Different experiments were carried out, varying the biochar, fertilizer, and soil percentages. By adding 0.5% biochar to a substrate containing 1% fertilizer, the bean production was increased by 24.5%. It is worth noting that by adding only 0.5% biochar to soil, the bean production reached higher values than when adding 1% fertilizer. Biochar produced from the studied biomass improved the productivity of agricultural soils. The avoidance of selective collection by farmers as well as the non-use of carrier gas in the pyrolysis process made the implementation of the pyrolysis system in situ easier. Consequently, this research has great potential for practical application in modest agricultural areas. Full article
(This article belongs to the Section Sustainable Bioresource and Bioprocess Engineering)
Show Figures

Graphical abstract

14 pages, 294 KB  
Article
Harnessing and Evaluating Almond Hulls and Shells for Bio-Based Products
by Ana T. Caeiro, Ricardo A. Costa, Duarte M. Neiva, Jéssica Silva, Rosalina Marrão, Albino Bento, Nuno Saraiva, Francisco Marques, Jorge Rebelo, André Encarnação and Jorge Gominho
Environments 2025, 12(10), 369; https://doi.org/10.3390/environments12100369 - 9 Oct 2025
Viewed by 1429
Abstract
Almond hulls and shells, the byproducts of the almond industry, were analyzed to assess their potential valorization pathways. Shells showed a higher content in lignin and polysaccharides, but very low levels of extractives and inorganics. Hull’s high polar extractives fraction showed poor phenolic [...] Read more.
Almond hulls and shells, the byproducts of the almond industry, were analyzed to assess their potential valorization pathways. Shells showed a higher content in lignin and polysaccharides, but very low levels of extractives and inorganics. Hull’s high polar extractives fraction showed poor phenolic preponderance and antioxidant activity, but high sugar and mineral contents, and its lipophilic extracts were highly enriched in triterpenes (from 73.5% to 91.3%), while shells presented more fatty acids (27.4% to 34.2%) and sterols (17.4% to 29.1%). Shells exhibited much higher S/G ratio (syringyl to guaiacyl units) in their lignin polymer (1.0 to 1.4), compared to hulls (0.5 to 0.6). After mineral analyses, hulls showed high amounts of potassium (3.7–4.9%). Fixed carbon content was similar for both materials, but shells showed a higher energetic content, ~20 MJ/kg. Finally, both hulls and pellets increased the water holding capacity (WHC) of the soil by 50%, when added in weight percentages of 6.25% (hulls) and 25% (pellets). With these results, the range of possibilities for these waste materials is exciting: shells could be used to obtain hemicellulose oligosaccharides, while hulls could be used in sugar extraction for biotransformation or as a soil amendment. Full article
Show Figures

Graphical abstract

26 pages, 4175 KB  
Article
Rhizosphere Engineering in Saline Soils: Role of PGPR and Organic Manures in Root–Soil Biochemical Interactions for Allium Crops
by Tarek Alshaal, Nevien Elhawat and Szilvia Veres
Plants 2025, 14(19), 3075; https://doi.org/10.3390/plants14193075 - 4 Oct 2025
Viewed by 802
Abstract
Soil salinity disrupts rhizosphere interactions, impairing root–microbe symbioses, nutrient uptake, and water relations in onion (Allium cepa L.) and garlic (Allium sativum L.). This study evaluated the efficacy of biofertilizers (Azotobacter chroococcum SARS 10 and Azospirillum lipoferum SP2) and organic [...] Read more.
Soil salinity disrupts rhizosphere interactions, impairing root–microbe symbioses, nutrient uptake, and water relations in onion (Allium cepa L.) and garlic (Allium sativum L.). This study evaluated the efficacy of biofertilizers (Azotobacter chroococcum SARS 10 and Azospirillum lipoferum SP2) and organic amendments (sewage sludge and poultry manure) in salt-affected soils in Kafr El-Sheikh, Egypt. Five treatments were applied: (T1) control (no amendments); (T2) biofertilizer (3 L/ha for onion, 12 L/ha for garlic) + inorganic P (150 kg/ha P2O5 for onion, 180 kg/ha for garlic) and K (115 kg/ha K2SO4 for onion, 150 kg/ha for garlic); (T3) 50% inorganic N (160 kg/ha for onion, 127.5 kg/ha for garlic) + 50% organic manure (6000 kg/ha for onion, 8438 kg/ha for garlic) + P and K; (T4) biofertilizer + T3; and (T5) conventional inorganic NPK (320 kg/ha N for onion, 255 kg/ha N for garlic + P and K). Soil nutrients (N, P, K), microbial biomass carbon (MBC), dehydrogenase activity, and microbial populations were analyzed using standard protocols. Plant growth (chlorophyll, photosynthetic rate), stress indicators (malondialdehyde, proline), and yield (bulb diameter, fresh yield) were measured. Treatment T4 increased MBC by 30–40%, dehydrogenase activity by 25–35%, available N (39.7 mg/kg for onion, 35.7 mg/kg for garlic), P (17.9 mg/kg for onion), and K (108 mg/kg for garlic). Soil organic matter rose by 8–12%, and cation exchange capacity by 26–36%. Chlorophyll content improved by 25%, malondialdehyde decreased by 20–30%, and fresh yields increased by 20–30% (12.17 tons/ha for garlic). A soybean bioassay confirmed sustained fertility with 20–25% higher dry weight and 30% greater N uptake in T4 plots. These findings highlight biofertilizers and organic amendments as sustainable solutions for Allium productivity in saline rhizospheres. Full article
(This article belongs to the Topic Plant-Soil Interactions, 2nd Volume)
Show Figures

Figure 1

48 pages, 2840 KB  
Review
Relevance of Organic Matter Compositions, Structures and Associations to Soil Aggregates and to Sustainable Productivity
by Michael H. B. Hayes and Maria Roulia
Agronomy 2025, 15(9), 2182; https://doi.org/10.3390/agronomy15092182 - 13 Sep 2025
Cited by 1 | Viewed by 1695
Abstract
Long-term cultivation practices, in which mineral fertilizers are the only amendments made to crop-supporting soils, are giving rise to the degradation of soil structures in the world’s most fertile soils. This leads to erosion and to the loss of productivity and may well [...] Read more.
Long-term cultivation practices, in which mineral fertilizers are the only amendments made to crop-supporting soils, are giving rise to the degradation of soil structures in the world’s most fertile soils. This leads to erosion and to the loss of productivity and may well become a greater threat than that of global warming. Humic substances (structurally related compounds), and humin (which no longer falls within the modern definitions of humic substances), are major transformation or humification components of organic matter entering the soil, with varying resistance to biological degradation, and properties vastly contributing to soil fertility. There is considerable discussion on the macromolecular structures arising from associations or supramolecular structuring of some components of humic substances. The compositions, structures, shapes, sizes, and surface properties of these molecular components determine their intra- and inter-molecular associations, their interactions with the soil particles, and particularly with the soil inorganic colloids. Such interactions play a vital role in soil aggregates’ formation, which is important for soil health and productivity. In this work, an outline is given of modern methods for the isolation of broadly defined soil organic components, of what is known of their origins (plant or microbial), compositions, sizes and shapes, of how they interact to promote soil structure and productivity, and how the materials composing the hydrophobic fraction form strong associations with the inorganic colloids. A better understanding should be sought of how these interactions and associations take place giving rise to the structured systems that are characteristic of fertile soils. Full article
Show Figures

Figure 1

13 pages, 492 KB  
Article
Effects of Char and Amendments on Soil Properties and Sugar Beet Yield in Sandy Clay Loam Soil
by Resham B. Thapa, Chandan Shilpakar and Samir Budhathoki
Sustainability 2025, 17(18), 8132; https://doi.org/10.3390/su17188132 - 10 Sep 2025
Viewed by 956
Abstract
Carbon-rich products such as biochar and coal char have emerged as promising soil amendments to improve soil properties and support plant growth in semiarid climates. Coal char is produced from the pyrolysis of coal, while biochar is a biomass-derived product from pyrolysis. A [...] Read more.
Carbon-rich products such as biochar and coal char have emerged as promising soil amendments to improve soil properties and support plant growth in semiarid climates. Coal char is produced from the pyrolysis of coal, while biochar is a biomass-derived product from pyrolysis. A two-year field study was conducted to evaluate the comparative impacts of coal char, biochar, inorganic fertilizer, and manure amendments on soil properties, plant growth indices, and soil and plant nutrient dynamics in a semiarid, sandy clay loam soil in Wyoming, USA. The study demonstrates the value of multivariate approaches for capturing the complex, interactive effects of amendments and plant covariates on crop performance. Results show that, while char and amendment treatments did not significantly alter soil pH, EC, or CEC, both char type and fertilizer amendments significantly affected soil nutrient availability and plant tissue nutrient concentrations. Multivariate multiple linear regression (MMLR) showed coal char at 22–44 Mg ha−1 increased yield by up to 4.4 t ha−1, with higher Normalized Difference Red Edge (NDRE) and leaf sulfur (S) concentrations associated with reduced sugar loss to molasses. Our results suggest that coal char has potential as a sustainable amendment for improving sugar beet productivity in semiarid, sandy clay loam soils, especially when integrated with inorganic fertilizer and manure. Further research is needed to assess the variability of coal char and biochar and their cumulative impacts on soil health and productivity across different cropping systems. Full article
(This article belongs to the Section Social Ecology and Sustainability)
Show Figures

Figure 1

Back to TopTop