Sign in to use this feature.

Years

Between: -

Subjects

remove_circle_outline
remove_circle_outline
remove_circle_outline
remove_circle_outline
remove_circle_outline
remove_circle_outline
remove_circle_outline
remove_circle_outline
remove_circle_outline

Journals

remove_circle_outline
remove_circle_outline
remove_circle_outline
remove_circle_outline
remove_circle_outline
remove_circle_outline
remove_circle_outline
remove_circle_outline
remove_circle_outline
remove_circle_outline
remove_circle_outline
remove_circle_outline

Article Types

Countries / Regions

remove_circle_outline
remove_circle_outline
remove_circle_outline

Search Results (503)

Search Parameters:
Keywords = hydration strategies

Order results
Result details
Results per page
Select all
Export citation of selected articles as:
36 pages, 13927 KB  
Review
From Conventional to Next-Generation Strategies: Recent Advances in Polymeric Micelle Preparation for Drug Delivery
by Suhyeon Cho, Morteza Rasoulianboroujeni, Rae Hyung Kang and Glen S. Kwon
Pharmaceutics 2025, 17(10), 1360; https://doi.org/10.3390/pharmaceutics17101360 - 21 Oct 2025
Viewed by 318
Abstract
Polymeric micelles are promising nanocarriers for hydrophobic drug delivery, offering enhanced solubility, circulation time, and targeted release. This review presents a comprehensive evaluation of micelle preparation strategies, spanning conventional methods such as direct dissolution, dialysis, and thin-film hydration to emerging techniques including microfluidics, [...] Read more.
Polymeric micelles are promising nanocarriers for hydrophobic drug delivery, offering enhanced solubility, circulation time, and targeted release. This review presents a comprehensive evaluation of micelle preparation strategies, spanning conventional methods such as direct dissolution, dialysis, and thin-film hydration to emerging techniques including microfluidics, supercritical fluids, stimuli-responsive systems, and PEG-assisted assembly. Each method is compared in terms of scalability, reproducibility, solvent use, and regulatory compatibility. Among them, PEG-assisted methods show particular promise due to their simplicity and industrial readiness. We also explore the impact of fabrication strategy on drug loading, stability, and therapeutic efficacy across applications in cancer, infection, and inflammation. Finally, the review discusses key challenges in storage, manufacturing, and regulation, and highlights potential solutions through Quality-by-Design and scalable process integration. These insights provide guidance for the rational development of clinically translatable micelle-based drug delivery systems. Full article
(This article belongs to the Section Drug Delivery and Controlled Release)
Show Figures

Figure 1

19 pages, 2664 KB  
Review
Global Research Trends in Sports Nutrition and Football over the Last 20 Years (2004–2024)
by David Michel de Oliveira, Ana Karolina Assis Carvalho Silva, Anderson Geremias Macedo, Mayara Bocchi Fernandes and Eduardo Vignoto Fernandes
Sports 2025, 13(10), 365; https://doi.org/10.3390/sports13100365 - 16 Oct 2025
Viewed by 339
Abstract
Background: We aimed to map the scientific production on sports nutrition applied to soccer. Methods: A scientometric analysis was performed using articles published between 2004 and 2024, retrieved from Web of Science, PubMed, and Scopus. The search yielded 2636 documents, and 526 original [...] Read more.
Background: We aimed to map the scientific production on sports nutrition applied to soccer. Methods: A scientometric analysis was performed using articles published between 2004 and 2024, retrieved from Web of Science, PubMed, and Scopus. The search yielded 2636 documents, and 526 original articles were included after removing reviews, meta-analyses, duplicates, and studies outside the scope. Data were analyzed using Bibliometrix version 5.0.1; Massimo Aria & Corrado Cuccurullo; Naples; Italy. and VOSviewer version 1.6.20; Centre for Science and Technology Studies (CWTS), Leiden University; Leiden; The Netherlands software. Results: There was a 1.450% increase in publications over the period, with a peak in 2024. Nutrients was the leading publication source, while Morton J. and Maughan R. were the most productive authors. Liverpool John Moores University stood out as a collaboration hub. The United Kingdom 371 took the lead in both publication volume and citations. Early research trends focused on hydration and dietary optimization, whereas recent studies emphasized low energy availability, polyphenols, anthropometry, and recovery strategies. The conceptual structure focused on terms such as sports, nutrition, energy intake, food intake, performance, soccer, and training load. Peripheral terms included fluid balance and sweat rate. The co-occurrence analysis revealed underexplored topics such as oxidative stress, lipid peroxidation, beta-alanine supplementation, and antioxidant markers. Conclusions: Advancing these research areas is essential to consolidating nutritional strategies with direct effects on performance and health in soccer players. Full article
(This article belongs to the Special Issue Current Research in Applied Sports Nutrition)
Show Figures

Figure 1

28 pages, 2435 KB  
Review
Traditional and Advanced Curing Strategies for Concrete Materials: A Systematic Review of Mechanical Performance, Sustainability, and Future Directions
by Robert Haigh and Omid Ameri Sianaki
Appl. Sci. 2025, 15(20), 11055; https://doi.org/10.3390/app152011055 - 15 Oct 2025
Viewed by 393
Abstract
Curing plays a fundamental role in determining the mechanical performance, durability, and sustainability of concrete structures. Traditional curing practices, such as water and air curing, are widely used but often limited by long durations, high water demand, and reduced effectiveness under extreme climatic [...] Read more.
Curing plays a fundamental role in determining the mechanical performance, durability, and sustainability of concrete structures. Traditional curing practices, such as water and air curing, are widely used but often limited by long durations, high water demand, and reduced effectiveness under extreme climatic conditions. In response, advanced curing methods such as steam, microwave, electric, autoclave, and accelerated carbonation have been developed to accelerate hydration, refine pore structures, and enhance durability. This review critically examines the performance of both conventional and advanced curing strategies across a range of concrete systems. Findings show that microwave curing achieves up to 85–95% of 28-day wet-cured strength within 24 h, whilst autoclave curing enhances early strength by 40–60%. Electric curing reduces energy demand by approximately 40% compared to steam curing, and carbonation curing lowers carbon dioxide emissions by 30–50% through carbon sequestration. While steam and autoclave curing provide rapid early strength, they may compromise long-term durability through microcracking and increased porosity. No single method was identified as universally optimal; the effectiveness depends on the mix design, application, and environmental conditions. The review highlights future opportunities in smart curing systems, integrating Internet of Things (IoT), sensor technologies, and AI-driven predictive control to enable real-time optimisation of curing conditions. Such innovations represent a critical pathway for improving concrete performance while addressing sustainability targets in the building and construction industry. Full article
(This article belongs to the Special Issue Sustainable Materials and Innovative Solutions for Green Construction)
Show Figures

Figure 1

18 pages, 1382 KB  
Review
Microbiome–Aging–Wrinkles Axis of Skin: Molecular Insights and Microbial Interventions
by Varun Challa, Santosh Kumar Prajapati, Surabhi Gangani, Dhananjay Yadav, Lalitha Lekkala, Shalini Jain and Hariom Yadav
Int. J. Mol. Sci. 2025, 26(20), 10022; https://doi.org/10.3390/ijms262010022 - 15 Oct 2025
Viewed by 354
Abstract
Skin aging is a complex biological process influenced by both intrinsic factors such as hormonal changes, genetic programming, and immunosenescence and extrinsic stressors including ultraviolet (UV) radiation (particularly UV-A and UV-B), pollution, and lifestyle habits. One of the most prominent manifestations of skin [...] Read more.
Skin aging is a complex biological process influenced by both intrinsic factors such as hormonal changes, genetic programming, and immunosenescence and extrinsic stressors including ultraviolet (UV) radiation (particularly UV-A and UV-B), pollution, and lifestyle habits. One of the most prominent manifestations of skin aging is wrinkle formation, which arises from the progressive degradation of key extracellular matrix (ECM) components like collagen and elastin. Emerging evidence highlights the skin microbiome as a critical, yet underappreciated, modulator of these structural changes. This review summarizes current understanding of how aging alters skin structure and microbial composition, and how these changes contribute to wrinkle development. Age-associated skin is characterized by reduced hydration, sebum production, and barrier integrity, accompanied by a shift in microbial communities. These microbial shifts promote local inflammation, matrix metalloproteinase (MMP) activation, and oxidative stress, all of which accelerate ECM degradation. We further discuss how commensal microbes and their bioactive products such as probiotics and postbiotics can counteract wrinkle formation. Clinical studies support the efficacy of strains such as Lactobacillus plantarum HY7714 and Bifidobacterium breve in improving skin elasticity and reducing wrinkle depth. Additionally, this review highlights the emerging role of microbiome-based interventions in skincare, including oral supplements, topical formulations, and postbiotic-enriched products. Overall, we emphasized the therapeutic potential of microbiome modulation as a novel strategy for maintaining skin health and preventing wrinkle formation during aging. Full article
(This article belongs to the Special Issue Microbiome Connections in Age-Related Diseases)
Show Figures

Figure 1

20 pages, 8957 KB  
Article
Are Soft Silicone Hydrogel Contact Lenses More Compliant in a Warm, Hydrated Environment?
by Joseph Towler, Wen-Pin Lin, Lo-Yu Wu, Rowan Abass, Richard Wu, Arwa Fathy, Rami Alanazi, Jay Davies and Ahmed Abass
Processes 2025, 13(10), 3290; https://doi.org/10.3390/pr13103290 - 14 Oct 2025
Viewed by 236
Abstract
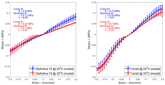
Soft contact lenses are usually characterised at room temperature, yet they function on the eye at body temperature, where their mechanics and optical performance can change. This study investigated whether soft silicone hydrogel lenses become more compliant in a physiological environment. Two silicone [...] Read more.
Soft contact lenses are usually characterised at room temperature, yet they function on the eye at body temperature, where their mechanics and optical performance can change. This study investigated whether soft silicone hydrogel lenses become more compliant in a physiological environment. Two silicone hydrogel materials (Definitive 74 and Unisil) were tested at 24 °C and 35 °C using uniaxial tensile and compression methods, with Ogden hyperelastic models fitted and finite element analysis performed on a realistic eye model. Both materials became more compliant at 35 °C, with Definitive 74 showing a larger modulus decrease (0.40 to 0.32 MPa) than Unisil (0.73 to 0.70 MPa). Finite element simulations indicated that these temperature-driven changes in compliance significantly affected refractive power, especially when the lens base curve exceeded the corneal radius by more than 5%. These findings demonstrate that soft silicone hydrogel lenses are indeed more compliant in a warm, hydrated environment, highlighting the need for physiologically relevant testing to inform design, fitting strategies, comfort, and vision outcomes. Full article
Show Figures

Figure 1

17 pages, 1782 KB  
Article
Mechanical and Environmental Properties of Cemented Paste Backfill Prepared with Bayer Red Mud as an Alkali-Activator Substitute
by Lihui Gao, Haicheng Zhao, Nan Guo, Xinmeng Jiang and Yijing Zhang
Materials 2025, 18(20), 4712; https://doi.org/10.3390/ma18204712 - 14 Oct 2025
Viewed by 338
Abstract
This study developed a sustainable high-strength coal gangue backfill material for underground mining applications using coal gangue, fly ash, and cement as primary raw materials, with red mud (RM) as an alternative alkali activator. The mechanical properties of the backfill material were systematically [...] Read more.
This study developed a sustainable high-strength coal gangue backfill material for underground mining applications using coal gangue, fly ash, and cement as primary raw materials, with red mud (RM) as an alternative alkali activator. The mechanical properties of the backfill material were systematically optimized by adjusting coal gangue particle size and alkali activator dosage. The optimized formulation (coal gangue/fly ash/cement = 5:4:1, 3–6 mm coal gangue particle size, 5% RM, which named BF-6-5RM) achieved superior compressive strengths of 8.23 MPa (7 days) and 10.5 MPa (28 days), significantly exceeding conventional backfill requirements and outperforming a CaO-activated reference system (coal gangue/fly ash/cement = 5:4:1, 3–6 mm coal gangue particle size, 2% CaO, which named BF-6-2CaO). Microstructural and physicochemical analyses revealed that both formulations produced calcium silicate hydrate gels (C-S-H gels) and ettringite (AFt) as key hydration products, though BF-6-5RM exhibited a denser microstructure with well-developed ettringite networks and no detectable portlandite (CH), explaining its enhanced early-age strength. Environmental assessments confirmed effective heavy metal immobilization via encapsulation, adsorption, precipitation and substitution, except for arsenic (As), which exceeded Class III groundwater thresholds (DZ/T 0290-2015) due to elevated raw material content, displaying “surface wash-off, diffusion and depletion” leaching behavior. The findings confirm that red mud-based alkali activation is a viable technology for underground backfilling, provided it is coupled with arsenic control strategies like chemical stabilization or the selection of low-arsenic raw materials. This approach not only enables the resource utilization of hazardous industrial waste but also facilitates the production of backfill materials that combine both mechanical strength and environmental compatibility, thereby delivering dual economic and ecological benefits for sustainable mining practices. Full article
(This article belongs to the Section Construction and Building Materials)
Show Figures

Figure 1

16 pages, 887 KB  
Article
The Emerging Role of Magnesium in Preventing Acute Kidney Disease During Concurrent Chemoradiotherapy in Head and Neck Cancer
by Trevisani Francesco, Angioi Andrea, Floris Matteo, Cardellini Sara, Giordano Leone, Culiersi Alberta, Monti Agnese and Mirabile Aurora
Cancers 2025, 17(20), 3310; https://doi.org/10.3390/cancers17203310 - 14 Oct 2025
Viewed by 483
Abstract
Background: High-dose cisplatin (≥200 mg/m2 cumulative) remains the standard of care in concurrent chemoradiotherapy (CRT) for locally advanced head and neck squamous cell carcinoma (LA-HNSCC). However, its use is frequently limited by nephrotoxicity, including acute kidney disease (AKD). This recently described clinical [...] Read more.
Background: High-dose cisplatin (≥200 mg/m2 cumulative) remains the standard of care in concurrent chemoradiotherapy (CRT) for locally advanced head and neck squamous cell carcinoma (LA-HNSCC). However, its use is frequently limited by nephrotoxicity, including acute kidney disease (AKD). This recently described clinical renal syndrome encompasses functional alterations of the kidney lasting fewer than 3 months post-exposure. Although hydration protocols and antiemetic strategies are routinely applied to avoid reduction in oral liquid intake and to prevent dehydration that could worsen renal function, AKD continues to pose a threat to reach the therapeutic dose, to treatment completion, and long-term outcomes. Recent evidence supports the nephroprotective role of intravenous (IV) magnesium in mitigating cisplatin-induced tubular injury, yet prospective data on its impact in real-world LA-HNSCC settings remain limited. We aimed to prospectively investigate the incidence and characteristics of renal impairment, particularly AKD, in a real-world cohort of LA-HNSCC patients treated with high-dose cisplatin and standardized supportive therapy, including intravenous magnesium. Methods: We conducted a prospective observational study including 207 patients with LA- HNSCC undergoing high-dose cisplatin-based CRT (≥200 mg/m2 cumulative dose), within a standardized supportive care protocol incorporating IV magnesium. Renal function was assessed over three cycles via serum creatinine and estimated glomerular filtration rate (eGFR). AKD was defined and staged according to KDIGO criteria. Clinical and biochemical predictors of AKD were explored. Results: AKD occurred in 5.3% of patients (11/207; 95% CI 2.7–9.3), with eight events between C1→C2, 3 between C2→C3, and 0 thereafter; recovery at the next cycle was 9.1% (1/11). Among them, 57.1% were classified as stage 1. A baseline eGFR < 90 mL/min/1.73 m2 was associated with a higher AKD incidence (13.3% vs. 5.4%). Body mass index (BMI) was significantly associated with AKD in univariate analysis (p = 0.02), whereas no independent predictor emerged in multivariate analysis. Use of renin–angiotensin–aldosterone system (RAAS) inhibitors was more frequent among patients who developed AKD (p = 0.04). Renal function declined more steeply in AKD patients, with a median eGFR slope of −0.3917 mL/min/1.73 m2/day vs. −0.0483 mL/min/1.73 m2/day in those without AKD (p = 0.0005), irrespective of CKD stage. Conclusions: In a real-world cohort receiving high-dose cisplatin with structured nephroprotection including IV magnesium, AKD developed in approximately 10% of patients. Lower baseline eGFR, elevated BMI, and RAAS inhibitor use emerged as potential risk factors. These findings reinforce the importance of proactive renal monitoring and suggest a role for magnesium supplementation as an accessible strategy to enhance renal safety in curative-intent CRT. Full article
(This article belongs to the Section Clinical Research of Cancer)
Show Figures

Figure 1

19 pages, 3824 KB  
Article
Effects of Incorporating Iron-Rich Slag on the Performance of Calcium Sulfoaluminate Cement: Strength Development, Hydration Mechanisms and Microstructure
by Rong Wang, Haixing Liu, Xiaohua Yang, Chao Peng, Taibing Wei and Huawei Li
Buildings 2025, 15(20), 3654; https://doi.org/10.3390/buildings15203654 - 11 Oct 2025
Viewed by 271
Abstract
Using solid waste from the non-ferrous metal industry as non-traditional supplementary cementitious material has attracted increasing attention. In this study, iron-rich slag (IRS) was incorporated into calcium sulfoaluminate cement (CSC) to improve its properties, and its strength development and hydration mechanism were systematically [...] Read more.
Using solid waste from the non-ferrous metal industry as non-traditional supplementary cementitious material has attracted increasing attention. In this study, iron-rich slag (IRS) was incorporated into calcium sulfoaluminate cement (CSC) to improve its properties, and its strength development and hydration mechanism were systematically evaluated. Three types of IRS with distinct particle size characteristics were fabricated through mechanical grinding, and their effects on the strength development and hydration heat evolution of CSC-based materials were investigated. Furthermore, several solid-phase analysis methods were employed to characterize the hydration mechanisms and microstructural characteristics of IRS-containing CSC-based materials. The results show that mechanical grinding enhances the reactivity of IRS in CSC-based systems, which in turn facilitates the generation of hydrates like ettringite (AFt), AH3, and C–S–H gel, thereby improving their strength. The incorporation of IRS effectively decreases the total hydration heat released by CSC-based materials within 24 h. Furthermore, evidence from EDS analysis suggests the possible isomorphic substitution of Al3+ by Fe3+ in AFt, which, along with the slower reaction kinetics of Fe-AFt, may contribute to the improved late-age strength development of CSC-based materials. This study proposes a sustainable strategy for producing high-performance CSC-based materials and offers a potential approach for the high-value use of non-ferrous metal industry solid waste in construction materials, thereby demonstrating both scientific value and practical engineering significance. Full article
(This article belongs to the Section Building Materials, and Repair & Renovation)
Show Figures

Figure 1

18 pages, 1413 KB  
Article
Enhanced Ocular Retention and Anti-Allergic Efficacy of a Novel HA–Ectoine–CMC Eye Drop for Dry Eye Disease Management
by Jon Andrade del Olmo, Alejandro Melero, Ander Pino, Nagore Martínez de Cestafe, Oihane Gartziandia, Miguel Ucelay López de Heredia, Josune Torrecilla, Laura Gómez, Sandra Benito Cid, José María Alonso and Raúl Pérez González
J. Pharm. BioTech Ind. 2025, 2(4), 16; https://doi.org/10.3390/jpbi2040016 - 11 Oct 2025
Viewed by 371
Abstract
Dry eye disease (DED) is a multifactorial ocular surface disorder that significantly affects vision and quality of life. While artificial tears are the standard first-line therapy, their effectiveness is limited by the complex pathophysiology of DED. This study evaluated DayDrop® Triple Action, [...] Read more.
Dry eye disease (DED) is a multifactorial ocular surface disorder that significantly affects vision and quality of life. While artificial tears are the standard first-line therapy, their effectiveness is limited by the complex pathophysiology of DED. This study evaluated DayDrop® Triple Action, a novel formulation combining hyaluronic acid (HA), ectoine, and carboxymethylcellulose (CMC), designed to enhance tear film stability and ocular surface protection. Physicochemical and rheological properties were assessed, including viscosity, pseudoplasticity, and viscoelastic behaviour under dynamic conditions, along with ectoine release over 24 h. An in vitro allergic conjunctivitis model using conjunctival fibroblasts exposed to a pro-allergic cytokine cocktail was employed to examine immunomodulatory effects. DayDrop® Triple Action demonstrated high viscosity with pronounced pseudoplasticity and stable viscoelasticity, supporting improved mucoadhesion. The formulation provided sustained ectoine release and exhibited a positive immunomodulatory effect, likely linked to ectoine’s preferential hydration mechanism, which stabilizes membranes and reduces inflammatory signalling. These findings suggest that DayDrop® Triple Action integrates viscoelastic optimization, osmoprotection, and targeted anti-inflammatory action, offering a promising non-pharmacological strategy for managing DED and allergic ocular surface disorders. Full article
Show Figures

Graphical abstract

19 pages, 1457 KB  
Article
Development and Evaluation of Hyaluronic Acid-Chitosan Coated Liposomes for Enhanced Delivery of Resveratrol to Breast Cancer Cells
by Yin Yin Myat, Khin Khin Gyi, Pornthida Riangjanapatee, Chuda Chittasupho, Songyot Anuchapreeda and Siriporn Okonogi
Polysaccharides 2025, 6(4), 93; https://doi.org/10.3390/polysaccharides6040093 - 10 Oct 2025
Viewed by 437
Abstract
Resveratrol (RES), a naturally occurring polyphenolic compound with well-documented anticancer potential, is limited in clinical application due to its poor aqueous solubility and low bioavailability. This study aimed to develop RES-loaded liposomes coated sequentially with chitosan (CS) and hyaluronic acid-chitosan (HA) (RES-HA-CS-Lip) to [...] Read more.
Resveratrol (RES), a naturally occurring polyphenolic compound with well-documented anticancer potential, is limited in clinical application due to its poor aqueous solubility and low bioavailability. This study aimed to develop RES-loaded liposomes coated sequentially with chitosan (CS) and hyaluronic acid-chitosan (HA) (RES-HA-CS-Lip) to enhance RES stability, delivery, and anticancer efficacy in breast cancer cells. HA-CS-coated liposomes were prepared using a thin-film hydration technique. Their physicochemical characteristics were thoroughly investigated through dynamic light scattering, transmission electron microscopy, Fourier transform infrared spectroscopy, and differential scanning calorimetry. The optimized RES-HA-CS-Lip exhibited spherical morphology with an average particle size of 212 nm, a narrow polydispersity index (<0.4), a zeta potential of +9.04 ± 1.0 mV, and high entrapment efficiency of 82.16%. Stability studies demonstrated superior retention of size, surface charge, and encapsulation efficiency over 28 days at both 4 °C and 25 °C. In vitro release profiles at physiological and acidic pH revealed sustained drug release, with enhanced release under acidic conditions mimicking the tumor microenvironment. Antioxidant activity, assessed via DPPH and ABTS radical-scavenging assays, indicated that RES retained its radical-scavenging potential upon encapsulation. Cytotoxicity assays demonstrated markedly improved anticancer activity against MCF-7 breast cancer cells, with an IC50 of 13.08 μg/mL at 48 h, while maintaining high biocompatibility toward normal HaCaT keratinocytes. RES-HA-CS-Lip demonstrated excellent stability against degradation and aggregation. Overall, these findings highlight HA-CS-coated liposomes as a promising polysaccharide-based nanocarrier that enhances stability, bioactivity, and therapeutic efficacy of RES, representing a potential strategy for targeted breast cancer therapy. Full article
Show Figures

Figure 1

18 pages, 1185 KB  
Review
Hydrogel-Based Formulations to Deliver Analgesic Drugs: A Scoping Review of Applications and Efficacy
by Sveva Di Franco, Aniello Alfieri, Pasquale Sansone, Vincenzo Pota, Francesco Coppolino, Andrea Frangiosa, Vincenzo Maffei, Maria Caterina Pace, Maria Beatrice Passavanti and Marco Fiore
Biomedicines 2025, 13(10), 2465; https://doi.org/10.3390/biomedicines13102465 - 10 Oct 2025
Viewed by 238
Abstract
Background/Objectives: Hydrogels are highly hydrated, biocompatible polymer networks increasingly investigated as drug-delivery systems (DDS) for analgesics. Their ability to modulate local release, prolong drug residence time, and reduce systemic toxicity positions them as promising platforms in perioperative, chronic, and localized pain settings. [...] Read more.
Background/Objectives: Hydrogels are highly hydrated, biocompatible polymer networks increasingly investigated as drug-delivery systems (DDS) for analgesics. Their ability to modulate local release, prolong drug residence time, and reduce systemic toxicity positions them as promising platforms in perioperative, chronic, and localized pain settings. This scoping review aimed to systematically map clinical applications, efficacy, and safety of hydrogel-based DDS for analgesics, while also documenting non-DDS uses where the matrix itself contributes to pain modulation through physical mechanisms. Methods: Following PRISMA-ScR guidance, PubMed, Embase, and Cochrane databases were searched without publication date restrictions. Only peer-reviewed clinical studies were included; preclinical studies and non-journal literature were excluded. Screening and selection were performed in duplicate. Data extracted included drug class, hydrogel technology, clinical setting, outcomes, and safety. Protocol was registered with Open Science Framework. Results: A total of 26 clinical studies evaluating hydrogel formulations as DDS for analgesics were included. Most were randomized controlled trials, spanning 1996–2024. Local anesthetics were the most frequent drug class, followed by opioids, corticosteroids, Non-Steroidal Anti-Inflammatory Drugs (NSAIDs), and neuromodulators. Application sites were predominantly topical/transdermal and perioperative/incisional. Across the DDS cohort, most of the studies reported improved analgesic outcomes, including reduced pain scores and lower rescue medication use; neutral or unclear results were rare. Safety reporting was limited, but tolerability was generally favorable. Additionally, 38 non-DDS studies demonstrated pain reduction through hydrogel-mediated cooling, lubrication, or barrier effects, particularly in burns, ocular surface disorders, and discogenic pain. Conclusions: Hydrogel-based DDS for analgesics show consistent clinical signals of benefit across diverse contexts, aligning with their mechanistic rationale. While current evidence supports their role as effective, well-tolerated platforms, translational gaps remain, particularly for hybrid nanotechnology systems and standardized safety reporting. Non-DDS applications confirm the intrinsic analgesic potential of hydrogel matrices, underscoring their relevance in multimodal pain management strategies. Full article
Show Figures

Figure 1

19 pages, 1013 KB  
Article
The Effectiveness of Micro-Needle Mesotherapy with Seboregulatory Ampoule in the Treatment of Oily Skin
by Agnieszka Ciozda, Ewelina Firlej and Joanna Bartosińska
Cosmetics 2025, 12(5), 220; https://doi.org/10.3390/cosmetics12050220 - 8 Oct 2025
Viewed by 576
Abstract
Background: Contemporary dermatology and cosmetology continue to explore effective strategies for normalizing the function of oily skin, where excessive sebum production and impairment of the hydrolipid barrier pose considerable therapeutic challenges. The aim of the present study was to evaluate the effects [...] Read more.
Background: Contemporary dermatology and cosmetology continue to explore effective strategies for normalizing the function of oily skin, where excessive sebum production and impairment of the hydrolipid barrier pose considerable therapeutic challenges. The aim of the present study was to evaluate the effects of a series of microneedling mesotherapy treatments with a sebum-regulating ampoule on selected biophysical parameters of the skin in individuals with oily skin. Methods: The study included 19 female volunteers aged 18–42 years, who underwent six treatment sessions at three-week intervals. Skin parameters were assessed at baseline, after three sessions, and after six sessions using the MPA system (Courage & Khazaka) equipped with the following probes: Corneometer (hydration), Sebumeter (sebum secretion), pH meter (surface pH), Glossymeter (skin shininess), and Tewameter (transepidermal water loss). Results: After six sessions, hydration significantly increased both in the T-zone (from 43.9 ± 8.0 to 54.0 ± 5.4 AU; +23%) and on the cheeks (from 35.9 ± 8.3 to 55.6 ± 4.8 AU; +55%) (p < 0.001). Sebum secretion decreased markedly, with values in the T-zone falling from 192.2 ± 30.6 to 127.7 ± 27.2 AU (−34%) and on the cheeks from 185.0 ± 36.2 to 114.8 ± 30.1 AU (−38%) (p < 0.001). Skin surface pH showed minor but significant modulation within the physiological range (T-zone: 6.33 ± 0.64 → 6.01 ± 0.17; cheeks: 6.14 ± 0.50 → 6.03 ± 0.17; p = 0.021). TEWL demonstrated a nonsignificant change (T-zone: 17.46 ± 11.31 → 19.09 ± 3.54 g/m2/h; cheeks: 20.89 ± 5.36 → 18.37 ± 2.95 g/m2/h; p > 0.05), while skin gloss remained stable (T-zone: 5.46 ± 1.25 → 5.60 ± 1.16 GU; cheeks: 5.29 ± 1.76 → 4.87 ± 1.20 GU; p > 0.05). Conclusions: Microneedling mesotherapy combined with a sebum-regulating ampoule significantly improved skin hydration and reduced sebum secretion, accompanied by stabilization of skin surface pH. Although changes in TEWL and gloss were not statistically significant, the overall results indicate improved skin condition and balance. Despite the absence of a control group, these findings support the potential of this combined approach as an adjunctive therapy for oily skin. Further controlled studies with larger cohorts are warranted to confirm its efficacy and long-term effects. Full article
(This article belongs to the Special Issue Feature Papers in Cosmetics in 2025)
Show Figures

Figure 1

14 pages, 2887 KB  
Article
Cost-Effective Carbon Dioxide Removal via CaO/Ca(OH)2-Based Mineralization with Concurrent Recovery of Value-Added Calcite Nanoparticles
by Seungyeol Lee, Chul Woo Rhee and Gyujae Yoo
Sustainability 2025, 17(19), 8875; https://doi.org/10.3390/su17198875 - 4 Oct 2025
Viewed by 585
Abstract
The rapid rise in atmospheric CO2 concentrations has intensified the need for scalable, sustainable, and economically viable carbon sequestration technologies. This study introduces a cost-effective CaO/Ca(OH)2-based mineralization process that not only enables efficient CO2 removal but also allows the [...] Read more.
The rapid rise in atmospheric CO2 concentrations has intensified the need for scalable, sustainable, and economically viable carbon sequestration technologies. This study introduces a cost-effective CaO/Ca(OH)2-based mineralization process that not only enables efficient CO2 removal but also allows the simultaneous recovery of high-purity calcite nanoparticles as value-added products. The process involves hydrating CaO, followed by controlled carbonation under optimized CO2 flow rates, temperature conditions, and and additive use, yielding nanocrystalline calcite with an average particle size of approximately 100 nm. Comprehensive characterization using X-ray diffraction, transmission electron microscopy, and energy-dispersive X-ray spectroscopy confirmed a polycrystalline structure with exceptional chemical purity (99.9%) and rhombohedral morphology. Techno-economic analysis further demonstrated that coupling CO2 sequestration with nanoparticle production can markedly improve profitability, particularly when utilizing CaO/Ca(OH)2-rich industrial residues such as steel slags or lime sludge as feedstock. This hybrid, multi-revenue strategy—integrating carbon credits, nanoparticle sales, and waste valorization—offers a scalable pathway aligned with circular economy principles, enhancing both environmental and economic performance. Moreover, the proposed system can be applied to CO2-emitting plants and facilities, enabling not only effective carbon dioxide removal and the generation of carbon credits, but also the production of calcite nanoparticles for diverse applications in agriculture, manufacturing, and environmental remediation. These findings highlight the potential of CaO/Ca(OH)2-based mineralization to evolve from a carbon management technology into a platform for advanced materials manufacturing, thereby contributing to global decarbonization efforts. Full article
Show Figures

Graphical abstract

28 pages, 51337 KB  
Article
Extracellular Vesicles Derived from Human Umbilical Cord-Mesenchymal Stem Cells Ameliorate Intervertebral Disc Degeneration
by Sobia Ekram, Faiza Ramzan, Asmat Salim, Marie Christine Durrieu and Irfan Khan
Biomedicines 2025, 13(10), 2420; https://doi.org/10.3390/biomedicines13102420 - 3 Oct 2025
Viewed by 580
Abstract
Background: Intervertebral disc degeneration (IVDD) is closely linked to low back pain (LBP), a leading cause of disability worldwide. IVDD is characterized by the loss of proteoglycans (PGs), extracellular matrix (ECM) degradation, and reduced hydration of the nucleus pulposus (NP). Extracellular vesicles (EVs) [...] Read more.
Background: Intervertebral disc degeneration (IVDD) is closely linked to low back pain (LBP), a leading cause of disability worldwide. IVDD is characterized by the loss of proteoglycans (PGs), extracellular matrix (ECM) degradation, and reduced hydration of the nucleus pulposus (NP). Extracellular vesicles (EVs) derived from human umbilical cord mesenchymal stem cells (hUC-MSCs) exhibit tissue repair and immunomodulatory effects and are emerging as promising cell-free therapeutics. Methods: We established a rat IVDD model via fluoroscopy-guided needle puncture of three consecutive coccygeal discs and confirmed degeneration through Alcian Blue and hematoxylin & eosin (H&E) staining. The gene expression of inflammatory and pain markers (ADRβ2, COMP, CXCL1, COX2, PPTA, MMP13, YKL40) was measured by qPCR. Subsequently, we implanted hUC-MSCs or EVs to evaluate their reparative potential. Results: Upregulation of inflammatory and pain genes in IVDD was associated with an immunomodulatory response. Tracking DiI-labelled hUC-MSCs and EVs revealed enhanced survival of hUC-MSCs, retention of EVs, and dispersion within rat tail discs; EVs showed greater retention than hUC-MSCs. Implanted EVs were internalized by NP cells and remained within degenerative IVDs. EVs passively diffused, accumulated at the injury site, interacted with host cells, and enhanced function, as shown by increased expression of human chondrocyte-related markers (SOX9, TGFβ1, TGFβ2, COL2) compared to hUC-MSC treatment. Histological analysis of two weeks post-transplantation showed NP cellular patterns resembling chondromas in treated discs. EVs integrated into and distributed within degenerated NP regions, with greater glycosaminoglycan (GAG) content. Conclusions: Overall, hUC-MSC EVs demonstrated superior regenerative capacity, supporting a safe, cell-free strategy for disc repair. Full article
(This article belongs to the Section Cell Biology and Pathology)
Show Figures

Figure 1

15 pages, 885 KB  
Review
Physiological State Monitoring in Advanced Soldiers: Precision Health Strategies for Modern Military Operations
by David Sipos, Kata Vészi, Bence Bogár, Dániel Pető, Gábor Füredi, József Betlehem and Attila András Pandur
Sci 2025, 7(4), 137; https://doi.org/10.3390/sci7040137 - 2 Oct 2025
Viewed by 540
Abstract
Modern military operations place significant physiological and cognitive demands on soldiers, necessitating innovative strategies to monitor and optimize health and performance. This narrative review examines the role of continuous physiological state monitoring and precision health strategies to enhance soldier resilience and operational readiness. [...] Read more.
Modern military operations place significant physiological and cognitive demands on soldiers, necessitating innovative strategies to monitor and optimize health and performance. This narrative review examines the role of continuous physiological state monitoring and precision health strategies to enhance soldier resilience and operational readiness. Advanced wearable biosensors were analyzed for their ability to measure vital physiological parameters—such as heart-rate variability, core temperature, hydration status, and biochemical markers—in real-time operational scenarios. Emerging technological solutions, including AI-driven analytics and edge computing, facilitate rapid data interpretation and predictive health assessments. Results indicate that real-time physiological feedback significantly enhances early detection and prevention of conditions like exertional heat illness and musculoskeletal injuries, reducing medical attrition and improving combat effectiveness. However, ethical challenges related to data privacy, informed consent, and secure data management highlight the necessity for robust governance frameworks and stringent security protocols. Personalized training regimens and rehabilitation programs informed by monitoring data demonstrate potential for substantial performance optimization and sustained force readiness. In conclusion, integrating precision health strategies into military operations offers clear advantages in soldier health and operational effectiveness, contingent upon careful management of ethical considerations and data security. Full article
Show Figures

Figure 1

Back to TopTop