Due to scheduled maintenance work on our servers, there may be short service disruptions on this website between 11:00 and 12:00 CEST on March 28th.
Sign in to use this feature.

Years

Between: -

Subjects

remove_circle_outline
remove_circle_outline
remove_circle_outline
remove_circle_outline
remove_circle_outline
remove_circle_outline
remove_circle_outline
remove_circle_outline
remove_circle_outline

Journals

Article Types

Countries / Regions

Search Results (162)

Search Parameters:
Keywords = high-voltage interface circuits

Order results
Result details
Results per page
Select all
Export citation of selected articles as:
23 pages, 2175 KB  
Article
An Adaptive Injection-Based Protection Method for Distribution Networks Considering Impacts of High-Penetration Distributed Generation
by Shoudong Xu, Jinxin Ouyang, Zixin Li and Yanbo Diao
Sustainability 2026, 18(6), 2863; https://doi.org/10.3390/su18062863 - 14 Mar 2026
Viewed by 149
Abstract
Driven by the goal of sustainable energy transitions, the integration of Inverter-Interfaced Distributed Generation (IIDG) has led to a continuous decline in the accuracy of single-phase grounding fault line selection in neutral non-effectively grounded distribution networks. Protection methods based on characteristic signal injection [...] Read more.
Driven by the goal of sustainable energy transitions, the integration of Inverter-Interfaced Distributed Generation (IIDG) has led to a continuous decline in the accuracy of single-phase grounding fault line selection in neutral non-effectively grounded distribution networks. Protection methods based on characteristic signal injection currently struggle to balance the differentiated requirements of fault detection sensitivity and equipment safety in networks with high-penetration IIDG. To address this issue, a high-frequency equivalent circuit model of the IIDG is established. The distribution patterns of the high-frequency characteristic current (HFCC) in distribution networks under high-penetration IIDG are analyzed. Subsequently, an adaptive HFCC injection strategy is proposed, which accounts for IIDG low-voltage ride-through (LVRT) requirements, fault identification sensitivity, and equipment safety constraints. Based on the amplitude and phase differences in the HFCC between faulty and healthy feeders, a fault line selection criterion is established. Consequently, an adaptive injection-based protection method for single-phase grounding fault is developed, considering the impact of high-penetration IIDG. Simulation results demonstrate that the proposed method accurately identifies the faulty feeder under various fault locations, transition resistances, and quantities of integrated IIDG units. The results further confirm the high adaptability and reliability of the method, thereby providing a robust technical foundation for the safe, reliable, and sustainable operation of modern power grids. Full article
Show Figures

Figure 1

14 pages, 4032 KB  
Article
An 850 nm Grating Coupler on Thin-Film Lithium Niobate Enabled by Topological Unidirectional Guided Resonance
by Yuan Fan, Haihua Yu, Hao Yu, Haoran Wang, Yi Zuo and Chao Peng
Photonics 2026, 13(2), 199; https://doi.org/10.3390/photonics13020199 - 17 Feb 2026
Viewed by 540
Abstract
The inherently high-voltage-length product (VπL) of thin-film lithium niobate (TFLN) modulators in the O-, C-, and L-telecom bands restricts further scaling of photonic integrated circuits’ bandwidth density, driving their migration toward shorter operating wavelengths. Nevertheless, the corresponding grating couplers, [...] Read more.
The inherently high-voltage-length product (VπL) of thin-film lithium niobate (TFLN) modulators in the O-, C-, and L-telecom bands restricts further scaling of photonic integrated circuits’ bandwidth density, driving their migration toward shorter operating wavelengths. Nevertheless, the corresponding grating couplers, as critical optical input/outputs (optical I/Os) interfaces, remain largely undeveloped. Here, we demonstrate an 850 nm TFLN grating coupler designed based on topological unidirectional guided resonance (UGR). By breaking C2 symmetry of the unit cell and precisely tailoring its geometry, we achieve unidirectional upward radiation with a 63.7 dB up/down intensity ratio. Subsequent apodization of groove widths and periods enables precise control of the electrical field distribution in both real and momentum spaces. This yields a vertical-cavity surface-emitting laser (VCSEL)-matched, highly fabrication-tolerant TFLN grating coupler that attains, to the best of our knowledge, the highest simulated coupling efficiency of −0.6 dB without mirrors or hybrid materials. This work delivers a high-efficiency, layout-flexible, and complementary metal oxide semiconductor (CMOS)-compatible optical I/Os solution for short-wavelength TFLN modulators with low VπL. It offers substantial engineering value and broad applicability for on-chip light source integration and high-bandwidth-density short-reach optical interconnects. Full article
Show Figures

Figure 1

11 pages, 2004 KB  
Communication
Rational Design of Double Hole Transfer Layers for Efficient CdTe Nanocrystal Solar Cells
by Zheng Zhou, Xinyi Wang, Jielin Huang, Qichuan Huang and Donghuan Qin
Nanomaterials 2026, 16(4), 239; https://doi.org/10.3390/nano16040239 - 12 Feb 2026
Viewed by 343
Abstract
Energy losses induced by inefficient charge transfer and large energy-level offsets at the interface limit the efficiency of CdTe nanocrystal (NC) solar cells. In this work, organic poly(triaryl amine) (PTAA) and inorganic CuI which form double hole transport layers (HTLs) are first proposed [...] Read more.
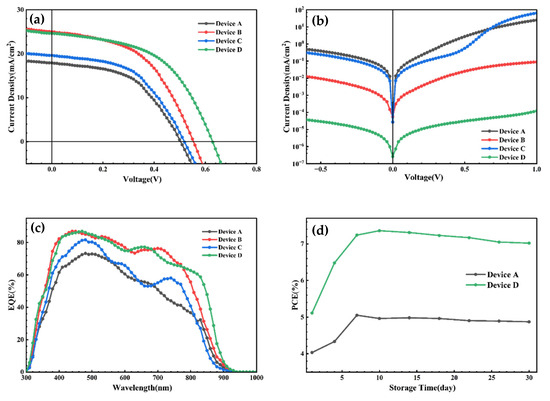
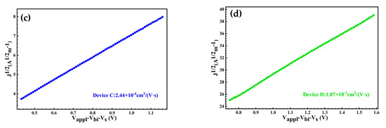
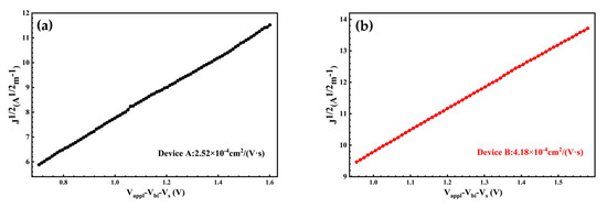
Energy losses induced by inefficient charge transfer and large energy-level offsets at the interface limit the efficiency of CdTe nanocrystal (NC) solar cells. In this work, organic poly(triaryl amine) (PTAA) and inorganic CuI which form double hole transport layers (HTLs) are first proposed to improve the charge transfer capability of hole transport layers (HTLs) and reduce the band offset at the interface of CdTe NCs. The introduced CuI improves carrier mobility, while PTAA reduces interface recombination and reinforces the inner built-in field, resulting in low energy loss from the CdTe NC active layer to the contact electrode. Photovoltaic devices using these modified back contacts show increases in both open-circuit voltage and short-circuit current, compared to a controlled device without HTL. The CdTe NCs utilizing CuI-PTAA double HTLs demonstrate a high power conversion efficiency (PCE) of 7.36%. High stability is also demonstrated, with PCE loss being less than 5% after tracking for 30 days. This work provides an effective way to minimize energy loss at the interface of the back contact in inverted CdTe NCs solar cells, by incorporating proper hole transfer layer design. Full article
(This article belongs to the Special Issue Nano-Based Advanced Thermoelectric Design: 2nd Edition)
Show Figures

Figure 1

13 pages, 3150 KB  
Article
Effect of Ag/AgCl Paste Composition on the Performance of Screen-Printed Flexible Ag/AgCl Biomedical Electrodes
by Wei Li, Qingyue Luo, Danlei Jing, Yongqing Hu, Hu Sun, Xianglei Yu, Bowen Yang, Zikai Xiong, Jiqiang Gao and Junpeng Li
Materials 2026, 19(4), 644; https://doi.org/10.3390/ma19040644 - 7 Feb 2026
Viewed by 377
Abstract
This study focused on the flexible Ag/AgCl biomedical electrode fabricated by screen printing. It systematically investigated the influence of the Ag/AgCl paste on its performance. By adjusting the type of silver powder and the mass ratio of Ag to AgCl, multiple groups of [...] Read more.
This study focused on the flexible Ag/AgCl biomedical electrode fabricated by screen printing. It systematically investigated the influence of the Ag/AgCl paste on its performance. By adjusting the type of silver powder and the mass ratio of Ag to AgCl, multiple groups of Ag/AgCl pastes were prepared, and their conductivity, microstructure, electrochemical properties, and mechanical stability were systematically characterized. The research results indicated that the specific surface area of the silver powder and the ratio of Ag to AgCl significantly affected the resistivity of the paste and the interface structure of the electrode. When using high specific surface area sheet-like silver powder H and an Ag:AgCl ratio of 5:5, the prepared electrode exhibited the best comprehensive performance: a lower resistivity (2.16 × 10−7 Ω·m), stable open-circuit voltage, good redox reversibility, and an impedance lower than that of commercial electrocardiogram electrodes. Further verification through an electrocardiogram detection system confirmed that this electrode could clearly and stably collect human electrocardiogram signals, meeting the practical requirements of electrocardiogram detection. This study provided an important theoretical and experimental basis for the development of high-performance and low-cost screen-printed Ag/AgCl flexible electrodes. Full article
(This article belongs to the Section Electronic Materials)
Show Figures

Figure 1

15 pages, 6464 KB  
Article
Defect Passivation and Enhanced Hole Extraction in Inverted Perovskite Solar Cells via CeO2@MoS2 Interfacial Engineering
by Pradeep Kumar, Chia-Feng Li, Hou-Chin Cha, Yun-Ming Sung, Yu-Ching Huang and Kuen-Lin Chen
Nanomaterials 2026, 16(3), 188; https://doi.org/10.3390/nano16030188 - 30 Jan 2026
Viewed by 485
Abstract
Nanomaterial-based hole transport layers (HTLs) play a vital role in regulating interfacial charge extraction and recombination in perovskite solar cells (PSCs). To improve PSC efficiency, hydrothermally synthesized CeO2@MoS2 nanocomposites (CM NCs) were incorporated as an interfacial buffer layer into a [...] Read more.
Nanomaterial-based hole transport layers (HTLs) play a vital role in regulating interfacial charge extraction and recombination in perovskite solar cells (PSCs). To improve PSC efficiency, hydrothermally synthesized CeO2@MoS2 nanocomposites (CM NCs) were incorporated as an interfacial buffer layer into a NiOX/MeO-2PACz HTL. The introduction of CM NCs induces strong interfacial interactions, where Mo sites in MoS2 interact with NiOX, modulating the Ni2+/Ni3+ ratio and reducing the interfacial trap density. Moreover, CeO2 promotes the formation of oxygen vacancies, collectively improving the conductivity and hole transport capability of the NiOX HTL. The MoS2-grafted CeO2 interlayer effectively tailors the interfacial energetics and creates an effective channel for hole transfer, thereby reducing open-circuit voltage (VOC) loss and enhancing device performance. This interface modification efficiently enhances hole extraction, and non-radiative recombination is effectively suppressed at the NiOX/MeO-2PACz/perovskite interface. Thereby, incorporating 2 vol% CM NCs into PSCs achieved a power conversion efficiency (PCE) of 17.93%, compared to 17.50% for a 1 vol% CM NCs-based device and 17.01% for the unmodified control device. The enhanced performance at the optimized CM NCs concentration is attributed to effective defect passivation, reduced VOC loss, and improved interfacial band alignment, which together facilitate hole extraction and suppress non-radiative recombination. However, excessive CM NCs incorporation (4 vol%) leads to increased interfacial resistance, partial hole blocking effects associated with the n-type nature of CeO2, and aggravated recombination, resulting in degraded device performance. These results demonstrate that precise control over CM NCs interlayer thickness and concentration is critical for maximizing device performance, providing a robust strategy for designing high-efficiency and stable NiOX-based PSCs and advancing nanocomposite-enabled interfacial engineering for photovoltaic applications. Full article
(This article belongs to the Section Solar Energy and Solar Cells)
Show Figures

Figure 1

15 pages, 13678 KB  
Article
A New Low-Noise Power Stage for the GAIA LNA-Biasing Board in Next-Generation Cryogenic Receivers
by Pierluigi Ortu, Andrea Saba, Giuseppe Valente, Alessandro Navarrini, Alessandro Cabras, Roberto Caocci and Giorgio Montisci
Electronics 2026, 15(2), 482; https://doi.org/10.3390/electronics15020482 - 22 Jan 2026
Viewed by 222
Abstract
This paper presents the design and implementation of the Power Stage GAIA (PSG), a high-current digital bias board developed by the Italian National Institute for Astrophysics (INAF) to extend the capabilities of the GAIA bias system. The PSG was developed within the Advanced [...] Read more.
This paper presents the design and implementation of the Power Stage GAIA (PSG), a high-current digital bias board developed by the Italian National Institute for Astrophysics (INAF) to extend the capabilities of the GAIA bias system. The PSG was developed within the Advanced European THz Receiver Array (AETHRA) project to support next-generation cryogenic receivers for millimeter-wave astronomy. Specifically, the AETHRA Work Package 1 (WP1) W-band downconverter integrates Monolithic Microwave Integrated Circuits (MMICs) requiring currents significantly exceeding the 50 mA limit of standard bias boards. To address these requirements, the PSG introduces a modular extension providing ten independent channels, each capable of delivering up to 500 mA with a programmable output range of 0–5 V. A key feature of the design is the adoption of a fully linear architecture based on LT1970 power amplifiers and INA225 precision sensors managed via an I2C digital interface. This approach ensures the high current capability required by modern power amplifiers while strictly avoiding the spectral noise and Radio Frequency Interference (RFI) typical of switching power supplies. Experimental validation confirms the system’s robustness and precision: the board demonstrated linear operation up to 460 mA and exceptional long-term stability, with a measured RMS voltage deviation below 50 µV. These results establish the PSG as a scalable, low-noise solution suitable for biasing high-power MMICs in future cryogenic receiver arrays. Full article
(This article belongs to the Section Power Electronics)
Show Figures

Figure 1

30 pages, 4547 KB  
Article
Operator-Based Direct Nonlinear Control Using Self-Powered TENGs for Rectifier Bridge Energy Harvesting
by Chengyao Liu and Mingcong Deng
Machines 2026, 14(1), 7; https://doi.org/10.3390/machines14010007 - 19 Dec 2025
Cited by 1 | Viewed by 510
Abstract
Triboelectric nanogenerators (TENGs) offer intrinsically high open-circuit voltages in the kilovolt range; however, conventional diode rectifier interfaces clamp the voltage prematurely, restricting access to the high-energy portion of the mechanical cycle and preventing delivery-centric control. This work develops a unified physical basis for [...] Read more.
Triboelectric nanogenerators (TENGs) offer intrinsically high open-circuit voltages in the kilovolt range; however, conventional diode rectifier interfaces clamp the voltage prematurely, restricting access to the high-energy portion of the mechanical cycle and preventing delivery-centric control. This work develops a unified physical basis for contact–separation (CS) TENGs by confirming the consistency of the canonical VocCs relation with a dual-capacitor energy model and analytically establishing that both terminal voltage and storable electrostatic energy peak near maximum plate separation. Leveraging this insight, a self-powered gas-discharge-tube (GDT) rectifier bridge is devised to replace two diodes and autonomously trigger conduction exclusively in the high-voltage window without auxiliary bias. An inductive buffer regulates the current slew rate and reduces I2R loss, while the proposed topology realizes two decoupled power rails from a single CS-TENG, enabling simultaneous sensing/processing and actuation. A low-power microcontroller is powered from one rail through an energy-harvesting module and executes an operator-based nonlinear controller to regulate the actuator-side rail via a MOSFET–resistor path. Experimental results demonstrate earlier and higher-efficiency energy transfer compared with a diode-bridge baseline, robust dual-rail decoupling under dynamic loading, and accurate closed-loop voltage tracking with negligible computational and energy overhead. These findings confirm the practicality of the proposed self-powered architecture and highlight the feasibility of integrating operator-theoretic control into TENG-driven rectifier interfaces, advancing delivery-oriented power extraction from high-voltage TENG sources. Full article
(This article belongs to the Special Issue Advances in Dynamics and Vibration Control in Mechanical Engineering)
Show Figures

Figure 1

23 pages, 4207 KB  
Article
Voltage Security-Constrained Energy Storage Planning Model Considering Multi-Agent Collaborative Optimization in High-Renewable Power Systems
by Han Jiang, Linsong Liu, Jinming Hou, Jiawei Wu, Tingke He and Xiaomeng Ai
Energies 2025, 18(24), 6597; https://doi.org/10.3390/en18246597 - 17 Dec 2025
Viewed by 364
Abstract
Enhancing system strength to ensure voltage security has become a critical challenge for power systems with high penetration of renewable energy (RE). As China accelerates its clean-energy transition, the conventional grid dominated by synchronous generators is evolving into a dual-high system characterized by [...] Read more.
Enhancing system strength to ensure voltage security has become a critical challenge for power systems with high penetration of renewable energy (RE). As China accelerates its clean-energy transition, the conventional grid dominated by synchronous generators is evolving into a dual-high system characterized by both high shares of wind–solar generation and extensive power-electronic interfaces. This shift fundamentally alters the mechanisms of voltage support, rendering traditional short circuit ratio (SCR) index inadequate for describing grid strength. To address this gap, this study proposes a multi-renewable-station short circuit ratio (MRSCR) index that quantitatively evaluates the voltage support strength of RE-dominated systems, and further analyzes the mechanism by which multiple agents on the generation and grid sides affect MRSCR, enhancing the generality and applicability of the proposed index. The MRSCR is further formulated as a voltage security constraint and integrated into an energy storage planning model considering multi-agent collaborative optimization. The proposed model jointly optimizes the siting and capacity configuration of grid-forming energy storage under voltage security constraints. Case studies on the IEEE 14-bus system and a real provincial grid show that incorporating the MRSCR indicator effectively enhances the system’s voltage support performance and operational resilience, achieving these improvements with only a 5.45% increase in daily operating cost compared with baseline planning results. The framework provides a practical offline tool for energy storage planning, enabling both enhanced renewable integration and improved voltage security. Full article
(This article belongs to the Section F1: Electrical Power System)
Show Figures

Figure 1

24 pages, 17472 KB  
Article
A Biomimetic Roll-Type Tactile Sensor Inspired by the Meissner Corpuscle for Enhanced Dynamic Performance
by Kunio Shimada
Biomimetics 2025, 10(12), 817; https://doi.org/10.3390/biomimetics10120817 - 5 Dec 2025
Cited by 1 | Viewed by 676
Abstract
Highly sensitive bioinspired cutaneous receptors are essential for realistic human-robot interaction. This study presents a biomimetic tactile sensor morphologically modeled after the Meissner corpuscle, designed for high dynamic sensitivity achieved using a coiled configuration. Our proposed electrolytic polymerization technique with magnet-responsive hybrid fluid [...] Read more.
Highly sensitive bioinspired cutaneous receptors are essential for realistic human-robot interaction. This study presents a biomimetic tactile sensor morphologically modeled after the Meissner corpuscle, designed for high dynamic sensitivity achieved using a coiled configuration. Our proposed electrolytic polymerization technique with magnet-responsive hybrid fluid (HF) was employed to fabricate soft, elastic rubber sensors with embedded coiled electrodes. The coiled configuration, optimized by electrolytic polymerization, exhibited high responsiveness to dynamic motions including pressing, pinching, twisting, bending, and shearing. The mechanism of the haptic property was analyzed by electrochemical impedance spectroscopy (EIS), revealing that reactance variations define an equivalent electric circuit (EEC) whose resistance (Rp), capacitance (Cp), and inductance (Lp) change with applied force; these changes correspond to mechanical deformation and the resulting variation in the sensor’s built-in voltage. The roll-type Meissner-inspired sensor demonstrated fast-adapting behavior and broadband vibratory sensitivity, indicating its potential for high-performance tactile and auditory sensing. These findings confirm the feasibility of electrolytically polymerized hybrid fluid rubber as a platform for next-generation bioinspired haptic interfaces. Full article
(This article belongs to the Special Issue Smart Artificial Muscles and Sensors for Bio-Inspired Robotics)
Show Figures

Figure 1

15 pages, 2964 KB  
Article
Evaluation of a Silicon Carbide Static Induction Transistor for High Frequency/High Temperature Sensor Interface Circuits: Measurements and Modeling
by Jonathon R. Grgat, Maximilian C. Scardelletti and Christian A. Zorman
Sensors 2025, 25(22), 7051; https://doi.org/10.3390/s25227051 - 18 Nov 2025
Viewed by 544
Abstract
In this paper, we report on the characterization of a silicon carbide static induction transistor (SiC SIT) for potential use in sensor interface circuits that operate at frequencies up to 100 MHz and temperatures up to 400 °C. Measurements were performed to generate [...] Read more.
In this paper, we report on the characterization of a silicon carbide static induction transistor (SiC SIT) for potential use in sensor interface circuits that operate at frequencies up to 100 MHz and temperatures up to 400 °C. Measurements were performed to generate current–voltage curves, capacitive transistor characteristics, and high-frequency scattering parameters at temperatures between 25 and 400 °C. The measured data were used to extrapolate the transconductance, gm, as a function of temperature and to develop a small signal model. Circuit simulation tools were used to generate scattering parameters, which were compared to the measured values. At 400 °C, the maximum difference between the measured and simulated scattering parameters for frequencies from 20 to 100 MHz were all less than 0.1 dB, indicating strong agreement between the model and measurement results. The average transition frequency, ft, calculated from measured parameters was 197.8 MHz, which compares favorably to the simulated value from the model (200 MHz). This is also the first paper to report the characterization of a SiC SIT at temperatures above 100 °C. The high-temperature model is the first of its kind for a silicon carbide static induction transistor and the findings reported herein provide a platform to stimulate further development for sensor interface circuits that require transistors that operate at both high frequency and high temperature. Full article
(This article belongs to the Special Issue Electronics and Sensors for Structure Health Monitoring)
Show Figures

Figure 1

37 pages, 5698 KB  
Article
Design and Optimization of Self-Powered Photodetector Using Lead-Free Halide Perovskite Ba3SbI3: Insights from DFT and SCAPS-1D
by Salah Abdo, Ambali Alade Odebowale, Amer Abdulghani, Khalil As’ham, Yacine Djalab, Nicholas Kanizaj and Andrey E. Miroshnichenko
Nanomaterials 2025, 15(21), 1656; https://doi.org/10.3390/nano15211656 - 30 Oct 2025
Cited by 1 | Viewed by 1932
Abstract
All-inorganic halide perovskites have attracted significant interest in photodetector applications due to their remarkable photoresponse properties. However, the toxicity and instability of lead-based perovskites hinder their commercialization. In this work, we propose cubic Ba3SbI3 as a promising, environmentally friendly, lead-free [...] Read more.
All-inorganic halide perovskites have attracted significant interest in photodetector applications due to their remarkable photoresponse properties. However, the toxicity and instability of lead-based perovskites hinder their commercialization. In this work, we propose cubic Ba3SbI3 as a promising, environmentally friendly, lead-free material for next-generation photodetector applications. Ba3SbI3 shows good light absorption, low effective masses, and favorable elemental abundance and cost, making it a promising candidate compound for device applications. Its structural, mechanical, electronic, and optical properties were systematically investigated using density functional theory (DFT) with the Perdew–Burke–Ernzerhof (PBE) and hybrid HSE06 functionals. The material was found to be dynamically and mechanically stable, with a direct bandgap of 0.78 eV (PBE) and 1.602 eV (HSE06). Photodetector performance was then simulated in an Al/FTO/In2S3/Ba3SbI3/Sb2S3/Ni configuration using SCAPS-1D. To optimize device efficiency, the width, dopant level, and bulk concentration for each layer of the gadgets were systematically modified, while the effects of interface defects, operating temperature, and series and shunt resistances were also evaluated. The optimized device achieved an open-circuit voltage (Voc) of 1.047 V, short-circuit current density (Jsc) of 31.65 mA/cm2, responsivity of 0.605 A W−1, and detectivity of 1.05 × 1017 Jones. In contrast, in the absence of the Sb2S3 layer, the performance was reduced to a Voc of 0.83 V, Jsc of 26.8 mA/cm2, responsivity of 0.51 A W−1, and detectivity of 1.5 × 1015 Jones. These results highlight Ba3SbI3 as a promising platform for high-performance, cost-effective, and environmentally benign photodetectors. Full article
Show Figures

Figure 1

19 pages, 1076 KB  
Article
A Calculation Methodology for Short-Circuit Currents Under High Penetration of Renewables and VSC-HVDC
by Yi Lu, Qian Chen, Peng Qiu, Wen Hua, Po Li, Guoteng Wang and Ying Huang
Electronics 2025, 14(21), 4209; https://doi.org/10.3390/electronics14214209 - 28 Oct 2025
Viewed by 955
Abstract
The increasing integration of power-electronic devices, such as voltage source converter-based high-voltage direct current (VSC-HVDC) systems and inverter-interfaced renewable energy sources (RESs), has rendered conventional short-circuit current (SCC) calculation methods inadequate. This paper proposes a novel analytical model that explicitly incorporates the current-limiting [...] Read more.
The increasing integration of power-electronic devices, such as voltage source converter-based high-voltage direct current (VSC-HVDC) systems and inverter-interfaced renewable energy sources (RESs), has rendered conventional short-circuit current (SCC) calculation methods inadequate. This paper proposes a novel analytical model that explicitly incorporates the current-limiting control dynamics of voltage source converters to accurately determine SCCs. The key contribution is a simplified yet accurate formulation that captures the transient behavior during faults, offering a more realistic assessment compared to traditional quasi-steady-state approaches. The proposed model was rigorously validated through electromagnetic transient (EMT) simulations and large-scale case studies. The results demonstrate that the method reduces the SCC calculation error to below 4%. Furthermore, when applied to the real-world provincial power grids of ZJ and JS, all computations converged within 10 iterations, confirming its robust numerical stability. These findings offer valuable insights for protection coordination studies and verify the model’s effectiveness as a reliable tool for planning future power systems with high power-electronics penetration. Full article
(This article belongs to the Section Power Electronics)
Show Figures

Figure 1

33 pages, 3684 KB  
Review
Advancing Earth-Abundant CZTSSe Solar Cells: Recent Progress in Efficiency and Defect Engineering
by Yusuf Selim Ocak and Fatih Bayansal
Nanomaterials 2025, 15(21), 1617; https://doi.org/10.3390/nano15211617 - 23 Oct 2025
Cited by 5 | Viewed by 2382
Abstract
The earth-abundant, ecologically friendly structure of kesterite Cu2ZnSn(S,Se)4 (CZTSe) solar cells, with their advantageous optoelectronic characteristics, including a direct bandgap (1.0–1.5 eV) and a high optical absorption coefficient (>104 cm−1), have made them a very promising member [...] Read more.
The earth-abundant, ecologically friendly structure of kesterite Cu2ZnSn(S,Se)4 (CZTSe) solar cells, with their advantageous optoelectronic characteristics, including a direct bandgap (1.0–1.5 eV) and a high optical absorption coefficient (>104 cm−1), have made them a very promising member of thin-film photovoltaics. However, the path toward commercialization has been slowed down by restraint such as high open-circuit voltage deficits, deep-level defect states, and compositional inhomogeneities that lead to charge recombination and efficiency loss. Despite these obstacles, very recent advances in material processing and device engineering have revitalized this technology. Incorporating elements like Ge, Ag, and Li; optimizing interface properties; and introducing methods like hydrogen-assisted selenization have all contributed to raising device efficiencies by around 15%. This review discusses recent progress and evaluates how far CZTSSe has come and what remains to be done to realize its commercial promise. Full article
Show Figures

Figure 1

27 pages, 4352 KB  
Review
Energy Storage, Power Management, and Applications of Triboelectric Nanogenerators for Self-Powered Systems: A Review
by Xiong Dien, Nurulazlina Ramli, Tzer Hwai Gilbert Thio, Zhuanqing Yang, Siyu Hu and Xiang He
Micromachines 2025, 16(10), 1170; https://doi.org/10.3390/mi16101170 - 15 Oct 2025
Cited by 3 | Viewed by 1903
Abstract
Triboelectric nanogenerators (TENGs) have emerged as efficient mechanical-energy harvesters with advantages—simple architectures, broad material compatibility, low cost, and strong environmental tolerance—positioning them as key enablers of self-powered systems. This review synthesizes recent progress in energy-storage interfaces, power management, and system-level integration for TENGs. [...] Read more.
Triboelectric nanogenerators (TENGs) have emerged as efficient mechanical-energy harvesters with advantages—simple architectures, broad material compatibility, low cost, and strong environmental tolerance—positioning them as key enablers of self-powered systems. This review synthesizes recent progress in energy-storage interfaces, power management, and system-level integration for TENGs. We analyze how intrinsic source characteristics—high output voltage, low current, large internal impedance, and pulsed waveforms—complicate efficient charge extraction and utilization. Accordingly, this work highlights a variety of power-conditioning approaches, including advanced rectification, multistage buffering, impedance transformation/matching, and voltage regulation. Moreover, recent developments in the integration of TENGs with storage elements, cover hybrid topologies and flexible architectures. Application case studies in wearable electronics, environmental monitoring, smart-home security, and human–machine interfaces illustrate the dual roles of TENGs as power sources and self-driven sensors. Finally, we outline research priorities: miniaturized and integrated power-management circuits, AI-assisted adaptive control, multimodal hybrid storage platforms, load-adaptive power delivery, and flexible, biocompatible encapsulation. Overall, this review provides a consolidated view of state-of-the-art TENG-based self-powered systems and practical guidance toward real-world deployment. Full article
(This article belongs to the Section A:Physics)
Show Figures

Figure 1

19 pages, 1317 KB  
Review
Integrated High-Voltage Bidirectional Protection Switches with Overcurrent Protection: Review and Design Guide
by Justin Pabot, Mostafa Amer, Yvon Savaria and Ahmad Hassan
Electronics 2025, 14(19), 3819; https://doi.org/10.3390/electronics14193819 - 26 Sep 2025
Viewed by 1630
Abstract
Protecting sensitive electronic interfaces is critical in industrial applications, where exposure to harsh conditions and fault events is common. This paper reviews and compares circuit techniques for the design of bidirectional protection switches, highlighting key features such as analog switching, high-voltage capability, thermal [...] Read more.
Protecting sensitive electronic interfaces is critical in industrial applications, where exposure to harsh conditions and fault events is common. This paper reviews and compares circuit techniques for the design of bidirectional protection switches, highlighting key features such as analog switching, high-voltage capability, thermal shutdown, galvanic input isolation, and adjustable current limiting. Based on this review, we propose a universal architecture that combines the most suitable building blocks identified in the literature, with a focus on options that would enable monolithic integration in high-voltage silicon-on-insulator (SOI) technology and capable of delivering up to 2 A at a maximum voltage of 200 V. The proposed architecture is intended as a design guide for realizing a universal switch, rather than a fabricated implementation. To demonstrate system-level interactions, behavioral MATLAB/Simulink (R2024b) simulations are presented using generic components, which show expected functional responses but are not tied to process-specific device models. Full article
Show Figures

Figure 1

Back to TopTop