Sign in to use this feature.

Years

Between: -

Subjects

remove_circle_outline
remove_circle_outline
remove_circle_outline
remove_circle_outline
remove_circle_outline
remove_circle_outline
remove_circle_outline
remove_circle_outline
remove_circle_outline

Journals

Article Types

Countries / Regions

Search Results (147)

Search Parameters:
Keywords = heat load forecasting

Order results
Result details
Results per page
Select all
Export citation of selected articles as:
26 pages, 1489 KB  
Article
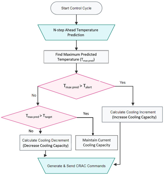
Proactive Cooling Control Algorithm for Data Centers Based on LSTM-Driven Predictive Thermal Analysis
by Jieying Liu, Rui Fan, Zonglin Li, Napat Harnpornchai and Jianlei Qian
Appl. Syst. Innov. 2026, 9(1), 21; https://doi.org/10.3390/asi9010021 - 12 Jan 2026
Viewed by 5
Abstract
The conventional reactive cooling strategy, which relies on static thresholds, has become inadequate for managing dynamically changing heat loads, often resulting in energy inefficiency and increased risk of local hot spots. In this study, we develop a data center cooling optimization system that [...] Read more.
The conventional reactive cooling strategy, which relies on static thresholds, has become inadequate for managing dynamically changing heat loads, often resulting in energy inefficiency and increased risk of local hot spots. In this study, we develop a data center cooling optimization system that integrates distributed sensor arrays for predictive analysis. By deploying high-density temperature and humidity sensors both inside and outside server racks, a real-time, high-fidelity three-dimensional digital twin of the data center’s thermal environment is constructed. Time-series analysis combined with Long Short-Term Memory algorithms is employed to forecast temperature and humidity based on the extensive environmental data collected, achieving high predictive accuracy with a root mean square error of 0.25 and an R2 value of 0.985. Building on these predictions, a proactive cooling control strategy is formulated to dynamically adjust fan speeds and the opening degree of chilled-water valves in computer room air conditioning units, changing the cooling approach from passive to preemptive prevention of overheating. Compared with conventional proportional–integral–differential control, the developed system significantly reduces overall energy consumption and maintains all equipment within safe operating temperatures. Specifically, the framework has reduced the energy consumption of the cooling system by 37.5%, lowered the overall power usage effectiveness of the data center by 12% (1.48 to 1.30), and suppressed the cumulative hotspot duration (temperature 27 °C) by nearly 96% (from 48 to 2 h). Full article
Show Figures

Figure 1

40 pages, 5487 KB  
Communication
Physics-Informed Temperature Prediction of Lithium-Ion Batteries Using Decomposition-Enhanced LSTM and BiLSTM Models
by Seyed Saeed Madani, Yasmin Shabeer, Michael Fowler, Satyam Panchal, Carlos Ziebert, Hicham Chaoui and François Allard
World Electr. Veh. J. 2026, 17(1), 2; https://doi.org/10.3390/wevj17010002 - 19 Dec 2025
Viewed by 591
Abstract
Accurately forecasting the operating temperature of lithium-ion batteries (LIBs) is essential for preventing thermal runaway, extending service life, and ensuring the safe operation of electric vehicles and stationary energy-storage systems. This work introduces a unified, physics-informed, and data-driven temperature-prediction framework that integrates mathematically [...] Read more.
Accurately forecasting the operating temperature of lithium-ion batteries (LIBs) is essential for preventing thermal runaway, extending service life, and ensuring the safe operation of electric vehicles and stationary energy-storage systems. This work introduces a unified, physics-informed, and data-driven temperature-prediction framework that integrates mathematically governed preprocessing, electrothermal decomposition, and sequential deep learning architectures. The methodology systematically applies the governing relations to convert raw temperature measurements into trend, seasonal, and residual components, thereby isolating long-term thermal accumulation, reversible entropy-driven oscillations, and irreversible resistive heating. These physically interpretable signatures serve as structured inputs to machine learning and deep learning models trained on temporally segmented temperature sequences. Among all evaluated predictors, the Bidirectional Long Short-Term Memory (BiLSTM) network achieved the highest prediction fidelity, yielding an RMSE of 0.018 °C, a 35.7% improvement over the conventional Long Short-Term Memory (LSTM) (RMSE = 0.028 °C) due to its ability to simultaneously encode forward and backward temporal dependencies inherent in cyclic electrochemical operation. While CatBoost exhibited the strongest performance among classical regressors (RMSE = 0.022 °C), outperforming Random Forest, Gradient Boosting, Support Vector Regression, XGBoost, and LightGBM, it remained inferior to BiLSTM because it lacks the capacity to represent bidirectional electrothermal dynamics. This performance hierarchy confirms that LIB thermal evolution is not dictated solely by historical load sequences; it also depends on forthcoming cycling patterns and entropic interactions, which unidirectional and memoryless models cannot capture. The resulting hybrid physics-data-driven framework provides a reliable surrogate for real-time LIB thermal estimation and can be directly embedded within BMS to enable proactive intervention strategies such as predictive cooling activation, current derating, and early detection of hazardous thermal conditions. By coupling physics-based decomposition with deep sequential learning, this study establishes a validated foundation for next-generation LIB thermal-management platforms and identifies a clear trajectory for future work extending the methodology to module- and pack-level systems suitable for industrial deployment. Full article
(This article belongs to the Section Vehicle Management)
Show Figures

Figure 1

29 pages, 2731 KB  
Article
Study on the Improvement in Nuclear Generation Flexibility Under a Unified Electricity Market with a High Share of Renewables
by Ge Qin, Dongyuan Li, Kexin Hu, Qianying Gao, Jiaoshen Xu, Hui Ren and Jinling Lu
Processes 2026, 14(1), 7; https://doi.org/10.3390/pr14010007 - 19 Dec 2025
Viewed by 323
Abstract
China’s nuclear power plants traditionally operate to meet baseload needs, with minimal involvement in peak load regulation. However, as the share of renewable energy generation rapidly increases, the volatility of the power system and the demand for peak load regulation have significantly risen, [...] Read more.
China’s nuclear power plants traditionally operate to meet baseload needs, with minimal involvement in peak load regulation. However, as the share of renewable energy generation rapidly increases, the volatility of the power system and the demand for peak load regulation have significantly risen, necessitating greater nuclear power flexibility to meet the new power system’s requirements. Our study forecasts the energy structure and load demand for the Province of Liaoning in Northeastern China in 2035. Under this vision, it analyzes the flexibility challenges faced by nuclear generation units. A joint clearing model for spot electricity and ancillary services, along with an energy storage revenue model, was established. Based on this, this study analyzed the clearing results for various typical scenarios in the Province of Liaoning in 2035. The simulation results demonstrate that nuclear units will participate in peak shaving by the target year. This study demonstrates the feasibility of solid-state thermal storage in improving both flexibility and economic efficiency of nuclear generation. Based on these findings, policy recommendations are proposed, including improving regulation compensation mechanisms and promoting multi-energy coupling, providing crucial theoretical and practical support for the role transformation of nuclear generation entities in the new power system. This study establishes a full lifecycle economic assessment model for combined heat and power revenue versus thermal storage investment costs, considering integrated nuclear power–solid thermal energy storage heating systems as the primary technical pathway. Taking a configuration plan with a 715 MW heating capacity and a 6000 MWh thermal storage capacity as an example under Liaoning Province’s 2035 long-term scenario, the simulation results indicate that introducing solid thermal energy storage can significantly improve the revenue structure of nuclear units while meeting deep peak shaving demands, reducing the project’s static payback period to under 11 years. Full article
(This article belongs to the Special Issue Optimal Design, Control and Simulation of Energy Management Systems)
Show Figures

Figure 1

25 pages, 7271 KB  
Article
A Three-Stage Hybrid Learning Framework for Sustainable Multi-Energy Load Forecasting in Park-Level Integrated Energy Systems
by Zhenlan Dou, Shuangzeng Tian, Fanyue Qian and Yongwen Yang
Sustainability 2025, 17(24), 11158; https://doi.org/10.3390/su172411158 - 12 Dec 2025
Viewed by 312
Abstract
Accurate multi-energy load forecasting is essential for the low-carbon, efficient, and resilient operation of park-level Integrated Energy Systems (PIESs), where cooling, heating, and electricity networks interact closely and increasingly incorporate renewable energy resources. However, forecasting in such systems remains challenging due to complex [...] Read more.
Accurate multi-energy load forecasting is essential for the low-carbon, efficient, and resilient operation of park-level Integrated Energy Systems (PIESs), where cooling, heating, and electricity networks interact closely and increasingly incorporate renewable energy resources. However, forecasting in such systems remains challenging due to complex cross-energy coupling, high-dimensional feature interactions, and pronounced nonlinearities under diverse meteorological and operational conditions. To address these challenges, this study develops a novel three-stage hybrid forecasting framework that integrates Recursive Feature Elimination with Cross-Validation (RFECV), a Multi-Task Long Short-Term Memory network (MTL-LSTM), and Random Forest (RF). In the first stage, RFECV performs adaptive and interpretable feature selection, ensuring robust model inputs and capturing meteorological drivers relevant to renewable energy dynamics. The second stage employs MTL-LSTM to jointly learn shared temporal dependencies and intrinsic coupling relationships among multiple energy loads. The final RF-based residual correction enhances local accuracy by capturing nonlinear residual patterns overlooked by deep learning. A real-world case study from an East China PIES verifies the superior predictive performance of the proposed framework, achieving mean absolute percentage errors of 4.65%, 2.79%, and 3.01% for cooling, heating, and electricity loads, respectively—substantially outperforming benchmark models. These results demonstrate that the proposed method offers a reliable, interpretable, and data-driven solution to support refined scheduling, renewable energy integration, and sustainable operational planning in modern multi-energy systems. Full article
(This article belongs to the Section Energy Sustainability)
Show Figures

Figure 1

25 pages, 5842 KB  
Article
Temperature Prediction of Mass Concrete During the Construction with a Deeply Optimized Intelligent Model
by Fuwen Zheng, Shiyu Xia, Jin Chen, Dijia Li, Qinfeng Lu, Lijin Hu, Xianshan Liu, Yulin Song and Yuhang Dai
Buildings 2025, 15(23), 4392; https://doi.org/10.3390/buildings15234392 - 4 Dec 2025
Viewed by 335
Abstract
In the construction of ultra-high voltage (UHV) transformation substations, mass concrete is highly susceptible to temperature-induced cracking due to thermal gradients arising from the disparity between internal hydration heat and external environmental conditions. Such cracks can severely compromise the structural integrity and load-bearing [...] Read more.
In the construction of ultra-high voltage (UHV) transformation substations, mass concrete is highly susceptible to temperature-induced cracking due to thermal gradients arising from the disparity between internal hydration heat and external environmental conditions. Such cracks can severely compromise the structural integrity and load-bearing capacity of foundations, making accurate temperature prediction and effective thermal control critical challenges in engineering practice. To address these challenges and enable real-time monitoring and dynamic regulation of temperature evolution, this study proposes a novel hybrid forecasting model named CPO-VMD-SSA-Transformer-GRU for predicting temperature behavior in mass concrete. First, sine wave simulations with varying sample sizes were conducted using three models: Transformer-GRU, VMD-Transformer-GRU, and CPO-VMD-SSA-Transformer-GRU. The results demonstrate that the proposed CPO-VMD-SSA-Transformer-GRU model achieves superior predictive accuracy and exhibits faster convergence toward theoretical values. Subsequently, four performance metrics were evaluated: Mean Absolute Error (MAE), Mean Squared Error (MSE), Root Mean Square Error (RMSE), and Coefficient of Determination (R2). The model was then applied to predict temperature variations in mass concrete under laboratory conditions. For the univariate time series at Checkpoint 1, the evaluation metrics were MAE: 0.033736, MSE: 0.0018812, RMSE: 0.036127, and R2: 0.98832; at Checkpoint 2, the values were MAE: 0.016725, MSE: 0.00091304, RMSE: 0.019114, and R2: 0.96773. In addition, the proposed model was used to predict the temperature in the rising stage, indicating high reliability in capturing nonlinear and high-dimensional thermal dynamics in the whole construction process. Furthermore, the model was extended to multivariate time series to enhance its practical applicability in real-world concrete construction. At Checkpoint 1, the corresponding metrics were MAE: 0.56293, MSE: 0.34035, RMSE: 0.58339, and R2: 0.95414; at Checkpoint 2, they were MAE: 0.85052, MSE: 0.78779, RMSE: 0.88757, and R2: 0.91385. These results indicate significantly improved predictive performance compared to the univariate configuration, thereby further validating the accuracy, stability, and robustness of the multivariate CPO-VMD-SSA-Transformer-GRU framework. The model effectively captures complex temperature fluctuation patterns under dynamic environmental and operational conditions, enabling precise, reliable, and adaptive temperature forecasting. This comprehensive analysis establishes a robust methodological foundation for advanced temperature prediction and optimized thermal management strategies in real-world civil engineering applications. Full article
(This article belongs to the Special Issue Innovation and Technology in Sustainable Construction)
Show Figures

Figure 1

22 pages, 3980 KB  
Article
Deep Reinforcement Learning (DRL)-Driven Intelligent Scheduling of Virtual Power Plants
by Jiren Zhou, Kang Zheng and Yuqin Sun
Energies 2025, 18(23), 6341; https://doi.org/10.3390/en18236341 - 3 Dec 2025
Viewed by 498
Abstract
Driven by the global energy transition and carbon-neutrality goals, virtual power plants (VPPs) are expected to aggregate distributed energy resources and participate in multiple electricity markets while achieving economic efficiency and low carbon emissions. However, the strong volatility of wind and photovoltaic generation, [...] Read more.
Driven by the global energy transition and carbon-neutrality goals, virtual power plants (VPPs) are expected to aggregate distributed energy resources and participate in multiple electricity markets while achieving economic efficiency and low carbon emissions. However, the strong volatility of wind and photovoltaic generation, together with the coupling between electric and thermal loads, makes real-time VPP scheduling challenging. Existing deep reinforcement learning (DRL)-based methods still suffer from limited predictive awareness and insufficient handling of physical and carbon-related constraints. To address these issues, this paper proposes an improved model, termed SAC-LAx, based on the Soft Actor–Critic (SAC) deep reinforcement learning algorithm for intelligent VPP scheduling. The model integrates an Attention–xLSTM prediction module and a Linear Programming (LP) constraint module: the former performs multi-step forecasting of loads and renewable generation to construct an extended state representation, while the latter projects raw DRL actions onto a feasible set that satisfies device operating limits, energy balance, and carbon trading constraints. These two modules work together with the SAC algorithm to form a closed perception–prediction–decision–control loop. A campus integrated-energy virtual power plant is adopted as the case study. The system consists of a gas–steam combined-cycle power plant (CCPP), battery storage, a heat pump, a thermal storage unit, wind turbines, photovoltaic arrays, and a carbon trading mechanism. Comparative simulation results show that, at the forecasting level, the Attention–xLSTM (Ax) module reduces the day-ahead electric load Mean Absolute Percentage Error (MAPE) from 4.51% and 5.77% obtained by classical Long Short-Term Memory (LSTM) and Gated Recurrent Unit (GRU) models to 2.88%, significantly improving prediction accuracy. At the scheduling level, the SAC-LAx model achieves an average reward of approximately 1440 and converges within around 2500 training episodes, outperforming other DRL algorithms such as Deep Deterministic Policy Gradient (DDPG), Twin Delayed Deep Deterministic Policy Gradient (TD3), and Proximal Policy Optimization (PPO). Under the SAC-LAx framework, the daily net operating cost of the VPP is markedly reduced. With the carbon trading mechanism, the total carbon emission cost decreases by about 49% compared with the no-trading scenario, while electric–thermal power balance is maintained. These results indicate that integrating prediction enhancement and LP-based safety constraints with deep reinforcement learning provides a feasible pathway for low-carbon intelligent scheduling of VPPs. Full article
(This article belongs to the Section F5: Artificial Intelligence and Smart Energy)
Show Figures

Figure 1

18 pages, 2413 KB  
Article
Deep Learning-Based Downscaling of CMIP6 for Projecting Heat-Driven Electricity Demand and Cost Management in Chengdu
by Rui Yang and Geer Teng
Atmosphere 2025, 16(12), 1355; https://doi.org/10.3390/atmos16121355 - 29 Nov 2025
Viewed by 595
Abstract
Rapid warming and expanding heat seasons are reshaping electricity demand in cities, with basin-type megacities like Chengdu facing amplified risks due to calm-wind, high-humidity conditions and fast-growing digital infrastructure. This study develops a Transformer-based, multi-model downscaling framework that integrates outputs from 17 CMIP6 [...] Read more.
Rapid warming and expanding heat seasons are reshaping electricity demand in cities, with basin-type megacities like Chengdu facing amplified risks due to calm-wind, high-humidity conditions and fast-growing digital infrastructure. This study develops a Transformer-based, multi-model downscaling framework that integrates outputs from 17 CMIP6 global climate models (GCMs), dynamically re-weighted through self-attention to generate city-scale temperature projections. Compared to individual models and simple averaging, the method achieves higher fidelity in reproducing historical variability (correlation ≈ 0.98; RMSD < 0.05 °C), while enabling century-scale projections within seconds on a personal computer. Downscaled results indicate sustained warming and a seasonal expansion of cooling needs: by 2100, Chengdu is projected to warm by ~2–2.5 °C under SSP2-4.5 and ~3.5–4 °C under SSP3-7.0 (relative to a 2015–2024 baseline). Using a transparent, temperature-only Cooling Degree Day (CDD)–load model, we estimate median summer (JJA) electricity demand increases of +12.8% under SSP2-4.5 and +20.1% under SSP3-7.0 by 2085–2094, with upper-quartile peaks reaching +26.2%. Spring and autumn impacts remain modest, concentrating demand growth and operational risk in summer. These findings suggest steeper peak loads and longer high-load durations in the absence of adaptation. We recommend cost-aware resilience strategies for Chengdu, including peaking capacity, energy storage, demand response, and virtual power plants, alongside climate-informed urban planning and enterprise-level scheduling supported by high-resolution forecasts. Future work will incorporate multi-factor and sector-specific models, advancing the integration of climate projections into operational energy planning. This framework provides a scalable pathway from climate signals to power system and industrial cost management in heat-sensitive cities. Full article
(This article belongs to the Section Climatology)
Show Figures

Figure 1

29 pages, 7324 KB  
Article
A Hierarchical Control Framework for HVAC Systems: Day-Ahead Scheduling and Real-Time Model Predictive Control Co-Optimization
by Xiaoqian Wang, Shiyu Zhou, Yufei Gong, Yuting Liu and Jiying Liu
Energies 2025, 18(23), 6266; https://doi.org/10.3390/en18236266 - 28 Nov 2025
Viewed by 536
Abstract
Heating, ventilation, and air conditioning (HVAC) systems are the primary energy consumers in modern office buildings, with chillers consuming the most energy. As critical components of building air conditioning, the effective functioning of HVAC systems holds substantial importance for energy preservation and emission [...] Read more.
Heating, ventilation, and air conditioning (HVAC) systems are the primary energy consumers in modern office buildings, with chillers consuming the most energy. As critical components of building air conditioning, the effective functioning of HVAC systems holds substantial importance for energy preservation and emission mitigation. To enhance the operational performance of HVAC systems and accomplish energy conservation objectives, precise cooling load forecasting is essential. This research employs an office facility in Binzhou City, Shandong Province, as a case investigation and presents a day-ahead scheduling-based model predictive control (MPC) approach for HVAC systems, which targets minimizing the overall system power utilization. An attention mechanism-based long short-term memory (LSTM) neural network forecasting model is developed to predict the building’s cooling demand for the subsequent 24 h. Based on the forecasting outcomes, the MPC controller adopts the supply–demand equilibrium between cooling capacity and cooling demand as the central constraint and utilizes the particle swarm optimization (PSO) algorithm for rolling optimization to establish the optimal configuration approach for the chiller flow rate and temperature, thereby realizing the dynamic control of the HVAC system. To verify the efficacy of this approach, simulation analysis was performed using the TRNSYS simulation platform founded on the actual operational data and meteorological parameters of the building. The findings indicate that compared with the conventional proportional–integral–derivative (PID) control approach, the proposed day-ahead scheduling-based MPC strategy can attain an average energy conservation rate of 9.23% over a one-week operational period and achieve an energy-saving rate of 8.25% over a one-month period, demonstrating its notable advantages in diminishing building energy consumption. Full article
Show Figures

Figure 1

30 pages, 9346 KB  
Article
PSO-LSTM-Based Ultra-Short-Term Load Forecasting Study for Solar Heating System
by Baohua Hou, Yupeng Zhou, Renhao Liu and Hongzhou Zhang
Energies 2025, 18(23), 6254; https://doi.org/10.3390/en18236254 - 28 Nov 2025
Viewed by 316
Abstract
To address issues such as unstable heating loads, uneven heat consumption, and precise heating in solar heating systems, efficient and accurate heating load forecasting is essential. A suitable solar heating system model was established using the TRNSYS18 thermodynamic simulation platform. Taking a building [...] Read more.
To address issues such as unstable heating loads, uneven heat consumption, and precise heating in solar heating systems, efficient and accurate heating load forecasting is essential. A suitable solar heating system model was established using the TRNSYS18 thermodynamic simulation platform. Taking a building in Alar City, Xinjiang, as the research subject, ultra-short-term prediction data parameters for the area were obtained. Using the acquired data parameters and historical heating load data as inputs, the particle swarm optimization (PSO) algorithm was employed to optimize the LSTM neural network, establishing a prediction model based on the PSO-LSTM neural network. For load forecasting in 7 min ultra-short-term time series, both the LSTM neural network model and the PSO-LSTM neural network prediction model underwent optimization. Through simulation experiments verifying indoor temperature, heat collection, and energy consumption, two model error evaluation metrics were used as results. Comparative analysis revealed that the PSO-LSTM model achieved a 3.3–86.7% increase in R2 compared to the LSTM model, a 38.2–84.8% reduction in RMSE, a 57.8–91.1% decrease in MAE, and a 58–90.3% reduction in MAPE. The research results demonstrate the PSO-LSTM model’s effectiveness in southern Xinjiang, confirming its superiority as a forecasting model. This provides data support for operational adjustments and load forecasting in solar heating systems. Full article
Show Figures

Figure 1

31 pages, 4330 KB  
Article
Predicting Auxiliary Energy Demand in Electric Vehicles Using Physics-Based and Machine Learning Models
by Maksymilian Mądziel and Tiziana Campisi
Energies 2025, 18(23), 6092; https://doi.org/10.3390/en18236092 - 21 Nov 2025
Cited by 1 | Viewed by 1244
Abstract
Auxiliary systems, particularly HVAC and thermal management, significantly influence electric vehicle (EV) range under diverse weather conditions. Accurate prediction of auxiliary power demand remains challenging due to nonlinear temperature dependencies and driving dynamics. Here we develop an integrated physics-based decomposition combined with an [...] Read more.
Auxiliary systems, particularly HVAC and thermal management, significantly influence electric vehicle (EV) range under diverse weather conditions. Accurate prediction of auxiliary power demand remains challenging due to nonlinear temperature dependencies and driving dynamics. Here we develop an integrated physics-based decomposition combined with an XGBoost machine learning model trained on 95,028 real-world measurements from EVs operating across multi-seasonal conditions (−8 °C to +33.5 °C). The model achieves an R2 of 0.9986 and a mean absolute error of 35 W, revealing that auxiliary loads contribute variably from 75% while idle to 12% during highway driving, with heating power dominating cooling by a 7:1 ratio and increasing 44-fold at low temperatures. Feature importance analysis identifies accelerator pedal position and heating efficiency per temperature differential as primary predictors, indicating coupling between propulsion and auxiliary loads. These findings underscore the necessity of context-aware auxiliary power prediction to enhance EV energy management and range forecasting, particularly in cold climates where heating demands critically impact efficiency. Full article
(This article belongs to the Section E: Electric Vehicles)
Show Figures

Figure 1

20 pages, 2580 KB  
Article
Hybrid Physics–Machine Learning Framework for Forecasting Urban Air Circulation and Pollution in Mountain–Valley Cities
by Lyazat Naizabayeva, Gulbakyt Sembina and Gulnara Tleuberdiyeva
Appl. Sci. 2025, 15(22), 12315; https://doi.org/10.3390/app152212315 - 20 Nov 2025
Viewed by 1005
Abstract
Background: Almaty, located in a mountain–valley basin, frequently experiences stagnant conditions that trap pollutants and cause sharp diurnal contrasts in air quality. Current forecasting systems either offer detailed physical realism at high computational cost or yield statistically accurate but physically inconsistent results. [...] Read more.
Background: Almaty, located in a mountain–valley basin, frequently experiences stagnant conditions that trap pollutants and cause sharp diurnal contrasts in air quality. Current forecasting systems either offer detailed physical realism at high computational cost or yield statistically accurate but physically inconsistent results. Urban air quality in mountain–valley cities is strongly shaped by thermal inversions and weak nocturnal ventilation that trap pollutants close to the surface. We present a hybrid physics–machine-learning framework that combines a Navier–Stokes surface-layer model with data-driven post-processing to produce short-term forecasts of wind, temperature, and particulate matter while preserving physical consistency. The approach captures diurnal ventilation patterns and the well-known negative linkage between near-surface wind and particulate loadings during wintertime inversions. Compared with purely statistical baselines, the hybrid system improves short-range forecast skill and maintains interpretability through physically grounded diagnostics. Beyond Almaty, the workflow is transferable to other mountain–valley environments and is directly actionable for early warning, traffic and heating-related emission management, and health-risk communication. By uniting physically meaningful fields with lightweight Machine Learning correction, the method offers a practical bridge between computational fluid dynamics and operational decision support for cities facing recurrent stagnation episodes. Aim: Develop and verify a method for the diagnostics and short-term forecasting of surface circulation and particle concentrations in Almaty (2024), ensuring physical consistency of fields, increased forecast accuracy on 6–24 h horizons, and interpretability of risk factors. Compared to purely statistical baselines (R2 ≈ 0.55 for PM forecasts), our hybrid framework achieved a 16% gain in explained variance and reduced RMSE by 25%. This improvement was most evident during winter inversion episodes. Methods: This study introduces a hybrid modeling framework that integrates the Navier–Stokes equations with machine-learning algorithms to diagnose and forecast surface air circulation and particulate matter concentrations. The approach ensures both physical consistency and improved predictive accuracy for short-term horizons (6–24 h). The Navier–Stokes equations in the Boussinesq approximation, the energy equation, and K-closure particulate matter transport were used. The numerical solution is based on the projection method (convection—TVD/QUICK, pressure—Poisson equation). The ML module is gradient boosting and decision trees for meteorological parameters, lags, and diagnostic quantities. The 2024 data are cleaned, normalized, and visualized. Results: The hybrid model reproduces the diurnal cycle of ventilation and concentrations, especially during winter inversions. For 6 h: wind RMSE ≈ 1.2 m/s (R2 ≈ 0.71), temperature RMSE ≈ 1.8 °C (R2 ≈ 0.78), and particles RMSE ≈ 0.012 mg/m3 (R2 ≈ 0.64). Errors are higher for 24 h. A negative relationship between wind and concentration was established: +1 m/s reduces the median by 10–15% during winter nights. Conclusions: The approach can be generalized to other mountain–valley cities beyond Almaty. Combining the physical model and ML correction improves short-term predictive ability and maintains physical consistency. The method is applicable for air quality risk assessment and decision support; further clarification of emissions and consideration of urban canyon geometry are required. The results support early-warning systems, health risk communication, and urban planning. Full article
Show Figures

Figure 1

34 pages, 2025 KB  
Review
EV and Renewable Energy Integration in Residential Buildings: A Global Perspective on Deep Learning, Strategies, and Challenges
by Ahmad Mohsenimanesh, Christopher McNevin and Evgueniy Entchev
World Electr. Veh. J. 2025, 16(11), 603; https://doi.org/10.3390/wevj16110603 - 31 Oct 2025
Viewed by 1135
Abstract
Charging electric vehicles (EVs) and integrating renewable energy sources (RESs) are becoming key aspects of residential energy systems. However, the variability of RES generation, combined with uncontrolled EV charging, poses challenges for reliability, power quality, and supply-demand balancing within communities. The challenges only [...] Read more.
Charging electric vehicles (EVs) and integrating renewable energy sources (RESs) are becoming key aspects of residential energy systems. However, the variability of RES generation, combined with uncontrolled EV charging, poses challenges for reliability, power quality, and supply-demand balancing within communities. The challenges only grow when considering other electrified building loads as well. Accurate forecasting of power demand and renewable generation is essential for efficient and sustainable grid operation, optimal use of RESs, and effective energy trading within communities. Deep learning (DL), including supervised, unsupervised, and reinforcement learning (RL), has emerged as a promising solution for predicting consumer demand, renewable generation, and managing energy flows in residential environments. This paper provides a comprehensive review of the development and application of these methods for forecasting and energy management in residential communities. Evaluation metrics across studies indicate that supervised learning can achieve highly accurate forecasting results, especially when integrated with unsupervised K-means clustering and data decomposition. These methods help uncover patterns and relationships within the data while reducing noise, thereby enhancing prediction accuracy. RL shows significant potential in control applications, particularly for charging strategies. Similarly to how V2G-simulators model individual EV usage and simulate large fleets to generate grid-scale predictions, RL can be applied to various aspects of EV fleet management, including vehicle dispatching, smart scheduling, and charging coordination. Traditional methods are also used across different applications and help utilities with planning. However, these methods have limitations and may not always be completely accurate. Our review suggests that integrating hybrid supervised-unsupervised learning methods with RL can significantly improve the sustainability and resilience of energy systems. This approach can improve demand and generation forecasting while enabling smart charging coordination and scheduling for scalable EV fleets integrated with building electrification measures. Furthermore, the review introduces a unifying conceptual framework that links forecasting, optimization, and policy coupling through hierarchical deep learning layers, enabling scalable coordination of EV charging, renewable generation, and building energy management. Despite methodological advances, real-world deployment of hybrid and deep learning frameworks remains constrained by data-privacy restrictions, interoperability issues, and computational demands, highlighting the need for explainable, privacy-preserving, and standardized modeling approaches. To be effective in practice, these methods require robust data acquisition, optimized forecasting and control models, and integrated consideration of transport, building, and grid domains. Furthermore, deployment must account for data privacy regulations, cybersecurity safeguards, model interpretability, and economic feasibility to ensure resilient, scalable, and socially acceptable solutions. Full article
(This article belongs to the Section Energy Supply and Sustainability)
Show Figures

Figure 1

15 pages, 3275 KB  
Article
Analysis of Axial Thrust and Flow Characteristics in a Steam Turbine Regulating Stage Under Variable Conditions
by Fangfang Song, Kunlun Bai, Xiaodan Zhang, Chengyuan Wang, Ming Luo and Lili Qian
Processes 2025, 13(11), 3499; https://doi.org/10.3390/pr13113499 - 31 Oct 2025
Viewed by 729
Abstract
A full-scale CFD model of a steam turbine, including the regulating and multiple pressure stages, was developed to quantify the axial thrust—a critical parameter for operational safety. The results under various loads reveal two key findings: (1) The blade root hub is the [...] Read more.
A full-scale CFD model of a steam turbine, including the regulating and multiple pressure stages, was developed to quantify the axial thrust—a critical parameter for operational safety. The results under various loads reveal two key findings: (1) The blade root hub is the primary source of the total axial thrust, exhibiting a near-linear relationship with mass flow rate under partial loads—a crucial insight for precise thrust forecasting. (2) Significant circumferential pressure non-uniformity was identified as a primary characteristic of partial-load operation. Furthermore, an optimized mixing chamber geometry is proposed, which reduces regulating stage loss by 0.59% and 0.31% under Valve Wide Open (VWO) and Turbine Heat Acceptance (THA) conditions, respectively. This study provides a concrete strategy for enhancing turbine design and safety. Full article
(This article belongs to the Section Process Control and Monitoring)
Show Figures

Figure 1

24 pages, 3813 KB  
Article
VMD-SSA-LSTM-Based Cooling, Heating Load Forecasting, and Day-Ahead Coordinated Optimization for Park-Level Integrated Energy Systems
by Lintao Zheng, Dawei Li, Zezheng Zhou and Lihua Zhao
Buildings 2025, 15(21), 3920; https://doi.org/10.3390/buildings15213920 - 30 Oct 2025
Viewed by 467
Abstract
Park-level integrated energy systems (IESs) are increasingly challenged by rapid electrification and higher penetration of renewable energy, which exacerbate source–load imbalances and scheduling uncertainty. This study proposes a unified framework that couples high-accuracy cooling and heating load forecasting with day-ahead coordinated optimization for [...] Read more.
Park-level integrated energy systems (IESs) are increasingly challenged by rapid electrification and higher penetration of renewable energy, which exacerbate source–load imbalances and scheduling uncertainty. This study proposes a unified framework that couples high-accuracy cooling and heating load forecasting with day-ahead coordinated optimization for an office park in Tianjin. The forecasting module employs correlation-based feature selection and variational mode decomposition (VMD) to capture multi-scale dynamics, and a sparrow search algorithm (SSA)-driven long short-term memory network (LSTM), with hyperparameters globally tuned by root mean square error to improve generalization and robustness. The scheduling module performs day-ahead optimization across source, grid, load, and storage to minimize either (i) the standard deviation (SD) of purchased power to reduce grid impact, or (ii) the total operating cost (OC) to achieve economic performance. On the case dataset, the proposed method achieves mean absolute percentage errors (MAPEs) of 8.32% for cooling and 5.80% for heating, outperforming several baselines and validating the benefits of multi-scale decomposition combined with intelligent hyperparameter searching. Embedding forecasts into day-ahead scheduling substantially reduces external purchases: on representative days, forecast-driven optimization lowers the SD of purchased electricity from 29.6% to 88.1% across heating and cooling seasons; seasonally, OCs decrease from 6.4% to 15.1% in heating and 3.8% to 11.6% in cooling. Overall, the framework enhances grid friendliness, peak–valley coordination, and the stability, flexibility, and low-carbon economics of park-level IESs. Full article
(This article belongs to the Section Building Energy, Physics, Environment, and Systems)
Show Figures

Figure 1

17 pages, 2940 KB  
Article
Integrated Energy Short-Term Adaptive Load Forecasting Method Based on Coupled Feature Extraction
by Yidan Qin, Bonan Huang, Luyuan Wang, Jiaqi Tian and Yameng Zhang
Information 2025, 16(11), 940; https://doi.org/10.3390/info16110940 - 29 Oct 2025
Viewed by 363
Abstract
Integrated energy load forecasting plays a crucial role in optimizing the operation and economic dispatch of integrated energy systems. Its forecasting accuracy is not only time-dependent but also influenced by the coupling characteristics among energy sources. Solely relying on time-scale training methods cannot [...] Read more.
Integrated energy load forecasting plays a crucial role in optimizing the operation and economic dispatch of integrated energy systems. Its forecasting accuracy is not only time-dependent but also influenced by the coupling characteristics among energy sources. Solely relying on time-scale training methods cannot adequately capture the strong correlations among multiple energy sources. To address challenges in extracting coupled load forecasting features, obtaining periodic characteristics, and setting model network structures, this paper proposes an Integrated Energy Short-Term Adaptive Load Forecasting Method Based on Coupled Feature Extraction (AP-CFE). This approach integrates high-dimensional coupling features and periodic temporal features effectively using ensemble algorithms. To prevent overfitting or underfitting issues, an Adaptive learning algorithm (AP) is introduced. The load demonstrates highly stochastic behavior in response to external factors, resulting in rapid, volatile fluctuations in grid demand. The strategy of employing sparse self-attention to approximate the residual terms effectively mitigates this issue. Simulation results using comprehensive energy load data from Australia demonstrate that the proposed model outperforms existing models, achieving better capture of energy coupling characteristics with average absolute percentage errors reduced by 20.75%, 28.48%, and 21.64% for electricity, heat, and gas loads, respectively. Full article
(This article belongs to the Section Artificial Intelligence)
Show Figures

Graphical abstract

Back to TopTop