Enhanced Ocular Retention and Anti-Allergic Efficacy of a Novel HA–Ectoine–CMC Eye Drop for Dry Eye Disease Management
Abstract
1. Introduction
2. Materials and Methods
2.1. Materials and Chemicals
2.2. Physicochemical Characterization
2.2.1. HA
2.2.2. CMC
2.2.3. pH
2.2.4. Osmolality
2.2.5. Refractive Index
2.3. Rheological Characterization
2.4. Sustained Release of Ectoine
2.5. In Vitro Allergic Immunomodulation Assay
- Abs (t) is the absorbance at 570 nm of the cell culture after exposure to a concentration of the test item after subtracting the absorbance of its corresponding blank.
- Abs (c) is the absorbance at 570 nm of the negative (untreated) control after subtracting the absorbance of its corresponding blank.
2.6. Statistical Analyses
3. Results
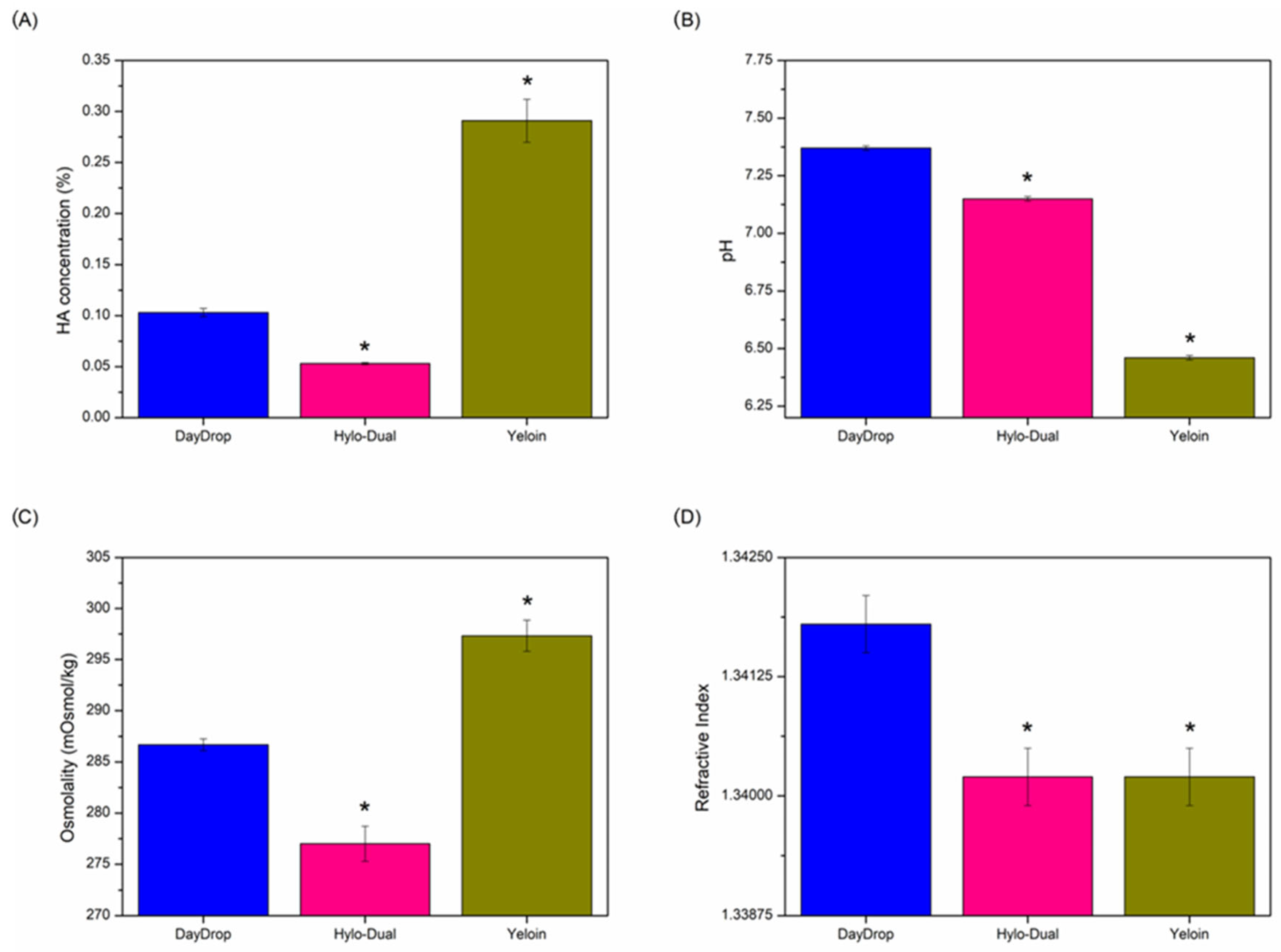
3.1. Physicochemical Characterization
3.2. Rheological Characterization
3.3. Sustained Release of Ectoine
3.4. Protection Against Allergic Inflammation
3.5. Biological Safety
4. Discussion
5. Conclusions
Author Contributions
Funding
Institutional Review Board Statement
Informed Consent Statement
Data Availability Statement
Acknowledgments
Conflicts of Interest
Abbreviations
| ANOVA | Analysis of Variance |
| CFU | Colony Forming Units |
| CMC | Carboxymethylcellulose |
| DAD | Diode Array Detector |
| DED | Dry Eye Disease |
| EP | European Pharmacopoeia |
| HA | Hyaluronic Acid |
| HPLC | High-Performance Liquid Chromatography |
| IFN | Interferon |
| IFU | Instructions For Use |
| IL | Interleukin |
| ISO | International Organization for Standardization |
| MDR | Medical Device Regulation |
| OA | Ocular allergy |
| SAL | Sterility Assurance Level |
| SD | Standard deviation |
| STF/ATF | Simulated or Artificial Tear Fluids |
| TNF | Tumour Necrosis Factor |
References
- Mohamed, H.B.; Abd El-Hamid, B.N.; Fathalla, D.; Fouad, E.A. Current Trends in Pharmaceutical Treatment of Dry Eye Disease: A Review. Eur. J. Pharm. Sci. 2022, 175, 106206. [Google Scholar] [CrossRef]
- Benítez-del-Castillo, J.M.; Burgos-Blasco, B. Prevalence of Dry Eye Disease in Spain: A Population-Based Survey (PrevEOS). Ocul. Surf. 2025, 36, 126–133. [Google Scholar] [CrossRef] [PubMed]
- Roucaute, E.; Huertas-Bello, M.; Sabater, A.L. Novel Treatments for Dry Eye Syndrome. Curr. Opin. Pharmacol. 2024, 75, 102431. [Google Scholar] [CrossRef]
- Craig, J.P.; Nelson, J.D.; Azar, D.T.; Belmonte, C.; Bron, A.J.; Chauhan, S.K.; de Paiva, C.S.; Gomes, J.A.P.; Hammitt, K.M.; Jones, L.; et al. TFOS DEWS II Report Executive Summary. Ocul. Surf. 2017, 15, 802–812. [Google Scholar] [CrossRef]
- Wu, M.; Sun, C.; Shi, Q.; Luo, Y.; Wang, Z.; Wang, J.; Qin, Y.; Cui, W.; Yan, C.; Dai, H.; et al. Dry Eye Disease Caused by Viral Infection: Past, Present and Future. Virulence 2024, 15, 2289779. [Google Scholar] [CrossRef]
- Phadatare, S.P.; Momin, M.; Nighojkar, P.; Askarkar, S.; Singh, K.K. A Comprehensive Review on Dry Eye Disease: Diagnosis, Medical Management, Recent Developments, and Future Challenges. Adv. Pharm. 2015, 2015, 704946. [Google Scholar] [CrossRef]
- Barabino, S. A Narrative Review of Current Understanding and Classification of Dry Eye Disease with New Insights on the Impact of Dry Eye during the COVID-19 Pandemic. Ophthalmol. Ther. 2021, 10, 495–507. [Google Scholar] [CrossRef]
- Ouyang, X.W.; Fang, S.; Yi, Y.M.; Zou, S.P.; Hu, Q.Y.; Huang, Z.X.; Li, Q.X.; Luo, J.Y. Different Concentrations of Hyaluronic Acid Eye Drops for Dry Eye Syndrome: A Systematic Review and Meta-Analysis. Int. J. Ophthalmol. 2024, 17, 1110–1119. [Google Scholar] [CrossRef] [PubMed]
- Andrade del Olmo, J.; Sáez Martínez, V.; Martínez de Cestafe, N.; Alonso, J.M.; Olavarrieta, C.; Ucelay López de Heredia, M.; Benito Cid, S.; Pérez González, R. Effectiveness Evaluation of Hyaluronic Acid-Based Commercial Eye Drops to Treat Ophthalmic Dry Eye Disease. Carbohydr. Polym. Technol. Appl. 2024, 8, 100577. [Google Scholar] [CrossRef]
- Hynnekleiv, L.; Magno, M.; Vernhardsdottir, R.R.; Moschowits, E.; Tønseth, K.A.; Dartt, D.A.; Vehof, J.; Utheim, T.P. Hyaluronic Acid in the Treatment of Dry Eye Disease. Acta Ophthalmol. 2022, 100, 844–860. [Google Scholar] [CrossRef] [PubMed]
- Di Mola, A.; Landi, M.R.; Massa, A.; D’Amora, U.; Guarino, V. Hyaluronic Acid in Biomedical Fields: New Trends from Chemistry to Biomaterial Applications. Int. J. Mol. Sci. 2022, 23, 14372. [Google Scholar] [CrossRef] [PubMed]
- Chang, W.H.; Liu, P.Y.; Lin, M.H.; Lu, C.J.; Chou, H.Y.; Nian, C.Y.; Jiang, Y.T.; Hsu, Y.H.H. Applications of Hyaluronic Acid in Ophthalmology and Contact Lenses. Molecules 2021, 26, 2485. [Google Scholar] [CrossRef]
- Andrade del Olmo, J.; Sáez Martínez, V.; Pérez González, R.; María Alonso, J. Sustained Drug Release from Biopolymer-Based Hydrogels and Hydrogel Coatings. In Hydrogels—From Tradition to Innovative Platforms with Multiple Applications; IntechOpen: Rijeka, Croatia, 2022. [Google Scholar]
- Ye, H.; Zhang, R.; Zhang, C.; Xia, Y.; Jin, L. Advances in Hyaluronic Acid: Bioactivity, Complexed Biomaterials and Biological Application: A Review. Asian J. Surg. 2025, 48, 49–61. [Google Scholar] [CrossRef]
- Andrade del Olmo, J.; Alonso, J.M.; Sáez Martínez, V.; Ruiz-Rubio, L.; Pérez González, R.; Vilas-Vilela, J.L.; Pérez-Álvarez, L. Biocompatible Hyaluronic Acid-Divinyl Sulfone Injectable Hydrogels for Sustained Drug Release with Enhanced Antibacterial Properties against Staphylococcus Aureus. Mater. Sci. Eng. C 2021, 125, 112102. [Google Scholar] [CrossRef]
- Yasin, A.; Ren, Y.; Li, J.; Sheng, Y.; Cao, C.; Zhang, K. Advances in Hyaluronic Acid for Biomedical Applications. Front. Bioeng. Biotechnol. 2022, 10, 910290. [Google Scholar] [CrossRef] [PubMed]
- Del Olmo, J.A.; Pérez-álvarez, L.; Martínez, V.S.; Cid, S.B.; González, R.P.; Vilas-Vilela, J.L.; Alonso, J.M. Drug Delivery from Hyaluronic Acid–BDDE Injectable Hydrogels for Antibacterial and Anti-Inflammatory Applications. Gels 2022, 8, 223. [Google Scholar] [CrossRef]
- Hynnekleiv, L.; Magno, M.; Moschowits, E.; Tønseth, K.A.; Vehof, J.; Utheim, T.P. A Comparison between Hyaluronic Acid and Other Single Ingredient Eye Drops for Dry Eye, a Review. Acta Ophthalmol. 2024, 102, 25–37. [Google Scholar] [CrossRef]
- Zhang, X.; Wei, D.; Xu, Y.; Zhu, Q. Hyaluronic Acid in Ocular Drug Delivery. Carbohydr. Polym. 2021, 264, 118006. [Google Scholar] [CrossRef]
- Yang, Y.-J.; Lee, W.-Y.; Kim, Y.; Hong, Y. A Meta-Analysis of the Efficacy of Hyaluronic Acid Eye Drops for the Treatment of Dry Eye Syndrome. Int. J. Environ. Res. Public Health 2021, 18, 2383. [Google Scholar] [CrossRef]
- Salzillo, R.; Schiraldi, C.; Corsuto, L.; D’Agostino, A.; Filosa, R.; De Rosa, M.; La Gatta, A. Optimization of Hyaluronan-Based Eye Drop Formulations. Carbohydr. Polym. 2016, 153, 275–283. [Google Scholar] [CrossRef]
- Sánchez-González, J.-M.; De-Hita-Cantalejo, C.; González-Rodríguez, M.L.; Fernández-Trueba-Fagúndez, A.; Ballesteros-Sánchez, A.; Martinez-Perez, C.; Caro-Díaz, R.; Guzman, C.M.; González-Oyarce, M.F.; Sánchez-González, M.C. Efficacy Assessment of Liposome Crosslinked Hyaluronic Acid and Standard Hyaluronic Acid Eye Drops for Dry Eye Disease Management: A Comparative Study Employing the Ocular Surface Analyzer and Subjective Questionnaires. Front. Med. 2024, 11, 1264695. [Google Scholar] [CrossRef]
- Juncan, A.M.; Moisă, D.G.; Santini, A.; Morgovan, C.; Rus, L.L.; Vonica-țincu, A.L.; Loghin, F. Advantages of Hyaluronic Acid and Its Combination with Other Bioactive Ingredients in Cosmeceuticals. Molecules 2021, 26, 4429. [Google Scholar] [CrossRef]
- Chen, X.; Lin, N.; Li, J.M.; Liu, H.; Abu-Romman, A.; Yaman, E.; Bian, F.; de Paiva, C.S.; Pflugfelder, S.C.; Li, D.Q. Ectoine, from a Natural Bacteria Protectant to a New Treatment of Dry Eye Disease. Pharmaceutics 2024, 16, 236. [Google Scholar] [CrossRef]
- Ng, H.S.; Wan, P.K.; Kondo, A.; Chang, J.S.; Lan, J.C.W. Production and Recovery of Ectoine: A Review of Current State and Future Prospects. Processes 2023, 11, 339. [Google Scholar] [CrossRef]
- Wang, K.; Cui, B.; Wang, Y.; Luo, W. Microbial Production of Ectoine: A Review. ACS Synth. Biol. 2025, 14, 332–342. [Google Scholar] [CrossRef] [PubMed]
- Chen, J.; Qiao, D.; Yuan, T.; Feng, Y.; Zhang, P.; Wang, X.; Zhang, L. Biotechnological Production of Ectoine: Current Status and Prospects. Folia Microbiol. 2024, 69, 247–258. [Google Scholar] [CrossRef] [PubMed]
- Groß, D.; Childs, M.; Piaton, J.M. Comparative Study of 0.1% Hyaluronic Acid versus 0.5% Carboxymethylcellulose in Patients with Dry Eye Associated with Moderate Keratitis or Keratoconjunctivitis. Clin. Ophthalmol. 2018, 12, 1081–1088. [Google Scholar] [CrossRef] [PubMed]
- Arif, F.A.C.; Hilmi, M.R.; Rejab, N.S.M.; Wolffsohn, J.S. Immediate Effects of Artificial Tears with and without Preservatives Containing Hyaluronic Acid and Carboxymethyl Cellulose. Med. Hypothesis Discov. Innov. Optom. 2023, 4, 102–111. [Google Scholar] [CrossRef]
- Salim, S.; Kamath, S.J.; Jeganathan, S.; Pai, S.G.; Mendonca, T.M.; Kamath, A.R. Comparing the Efficacy of Sodium Hyaluronate Eye Drops and Carboxymethylcellulose Eye Drops in Treating Mild to Moderate Dry Eye Disease. Indian. J. Ophthalmol. 2023, 71, 1593–1597. [Google Scholar] [CrossRef]
- Aragona, P.; Benítez-Del-castillo, J.M.; Coroneo, M.T.; Mukherji, S.; Tan, J.; Vandewalle, E.; Vingrys, A.; Liu, H.; Carlisle-Wilcox, C.; Vehige, J.; et al. Safety and Efficacy of a Preservative-Free Artificial Tear Containing Carboxymethylcellulose and Hyaluronic Acid for Dry Eye Disease: A Randomized, Controlled, Multicenter 3-Month Study. Clin. Ophthalmol. 2020, 14, 2951–2963. [Google Scholar] [CrossRef]
- Paugh, J.R.; Chatelier, R.C.; Huff, J.W. Ocular Residence Time of Carboxymethylcellulose Solutions. In Lacrimal Gland, Tear Film, and Dry Eye Syndromes 2: Basic Science and Clinical Relevance; Sullivan, D.A., Dartt, D.A., Meneray, M.A., Eds.; Springer: Boston, MA, USA, 1998; pp. 761–767. ISBN 978-1-4615-5359-5. [Google Scholar]
- Allegri, P.; Marrazzo, G.; Ciurlo, C.; Mastromarino, A.; Autuori, S.; Murialdo, U. Retrospective Study to Evaluate the Efficacy on Vernal Kerato-Conjunctivitis (VKC) of 2% Ectoine versus 0.05% Ketotifen Eye-Drops. Investig. Ophthalmol. Vis. Sci. 2014, 55, 2492. [Google Scholar]
- Labetoulle, M.; Chiambaretta, F.; Shirlaw, A.; Leaback, R.; Baudouin, C. Osmoprotectants, Carboxymethylcellulose and Hyaluronic Acid Multi-Ingredient Eye Drop: A Randomised Controlled Trial in Moderate to Severe Dry Eye. Eye 2017, 31, 1409–1416. [Google Scholar] [CrossRef]
- Mateo Orobia, A.J.; Saa, J.; Lorenzo, A.O.; Herreras, J.M. Combination of Hyaluronic Acid, Carmellose, and Osmoprotectants for the Treatment of Dry Eye Disease. Clin. Ophthalmol. 2018, 12, 453–461. [Google Scholar] [CrossRef]
- Schrage, N.; Frentz, M.; Spoeler, F. The Ex Vivo Eye Irritation Test (EVEIT) in Evaluation of Artificial Tears: Purite®-Preserved versus Unpreserved Eye Drops. Graefe’s Arch. Clin. Exp. Ophthalmol. 2012, 250, 1333–1340. [Google Scholar] [CrossRef]
- Pathak, Y.; Sutariya, V.; Hirani, A.A. (Eds.) Nano-Biomaterials for Ophthalmic Drug Delivery; Springer International Publishing: Cham, Switzerland, 2016. [Google Scholar]
- Li, J.M.; Lin, N.; Zhang, Y.; Chen, X.; Liu, Z.; Lu, R.; Bian, F.; Liu, H.; Pflugfelder, S.C.; Li, D.Q. Ectoine Protects Corneal Epithelial Survival and Barrier from Hyperosmotic Stress by Promoting Anti-Inflammatory Cytokine IL-37. Ocul. Surf. 2024, 32, 182–191. [Google Scholar] [CrossRef] [PubMed]
- Bilstein, A.; Werkhäuser, N.; Rybachuk, A.; Mösges, R. The Effectiveness of the Bacteria Derived Extremolyte Ectoine for the Treatment of Allergic Rhinitis. Biomed Res. Int. 2021, 2021, 5562623. [Google Scholar] [CrossRef]
- Andrade del Olmo, J.; Sáez Martínez, V.; Martínez de Cestafe, N.; Alonso, J.M.; Goenaga Ibeas, C.; Ucelay López de Heredia, M.; Benito Cid, S.; Pérez González, R. Resistance to Enzymatic Degradation and Efficacy Evaluation of Crosslinked Hyaluronic Acid Based Commercial Viscosupplements for Knee Osteoarthritis Treatment. Carbohydr. Polym. Technol. Appl. 2023, 6, 100392. [Google Scholar] [CrossRef]
- Aragona, P.; Simmons, P.A.; Wang, H.; Wang, T. Physicochemical Properties of Hyaluronic Acid–Based Lubricant Eye Drops. Transl. Vis. Sci. Technol. 2019, 8, 2. [Google Scholar] [CrossRef]
- Alonso, J.M.; Andrade del Olmo, J.; Perez Gonzalez, R.; Saez-Martinez, V. Injectable Hydrogels: From Laboratory to Industrialization. Polymers 2021, 13, 650. [Google Scholar] [CrossRef]
- Balazs, E.A.; Cowman, M.K.; Briller, S.O.; Cleland, R.L. On the Limiting Viscosity Number of Hyaluronate in Potassium Phosphate Buffers between PH 6.5 and 8. Biopolymers 1983, 22, 589–591. [Google Scholar] [CrossRef]
- Gilbard, J.P. Human Tear Film Electrolyte Concentrations in Health and Dry-Eye Disease. Int. Ophthalmol. Clin. 1994, 34, 27–36. [Google Scholar] [CrossRef]
- Baudouin, C.; Aragona, P.; Messmer, E.M.; Tomlinson, A.; Calonge, M.; Boboridis, K.G.; Akova, Y.A.; Geerling, G.; Labetoulle, M.; Rolando, M. Role of Hyperosmolarity in the Pathogenesis and Management of Dry Eye Disease: Proceedings of the OCEAN Group Meeting. Ocul. Surf. 2013, 11, 246–258. [Google Scholar] [CrossRef]
- Patel, S.; Tutchenko, L. The Refractive Index of the Human Cornea: A Review. Contact Lens Anterior Eye 2019, 42, 575–580. [Google Scholar] [CrossRef] [PubMed]
- Arshinoff, S.A.; Hofmann, I.; Nae, H. Role of Rheology in Tears and Artificial Tears. J. Cataract Refract. Surg. 2021, 47, 655–661. [Google Scholar] [CrossRef]
- Müller-Lierheim, W.G.K. Why Chain Length of Hyaluronan in Eye Drops Matters. Diagnostics 2020, 10, 511. [Google Scholar] [CrossRef] [PubMed]
- Simmons, P.A.; Vehige, J.G. Investigating the Potential Benefits of a New Artificial Tear Formulation Combining Two Polymers. Clin. Ophthalmol. 2017, 11, 1637–1642. [Google Scholar] [CrossRef]
- Tiffany, J.M. The Viscosity of Human Tears. Int. Ophthalmol. 1991, 15, 371–376. [Google Scholar] [CrossRef] [PubMed]
- Tiffany, J.M. Viscoelastic Properties of Human Tears and Polymer Solutions. In Lacrimal Gland, Tear Film, and Dry Eye Syndromes. Advances in Experimental Medicine and Biology; Sullivan, D.A., Ed.; Springer: Boston, MA, USA, 1994; Volume 350. [Google Scholar]
- Arshinoff, S.; Hofmann, I.; Nae, H. Rheological Behavior of Commercial Artificial Tear Solutions. J. Cataract Refract. Surg. 2021, 47, 649–654. [Google Scholar] [CrossRef]
- Ludwig, A. The Use of Mucoadhesive Polymers in Ocular Drug Delivery. Adv. Drug Deliv. Rev. 2005, 57, 1595–1639. [Google Scholar] [CrossRef]
- Gupta, P.K.; Toyos, R.; Sheppard, J.D.; Toyos, M.; Mah, F.S.; Bird, B.; Theriot, P.E.; Higgins, D. Tolerability of Current Treatments for Dry Eye Disease: A Review of Approved and Investigational Therapies. Clin. Ophthalmol. 2024, 18, 2283–2302. [Google Scholar] [CrossRef]
- Bilstein, A.; Heinrich, A.; Rybachuk, A.; Mösges, R. Ectoine in the Treatment of Irritations and Inflammations of the Eye Surface. Biomed. Res. Int. 2021, 2021, 8885032. [Google Scholar] [CrossRef] [PubMed]
- Dwivedi, M.; Brinkkötter, M.; Harishchandra, R.K.; Galla, H.J. Biophysical Investigations of the Structure and Function of the Tear Fluid Lipid Layers and the Effect of Ectoine. Part B: Artificial Lipid Films. Biochim. Biophys. Acta Biomembr. 2014, 1838, 2716–2727. [Google Scholar] [CrossRef] [PubMed]
- Dwivedi, M.; Backers, H.; Harishchandra, R.K.; Galla, H.J. Biophysical Investigations of the Structure and Function of the Tear Fluid Lipid Layer and the Effect of Ectoine. Part A: Natural Meibomian Lipid Films. Biochim. Biophys. Acta Biomembr. 2014, 1838, 2708–2715. [Google Scholar] [CrossRef] [PubMed][Green Version]
- Harishchandra, R.K.; Sachan, A.K.; Kerth, A.; Lentzen, G.; Neuhaus, T.; Galla, H.J. Compatible Solutes: Ectoine and Hydroxyectoine Improve Functional Nanostructures in Artificial Lung Surfactants. Biochim. Biophys. Acta Biomembr. 2011, 1808, 2830–2840. [Google Scholar] [CrossRef][Green Version]
- Shute, J. Interleukin-8 Is a Potent Eosinophil Chemo-Attractant. Clin. Exp. Allergy 1994, 24, 203–206. [Google Scholar] [CrossRef]
- ISO 10993; Biological Evaluation of Medical Devices. International Organization for Standardization: Geneva, Switzerland, 2018.
- ISO 15798; Ophthalmic Implants—Ophthalmic Viscosurgical Devices. International Organization for Standardization: Geneva, Switzerland, 2016.
- ISO 11737-1; Sterilization of Health Care Products—Microbiological Methods—Part 1: Determination of a Population of Microorganisms on Products. International Organization for Standardization: Geneva, Switzerland, 2018.
- ISO 11981; Ophthalmic Optics—Contact Lenses and Contact Lens Care Products—Determination of Physical Com-patibility of Contact Lens Care Products with Contact Lenses. International Organization for Standardization: Geneva, Switzerland, 2017.
- ISO 18369-2; Ophthalmic Optics—Contact Lenses—Part 2: Tolerances. International Organization for Standardization: Geneva, Switzerland, 2017.
- Baudouin, C.; Labbé, A.; Liang, H.; Pauly, A.; Brignole-Baudouin, F. Preservatives in Eyedrops: The Good, the Bad and the Ugly. Prog. Retin. Eye Res. 2010, 29, 312–334. [Google Scholar] [CrossRef]






| Sample | DayDrop® Triple Action | Hylo-Dual® | Yeloin® |
|---|---|---|---|
| CE marking | CE 0318 | CE 0197 | CE 0483 |
| Composition | Ectoine 2% Hyaluronic acid 0.1% Carboxymethylcellulose 0.15% Borate buffer Water for injection | Ectoine 2% Hyaluronic acid 0.05% Borate buffer Water for injection | Ectoine 2% Hyaluronic acid 0.24% Sodium chloride Sodium hydroxide Water for injection |
| Indications | It is indicated to relieve dryness and ocular irritation caused by environmental factors (wind, dust, smoke, air conditioning, dry heat), prolonged use of screens or contact lenses, and certain ocular conditions presenting these symptoms. | It relieves allergy symptoms such as itching and burning, moisturizes the cornea and conjunctiva and protects them from excessive evaporation of tears. This stabilization of the tear film alleviates the symptoms of irritated eye inflammation. | It is indicated in cases of dry eyes, eye irritation, conjunctivitis and exposure to external agents, such as ultraviolet radiation. |
| Package content | Single-dose 30 or 5 × 0.4 mL Multidose 10 mL | Multidose 10 mL | Single-dose 30 × 0.5 mL Multidose 10 mL |
| Primary packaging materials | Single dose: low-density polyethylene containers. Multidose: containers with OSD technology (Ophthalmic Squeeze Dispenser). | Polymeric container with COMOD® (COntinuous MOno Dose) system. | Polymeric container with a patented pump mechanism |
| Dosage | Apply 1 or 2 drops twice a day or as directed by your specialist. | Apply 1 drop three times a day in the conjunctival sac | Apply 1 or 2 drops to the eye as needed. |
| Administration | Ophthalmic route | ||
Disclaimer/Publisher’s Note: The statements, opinions and data contained in all publications are solely those of the individual author(s) and contributor(s) and not of MDPI and/or the editor(s). MDPI and/or the editor(s) disclaim responsibility for any injury to people or property resulting from any ideas, methods, instructions or products referred to in the content. |
© 2025 by the authors. Licensee MDPI, Basel, Switzerland. This article is an open access article distributed under the terms and conditions of the Creative Commons Attribution (CC BY) license (https://creativecommons.org/licenses/by/4.0/).
Share and Cite
del Olmo, J.A.; Melero, A.; Pino, A.; Martínez de Cestafe, N.; Gartziandia, O.; Ucelay López de Heredia, M.; Torrecilla, J.; Gómez, L.; Benito Cid, S.; Alonso, J.M.; et al. Enhanced Ocular Retention and Anti-Allergic Efficacy of a Novel HA–Ectoine–CMC Eye Drop for Dry Eye Disease Management. J. Pharm. BioTech Ind. 2025, 2, 16. https://doi.org/10.3390/jpbi2040016
del Olmo JA, Melero A, Pino A, Martínez de Cestafe N, Gartziandia O, Ucelay López de Heredia M, Torrecilla J, Gómez L, Benito Cid S, Alonso JM, et al. Enhanced Ocular Retention and Anti-Allergic Efficacy of a Novel HA–Ectoine–CMC Eye Drop for Dry Eye Disease Management. Journal of Pharmaceutical and BioTech Industry. 2025; 2(4):16. https://doi.org/10.3390/jpbi2040016
Chicago/Turabian Styledel Olmo, Jon Andrade, Alejandro Melero, Ander Pino, Nagore Martínez de Cestafe, Oihane Gartziandia, Miguel Ucelay López de Heredia, Josune Torrecilla, Laura Gómez, Sandra Benito Cid, José María Alonso, and et al. 2025. "Enhanced Ocular Retention and Anti-Allergic Efficacy of a Novel HA–Ectoine–CMC Eye Drop for Dry Eye Disease Management" Journal of Pharmaceutical and BioTech Industry 2, no. 4: 16. https://doi.org/10.3390/jpbi2040016
APA Styledel Olmo, J. A., Melero, A., Pino, A., Martínez de Cestafe, N., Gartziandia, O., Ucelay López de Heredia, M., Torrecilla, J., Gómez, L., Benito Cid, S., Alonso, J. M., & Pérez González, R. (2025). Enhanced Ocular Retention and Anti-Allergic Efficacy of a Novel HA–Ectoine–CMC Eye Drop for Dry Eye Disease Management. Journal of Pharmaceutical and BioTech Industry, 2(4), 16. https://doi.org/10.3390/jpbi2040016

