Sign in to use this feature.

Years

Between: -

Subjects

remove_circle_outline
remove_circle_outline
remove_circle_outline
remove_circle_outline
remove_circle_outline
remove_circle_outline
remove_circle_outline
remove_circle_outline

Journals

Article Types

Countries / Regions

Search Results (27)

Search Parameters:
Keywords = honey badger algorithm (HBA)

Order results
Result details
Results per page
Select all
Export citation of selected articles as:
18 pages, 446 KB  
Article
Aquaculture Water Quality Classification Using XGBoost Classifier Model Optimized by the Honey Badger Algorithm with SHAP and DiCE-Based Explanations
by S M Naim, Prosenjit Das, Jun-Jiat Tiang and Abdullah-Al Nahid
Water 2025, 17(20), 2993; https://doi.org/10.3390/w17202993 - 16 Oct 2025
Viewed by 262
Abstract
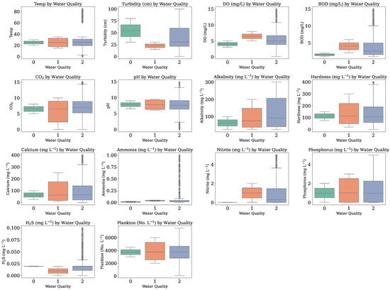
Water quality is an essential part of maintaining a healthy environment for fish farming. The quality of the water is related to a few of the chemical and biological characteristics of water. The conventional evaluation methods of the water quality are often time-consuming [...] Read more.
Water quality is an essential part of maintaining a healthy environment for fish farming. The quality of the water is related to a few of the chemical and biological characteristics of water. The conventional evaluation methods of the water quality are often time-consuming and may overlook complex interdependencies among multiple indicators. This study has proposed a robust machine learning framework for aquaculture water quality classification by integrating the Honey Badger Algorithm (HBA) with the XGBoost classifier. The framework enhances classification accuracy and incorporates explainability through SHAP and DiCE, thereby providing both predictive performance and transparency for practical water quality management. For reliability, the dataset has been randomly shuffled, and a custom 5-fold cross-validation strategy has been applied. Later, through the metaheuristic-based HBA, feature selections and hyperparameter tuning have been performed to improve and increase the prediction accuracy. The highest accuracy of 98.45% has been achieved by a particular fold, whereas the average accuracy is 98.05% across all folds, indicating the model’s stability. SHAP analysis reveals Ammonia, Nitrite, DO, Turbidity, BOD, Temperature, pH, and CO2 as the topmost water quality indicators. Finally, the DiCE analysis has analyzed that Temperature, Turbidity, DO, BOD, CO2, pH, Ammonia, and Nitrite are more influential parameters of water quality. Full article
Show Figures

Figure 1

23 pages, 2165 KB  
Article
An Enhanced Knowledge Salp Swarm Algorithm for Solving the Numerical Optimization and Seed Classification Tasks
by Qian Li and Yiwei Zhou
Biomimetics 2025, 10(9), 638; https://doi.org/10.3390/biomimetics10090638 - 22 Sep 2025
Viewed by 465
Abstract
The basic Salp Swarm Algorithm (SSA) offers advantages such as a simple structure and few parameters. However, it is prone to falling into local optima and remains inadequate for seed classification tasks that involve hyperparameter optimization of machine learning classifiers such as Support [...] Read more.
The basic Salp Swarm Algorithm (SSA) offers advantages such as a simple structure and few parameters. However, it is prone to falling into local optima and remains inadequate for seed classification tasks that involve hyperparameter optimization of machine learning classifiers such as Support Vector Machines (SVMs). To overcome these limitations, an Enhanced Knowledge-based Salp Swarm Algorithm (EKSSA) is proposed. The EKSSA incorporates three key strategies: Adaptive adjustment mechanisms for parameters c1 and α to better balance exploration and exploitation within the salp population; a Gaussian walk-based position update strategy after the initial update phase, enhancing the global search ability of individuals; and a dynamic mirror learning strategy that expands the search domain through solution mirroring, thereby strengthening local search capability. The proposed algorithm was evaluated on thirty-two CEC benchmark functions, where it demonstrated superior performance compared to eight state-of-the-art algorithms, including Randomized Particle Swarm Optimizer (RPSO), Grey Wolf Optimizer (GWO), Archimedes Optimization Algorithm (AOA), Hybrid Particle Swarm Butterfly Algorithm (HPSBA), Aquila Optimizer (AO), Honey Badger Algorithm (HBA), Salp Swarm Algorithm (SSA), and Sine–Cosine Quantum Salp Swarm Algorithm (SCQSSA). Furthermore, an EKSSA-SVM hybrid classifier was developed for seed classification, achieving higher classification accuracy. Full article
Show Figures

Figure 1

30 pages, 4526 KB  
Article
Multi-Strategy Honey Badger Algorithm for Global Optimization
by Delong Guo and Huajuan Huang
Biomimetics 2025, 10(9), 581; https://doi.org/10.3390/biomimetics10090581 - 2 Sep 2025
Viewed by 663
Abstract
The Honey Badger Algorithm (HBA) is a recently proposed metaheuristic optimization algorithm inspired by the foraging behavior of honey badgers. The search mechanism of this algorithm is divided into two phases: a mining phase and a honey-seeking phase, effectively emulating the processes of [...] Read more.
The Honey Badger Algorithm (HBA) is a recently proposed metaheuristic optimization algorithm inspired by the foraging behavior of honey badgers. The search mechanism of this algorithm is divided into two phases: a mining phase and a honey-seeking phase, effectively emulating the processes of exploration and exploitation within the search space. Despite its innovative approach, the Honey Badger Algorithm (HBA) faces challenges such as slow convergence rates, an imbalanced trade-off between exploration and exploitation, and a tendency to become trapped in local optima. To address these issues, we propose an enhanced version of the Honey Badger Algorithm (HBA), namely the Multi-Strategy Honey Badger Algorithm (MSHBA), which incorporates a Cubic Chaotic Mapping mechanism for population initialization. This integration aims to enhance the uniformity and diversity of the initial population distribution. In the mining and honey-seeking stages, the position of the honey badger is updated based on the best fitness value within the population. This strategy may lead to premature convergence due to population aggregation around the fittest individual. To counteract this tendency and enhance the algorithm’s global optimization capability, we introduce a random search strategy. Furthermore, an elite tangential search and a differential mutation strategy are employed after three iterations without detecting a new best value in the population, thereby enhancing the algorithm’s efficacy. A comprehensive performance evaluation, conducted across a suite of established benchmark functions, reveals that the MSHBA excels in 26 out of 29 IEEE CEC 2017 benchmarks. Subsequent statistical analysis corroborates the superior performance of the MSHBA. Moreover, the MSHBA has been successfully applied to four engineering design problems, highlighting its capability for addressing constrained engineering design challenges and outperforming other optimization algorithms in this domain. Full article
(This article belongs to the Special Issue Advances in Biological and Bio-Inspired Algorithms)
Show Figures

Figure 1

33 pages, 14789 KB  
Article
A Node-Degree Power-Law Distribution-Based Honey Badger Algorithm for Global and Engineering Optimization
by Shuangyu Song, Zhenyu Song, Xingqian Chen and Junkai Ji
Electronics 2025, 14(11), 2302; https://doi.org/10.3390/electronics14112302 - 5 Jun 2025
Viewed by 499
Abstract
The honey badger algorithm (HBA) has gained significant attention as a metaheuristic optimization method; however, despite these design strengths, it still faces challenges such as premature convergence, suboptimal exploration–exploitation balance, and low population diversity. To address these limitations, we integrate a power-law degree [...] Read more.
The honey badger algorithm (HBA) has gained significant attention as a metaheuristic optimization method; however, despite these design strengths, it still faces challenges such as premature convergence, suboptimal exploration–exploitation balance, and low population diversity. To address these limitations, we integrate a power-law degree distribution (PDD) topology into the HBA population structure. Three improved versions of the HBA are proposed, with each employing different population update strategies: PDDHBA-R, PDDHBA-B, and PDDHBA-H. In the PDDHBA-R strategy, individuals randomly select neighbours as references, promoting diversity and randomness. The PDDHBA-B strategy allows individuals to select the best neighbouring individual, speeding up convergence. The PDDHBA-H strategy combines both approaches, using random selection for elite individuals and best selection for non-elite individuals. These algorithms were tested on 30 benchmark functions from CEC2017, 21 real-world problems from CEC2011, and four constrained engineering problems. The experimental results show that all three improvements significantly improve the performance of the HBA, with PDDHBA-H delivering the best results across various tests. Further analysis of the parameter sensitivity, computational complexity, population diversity, and exploration–exploitation balance confirms the superiority of PDDHBA-H, highlighting its potential for use in complex optimization problems. Full article
(This article belongs to the Special Issue Applications of Edge Computing in Mobile Systems)
Show Figures

Figure 1

24 pages, 2110 KB  
Article
Optimizing Hybrid Renewable Energy Systems for Isolated Applications: A Modified Smell Agent Approach
by Manal Drici, Mourad Houabes, Ahmed Tijani Salawudeen and Mebarek Bahri
Eng 2025, 6(6), 120; https://doi.org/10.3390/eng6060120 - 1 Jun 2025
Viewed by 1392
Abstract
This paper presents the optimal sizing of a hybrid renewable energy system (HRES) for an isolated residential building using modified smell agent optimization (mSAO). The paper introduces a time-dependent approach that adapts the selection of the original SAO control parameters as the algorithm [...] Read more.
This paper presents the optimal sizing of a hybrid renewable energy system (HRES) for an isolated residential building using modified smell agent optimization (mSAO). The paper introduces a time-dependent approach that adapts the selection of the original SAO control parameters as the algorithm progresses through the optimization hyperspace. This modification addresses issues of poor convergence and suboptimal search in the original algorithm. Both the modified and standard algorithms were employed to design an HRES system comprising photovoltaic panels, wind turbines, fuel cells, batteries, and hydrogen storage, all connected via a DC-bus microgrid. The components were integrated with the microgrid using DC-DC power converters and supplied a designated load through a DC-AC inverter. Multiple operational scenarios and multi-objective criteria, including techno-economic metrics such as levelized cost of energy (LCOE) and loss of power supply probability (LPSP), were evaluated. Comparative analysis demonstrated that mSAO outperforms the standard SAO and the honey badger algorithm (HBA) used for the purpose of comparison only. Our simulation results highlighted that the PV–wind turbine–battery system achieved the best economic performance. In this case, the mSAO reduced the LPSP by approximately 38.89% and 87.50% over SAO and the HBA, respectively. Similarly, the mSAO also recorded LCOE performance superiority of 4.05% and 28.44% over SAO and the HBA, respectively. These results underscore the superiority of the mSAO in solving optimization problems. Full article
Show Figures

Figure 1

21 pages, 4248 KB  
Article
A Novel Method of Parameter Identification for Lithium-Ion Batteries Based on Elite Opposition-Based Learning Snake Optimization
by Wuke Li, Ying Xiong, Shiqi Zhang, Xi Fan, Rui Wang and Patrick Wong
World Electr. Veh. J. 2025, 16(5), 268; https://doi.org/10.3390/wevj16050268 - 14 May 2025
Cited by 1 | Viewed by 666
Abstract
This paper shows that lithium-ion battery model parameters are vital for state-of-health assessment and performance optimization. Traditional evolutionary algorithms often fail to balance global and local search. To address these challenges, this study proposes the Elite Opposition-Based Learning Snake Optimization (EOLSO) algorithm, which [...] Read more.
This paper shows that lithium-ion battery model parameters are vital for state-of-health assessment and performance optimization. Traditional evolutionary algorithms often fail to balance global and local search. To address these challenges, this study proposes the Elite Opposition-Based Learning Snake Optimization (EOLSO) algorithm, which uses an elite opposition-based learning mechanism to enhance diversity and a non-monotonic temperature factor to balance exploration and exploitation. The algorithm is applied to the parameter identification of the second-order RC equivalent circuit model. EOLSO outperforms some traditional optimization methods, including the Gray Wolf Optimizer (GWO), Honey Badger Algorithm (HBA), Golden Jackal Optimizer (GJO), Enhanced Snake Optimizer (ESO), and Snake Optimizer (SO), in both standard functions and HPPC experiments. The experimental results demonstrate that EOLSO significantly outperforms the SO, achieving reductions of 43.83% in the Sum of Squares Error (SSE), 30.73% in the Mean Absolute Error (MAE), and 25.05% in the Root Mean Square Error (RMSE). These findings position EOLSO as a promising tool for lithium-ion battery modeling and state estimation. It also shows potential applications in battery management systems, electric vehicle energy management, and other complex optimization problems. The code of EOLSO is available on GitHub. Full article
Show Figures

Figure 1

14 pages, 3896 KB  
Article
Multi-Peak Photovoltaic Maximum Power Point Tracking Method Based on Honey Badger Algorithm Under Localized Shading Conditions
by Qianjin Gui, Lei Wang, Chao Ding, Wenfa Xu, Xiaoyang Li, Feilong Yu and Haisen Wang
Energies 2025, 18(5), 1258; https://doi.org/10.3390/en18051258 - 4 Mar 2025
Cited by 1 | Viewed by 1031
Abstract
The P-V and I-V curves of photovoltaic (PV) strings show multiple peaks when exposed to partial shading conditions (PSCs). The traditional maximum power point tracking (MPPT) method cannot track the global maximum power point (GMPP) due to the multi-peak characteristics, power fluctuation, and [...] Read more.
The P-V and I-V curves of photovoltaic (PV) strings show multiple peaks when exposed to partial shading conditions (PSCs). The traditional maximum power point tracking (MPPT) method cannot track the global maximum power point (GMPP) due to the multi-peak characteristics, power fluctuation, and tracking speed. In this paper, a multi-peak PV MPPT method based on the honey badger algorithm (HBA) is proposed to track the GMPP in a localized shading environment. The performance of this method is also compared and analyzed with the traditional MPPT methods based on the perturbation observation (P&O) method and Particle Swarm Optimization (PSO) algorithm. The experimental results have proven that, compared with the MPPT methods based on P&O and PSO, the proposed multi-peak MPPT method based on the HBA algorithm has a faster tracking speed, higher tracking accuracy, and fewer iterations. Full article
(This article belongs to the Special Issue Power Electronic and Power Conversion Systems for Renewable Energy)
Show Figures

Figure 1

33 pages, 8058 KB  
Article
GOHBA: Improved Honey Badger Algorithm for Global Optimization
by Yourui Huang, Sen Lu, Quanzeng Liu, Tao Han and Tingting Li
Biomimetics 2025, 10(2), 92; https://doi.org/10.3390/biomimetics10020092 - 6 Feb 2025
Cited by 2 | Viewed by 1886
Abstract
Aiming at the problem that the honey badger algorithm easily falls into local convergence, insufficient global search ability, and low convergence speed, this paper proposes a global optimization honey badger algorithm (Global Optimization HBA) (GOHBA), which improves the search ability of the population, [...] Read more.
Aiming at the problem that the honey badger algorithm easily falls into local convergence, insufficient global search ability, and low convergence speed, this paper proposes a global optimization honey badger algorithm (Global Optimization HBA) (GOHBA), which improves the search ability of the population, with better ability to jump out of the local optimum, faster convergence speed, and better stability. The introduction of Tent chaotic mapping initialization enhances the population diversity and initializes the population quality of the HBA. Replacing the density factor enhances the search range of the algorithm in the entire solution space and avoids premature convergence to a local optimum. The addition of the golden sine strategy enhances the global search capability of the HBA and accelerates the convergence speed. Compared with seven algorithms, the GOHBA achieves the optimal mean value on 14 of the 23 tested functions. On two real-world engineering design problems, the GOHBA was optimal. On three path planning problems, the GOHBA had higher accuracy and faster convergence. The above experimental results show that the performance of the GOHBA is indeed excellent. Full article
Show Figures

Figure 1

25 pages, 8175 KB  
Article
Improved Honey Badger Algorithm Based on Elite Tangent Search and Differential Mutation with Applications in Fault Diagnosis
by He Ting, Chang Yong and Chen Peng
Processes 2025, 13(1), 256; https://doi.org/10.3390/pr13010256 - 17 Jan 2025
Cited by 1 | Viewed by 1012
Abstract
This paper presents a critique of the Honey Badger Algorithm (HBA) with regard to its limited exploitation capabilities, susceptibility to local optima, and inadequate pre-exploration mechanisms. In order to address these issues, we propose the Improved Honey Badger Algorithm (IHBA), which integrates the [...] Read more.
This paper presents a critique of the Honey Badger Algorithm (HBA) with regard to its limited exploitation capabilities, susceptibility to local optima, and inadequate pre-exploration mechanisms. In order to address these issues, we propose the Improved Honey Badger Algorithm (IHBA), which integrates the Elite Tangent Search Algorithm (ETSA) and differential mutation strategies. Our approach employs cubic chaotic mapping in the initialization phase and a random value perturbation strategy in the pre-iterative stage to enhance exploration and prevent premature convergence. In the event that the optimal population value remains unaltered across three iterations, the elite tangent search with differential variation is employed to accelerate convergence and enhance precision. Comparative experiments on partial CEC2017 test functions demonstrate that the IHBA achieves faster convergence, greater accuracy, and improved robustness. Moreover, the IHBA is applied to the fault diagnosis of rolling bearings in electric motors to construct the IHBA-VMD-CNN-BiLSTM fault diagnosis model, which quickly and accurately identifies fault types. Experimental verification confirms that this method enhances the speed and accuracy of rolling bearing fault identification compared to traditional approaches. Full article
(This article belongs to the Section Sustainable Processes)
Show Figures

Figure 1

16 pages, 1091 KB  
Article
A Hybrid Honey Badger Algorithm to Solve Energy-Efficient Hybrid Flow Shop Scheduling Problems
by M. Geetha, R. Chandra Guru Sekar and M. K. Marichelvam
Processes 2025, 13(1), 174; https://doi.org/10.3390/pr13010174 - 9 Jan 2025
Cited by 3 | Viewed by 1751
Abstract
A well-planned schedule is essential to any organization’s growth. Thus, it is important for the literature to cover a more comprehensive range of scheduling problems. In this paper, energy-efficient hybrid flow shop (EEHFS) scheduling problems are considered. Researchers have developed several techniques to [...] Read more.
A well-planned schedule is essential to any organization’s growth. Thus, it is important for the literature to cover a more comprehensive range of scheduling problems. In this paper, energy-efficient hybrid flow shop (EEHFS) scheduling problems are considered. Researchers have developed several techniques to deal with EEHFS scheduling problems. Also, researchers have recently proposed several metaheuristics. Honey Badger Algorithm (HBA) is one of the most recent algorithms proposed to solve various optimization problems. The objective of the present work is to solve EEHFS scheduling problems using the Hybrid Honey Badger Algorithm (HHBA) to reduce the makespan (Cmax) and total energy cost (TEC). In the HHBA, a constructive heuristic known as the NEH heuristic was incorporated with the Honey Badger Algorithm. The suggested algorithm’s performance was verified using an actual industrial scheduling problem. The company’s results are compared with those of the HHBA. The HHBA could potentially result in an 8% decrease in total energy cost. Then, the proposed algorithm was applied to solve 54 random benchmark problems. The results of the proposed HHBA were compared with the FIFO dispatching rule, the NEH heuristic, and other metaheuristics such as the simulated annealing (SA) algorithm, the genetic algorithm (GA), the particle swarm optimization (PSO) algorithm, Honey Badger Algorithm, and the Ant Colony Optimization (ACO) algorithms addressed in the literature. Average percentage deviation (APD) was the performance measure used to compare different algorithms. The APD of the proposed HHBA was zero. This indicates that the proposed HHBA is more effective in solving EEHFS scheduling problems. Full article
(This article belongs to the Section Process Control and Monitoring)
Show Figures

Figure 1

31 pages, 6717 KB  
Article
Multi-Objective Energy Management in Microgrids: Improved Honey Badger Algorithm with Fuzzy Decision-Making and Battery Aging Considerations
by Mohana Alanazi, Abdulaziz Alanazi, Zulfiqar Ali Memon, Ahmed Bilal Awan and Mohamed Deriche
Energies 2024, 17(17), 4373; https://doi.org/10.3390/en17174373 - 1 Sep 2024
Cited by 5 | Viewed by 2068
Abstract
A multi-objective energy management and scheduling strategy for a microgrid comprising wind turbines, solar cells, fuel cells, microturbines, batteries, and loads is proposed in this work. The plan uses a fuzzy decision-making technique to reduce pollution emissions, battery storage aging costs, and operating [...] Read more.
A multi-objective energy management and scheduling strategy for a microgrid comprising wind turbines, solar cells, fuel cells, microturbines, batteries, and loads is proposed in this work. The plan uses a fuzzy decision-making technique to reduce pollution emissions, battery storage aging costs, and operating expenses. To be more precise, we applied an improved honey badger algorithm (IHBA) to find the best choice variables, such as the size of energy resources and storage, by combining fuzzy decision-making with the Pareto solution set and a chaotic sequence. We used the IHBA to perform single- and multi-objective optimization simulations for the microgrid’s energy management, and we compared the results with those of the conventional HBA and particle swarm optimization (PSO). The results showed that the multi-objective method improved both goals by resulting in a compromise between them. On the other hand, the single-objective strategy makes one goal stronger and the other weaker. Apart from that, the IHBA performed better than the conventional HBA and PSO, which also lowers the cost. The suggested approach beat the alternative tactics in terms of savings and effectively reached the ideal solution based on the Pareto set by utilizing fuzzy decision-making and the IHBA. Furthermore, compared with the scenario without this cost, the results indicated that integrating battery aging costs resulted in an increase of 7.44% in operational expenses and 3.57% in pollution emissions costs. Full article
(This article belongs to the Section D2: Electrochem: Batteries, Fuel Cells, Capacitors)
Show Figures

Figure 1

16 pages, 3714 KB  
Article
A Hybrid Approach for Photovoltaic Maximum Power Tracking under Partial Shading Using Honey Badger and Genetic Algorithms
by Zhi-Kai Fan, Annisa Setianingrum, Kuo-Lung Lian and Suwarno Suwarno
Energies 2024, 17(16), 3935; https://doi.org/10.3390/en17163935 - 8 Aug 2024
Cited by 3 | Viewed by 2036
Abstract
This study presents a new approach for Maximum Power Point Tracking (MPPT) by combining the honey badger algorithm (HBA) with a Genetic Algorithm (GA). The integration aims to optimize photovoltaic (PV) system performance in partial shading conditions (PSCs). Initially, the HBA is utilized [...] Read more.
This study presents a new approach for Maximum Power Point Tracking (MPPT) by combining the honey badger algorithm (HBA) with a Genetic Algorithm (GA). The integration aims to optimize photovoltaic (PV) system performance in partial shading conditions (PSCs). Initially, the HBA is utilized to explore extensively and identify potential solutions while avoiding local optima. If necessary, the GA is then employed to escape local optima through selection, crossover, and mutation operations. On average, this proposed method has a 40% improvement in tracking time and 0.77% in efficiency compared with the HBA. In a dynamic case, the proposed method achieves a 4.81% improvement compared to HBA. Full article
(This article belongs to the Section A2: Solar Energy and Photovoltaic Systems)
Show Figures

Figure 1

20 pages, 2917 KB  
Article
Implementation of Accurate Parameter Identification for Proton Exchange Membrane Fuel Cells and Photovoltaic Cells Based on Improved Honey Badger Algorithm
by Wei-Lun Yu, Chen-Kai Wen, En-Jui Liu and Jen-Yuan Chang
Micromachines 2024, 15(8), 998; https://doi.org/10.3390/mi15080998 - 31 Jul 2024
Cited by 1 | Viewed by 3863
Abstract
Predicting the system efficiency of green energy and developing forward-looking power technologies are key points to accelerating the global energy transition. This research focuses on optimizing the parameters of proton exchange membrane fuel cells (PEMFCs) and photovoltaic (PV) cells using the honey badger [...] Read more.
Predicting the system efficiency of green energy and developing forward-looking power technologies are key points to accelerating the global energy transition. This research focuses on optimizing the parameters of proton exchange membrane fuel cells (PEMFCs) and photovoltaic (PV) cells using the honey badger algorithm (HBA), a swarm intelligence algorithm, to accurately present the performance characteristics and efficiency of the systems. Although the HBA has a fast search speed, it was found that the algorithm’s search stability is relatively low. Therefore, this study also enhances the HBA’s global search capability through the rapid iterative characteristics of spiral search. This method will effectively expand the algorithm’s functional search range in a multidimensional and complex solution space. Additionally, the introduction of a sigmoid function will smoothen the algorithm’s exploration and exploitation mechanisms. To test the robustness of the proposed methodology, an extensive test was conducted using the CEC’17 benchmark functions set and real-life applications of PEMFC and PV cells. The results of the aforementioned test proved that with regard to the optimization of PEMFC and PV cell parameters, the improved HBA is significantly advantageous to the original in terms of both solving capability and speed. The results of this research study not only make definite progress in the field of bio-inspired computing but, more importantly, provide a rapid and accurate method for predicting the maximum power point for fuel cells and photovoltaic cells, offering a more efficient and intelligent solution for green energy. Full article
(This article belongs to the Special Issue The 15th Anniversary of Micromachines)
Show Figures

Figure 1

18 pages, 6988 KB  
Article
Intelligent Classification of Volcanic Rocks Based on Honey Badger Optimization Algorithm Enhanced Extreme Gradient Boosting Tree Model: A Case Study of Hongche Fault Zone in Junggar Basin
by Junkai Chen, Xili Deng, Xin Shan, Ziyan Feng, Lei Zhao, Xianghua Zong and Cheng Feng
Processes 2024, 12(2), 285; https://doi.org/10.3390/pr12020285 - 28 Jan 2024
Cited by 6 | Viewed by 1694
Abstract
Lithology identification is the fundamental work of oil and gas reservoir exploration and reservoir evaluation. The lithology of volcanic reservoirs is complex and changeable, the longitudinal lithology changes a great deal, and the log response characteristics are similar. The traditional lithology identification methods [...] Read more.
Lithology identification is the fundamental work of oil and gas reservoir exploration and reservoir evaluation. The lithology of volcanic reservoirs is complex and changeable, the longitudinal lithology changes a great deal, and the log response characteristics are similar. The traditional lithology identification methods face difficulties. Therefore, it is necessary to use machine learning methods to deeply explore the corresponding relationship between the conventional log curve and lithology in order to establish a lithology identification model. In order to accurately identify the dominant lithology of volcanic rock, this paper takes the Carboniferous intermediate basic volcanic reservoir in the Hongche fault zone as the research object. Firstly, the Synthetic Minority Over-Sampling Technique–Edited Nearest Neighbours (SMOTEENN) algorithm is used to solve the problem of the uneven data-scale distribution of different dominant lithologies in the data set. Then, based on the extreme gradient boosting tree model (XGBoost), the honey badger optimization algorithm (HBA) is used to optimize the hyperparameters, and the HBA-XGBoost intelligent model is established to carry out volcanic rock lithology identification research. In order to verify the applicability and efficiency of the proposed model in volcanic reservoir lithology identification, the prediction results of six commonly used machine learning models, XGBoost, K-nearest neighbor (KNN), gradient boosting decision tree model (GBDT), adaptive boosting model (AdaBoost), support vector machine (SVM) and convolutional neural network (CNN), are compared and analyzed. The results show that the HBA-XGBoost model proposed in this paper has higher accuracy, precision, recall rate and F1-score than other models, and can be used as an effective means for the lithology identification of volcanic reservoirs. Full article
Show Figures

Figure 1

38 pages, 4297 KB  
Article
Differential Mutation Incorporated Quantum Honey Badger Algorithm with Dynamic Opposite Learning and Laplace Crossover for Fuzzy Front-End Product Design
by Jiaxu Huang and Haiqing Hu
Biomimetics 2024, 9(1), 21; https://doi.org/10.3390/biomimetics9010021 - 2 Jan 2024
Cited by 2 | Viewed by 1945
Abstract
In this paper, a multi-strategy fusion enhanced Honey Badger algorithm (EHBA) is proposed to address the problem of easy convergence to local optima and difficulty in achieving fast convergence in the Honey Badger algorithm (HBA). The adoption of a dynamic opposite learning strategy [...] Read more.
In this paper, a multi-strategy fusion enhanced Honey Badger algorithm (EHBA) is proposed to address the problem of easy convergence to local optima and difficulty in achieving fast convergence in the Honey Badger algorithm (HBA). The adoption of a dynamic opposite learning strategy broadens the search area of the population, enhances global search ability, and improves population diversity. In the honey harvesting stage of the honey badger (development), differential mutation strategies are combined, selectively introducing local quantum search strategies that enhance local search capabilities and improve population optimization accuracy, or introducing dynamic Laplacian crossover operators that can improve convergence speed, while reducing the odds of the HBA sinking into local optima. Through comparative experiments with other algorithms on the CEC2017, CEC2020, and CEC2022 test sets, and three engineering examples, EHBA has been verified to have good solving performance. From the comparative analysis of convergence graphs, box plots, and algorithm performance tests, it can be seen that compared with the other eight algorithms, EHBA has better results, significantly improving its optimization ability and convergence speed, and has good application prospects in the field of optimization problems. Full article
(This article belongs to the Special Issue Nature-Inspired Metaheuristic Optimization Algorithms)
Show Figures

Figure 1

Back to TopTop