Sign in to use this feature.

Years

Between: -

Subjects

remove_circle_outline
remove_circle_outline
remove_circle_outline
remove_circle_outline
remove_circle_outline
remove_circle_outline
remove_circle_outline
remove_circle_outline
remove_circle_outline

Journals

Article Types

Countries / Regions

remove_circle_outline
remove_circle_outline
remove_circle_outline
remove_circle_outline
remove_circle_outline

Search Results (899)

Search Parameters:
Keywords = hydrochemical

Order results
Result details
Results per page
Select all
Export citation of selected articles as:
20 pages, 5427 KB  
Article
Historical Compilation and Hydrochemical Behavior in the Groundwater Flow System of Central Mexico
by Selene Olea-Olea, Aurora Guadalupe Llanos-Solis, Eric Morales-Casique, Priscila Medina-Ortega, Nelly L. Ramírez-Serrato, Daisy Valera-Fernández, Esperanza Torres-Rodríguez, Felipe Armas-Vargas, Lucy Mora-Palomino and Orlando Valdemar Villa-Cadena
Water 2026, 18(2), 171; https://doi.org/10.3390/w18020171 - 8 Jan 2026
Viewed by 106
Abstract
The Cuitzeo Groundwater Flow System, located in central Mexico within a volcanic rock region, encompasses two of the largest lakes in the country: Lake Cuitzeo and Lake Pátzcuaro. These lakes are sustained by both surface water and groundwater discharge, playing a critical role [...] Read more.
The Cuitzeo Groundwater Flow System, located in central Mexico within a volcanic rock region, encompasses two of the largest lakes in the country: Lake Cuitzeo and Lake Pátzcuaro. These lakes are sustained by both surface water and groundwater discharge, playing a critical role in local ecosystems and the surrounding population. Groundwater is particularly important for maintaining the lakes’ existence. However, the behavior of the groundwater flow system in this region has not been previously described. This study compiles historical data from 170 groundwater sites within the system from different years and includes temperature (°C), pH, total dissolved solids (TDS), major ions, and geology in detail. The historical data provide a spatial analysis and initial characterization to study the hydrochemistry of the system, identify recharge and discharge zones, assess water-rock interaction processes, and trace the evolution of groundwater. The results highlight distinct chemical behaviors across the different zones of the study area, with the most notable being ion exchange consistent with the weathering of volcanic silicates and interaction with lacustrine sediments. This study is crucial as it offers valuable insights into the hydrochemistry and water levels of the groundwater flow system and highlights areas where additional data are needed to better understand its dynamics. Full article
Show Figures

Graphical abstract

22 pages, 5580 KB  
Article
Hydrochemical Resilience of Mountain Forest Catchments to Bark Beetle Disturbance: A Central European Study
by Kateřina Neudertová Hellebrandová, Věra Fadrhonsová and Vít Šrámek
Forests 2026, 17(1), 78; https://doi.org/10.3390/f17010078 - 7 Jan 2026
Viewed by 210
Abstract
Over the last decade, bark beetle outbreaks have significantly impacted forests in Central Europe, causing extensive loss of forest cover. We evaluated the impact of partial deforestation in three mountain forest catchments in the Jeseníky Mountains, comparing them with the unaffected Červík catchment [...] Read more.
Over the last decade, bark beetle outbreaks have significantly impacted forests in Central Europe, causing extensive loss of forest cover. We evaluated the impact of partial deforestation in three mountain forest catchments in the Jeseníky Mountains, comparing them with the unaffected Červík catchment (Beskydy Mountains) and the severely affected Pekelský stream catchment (Czech-Moravian Highlands). Atmospheric deposition in the catchments was similar, with total element input driven primarily by precipitation volumes rather than ion concentrations. We did not observe the hypothesized increase in DOC and nitrogen export, although nitrate outflow was slightly higher than atmospheric input in two cases. Significant export of calcium, magnesium, and bicarbonates was driven mainly by the geology of the individual catchments. The limited impact of bark beetle outbreaks on DOC dynamics can be attributed to the relatively low proportion of clear-cut areas and the rapid development of ground vegetation on impacted sites. Full article
(This article belongs to the Section Forest Ecology and Management)
Show Figures

Figure 1

40 pages, 318496 KB  
Article
Hydrogeochemical Characteristics and Genetic Mechanism of the Shiqian Hot Spring Group in Southwestern China: A Study Based on Water–Rock Interaction
by Jianlong Zhou, Jianyou Chen, Yupei Hao, Zhengshan Chen, Mingzhong Zhou, Chao Li, Pengchi Yang and Yu Ao
Minerals 2026, 16(1), 61; https://doi.org/10.3390/min16010061 - 7 Jan 2026
Viewed by 90
Abstract
Shiqian County, located within a key geothermal fluids belt in Guizhou Province, China, has abundant underground hot water resources. Therefore, elucidating the hydrogeochemical characteristics and formation mechanisms of thermal mineral water in this area is essential for evaluating and sustainably utilizing regional geothermal [...] Read more.
Shiqian County, located within a key geothermal fluids belt in Guizhou Province, China, has abundant underground hot water resources. Therefore, elucidating the hydrogeochemical characteristics and formation mechanisms of thermal mineral water in this area is essential for evaluating and sustainably utilizing regional geothermal fluids. This study focuses on the Shiqian Hot Spring Group and employs integrated analytical techniques, including rock geochemistry, hydrogeochemistry, isotope hydrology, digital elevation model (DEM) data analysis, remote sensing interpretation, geological surveys, mineral saturation index calculations, and PHREEQC-based inverse hydrogeochemical modeling, to elucidate its hydrogeochemical characteristics and formation mechanisms. The results show that strontium concentrations range from 0.06 to 7.17 mg/L (average 1.65 mg/L) and metasilicic acid concentrations range from 19.46 to 65.51 mg/L (average 33.64 mg/L). Most samples meet the national standards for natural mineral water and are classified as Sr-metasilicic acid type. Isotope analysis indicates that the geothermal water is recharged by meteoric precipitation at elevations between 911 m and 1833 m, mainly from carbonate outcrops and fracture zones on the southwestern slope of Fanjingshan, and discharges south of Shiqian County. The dominant hydrochemical types are HCO3·SO4-Ca·Mg and HCO3-Ca·Mg. Strontium is primarily derived from carbonate rocks and celestite-bearing evaporites, whereas metasilicic acid mainly originates from quartz dissolution along the upstream groundwater flow path. PHREEQC-based inverse modeling indicates that, during localized thermal mineral water runoff in the middle-lower reaches or discharge areas, calcite dissolves while dolomite and quartz tend to precipitate, reflecting calcite dissolution-dominated water–rock interactions and near-saturation conditions for some minerals at late runoff stages. Full article
Show Figures

Figure 1

26 pages, 2999 KB  
Article
A Novel Geophysical Approach for 2D/3D Fresh-Saline Water Assessment Toward Sustainable Groundwater Monitoring
by Fei Yang, Muhammad Hasan and Yanjun Shang
Sustainability 2026, 18(1), 517; https://doi.org/10.3390/su18010517 - 4 Jan 2026
Viewed by 144
Abstract
Saline water intrusion poses a major threat to groundwater security in arid and semi-arid regions, reducing freshwater availability and challenging sustainable water resource management. Accurate delineation of the fresh-saline water interface is therefore essential; however, conventional hydrochemical and laboratory-based assessments remain costly, invasive, [...] Read more.
Saline water intrusion poses a major threat to groundwater security in arid and semi-arid regions, reducing freshwater availability and challenging sustainable water resource management. Accurate delineation of the fresh-saline water interface is therefore essential; however, conventional hydrochemical and laboratory-based assessments remain costly, invasive, and spatially limited. Resistivity methods have long been used to infer subsurface salinity, as low resistivity typically reflects clay-rich saline water and higher resistivity reflects freshwater-bearing sand or gravel. Yet, resistivity values for similar lithologies frequently overlap, causing ambiguity in distinguishing fresh and saline aquifers. To overcome this limitation, Dar–Zarrouk (D–Z) parameters are often applied to enhance hydrogeophysical discrimination, but previous studies have relied exclusively on one-dimensional (1D) D–Z derivations using vertical electrical sounding (VES), which cannot resolve the lateral complexity of alluvial aquifers. This study presents the first application of electrical resistivity tomography (ERT) to derive two- and three-dimensional D–Z parameters for detailed mapping of the fresh-saline water interface in the alluvial aquifers of Punjab, Pakistan. ERT provides non-invasive, continuous, and high-resolution subsurface imaging, enabling volumetric assessment of aquifer electrical properties and salinity structure. The resulting 2D/3D models reveal the geometry, depth, and spatial continuity of salinity transitions with far greater clarity than VES-based or purely hydrochemical methods. Physicochemical analyses from boreholes along the ERT profiles independently verify the geophysical interpretations. The findings demonstrate that ERT-derived 2D/3D D–Z modeling offers a cost-effective, scalable, and significantly more accurate framework for assessing fresh-saline water boundaries. This approach provides a transformative pathway for sustainable groundwater monitoring, improved well siting, and long-term aquifer protection in salinity-stressed alluvial regions. Full article
Show Figures

Figure 1

11 pages, 435 KB  
Article
Feeding Time Optimization Enhances Aquaponic Performance: Growth, Water Quality, and Nutrient Removal in Systems Integrating Cyprinus carpio and Lactuca sativa
by Ivaylo Sirakov, Snezhana Georgieva, Stefka Stoyanova, Katya Velichkova and Desislava Slavcheva-Sirakova
Agriculture 2026, 16(1), 122; https://doi.org/10.3390/agriculture16010122 - 3 Jan 2026
Viewed by 177
Abstract
Feeding time is a critical but understudied factor influencing nutrient dynamics and overall productivity in aquaponic systems. This study examined the effects of two feeding schedules on growth performance of common carp (Cyprinus carpio L.), hydrochemical parameters, and the growth of lettuce [...] Read more.
Feeding time is a critical but understudied factor influencing nutrient dynamics and overall productivity in aquaponic systems. This study examined the effects of two feeding schedules on growth performance of common carp (Cyprinus carpio L.), hydrochemical parameters, and the growth of lettuce (Lactuca sativa) cultivated in an integrated aquaponic system. Two 60-day trials were conducted over consecutive years under identical greenhouse conditions. Carp were fed either in the morning and early afternoon (T1: 08:00, 11:00, 14:00) or later in the day (T2: 11:00, 14:00, 17:00). Hydrochemical indicators, including dissolved oxygen, turbidity, ammonium ions (NH4+), and nitrates (NO3), were continuously monitored through online measurement. Carp reared under T2 displayed significantly higher specific growth rate, final body mass, and improved feed conversion ratio (p < 0.05). The T2 variant also showed higher dissolved oxygen levels and lower turbidity compared to T1, indicating enhanced system stability. Although NH4+ concentrations were higher and NO3 levels lower in T2, these differences did not compromise water quality due to efficient plant nutrient uptake. Lettuce grown under T2 exhibited greater stem and root development and higher biomass accumulation, suggesting improved nitrogen utilization linked to the NH4+/NO3 ratio and enhanced root oxygenation. Overall, aligning feeding time with fish circadian rhythms improved fish performance, plant growth, and nutrient cycling efficiency. These findings demonstrate that feeding schedule is a key management factor capable of enhancing sustainability and productivity in aquaponic systems. Full article
(This article belongs to the Section Agricultural Systems and Management)
Show Figures

Figure 1

16 pages, 7382 KB  
Article
Divergent Responses of Inorganic and Organic Carbon Sinks to Climate Change over the Recent Decades in Lake Yamzhog Yumco, Tibetan Plateau
by Han Zhou, He Chang, Ping Pan, Wu Han, Yinxian Song, Weiwei Sun, Ruyan Li, Jibang Chen, Shuai Li and Xianqiang Meng
Minerals 2026, 16(1), 55; https://doi.org/10.3390/min16010055 - 2 Jan 2026
Viewed by 327
Abstract
Lake sediments on the Tibetan Plateau serve as crucial carbon sinks in the regional carbon cycles. In recent decades, climate change has triggered significant hydrological changes in many lakes across this region, potentially impacting their carbon-sink functions. Previous studies have predominantly focused on [...] Read more.
Lake sediments on the Tibetan Plateau serve as crucial carbon sinks in the regional carbon cycles. In recent decades, climate change has triggered significant hydrological changes in many lakes across this region, potentially impacting their carbon-sink functions. Previous studies have predominantly focused on the dynamics of organic carbon burial, largely overlooking the contribution of inorganic carbon sinks, and particularly lacking systematic investigation into the carbon burial processes in lakes experiencing water level decline. Therefore, this study examines a sediment core from Lake Yamzhog Yumco, a lake in the southern Tibetan Plateau with a gradually declining water level. The mineralogical and geochemical analyses of both lake and catchment sediments show that the inorganic carbon (carbonates are dominated by aragonite) and organic carbon are primarily authigenic origin. Over the past four decades, the inorganic carbon burial rate (ICBR) in Lake Yamzhog Yumco has been primarily controlled by water level fluctuations and is closely related to hydrochemical processes regulated by regional climate change. In contrast, the increase in the organic carbon burial rate (OCBR) has been co-influenced by both water level changes and regional temperature. During this period, the ICBR reached as high as 186 g m−2 yr−1, approximately five times the OCBR. This demonstrates that in lakes in semi-arid regions, the sink potential of inorganic carbon significantly exceeds that of organic carbon, highlighting the necessity of incorporating inorganic carbon burial into carbon-sink assessments. This study provides novel perspectives for a deeper understanding of the driving mechanisms behind carbon burial in Tibetan Plateau lakes and offers a scientific basis for accurately assessing and predicting regional carbon-sink potential. Full article
(This article belongs to the Special Issue Advances in Mineral-Based Carbon Capture and Storage)
Show Figures

Figure 1

18 pages, 2442 KB  
Article
Monitoring Genetic Diversity in Lithuanian Riverine Populations of Stuckenia pectinata Using SSR and ISSR Markers
by Jolanta Patamsytė, Jurgita Butkuvienė, Donatas Naugžemys and Donatas Žvingila
Diversity 2026, 18(1), 26; https://doi.org/10.3390/d18010026 - 1 Jan 2026
Viewed by 157
Abstract
Sago pondweed (Stuckenia pectinata (L.) Börner) is a genetically and ecologically diverse submerged macrophyte, notable for its versatile reproductive characteristics, with a broad global distribution, excluding only the Arctic and Antarctic regions. This cosmopolitan species remains underexplored genetically in Lithuania compared to [...] Read more.
Sago pondweed (Stuckenia pectinata (L.) Börner) is a genetically and ecologically diverse submerged macrophyte, notable for its versatile reproductive characteristics, with a broad global distribution, excluding only the Arctic and Antarctic regions. This cosmopolitan species remains underexplored genetically in Lithuania compared to some other European regions. The aim of this study was to investigate the state and distribution of genetic diversity across Lithuanian river populations. We analyzed genetic variation in ten riverine populations using both simple sequence repeats (SSRs) and intersimple sequence repeats (ISSR). Genetic distances between genotypes and populations, as revealed by SSR markers, correlated with those determined using ISSR markers, confirming consistency across the two marker systems. STRUCTURE analysis revealed the presence of two distinct genotype pools. Our study demonstrated that the majority of genetic variation resides within populations, with an FST value of 0.212 (SSR) and a ΦPT value of 0.352 (ISSR). These findings suggest high genetic differentiation among populations. The absence of a relationship between genetic diversity and hydrochemical or hydromorphological parameters at plant collection sites suggests that the population structure of this species is shaped primarily by evolutionary and/or demographic mechanisms, rather than by local environmental hydrochemical conditions. Overall, this study revealed high within-population genetic diversity and underlying genetic structure in S. pectinata populations across Lithuanian rivers. Full article
(This article belongs to the Special Issue Population Genetics of Animals and Plants—2nd Edition)
Show Figures

Figure 1

16 pages, 2459 KB  
Article
Hydrochemical Evolution and Pollution Source Apportionment of Groundwater in Arid Regions: A Case Study of the Datong River Basin, Northwest China
by Tao Liu, Jian Kang, Youwei Yu, Yue Qi and Zizhao Zhang
Water 2026, 18(1), 105; https://doi.org/10.3390/w18010105 - 1 Jan 2026
Viewed by 198
Abstract
Understanding hydrochemical evolution and apportioning pollution sources are prerequisites for effective groundwater protection at the regional scale; nevertheless, the governing processes and anthropogenic drivers in arid regions remain poorly constrained. Here, we present a comprehensive geochemical survey of the Datong River Basin, a [...] Read more.
Understanding hydrochemical evolution and apportioning pollution sources are prerequisites for effective groundwater protection at the regional scale; nevertheless, the governing processes and anthropogenic drivers in arid regions remain poorly constrained. Here, we present a comprehensive geochemical survey of the Datong River Basin, a representative arid catchment in north-western China. Thirty-seven groundwater samples were analyzed with hydrochemical methods and Positive-Matrix Factorization (PMF) to delineate natural controls and contaminant sources. Results showed that the aquifer is dominated by HCO3–Ca(Mg) water controlled predominantly by silicate and carbonate weathering, modified locally by evapo-concentration and human activities. Water-quality indices classify 70.3% of the samples as excellent, but spatially restricted degradation is evident. PMF resolved three independent sources: a natural end-member enriched in Mn, Na+ and Cl; a mixed source reflecting domestic wastewater, agricultural fertilizers and rock weathering; and an industrial source dominated by Fe. The mixed source contributes most major ions and chemical oxygen demand (COD), whereas the industrial source accounts for 75.7% of total Fe. These findings provide a robust scientific basis for groundwater management and pollution mitigation in arid regions under similar hydrogeological settings. Full article
Show Figures

Figure 1

18 pages, 10160 KB  
Article
Hydrogeochemistry of Thermal Water from Lindian Geothermal Field, Songliao Basin, NE China: Implications for Water–Rock Interactions
by Yujuan Su, Fengtian Yang, Xuejun Zhou, Junling Dong, Ling Liu, Yongfa Ma, Minghua Chen and Chaoyu Zhang
Water 2026, 18(1), 90; https://doi.org/10.3390/w18010090 - 30 Dec 2025
Viewed by 347
Abstract
To explore the hydrogeochemical characteristics and dominant water–rock interaction processes of thermal water in Lindian geothermal field (northern Songliao Basin, NE China), this study analyzed 16 thermal water samples (1900–3000 m depth) and 3 shallow groundwater samples using hydrochemical indices, water isotopes, and [...] Read more.
To explore the hydrogeochemical characteristics and dominant water–rock interaction processes of thermal water in Lindian geothermal field (northern Songliao Basin, NE China), this study analyzed 16 thermal water samples (1900–3000 m depth) and 3 shallow groundwater samples using hydrochemical indices, water isotopes, and statistical methods (Pearson Correlation and Principle Component Analysis). Results show that the thermal water originates from precipitation and exhibits an “oxygen shift” indicating a long-time water–rock interaction under low to medium reservoir temperature. The thermal water is alkaline with a high TDS and dominated by Na+, Cl, and HCO3, and its hydrochemical facies changes from HCO3·Cl–Na to Cl·HCO3–Na and Cl–Na along the groundwater flow path. Leaching of halite, silicates, and carbonates is the primary process controlling solute accumulation. The geothermal reservoir is in a relatively closed, strong reducing environment, and thermal water reached water–rock equilibrium with respect to Na-, K-, Ca-, and Mg-alumino silicates. Principle Component Analysis identifies three key controlling factors, including mineral leaching, organic matter degradation, and sulfate reduction/mineral precipitation. This study establishes a hydrogeochemical baseline for the initial exploitation stage, providing a scientific basis for predicting long-term water quality changes and formulating differentiated sustainable development strategies for the Lindian geothermal field. Full article
(This article belongs to the Special Issue Groundwater Environment Evolution and Early Risk-Warning)
Show Figures

Figure 1

27 pages, 6323 KB  
Article
Multivariate Analysis and Hydrogeochemical Evolution of Groundwater in a Geologically Controlled Aquifer System: A Case Study in North Central Province, Sri Lanka
by Uthpala Hansani, Sapumal Asiri Witharana, Prasanna Lakshitha Dharmapriya, Pushpakanthi Wijekoon, Zhiguo Wu, Xing Chen, Shameen Jinadasa and Rohan Weerasooriya
Water 2026, 18(1), 89; https://doi.org/10.3390/w18010089 - 30 Dec 2025
Viewed by 332
Abstract
This study investigates the coupled relationship between groundwater chemistry, lithology, and structural features in the dry zone of Netiyagama, Sri Lanka, within a fractured crystalline basement. Groundwater chemistry fundamentally reflects geological conditions determined by rock-water interactions, we hypothesized that the specific spatial patterns [...] Read more.
This study investigates the coupled relationship between groundwater chemistry, lithology, and structural features in the dry zone of Netiyagama, Sri Lanka, within a fractured crystalline basement. Groundwater chemistry fundamentally reflects geological conditions determined by rock-water interactions, we hypothesized that the specific spatial patterns of groundwater chemistry in heterogeneous fractured systems are distinctly controlled by integrated effects of lithological variations, structurally driven flow pathways, aquifer stratification, and geochemical processes, including cation exchange and mineral-specific weathering. To test this, we integrated hydrogeochemical signatures with mapped hydrogeological data and applied multi-stage multivariate analyses, including Piper diagrams, Hierarchical Cluster Analysis (HCA), and Principal Component Analysis (PCA), and various bivariate plots. Piper diagrams identified five distinct hydrochemical facies, but these did not correlate directly with specific rock types, highlighting the limitations of traditional methods in heterogeneous settings. Employing a multi-stage multivariate analysis, we identified seven clusters (C1–C7) that exhibited unique spatial distributions across different rock types and provided a more refined classification of groundwater chemistries. These clusters align with a three-unit aquifer framework (shallow weathered zone, intermittent fracture zone at ~80–100 m MSL, and deeper persistent fractures) controlled by a regional syncline and lineaments. Further analysis through bivariate diagrams revealed insights into dominant weathering processes, cation-exchange mechanisms, and groundwater residence times across the identified clusters. Recharge-type clusters (C1, C2, C5) reflect plagioclase-dominated weathering and short flow paths; transitional clusters (C3, C7) show mixed sources and increasing exchange; evolved clusters (C4, C6) exhibit higher mineralization and longer residence. Overall, the integrated workflow (facies plots + PCA/HCA + bivariate/process diagrams) constrains aquifer dynamics, recharge pathways, and flow-path evolution without additional drilling, and provides practical guidance for well siting and treatment. Full article
Show Figures

Figure 1

18 pages, 2374 KB  
Article
Assessing Groundwater Sustainability in Siwa Oasis, Egypt: Evaluating Physico-Chemical and Hydrochemical Suitability for Human and Agricultural Use
by Mohamed H. H. Ali, Mohamad S. Abdelkarim, Khadija M. Attwa and Afify D. G. Al-Afify
Sustainability 2026, 18(1), 357; https://doi.org/10.3390/su18010357 - 30 Dec 2025
Viewed by 201
Abstract
Groundwater wells are essential for sustaining biodiversity in arid and hyper-arid regions. Wells are easily affected by external disturbances, particularly in hyper-arid regions like the Siwa Oasis, where the environmental variables influencing groundwater communities remain understudied. This study assessed the quality of several [...] Read more.
Groundwater wells are essential for sustaining biodiversity in arid and hyper-arid regions. Wells are easily affected by external disturbances, particularly in hyper-arid regions like the Siwa Oasis, where the environmental variables influencing groundwater communities remain understudied. This study assessed the quality of several groundwater wells and agricultural drains based on the physical, chemical and hydrochemical parameters. The results classified the wells and drains into three distinct groups: (1) highly mineralized, carbonated systems with high concentrations of potassium, calcium, sodium, magnesium, chloride, and sulfate, and an average electrical conductivity (EC) of 12.01 mS/cm; (2) low-mineralized wells with an average EC of 2.15 mS/cm; and (3) a moderate one averaging 7.77 mS/cm. The major ions were dominated by Na+ (59.3%) and Mg2+ (26.8%) for cations, and Cl (79.1%) and SO42− (13.4%) for anions in meq/L. Collectively, the evaluation based on total dissolved solids (TDS), sodium percentage (Na%), sodium adsorption ratio (SAR), and the US Salinity Laboratory (USSL) diagram revealed that about 80% of the analyzed wells are unsuitable for irrigation, with only three wells (W03, W12, and W16) deemed suitable for drinking. These findings confirmed a critical vulnerability of the oasis ecosystem. The uncontrolled and extensive use of finite, non-renewable aquifers for agricultural and other purposes is directly exacerbating water salinization and soil sodicity, posing a threat to the future sustainability of the oasis’s water resources. Full article
Show Figures

Figure 1

27 pages, 5773 KB  
Article
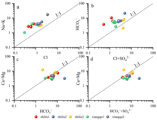
Major Ion Characteristics Reveal How Basin Hydrogeology and Groundwater Evolution Control the Formation of Saline Water Types in Nie’er Co Terminal Lake
by Jiahuan Han, Mianping Zheng, Zhen Nie and Kai Wang
Minerals 2026, 16(1), 34; https://doi.org/10.3390/min16010034 - 29 Dec 2025
Viewed by 167
Abstract
Geothermal water from different orogenic belts, surrounding rock weathering, and salt-forming elements sourced from surface basins jointly shape the hydrochemical characteristics, evaporation evolution sequences, and prospects for subsequent development and utilization of terminal salt lakes. In view of the lack of research on [...] Read more.
Geothermal water from different orogenic belts, surrounding rock weathering, and salt-forming elements sourced from surface basins jointly shape the hydrochemical characteristics, evaporation evolution sequences, and prospects for subsequent development and utilization of terminal salt lakes. In view of the lack of research on the metallogenic model of a single salt lake in the Qinghai–Tibet Plateau, this paper selects the Nie’er Co Salt Lake, a terminal lake in Northern Tibet, and systematically samples the water, river sediments, and surrounding rocks of the upper reaches of the recharge river, the Xiangqu. The Piper, Gibbs, and Durov, combined with ion ratio analysis, correlation analysis, PHREEQC, quantitative calculations of surrounding rock weathering and tributary contributions to salt-forming elements, were applied to comprehensively characterize groundwater hydrochemistry and surface water system runoff, and clarify the evolution of salt-forming elements in the terminal lake. The driving mechanism of surface runoff and surrounding rock weathering on ion enrichment in the terminal lake was revealed. The Nie’er Co Salt Lake in Tibet evolves from Ca/Na-HCO3 springs to Na-SO42− via dilution, rock leaching, and evaporation. Tributaries contribute 39.6%, 8.2%, and 52.3% of the major ions. Silicate weathering dominates (75%–80%), shifting to evaporite–carbonate inputs. The overall performance is dominated by silicate weathering. The contribution rate of silicate weathering decreases, and the trend of evaporite–carbonate weathering increases. The evolution of surface runoff can be divided into a tributary ion concentration growth section, a mixed ring section (evaporation concentration–TDS increase), and a terminal lake sedimentary section (enrichment evaporation to form the salt lake), revealing that multi-branch superposition and surrounding rock weathering synergistically affect the formation of salt lake hydro-chemical types. Full article
(This article belongs to the Section Mineral Geochemistry and Geochronology)
Show Figures

Figure 1

28 pages, 19879 KB  
Article
Geochemical Genesis and Acid Production Potential Assessment of Acid Mine Drainage in Abandoned Mine Sites: An Integrated Study Based on Geochemical Static Tests and Mineralogical Analysis
by Xiaohui Zhang, Qiang Wu, Di Zhao, Zhonghong Du, Wei Zhang, Qingjun Zhu and Fawang Zhang
Appl. Sci. 2026, 16(1), 240; https://doi.org/10.3390/app16010240 - 25 Dec 2025
Viewed by 236
Abstract
The oxidation of sulfide minerals in the presence of oxygen and water, facilitated by microbes, is the principal cause of acid mine drainage (AMD). Static testing for the quantitative assessment of the acidic potential and acid-neutralizing capacity of mineral samples has been thoroughly [...] Read more.
The oxidation of sulfide minerals in the presence of oxygen and water, facilitated by microbes, is the principal cause of acid mine drainage (AMD). Static testing for the quantitative assessment of the acidic potential and acid-neutralizing capacity of mineral samples has been thoroughly investigated; the extent of its accuracy remains uncertain. This study involved 329 ore samples from 34 drill holes from abandoned mining sites and conducted laboratory static tests and mineralogical analysis. Static testing and mineralogical characterization identified a significant positive correlation between total sulfur and net acid generation (NAG), confirming that sulfide oxidation is the dominant mechanism for acid production. Furthermore, the strong positive correlation between calcium content and acid-neutralizing capacity (ANC) demonstrates that the buffering capacity stems mainly from carbonate dissolution, with negligible contribution from silicate weathering. The effectiveness of a detailed acid-generating potential discrimination chart was also assessed. Through the examination of acid drainage samples and groundwater from the research area, with their stable isotope and Deuterium excess (D-excess) properties, hydrochemical classifications were established, and sources of acid drainage were evaluated. This comprehensive method pinpoints the main “acid-generating sources” in the abandoned mining sites, elucidating the geochemical origins of acid drainage in the research area. It offers a case study and analytical framework for employing static test findings from abandoned mining sites to evaluate acid-generating potential in those areas. Full article
(This article belongs to the Section Environmental Sciences)
Show Figures

Figure 1

20 pages, 9998 KB  
Article
Groundwater Driving Factors Identification and Its Associated Human Health Risk Assessment in a Metropolitan City of Southwest China
by Xiaoyan Zhao, Huan Luo, Rongwen Yao, Zhan Xie, Si Chen, Lizhou Zhang, Yunhui Zhang, Yangshuang Wang and Yang Liu
Toxics 2026, 14(1), 19; https://doi.org/10.3390/toxics14010019 - 24 Dec 2025
Viewed by 260
Abstract
Health risks associated with groundwater deterioration have become increasingly prominent worldwide. Accurate assessment of human health risks associated with groundwater is a critical component of groundwater development and utilization, particularly in large metropolitan areas with high water resource demands. In our study, 37 [...] Read more.
Health risks associated with groundwater deterioration have become increasingly prominent worldwide. Accurate assessment of human health risks associated with groundwater is a critical component of groundwater development and utilization, particularly in large metropolitan areas with high water resource demands. In our study, 37 groundwater samples were collected from the main urban areas of Chongqing, the largest city in southwest China, to identify the groundwater driving factors and their associated human health risk. The primary hydrochemical facies in the study area is Ca–HCO3. Groundwater hydrochemistry is primarily controlled by silicate weathering, carbonate (dolomite and calcite) dissolution, and anthropogenic activities such as industrial and agricultural activities. The hazard index (HI) caused by NO3 and NO2 was higher than the safety standard and exhibited potentially noncarcinogenic risk for children in the north and the west of the study area. The KDE-based Monte Carlo simulation method showed a high reliability in human health risk assessment, with all mean values of the original dataset falling within their corresponding 95% confidence intervals (CIs) of generated data. The achievement can provide valuable insights for groundwater risk mitigation and resource management in Chongqing’s main urban areas, as well as in other metropolitan regions worldwide. Full article
(This article belongs to the Topic Water-Soil Pollution Control and Environmental Management)
Show Figures

Figure 1

19 pages, 7458 KB  
Article
Transient Pressure Build-Up in Saturated Column System from Buffering-Induced CO2 Generation: Implications for Soil Liquefaction in Lignite Overburden Dumps
by Donata N. W. Wardani, Nils Hoth, Sarah Amos, Kofi Moro, Johanes Maria Vianney and Carsten Drebenstedt
Geotechnics 2026, 6(1), 1; https://doi.org/10.3390/geotechnics6010001 - 24 Dec 2025
Viewed by 138
Abstract
Spontaneous liquefaction in the Lusatian lignite dump sites has raised significant geotechnical and environmental concerns. While mechanical influences have been extensively studied, hydrochemical investigations suggest an inner initial that is highly correlated to CO2 generation, attributed to buffering reactions, which lays the [...] Read more.
Spontaneous liquefaction in the Lusatian lignite dump sites has raised significant geotechnical and environmental concerns. While mechanical influences have been extensively studied, hydrochemical investigations suggest an inner initial that is highly correlated to CO2 generation, attributed to buffering reactions, which lays the foundation for this study. This study aims to understand the process behind and to quantify the transient evolution of excess pore-pressure induced by CO2 accumulation, both dissolved and as free gas, in saturated medium using a series of column experiments. Excess pore-pressures up to 7.7 kPa were recorded following a period of buffering reaction, with discharged gas confirmed as CO2. The results demonstrate that the buffering process strongly influences the elevated pressure, while, in turn, elevated pressures affect the chemical conditions within the column. Secondary mineral precipitation, as one of the effects, was observed to reduce buffering reactivity and modify pore structure, thereby altering pore-pressure response. These findings highlight hydrochemical feedback as critical internal triggers and amplifiers in liquefaction events, complementing mechanical explanations and advancing understanding of coupled hydro-chemo-mechanical processes in dump site stability. Full article
Show Figures

Figure 1

Back to TopTop