Mechanical and Environmental Properties of Cemented Paste Backfill Prepared with Bayer Red Mud as an Alkali-Activator Substitute
Abstract
1. Introduction
2. Materials and Methods
2.1. Raw Materials
2.2. Sample Preparation
2.3. Test Methods
2.3.1. Uniaxial Compressive Strengths (UCS)
2.3.2. X-Ray Diffraction Analysis (XRD)
2.3.3. Scanning Electron Microscope (SEM)
2.3.4. FTIR Analysis
2.3.5. Toxicity Leaching Tests
2.3.6. Leaching Behavior of Bulk Materials
3. Results and Discussion
3.1. Mechanical Property
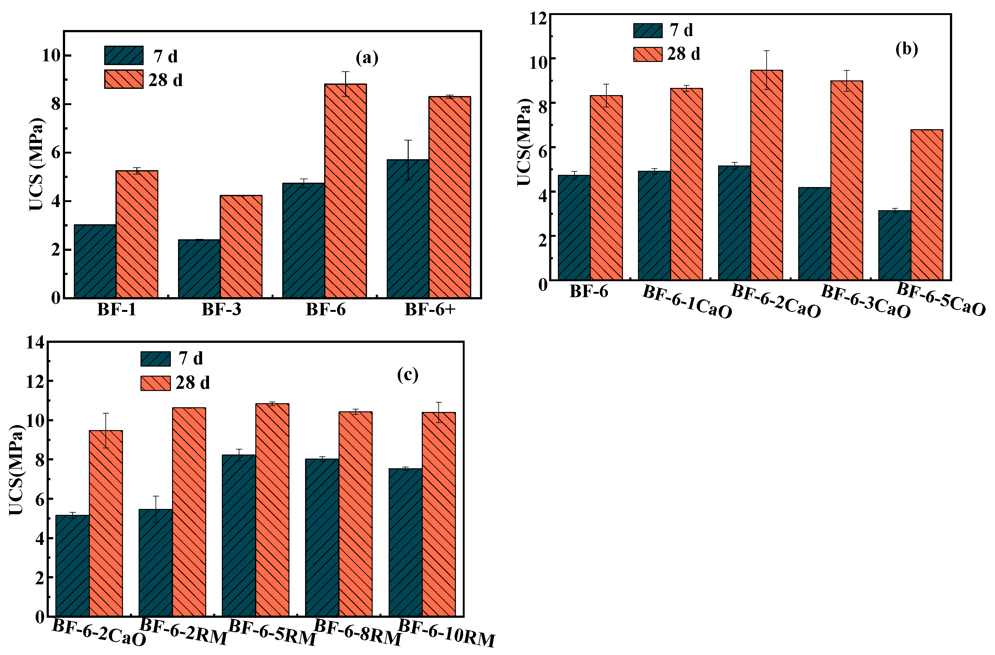
3.1.1. Effect of Coal Gangue Particle Size
3.1.2. Effect of CaO Ratio
3.1.3. Effect of RM Ratio
3.2. Backfilling Material Characteristics
3.2.1. Mineralogical Analysis
3.2.2. Microstructural Analysis
3.2.3. FTIR Analysis
3.3. Analysis of the Economic Environment
3.3.1. Analysis of Heavy Metal Concentrations
3.3.2. The As Leaching Mechanisms of Backfilling Samples
3.3.3. Examination of Heavy Metal Solidification Mechanism
4. Application Scenario Assessment and Recommendations
5. Conclusions
Supplementary Materials
Author Contributions
Funding
Data Availability Statement
Conflicts of Interest
References
- Liu, H.; Zhang, J.; Zhou, N.; Shen, L.L.; Zhang, L.B.; Zhu, C.L.; Wang, L. Study of the Leaching and Solidification Mechanism of Heavy Metals from Gangue-Based Cemented Paste Backfilling Materials. J. China Univ. Min. Technol. 2021, 50, 523–531. [Google Scholar] [CrossRef]
- Zhang, L.; Lai, X.; Pan, J.; Shan, P.; Zhang, Y.; Zhang, Y.; Xu, H.; Cai, M.; Xi, X. Experimental Investigation on the Mixture Optimization and Failure Mechanism of Cemented Backfill with Coal Gangue and Fly Ash. Powder Technol. 2024, 440, 119751. [Google Scholar] [CrossRef]
- Shao, X.; Wang, Z.; Tang, R.; Zhao, B.; Ning, J.; Tian, C.; Wang, W.; Zhang, Y.; Du, X. Enhancing Mid-Term Strength and Microstructure of Fly Ash–Cement Paste Backfill with Silica Fume for Continuous Mining and Backfilling Operations. Materials 2024, 17, 6037. [Google Scholar] [CrossRef]
- Zhao, B.; Wen, J.; Zhai, D.; Tang, R.; Chen, S.; Xin, J. Effect of Calcium Chloride on the Properties of Gangue Cemented Paste Backfill: Experimental Results of Setting Time, Rheological Properties, Mechanical Strength and Microscopic Properties. Case Stud. Constr. Mater. 2025, 22, e04331. [Google Scholar] [CrossRef]
- Silva-Caceres, M.; Guatame-Garcia, A.; Vriens, B. Aqueous and Mineralogical Sulfur Speciation in Legacy Tailings with Variable Redox Conditions. Appl. Geochem. 2024, 162, 105905. [Google Scholar] [CrossRef]
- Wang, Y.; Wang, Z.; Wu, A.; Wang, L.; Na, Q.; Cao, C.; Yang, G. Experimental Research and Numerical Simulation of the Multi-Field Performance of Cemented Paste Backfill: Review and Future Perspectives. Int. J. Miner. Metall. Mater. 2023, 30, 193–208. [Google Scholar] [CrossRef]
- Wu, A.; Wang, Y.; Ruan, Z.; Xiao, B.; Wang, J.; Wang, L. Key Theory and Technology of Cemented Paste Backfill for Green Mining of Metal Mines. Green Smart Min. Eng. 2024, 1, 27–39. [Google Scholar] [CrossRef]
- Wang, Z.; Wu, A.; Wang, S.; Wu, P. Utilization of Alkaline Additives for Backfilling Performance Improvement of Sulphide-Rich Tailings. Environ. Res. 2025, 283, 122188. [Google Scholar] [CrossRef]
- Fang, K.; Zhang, J.; Cui, L.; Haruna, S.; Li, M. Cost Optimization of Cemented Paste Backfill: State-of-the-Art Review and Future Perspectives. Miner. Eng. 2023, 204, 108414. [Google Scholar] [CrossRef]
- Zhao, X.; Liu, C.; Zuo, L.; Wang, L.; Zhu, Q.; Liu, Y.; Zhou, B. Synthesis and Characterization of Fly Ash Geopolymer Paste for Goaf Backfill: Reuse of Soda Residue. J. Clean. Prod. 2020, 260, 121045. [Google Scholar] [CrossRef]
- Zheng, J.; Bi, P.; Li, S.; Yang, Z. Effects of NaOH and Gypsum Contents on the Properties of Cemented Paste Backfill Using NaOH/Gypsum-Activated Slag Binders. Constr. Build. Mater. 2025, 470, 140552. [Google Scholar] [CrossRef]
- Li, X.; Wang, D.; Chen, Q.; Qi, C. Alkali Activation of Blast Furnace Slag Using Bayer Red Mud as an Alternative Activator to Prepare Cemented Paste Backfill. Constr. Build. Mater. 2024, 453, 139061. [Google Scholar] [CrossRef]
- Jiang, J.; Luo, Q.; Wang, S.; Wei, D.; Huang, Y.; Ou, X. Sustainable Utilization of Red Mud and Bauxite Tailings: Mechanical and Environmental Perspectives in Cemented Backfill. Miner. Eng. 2025, 232, 109489. [Google Scholar] [CrossRef]
- Liu, B.; Zhang, Q.; Feng, Y.; Chen, Q.; Guo, L. Mechanical and Microstructural Analysis of Cemented Tailings Backfill by Copper Slag through Alkaline Activation Emphasizing Red Mud. Constr. Build. Mater. 2024, 428, 136341. [Google Scholar] [CrossRef]
- Wang, Y.; Liu, X.; Zhang, W.; Li, Z.; Zhang, Y.; Li, Y.; Ren, Y. Effects of Si/Al Ratio on the Efflorescence and Properties of Fly Ash Based Geopolymer. J. Clean. Prod. 2020, 244, 118852. [Google Scholar] [CrossRef]
- Guo, L.; Wang, Z.; Guo, L.; Chen, P.; Wang, L.; Li, M.; Wang, W. Performance of CaO Reinforced Composite Cementitious Materials. Chin. J. Mater. Res. 2022, 36, 278–286. [Google Scholar] [CrossRef]
- Hao, X.; Liu, X.; Zhang, Z.; Zhang, W.; Lu, Y.; Wang, Y.; Yang, T. In-Depth Insight into the Cementitious Synergistic Effect of Steel Slag and Red Mud on the Properties of Composite Cementitious Materials. J. Build. Eng. 2022, 52, 104449. [Google Scholar] [CrossRef]
- Li, S.; Fan, J.; Gao, L. Conductive Biomass Carbon Aerogel with High Adsorption Performance for Gallium in Alkaline Solution. Miner. Eng. 2023, 204, 108396. [Google Scholar] [CrossRef]
- Chen, Q.; Zhu, L.; Wang, Y.; Chen, J.; Qi, C. The Carbon Uptake and Mechanical Property of Cemented Paste Backfill Carbonation Curing for Low Concentration of CO2. Sci. Total Environ. 2022, 852, 158516. [Google Scholar] [CrossRef]
- HJ557-2009; Solid Waste-Extraction Procedure for Leaching Toxicity-Horizontal Vibration Method. Ministry of Ecology and Environment of the People’s Republic of China: Beijing, China, 2010.
- GB/T 7023-2011; Performance Requirements for Low and Intermediate Level Radioactive Waste Form-Cemented Waste Form. Ministry of Environmental Protection: Beijing, China, 2011. (In Chinese)
- Nikravan, M.; Ramezanianpnour, A.A.; Maknoon, R. Technological and Environmental Behavior of Petrochemical Incineration Bottom Ash (PI-BA) in Cement-Based Using Nano-SiO2 and Silica Fume (SF). Constr. Build. Mater. 2018, 191, 1042–1052. [Google Scholar] [CrossRef]
- Hou, Y.; Yin, S.; Wang, Y.; Yu, X.; Li, X.; Wang, L.; Yang, K.; Huang, X. Mechanical Properties and Damage Evolution Mechanisms of Cemented Backfill with Tailored Particle Size Range of Coal Gangue Aggregates. Process Saf. Environ. Prot. 2025, 198, 107123. [Google Scholar] [CrossRef]
- Yingying, W.; Xie, G.; Li, Z. Research on Coal Gangue Paste-like Filling Materials and Its Hydration Mechanism. Coal Eng. 2017, 49, 141–144. [Google Scholar]
- Zheng, B.; Zhou, H.; He, R. Experimental Research on Coal Gangue Paste Filling Material. J. Min. Saf. Eng. 2006, 23, 460–463. [Google Scholar]
- Zhang, Q.; Li, H.; Li, Z.; Zhang, J. Influence of Different Grain Size Combination on Gangue-Based Filling Material. Met. Mine 2020, 1, 73–80. [Google Scholar] [CrossRef]
- Mu, S.; Sun, Z.; Su, X. A Study on the Microstructure and Expanding Mechanism of Highly Free-Calcium Oxide Cements. J. Wuhan Univ. Technol. 2001, 23, 27–29. [Google Scholar]
- Xue, S.; Wu, Y.; Li, Y.; Kong, X.; Zhu, F.; William, H.; Li, X.; Ye, Y. Industrial Wastes Applications for Alkalinity Regulation in Bauxite Residue: A Comprehensive Review. J. Cent. South Univ. 2019, 26, 268–288. [Google Scholar] [CrossRef]
- Wang, J.; Meng, T.; Chang, Z.; Tang, Y. Effect of Red Mud Substitution Rate on the Properties of Ternary Solid. Acta Mater. Compos. Sin. 2024, 1, 4637–4649. [Google Scholar]
- Kenny, A.; Katz, A. Characterization of the Interfacial Transition Zone around Steel Rebar by Means of the Mean Shift Method. Mater. Struct. Constr. 2012, 45, 639–652. [Google Scholar] [CrossRef]
- Singh, S.; Aswath, M.U.; Ranganath, R.V. Effect of mechanical activation of red mud on the strength of geopolymer binder. Constr. Build. Mater. 2018, 177, 91–101. [Google Scholar] [CrossRef]
- Li, Z.; Liu, X.; Li, Y.; Ren, Y.; Wang, Y.; Zhang, W. Effects of Sulfate on the Mechanical Performances and Hydration Characteristics of Red Mud Based Non-Burnt Brick. Constr. Build. Mater. 2020, 262, 120722. [Google Scholar] [CrossRef]
- Liu, X.; Zhao, X.; Yin, H.; Chen, J.; Zhang, N. Intermediate-Calcium Based Cementitious Materials Prepared by MSWI Fly Ash and Other Solid Wastes: Hydration Characteristics and Heavy Metals Solidification Behavior. J. Hazard. Mater. 2018, 349, 262–271. [Google Scholar] [CrossRef]
- Huo, B.; Li, B.; Chen, C.; Zhang, Y. Surface Etching and Early Age Hydration Mechanisms of Steel Slag Powder with Formic Acid. Constr. Build. Mater. 2021, 280, 122500. [Google Scholar] [CrossRef]
- Xu, C.; Ni, W.; Li, K.; Zhang, S.; Xu, D. Activation Mechanisms of Three Types of Industrial By-Product Gypsums on Steel Slag–Granulated Blast Furnace Slag-Based Binders. Constr. Build. Mater. 2021, 288, 123111. [Google Scholar] [CrossRef]
- Zhang, N.; Li, H.; Peng, D.; Liu, X. Properties Evaluation of Silica-Alumina Based Concrete: Durability and Environmental Friendly Performance. Constr. Build. Mater. 2016, 115, 105–113. [Google Scholar] [CrossRef]
- DZ/T 0290-2015; Standard of Groundwater Quality. Ministry of Land and Resources of the People’s Republic of China: Beijing, China, 2015. (In Chinese)
- Shangguan, Y.; Li, B.; Zhuang, X.; Querol, X.; Moreno, N.; Huang, P.; Guo, Y.; Shi, Y.; Wu, T.; Sola, P.C. Arsenic Distribution and Speciation in Deposited Coal Mine Dust. J. Hazard. Mater. 2025, 482, 136537. [Google Scholar] [CrossRef]
- Liu, Z.B.; Su, H.M. A Study on Release Law of Arsenic in Coal and Coal Gangue. Adv. Mater. Res. 2014, 864–867, 978–982. [Google Scholar] [CrossRef]
- Zhang, M.; Wu, Y.; Li, Y.; Zhou, R.; Yu, H.; Zhu, X.; Quan, H.; Li, Y. Risk Assessment for the Long-Term Stability of Fly Ash-Based Cementitious Material Containing Arsenic: Dynamic and Semidynamic Leaching. Environ. Pollut. 2024, 345, 123361. [Google Scholar] [CrossRef]
- Zhang, Y.; Liu, X.; Xu, Y.; Tang, B.; Wang, Y. Preparation of Road Base Material by Utilizing Electrolytic Manganese Residue Based on Si-Al Structure: Mechanical Properties and Mn2+ Stabilization/Solidification Characterization. J. Hazard. Mater. 2020, 390, 122188. [Google Scholar] [CrossRef]
- Huang, Y.; Qian, J.; Lu, L.; Zhang, W.; Wang, S.; Wang, W.; Cheng, X. Phosphogypsum as a Component of Calcium Sulfoaluminate Cement: Hazardous Elements Immobilization, Radioactivity and Performances. J. Clean. Prod. 2020, 248, 119287. [Google Scholar] [CrossRef]
- Bian, J.; Li, S.; Zhang, Q. Experimental Investigation on Red Mud from the Bayer Process for Cemented Paste Backfill. Int. J. Environ. Res. Public Health 2022, 19, 11926. [Google Scholar] [CrossRef]
- Batchelor, B. Overview of Waste Stabilization with Cement. Waste Manag. 2006, 26, 689–698. [Google Scholar] [CrossRef]
- Li, X.D.; Poon, C.S.; Sun, H.; Lo, I.M.C.; Kirk, D.W. Heavy Metal Speciation and Leaching Behaviors in Cement Based Solidified/Stabilized Waste Materials. J. Hazard. Mater. 2001, 82, 215–230. [Google Scholar] [CrossRef] [PubMed]
- Hills, C.D.; Pollard, S.J.T. The Influence of Interference Effects on the Mechanical, Microstructural and Fixation Characteristics of Cement-Solidified Hazardous Waste Forms. J. Hazard. Mater. 1997, 52, 171–191. [Google Scholar] [CrossRef]
- Mijno, V.; Catalan, L.J.J.; Martin, F.; Bollinger, J.C. Compositional Changes in Cement-Stabilized Waste during Leach Tests—Comparison of SEM/EDX Data with Predictions from Geochemical Speciation Modeling. J. Colloid Interface Sci. 2004, 280, 465–477. [Google Scholar] [CrossRef]
- Wang, D.; He, W.; Wang, Q.; Wang, Z. Review on Stabilization and Leaching of Heavy Metals in Cementitious Materials. J. Chin. Ceram. Soc. 2018, 45, 683–693. [Google Scholar]
- Chen, M.; Liu, Y.; Zhang, D.; Zhu, J.; Chen, X.; Yuan, L. Remediation of Arsenic-Contaminated Paddy Soil by Iron Oxyhydroxide and Iron Oxyhydroxide Sulfate-Modified Coal Gangue under Flooded Condition. Sci. Total Environ. 2022, 804, 150199. [Google Scholar] [CrossRef] [PubMed]
- Kong, W.; Li, X.; Li, F.; Zimmerman, A.R.; Gao, B.; Wang, J. Iron-Modified Coal Gangue/Rice Husk Biochar Composites for Enhanced Removal of Aqueous As(V). Sep. Purif. Technol. 2025, 360, 131028. [Google Scholar] [CrossRef]
- Su, S.; Zhang, R.; Rao, J.; Yu, J.; Jiang, X.; Wang, S.; Yang, X. Fabrication of Lanthanum-Modified MOF-808 for Phosphate and Arsenic(V) Removal from Wastewater. J. Environ. Chem. Eng. 2022, 10, 108527. [Google Scholar] [CrossRef]






| Composition | Coal Gangue | Fly Ash | RM |
|---|---|---|---|
| Na2O | 0.90 ± 0.035 | 0.81 ± 0.009 | 8.42 ± 0.435 |
| MgO | 1.46 ± 0.050 | 1.35 ± 0.042 | 1.00 ± 0.035 |
| Al2O3 | 26.36 ± 1.135 | 27.92 ± 1.023 | 22.84 ± 1.257 |
| SiO2 | 50.76 ± 1.035 | 49.47 ± 1.375 | 18.07 ± 1.005 |
| P2O5 | 0.19 ± 0.041 | 0.21 ± 0.002 | 0.22 ± 0.001 |
| SO3 | 1.06 ± 0.077 | 0.58 ± 0.005 | 0.82 ± 0.012 |
| Cl | ND | 0.06 ± 0.001 | 0.08 ± 0.002 |
| K2O | 2.56 ± 0.85 | 2.38 ± 0.044 | 2.31 ± 0.089 |
| CaO | 4.43 ± 1.321 | 5.18 ± 0.735 | 18.98 ± 1.001 |
| TiO2 | 1.28 ± 0.875 | 1.30 ± 0.017 | 5.56 ± 0.783 |
| Cr2O3 | 0.03 ± 0.004 | 0.04 ± 0.003 | 0.10 ± 0.005 |
| MnO | 0.12 ± 0.005 | 0.11 ± 0.002 | 0.05 ± 0.001 |
| Fe2O3 | 10.48 ± 0.877 | 9.96 ± 0.835 | 21.028 ± 1.512 |
| CuO | 0.02 ± 0.001 | 0.04 ± 0.001 | ND |
| ZnO | 0.15 ± 0.071 | 0.23 ± 0.008 | ND |
| Rb2O | 0.03 ± 0.001 | 0.03 ± 0.001 | ND |
| SrO | 0.11 ± 0.002 | 0.15 ± 0.014 | 0.28 ± 0.009 |
| ZrO2 | ND | ND | 0.19 ± 0.002 |
| Nb2O5 | ND | ND | 0.03 ± 0.001 |
| BaO | 0.11 ± 0.005 | 0.13 ± 0.011 | ND |
| PbO | 0.04 ± 0.001 | 0.05 ± 0.002 | 0.06 ± 0.001 |
| Raw Samples | D10 (μm) | D50 (μm) | D90 (μm) | Dav (μm) |
|---|---|---|---|---|
| CaO | 12.076 ± 1.089 | 21.321 ± 1.211 | 82.189 ± 3.112 | 46.780 ± 2.012 |
| RM | 0.157 ± 0.012 | 6.743 ± 0.878 | 47.243 ± 0.748 | 31.234 ± 1.142 |
| Fly ash | 11.082 ± 1.009 | 34.687 ± 2.114 | 111.359 ± 4.743 | 52.410 ± 2.014 |
| Cement | 7.068 ± 0.117 | 18.941 ± 1.621 | 45.214 ± 1.324 | 22.149 ± 0.097 |
| Back Filling Samples | Coal Gangue (g) | Fly Ash (g) | Cement (g) | CaO (g) | RM (g) | |||
|---|---|---|---|---|---|---|---|---|
| <1 mm | 1–3 mm | 3–6 mm | >6 mm | |||||
| BF-1 | 900 | 720 | 180 | 0 | 0 | |||
| BF-3 | 900 | 720 | 180 | 0 | 0 | |||
| BF-6 | 900 | 720 | 180 | 0 | 0 | |||
| BF-6+ | 900 | 720 | 180 | 0 | 0 | |||
| BF-6-1CaO | 882 | 720 | 180 | 18 | ||||
| BF-6-2CaO | 864 | 720 | 180 | 36 | ||||
| BF-6-3CaO | 846 | 720 | 180 | 54 | ||||
| BF-6-5CaO | 810 | 720 | 180 | 90 | ||||
| BF-6-2RM | 864 | 720 | 180 | 36 | ||||
| BF-6-5RM | 810 | 720 | 180 | 90 | ||||
| BF-6-8RM | 756 | 720 | 180 | 144 | ||||
| BF-6-10RM | 720 | 720 | 180 | 180 | ||||
| Stage | rc ≤ 0.35 | 0.35 < rc ≤ 0.65 | rc > 0.65 |
|---|---|---|---|
| rc(2–7) | Surface Wash-off | Diffusion | Dissolution |
| rc(5–8) | Exhaustion | Diffusion | Dissolution |
| rc(4–7) | Exhaustion | Diffusion | Dissolution |
| rc(3–6) | Exhaustion | Diffusion | Dissolution |
| rc(2–5) | Exhaustion | Diffusion | Dissolution |
| rc(1–4) | Surface Wash-off | Diffusion | Delayed Diffusion/Dissolution |
| Samples | Leaching Ion (mg/L) | |||||||
|---|---|---|---|---|---|---|---|---|
| As | Cr | Ni | Cu | Zn | Cd | Pb | Mn | |
| RM | 0.097 ± 0.003 | 0.370 ± 0.007 | 0.162 ± 0.003 | 0.039 ± 0.001 | 0.144 ± 0.013 | 0.015 ± 0.001 | 0.027 ± 0.003 | 0.385 ± 0.014 |
| Coal gangue | 0.380 ± 0.014 | 0.039 ± 0.001 | 0.068 ± 0.001 | 0.078 ± 0.002 | 0.102 ± 0.021 | 0.042 ± 0.002 | 0.017 ± 0.001 | 0.147 ± 0.023 |
| Fly ash | 0.279 ± 9.01 × 10−3 | 0.037 ± 0.001 | 0.068 ± 0.001 | 0.083 ± 0.002 | 0.067 ± 0.002 | 0.047 ± 0.002 | 0.008 ± 2.11 × 10−4 | 0.205 ± 0.031 |
| BF-6-2Cao | 0.257 ± 0.011 | 0.0364 ± 0.001 | 0.001 ± 1.02 × 10−4 | 0.004 ± 1.77 × 10−4 | ND | ND | 0.005 ± 1.21 × 10−4 | ND |
| BF-6-5RM | 0.265 ± 0.012 | 0.0381 ± 0.001 | 0.004 ± 2.21 × 10−4 | 0.007 ± 2.34 × 10−4 | ND | ND | 0.004 ± 9.44 × 10−5 | ND |
| DZ/T02902015limits | 0.01 | 0.05 | 0.02 | 1 | 1 | 0.01 | 0.01 | 0.1 |
| Application Scenarios | Risk Level | Basis for Risk Assessment |
|---|---|---|
| Road Base/Subbase and Fill Materials | Middle-High | Under prolonged exposure to rainwater leaching (under acidic or neutral conditions) and atmospheric oxidation, arsenopyrite in coal gangue will undergo continuous oxidation. Additionally, As present in fly ash and RM may be leached out, posing a potential risk of soil and groundwater contamination. |
| Underground Backfill | Low-Middle | The underground environment is relatively isolated, characterized by anoxic conditions and stable humidity, which effectively suppresses the oxidation of arsenopyrite, thereby reducing the risk of As release. However, a potential for long-term, slow release remains if water infiltrates the backfill body. |
| Sintered Building Materials | Low | During the high-temperature sintering process, arsenic is immobilized within the glass phase, forming a stable chemical fixation that significantly reduces its leaching risk. However, strict control over the sintering temperature and atmosphere is essential to ensure this immobilization effect. |
| Cement Concrete Aggregate (Non-Structural) | Middle | The high-alkalinity environment (pH > 12) generated by cement hydration can temporarily inhibit the leaching of certain arsenic species. However, it may also lead to the dissolution of fly ash glassy phases and the desorption of arsenic adsorbed on red mud. Long-term carbonation (reaction with CO2) will cause a pH drop, potentially triggering the delayed release of arsenic. |
Disclaimer/Publisher’s Note: The statements, opinions and data contained in all publications are solely those of the individual author(s) and contributor(s) and not of MDPI and/or the editor(s). MDPI and/or the editor(s) disclaim responsibility for any injury to people or property resulting from any ideas, methods, instructions or products referred to in the content. |
© 2025 by the authors. Licensee MDPI, Basel, Switzerland. This article is an open access article distributed under the terms and conditions of the Creative Commons Attribution (CC BY) license (https://creativecommons.org/licenses/by/4.0/).
Share and Cite
Gao, L.; Zhao, H.; Guo, N.; Jiang, X.; Zhang, Y. Mechanical and Environmental Properties of Cemented Paste Backfill Prepared with Bayer Red Mud as an Alkali-Activator Substitute. Materials 2025, 18, 4712. https://doi.org/10.3390/ma18204712
Gao L, Zhao H, Guo N, Jiang X, Zhang Y. Mechanical and Environmental Properties of Cemented Paste Backfill Prepared with Bayer Red Mud as an Alkali-Activator Substitute. Materials. 2025; 18(20):4712. https://doi.org/10.3390/ma18204712
Chicago/Turabian StyleGao, Lihui, Haicheng Zhao, Nan Guo, Xinmeng Jiang, and Yijing Zhang. 2025. "Mechanical and Environmental Properties of Cemented Paste Backfill Prepared with Bayer Red Mud as an Alkali-Activator Substitute" Materials 18, no. 20: 4712. https://doi.org/10.3390/ma18204712
APA StyleGao, L., Zhao, H., Guo, N., Jiang, X., & Zhang, Y. (2025). Mechanical and Environmental Properties of Cemented Paste Backfill Prepared with Bayer Red Mud as an Alkali-Activator Substitute. Materials, 18(20), 4712. https://doi.org/10.3390/ma18204712

