Sign in to use this feature.

Years

Between: -

Subjects

remove_circle_outline
remove_circle_outline
remove_circle_outline
remove_circle_outline
remove_circle_outline
remove_circle_outline
remove_circle_outline
remove_circle_outline
remove_circle_outline

Journals

Article Types

Countries / Regions

remove_circle_outline
remove_circle_outline
remove_circle_outline

Search Results (319)

Search Parameters:
Keywords = grape pomace extract

Order results
Result details
Results per page
Select all
Export citation of selected articles as:
28 pages, 2866 KB  
Article
Red and White Grape Pomace Possess Cardioprotective Effects by Modulating Inflammation and Oxidative Stress in Experimental Ischemic Heart Disease
by Dan Claudiu Măgureanu, Raluca Maria Pop, Veronica Sanda Chedea, Paul-Mihai Boarescu, Mădălina Luciana Gherman, Ștefan Horia Roșian, Floricuța Ranga, Ioana Sorina Giurca, Elena Mihaela Jianu, Adriana Florinela Cătoi, Anca Dana Buzoianu and Ioana Corina Bocsan
Molecules 2026, 31(2), 383; https://doi.org/10.3390/molecules31020383 (registering DOI) - 21 Jan 2026
Abstract
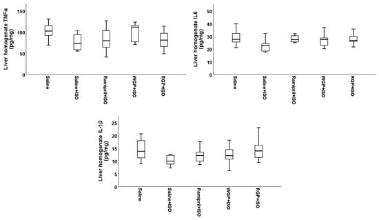
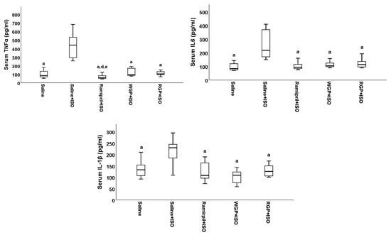
Background: Cardiac ischemia (CI) remains a leading cause of death worldwide, prompting an ongoing search for new treatment options. This study explored and compared the preventive cardioprotective effects of polyphenols extracted from red (RGP) and white grape pomace (WGP) against isoproterenol (ISO)-induced myocardial [...] Read more.
Background: Cardiac ischemia (CI) remains a leading cause of death worldwide, prompting an ongoing search for new treatment options. This study explored and compared the preventive cardioprotective effects of polyphenols extracted from red (RGP) and white grape pomace (WGP) against isoproterenol (ISO)-induced myocardial ischemia, with a focus on their antioxidant and anti-inflammatory properties. Materials and Methods: Fifty male Wistar rats were divided into five groups: I—Saline, II—Saline+ISO, III—Ramipril+ISO, IV—WGP+ISO, and V—RGP+ISO. CI was induced in Groups II–V with ISO (45 mg/kg, on day 13), a dose widely used to reproducibly induce myocardial ischemic injury in experimental models. Electrocardiographic parameters, serum oxidative markers, cytokines, and tissue homogenates from the liver and heart were analyzed on day 14. Results: ISO significantly shortened the RR interval and increased the ventricular rate, without significant modulation by any treatment. The reduction in R-wave amplitude caused by ISO was lessened in all treated groups, with RGP showing values closer to Saline (RGP+ISO vs. Saline, p = 0.329). No differences were found among groups for PR segment, QRS duration, QT, or QTc intervals. Furthermore, all treated groups (III–V) showed significant improvements in oxidative and inflammatory markers compared to Saline+ISO (p < 0.05), with RGP demonstrating the strongest antioxidant activity by maintaining MDA and NO levels close to Saline (RGP+ISO vs. Saline, p > 0.05), while WGP exhibited superior anti-inflammatory effects in cardiac tissue by preserving IL-6 and IL-1β levels comparable to controls (WGP+ISO vs. Saline, p > 0.05). Conclusions: Grape pomace, especially RGP, may offer cardioprotection by decreasing oxidative stress, while WGP more effectively reduces inflammation. The complementary antioxidant and anti-inflammatory effects observed suggest that combining GP extracts may represent a promising hypothesis for future cardiovascular research. Full article
Show Figures

Graphical abstract

19 pages, 6325 KB  
Article
Optimization of the Extraction Process for Anthocyanins from Tannat Grape Skins and Pomace and Research on Their Antioxidant and Anti-Aging Effects
by Bing Wang, Yang Yu and Honglei Wang
Agriculture 2026, 16(2), 236; https://doi.org/10.3390/agriculture16020236 - 16 Jan 2026
Viewed by 146
Abstract
Grape pomace is a major byproduct of winemaking and a rich source of bioactive anthocyanins with potential functional value. This study aimed to optimize anthocyanin extraction from Tannat grape pomace and evaluate its antioxidant and anti-aging activities. Ultrasonic-assisted extraction combined with a Box–Behnken [...] Read more.
Grape pomace is a major byproduct of winemaking and a rich source of bioactive anthocyanins with potential functional value. This study aimed to optimize anthocyanin extraction from Tannat grape pomace and evaluate its antioxidant and anti-aging activities. Ultrasonic-assisted extraction combined with a Box–Behnken design identified optimal conditions of 51.27 °C, 53.46% ethanol, 20.10 min ultrasonication, and a 1:24.05 solid-to-liquid ratio, yielding 186.21 ± 1.03 mg/100 g (R2 = 0.9798, p < 0.0001). Tannat Grape Pomace Anthocyanins showed strong antioxidant capacity, with 2,2-Diphenyl-1-picrylhydrazyl scavenging of 89.44% ± 0.87% at 0.2 mg/mL (IC50 = 0.09 mg/mL) and 2,2′-Azino-bis (3-ethylbenzothiazoline-6-sulfonic acid) scavenging of 95.83% ± 0.54% at 0.75 mg/mL (IC50 = 0.26 mg/mL). In Caenorhabditis elegans, TGPA extended lifespan, improved motility, and increased heat and oxidative stress resistance without reducing reproductive capacity. Lifespan is a key indicator of aging. This study holds significant implications for advancing our understanding of the mechanisms underlying lifespan regulation, the connection between aging and disease, as well as the development of anti-aging therapies for humans. In conclusion, these findings indicate that Tannat Grape Pomace Anthocyanins possess promising antioxidant and anti-aging potential and support the sustainable, high-value utilization of grape pomace. This approach directly aligns with the core principles of sustainable agriculture by transforming an agricultural byproduct into a valuable resource. Full article
(This article belongs to the Section Agricultural Technology)
Show Figures

Figure 1

15 pages, 1399 KB  
Article
Strategies for Wine, Orange Processing and Olive Oil By-Product Valorisation Based on GIS Spatial Analysis
by Grazia Cinardi, Provvidenza Rita D’Urso and Claudia Arcidiacono
AgriEngineering 2026, 8(1), 25; https://doi.org/10.3390/agriengineering8010025 - 9 Jan 2026
Viewed by 307
Abstract
Waste valorisation has become a key strategy for applying circular economy principles in the agro-industrial field. This study investigated the territorial implementation of the waste composting on a territorial scale. The wastes considered were the post-processing orange waste, spent olive oil pomace, and [...] Read more.
Waste valorisation has become a key strategy for applying circular economy principles in the agro-industrial field. This study investigated the territorial implementation of the waste composting on a territorial scale. The wastes considered were the post-processing orange waste, spent olive oil pomace, and spent wine grape pomace. Their potential use as soil amendments across the provinces of Sicily was assessed through a GIS-based analysis, taking into account nitrogen (N) application constraints. Moreover, a cascade valorisation scheme was also evaluated: post-processing orange waste was first used as animal feed, and the remaining fraction was directed to composting; olive pomace was first sent to pomace oil extraction mills, and the residual material was subsequently used for composting. Results indicate that N inputs derived from composted residues remain below legal thresholds in all provinces, with relative contributions ranging from 38% to 92% of the regulatory limits. Spatial variability in nitrogen availability reflects the territorial distribution of agro-industrial activities, highlighting the importance of localised management strategies. These findings demonstrate that composting, combined with cascade valorisation, is an effective pathway to close nutrient cycles, reduce waste generation, and support sustainable biomass management in regional agri-food systems. Full article
Show Figures

Figure 1

26 pages, 3831 KB  
Article
Design, Sustainable Processing and Nanoliposome Encapsulation of Red Grape Pomace Rich in Polyphenolic Compounds with Antioxidant Activity
by Katarzyna Hałdys, Agnieszka Ciechanowska and Agnieszka Lewińska
Molecules 2026, 31(1), 72; https://doi.org/10.3390/molecules31010072 - 24 Dec 2025
Viewed by 459
Abstract
In this study, we aimed to investigate the potential of utilizing red grape pomace as a source of polyphenolic compounds in the growing, fragmented winemaking sector in Poland. For polyphenol extraction, we compared two methods: conventional extraction using water and alcohol solutions, and [...] Read more.
In this study, we aimed to investigate the potential of utilizing red grape pomace as a source of polyphenolic compounds in the growing, fragmented winemaking sector in Poland. For polyphenol extraction, we compared two methods: conventional extraction using water and alcohol solutions, and the supercritical CO2 technique with ethanol as a cosolvent. The conventional method yielded at least 30% more polyphenols compared to the advanced SC-CO2 technique. Experimentally chosen conditions, including a solvent composition of ethanol–water (1:1; v/v) containing 3% HCl, a liquid-to-solid ratio of 25:1 mL/g, and 2 min of ultrasound pretreatment and conventional extraction at a temperature of 30 °C over 4.5 h, enabled an extraction efficiency of 101 mg of total polyphenols per 1 g of raw material used, with an antioxidant capacity equivalent to 600 µmol of Trolox. According to HPLC analyses, the main components of the investigated biomass were epicatechin, anthocyanins and p-coumaric acid. The extract was encapsulated in liposomes, revealing no negative effect on their stability or aggregation under the conditions tested (21 days). The study suggests that conventional water–ethanol extraction can be a relatively safe and effective method for managing winemaking residuals, increasing the competitiveness of small producers through the production of high-value antioxidant additives. Full article
(This article belongs to the Special Issue Lipids and Surfactants in Delivery Systems)
Show Figures

Graphical abstract

18 pages, 2033 KB  
Article
Valorization of Isabella Grape (Vitis labrusca L.) Pomace Through the Recovery of Nutraceuticals by Sequential Green Extraction Technologies
by Jhonattan Sánchez Sánchez, Fabián Parada-Alfonso and Henry I. Castro-Vargas
Foods 2026, 15(1), 54; https://doi.org/10.3390/foods15010054 - 24 Dec 2025
Viewed by 397
Abstract
Isabella grape pomace (IGP) the primary by-product of Colombia’s winemaking industry, represents a promising source of nutraceuticals with potential uses in the food industry. This study developed a sequential green extraction process to recover nutraceutical from IGP. The approach integrated supercritical fluid extraction [...] Read more.
Isabella grape pomace (IGP) the primary by-product of Colombia’s winemaking industry, represents a promising source of nutraceuticals with potential uses in the food industry. This study developed a sequential green extraction process to recover nutraceutical from IGP. The approach integrated supercritical fluid extraction with CO2 (SFE-CO2) to obtain lipophilic compounds, followed by SFE with ethanol/water as co-solvent (SFE-CO2/EtOH:H2O) for medium-polarity phenolics, and pressurized liquid extraction (PLE) with EtOH:H2O to recover the polar phenolic-rich fraction. The extraction parameters were optimized using response surface methodology, and optimal conditions were identified: SFE-CO2 at 31.7 MPa/58.9 °C yielded 6.95% extract rich in linoleic acid (65.5%) and α-tocopherol (107.2 mg/kg); SFE-CO2/EtOH:H2O with 15% of co-solvent produced extracts with high phenolic content (105.35 mg GAE/g) and antioxidant activity (0.18 mmol TE/g); while PLE at 58.91% of EtOH/107.98 °C achieved notable recovery of flavonoids (757.18 mg QE/g), anthocyanins(1508 μg MAE/g) and condensed tannins (258.39 mg ECE/g), with potent antioxidant capacity (130.40 mmol TE/g). The sequential process demonstrated synergistic effects, with a total cumulative yield of 41.08% and phenolic recovery of 349.89 mg GAE/g extract. This approach offers a sustainable biorefinery approach for transforming IGP into high-value nutraceutical ingredients. Full article
Show Figures

Figure 1

24 pages, 1280 KB  
Review
Bioprocessing of Grape Pomace for Value Added Ingredients with Utilization in Baked Products
by Alexandru Zmuncilă, Carmen Rodica Pop, Anca Corina Fărcaş, Simona Maria Man, Maria Simona Chiș, Alexandra Lițoiu and Adriana Păucean
Foods 2026, 15(1), 50; https://doi.org/10.3390/foods15010050 - 23 Dec 2025
Viewed by 493
Abstract
Bioprocessing grape pomace (GP) presents a sustainable solution aligned with circular economic principles and transforms it into valuable functional ingredients for baked products. This review (2020–2025) synthesizes enzymatic and microbial strategies that modify the fiber–phenolic matrix and improve dough performance. Enzyme-assisted extraction, alone [...] Read more.
Bioprocessing grape pomace (GP) presents a sustainable solution aligned with circular economic principles and transforms it into valuable functional ingredients for baked products. This review (2020–2025) synthesizes enzymatic and microbial strategies that modify the fiber–phenolic matrix and improve dough performance. Enzyme-assisted extraction, alone or combined with ultrasound or pressurized liquids, increases extractable polyphenols and antioxidant capacity in GP fractions used as flour substitutions or pre-ferments. Fungal solid-state and lactic fermentations liberate bound phenolic compounds and generate acids and exopolysaccharides. Among these routes, enzyme-assisted extraction and lactic sourdough-type fermentations currently appear the most compatible with bakery-scale implementation, offering substantial phenolic enrichment while relying on relatively simple, food-grade equipment. In current bakery applications, GP is mainly used as crude grape pomace powder, which typically shows higher total phenolics and antioxidant capacity. Moreover, in several models it lowers starch hydrolysis and predicted glycemic index. The practical substitution rate is between 5 and 10% of flour, which balances nutritional gains with processing disadvantages. These can be mitigated by fractionation toward soluble dietary fiber or co-fortification with flours rich in protein and fiber. An additional benefit of these methods includes reduced mycotoxin bioaccessibility in vitro. A key evidence gap is the absence of standardized comparisons between raw and bioprocessed GP in identical formulations. Overall, GP emerges as a promising ingredient for bakery products, while the added technological and nutritional value of bioprocessing remains to be quantified. Full article
(This article belongs to the Section Food Biotechnology)
Show Figures

Figure 1

16 pages, 1147 KB  
Article
From Winery Waste to Biosurfactants: White Grape Pomace Fractionation, Characterization and Bioconversion Towards Sophorolipids
by Joana de Melo Martins, Stijn Bovijn, Tom Delmulle, Sofie L. De Maeseneire, Luísa S. Serafim, Sílvia Petronilho and Wim K. Soetaert
Foods 2025, 14(24), 4246; https://doi.org/10.3390/foods14244246 - 10 Dec 2025
Viewed by 434
Abstract
The wine industry generates significant quantities of agro-industrial waste, with grape pomace representing its main fraction. White grape pomace (WGP), rich in fermentable sugars and lipids, can serve as a substrate for biosurfactant production. In this study, the sugar fraction of WGP was [...] Read more.
The wine industry generates significant quantities of agro-industrial waste, with grape pomace representing its main fraction. White grape pomace (WGP), rich in fermentable sugars and lipids, can serve as a substrate for biosurfactant production. In this study, the sugar fraction of WGP was used as substrate to produce sophorolipids (SL), a class of microbial biosurfactants, by the yeast Starmerella bombicola. To examine efficient SL production, both a sugar source and lipid source were examined. Three lipid sources were tested: grape seed oil (GSO) extracted from WGP, spent frying oil (SFO), and rapeseed oil (RO), the later serving as a commercial reference. WGP-aqueous extraction yielded a sugar-rich fraction (WSE, 67% w/w) comprising ca. 97% carbohydrates, of which 60% were free sugars, mainly glucose and fructose. GSO accounted for 11% of the seeds’ weight and was predominantly composed of esterified linoleic (71%) and oleic (18%) acids. Bola-type SL were produced under optimized shake-flask conditions at 30 °C and 200 rpm in all WSE conditions, with SFO yielding the highest SL concentration (6.03 g/L), attributed to its oleic acid richness, and GSO yielding 3.75 g/L. This work demonstrates the potential of WGP-derived biomolecules as low-cost alternatives to first-generation substrates (commercial glucose and RO) in SL production by S. bombicola, contributing to the development of sustainable biosurfactants that can serve as a green alternative to petroleum-based surfactants, while reducing the environmental footprint of the wine industry. Full article
Show Figures

Graphical abstract

16 pages, 1122 KB  
Article
Extracts from By-Products of the Fruit and Vegetable Industry as Ingredients Improving the Properties of Cleansing Gels
by Agata Blicharz-Kania, Magdalena Iwanek and Anna Pecyna
Molecules 2025, 30(24), 4687; https://doi.org/10.3390/molecules30244687 - 7 Dec 2025
Viewed by 608
Abstract
This study aimed to evaluate the effect of adding extracts obtained from by-products on the physicochemical and functional properties of cleansing gels. Micellar extraction (2% decyl glucoside solution in water) was performed on secondary raw materials: banana peel (BP), pomegranate peel (PP), tomato [...] Read more.
This study aimed to evaluate the effect of adding extracts obtained from by-products on the physicochemical and functional properties of cleansing gels. Micellar extraction (2% decyl glucoside solution in water) was performed on secondary raw materials: banana peel (BP), pomegranate peel (PP), tomato pomace (TP), and grape pomace (GP). The extracts were analyzed for soluble substances and active compounds (polyphenols, carotenoids, and vitamin C). Cleansing gels containing plant extracts were also prepared and evaluated for their color and physicochemical and functional properties. The extracts contained natural polyphenols (10.99–16.54 mg·100 mL−1), carotenoids (1.391–2.402 mg·mL−1), and vitamin C (0.651–1.529 mg·100 mL−1). The extract-enriched gels showed altered color (lower brightness, greater redness and yellowness), enhanced foaming properties, and modified viscosity (402.9–416.8 mPA for BP and GP; lower for PP and TP). The pH of the gels ranged from 5.391 to 5.917, which is within the physiological range of human skin. Dissolution times were reduced by up to 60% compared to the control, with PP extract producing the shortest time of 15.7 min. These results indicate that plant by-product extracts can improve both the functional performance and skin compatibility of cleaning gels. Full article
Show Figures

Graphical abstract

17 pages, 2377 KB  
Article
Natural Phytotherapeutics in Dermatology and Cosmetology: Bioactive Potential of Grape Pomace on Human Skin Fibroblasts
by Barbara Domagała, Julia Orlińska, Małgorzata Duda, Zuzanna Setkowicz-Janeczko, Marzena Starzyk, Ewelina Piasna-Słupecka, Mariola Drozdowska and Ewa Godos
Molecules 2025, 30(24), 4679; https://doi.org/10.3390/molecules30244679 - 6 Dec 2025
Viewed by 503
Abstract
The aim of the study was to assess the biological potential of extracts obtained from the grape pomace of three Vitis vinifera hybrid varieties—Regent, Rondo and Marechal Foch—as a natural source of bioactive compounds, with possible application in cosmetology and dermatology. Grape pomace, [...] Read more.
The aim of the study was to assess the biological potential of extracts obtained from the grape pomace of three Vitis vinifera hybrid varieties—Regent, Rondo and Marechal Foch—as a natural source of bioactive compounds, with possible application in cosmetology and dermatology. Grape pomace, which is an important by-product of the winemaking process, is a rich source of polyphenols, flavonoids, anthocyanins and vitamin C, which exhibit antioxidant, anti-inflammatory and cytoprotective properties that are important for skin health. The conducted studies determined the antioxidant activity of the extracts (DPPH) and the content of total phenolic compounds, flavonoids, anthocyanins and vitamin C, Of the varieties analysed: Marechal Foch exhibited the highest antioxidant activity (10 µmol TE/g), while Regent demonstrated the highest flavonoid content (50.42 mg/g) and vitamin C content (35.6 mg/100 g). The Rondo extract had the highest content of anthocyanins (362.36 mg/g) and total phenolic compounds (18.31 mg/g), indicating strong protective potential for skin cells. Regent extract at a concentration of 25 μg/mL was found to have the greatest effect on fibroblast proliferation and migration, significantly increasing the percentage of living cells and the rate of regeneration. This correlates with the high flavonoid content, which is particularly important for skin cells. These results confirm that grape pomace, particularly from the Regent variety, is a valuable source of natural antioxidants with anti-aging and regenerative properties. The use of these raw materials in cosmetic formulations aligns with the principles of the circular economy and the idea of “zero waste”, being an example of the sustainable use of by-products from the wine industry in the production of innovative bio-cosmetics. Full article
(This article belongs to the Special Issue Advances in Chemistry of Cosmetics)
Show Figures

Graphical abstract

33 pages, 912 KB  
Review
Green Extraction of Bioactive Compounds from Plant-Based Agri-Food Residues: Advances Toward Sustainable Valorization
by Samanta Shiraishi Kagueyam, José Rivaldo dos Santos Filho, Alex Graça Contato, Cristina Giatti Marques de Souza, Rafael Castoldi, Rúbia Carvalho Gomes Corrêa, Carlos Adam Conte Junior, Natália Ueda Yamaguchi, Adelar Bracht and Rosane Marina Peralta
Plants 2025, 14(23), 3597; https://doi.org/10.3390/plants14233597 - 25 Nov 2025
Cited by 1 | Viewed by 1161
Abstract
Agri-food residues have accumulated globally at unprecedented scales, generating environmental pressures and resource inefficiencies, a core problem addressed in this review, while simultaneously representing rich, underutilized reservoirs of health-promoting phytochemicals. This review synthesizes recent advances (2016–2025) in the green extraction, characterization, and biological [...] Read more.
Agri-food residues have accumulated globally at unprecedented scales, generating environmental pressures and resource inefficiencies, a core problem addressed in this review, while simultaneously representing rich, underutilized reservoirs of health-promoting phytochemicals. This review synthesizes recent advances (2016–2025) in the green extraction, characterization, and biological validation of phytochemicals from plant-based residues, including polyphenols, flavonoids, carotenoids, alkaloids, and dietary fibers from key sources such as grape pomace, citrus peels, coffee silverskin, pomegranate peel, cereal brans, and tropical fruit by-products. Emphasis is placed on sustainable extraction methods: ultrasound-assisted extraction (UAE), microwave-assisted extraction (MAE), pressurized liquid extraction (PLE), supercritical CO2 extraction (SFE), and natural deep eutectic solvents (NADES), which enable efficient recovery while minimizing environmental impact. In vitro, in vivo, and clinical studies demonstrate that residue-derived compounds exert antioxidant, anti-inflammatory, metabolic-regulating, and prebiotic effects, contributing to health in general and gut microbiota modulation. Integrating these bioactives into functional foods and nutraceuticals supports sustainable nutrition and circular bioeconomy goals by reducing food waste and promoting health-oriented valorization. Regulatory advances, including approvals from the European Food Safety Authority (EFSA) and the U.S. Food and Drug Administration (FDA) for ingredients such as olive phenolics, citrus flavanones, and coffee cascara, further illustrate increasing translational readiness. The convergence of green chemistry, biorefinery design, and nutritional science positions agri-food residues as pivotal resources for future health-promoting and environmentally responsible diets. Remaining challenges include scaling cost-effective green processes, harmonizing life cycle assessment protocols, expanding toxicological datasets, and conducting longer-term clinical trials to support safe and evidence-based commercialization. Full article
Show Figures

Graphical abstract

23 pages, 1472 KB  
Article
Novel Bioactive Kefiran-Based Films Enriched with Grape Pomace Extract
by Rosalba Paola Islas-Enríquez, Julia M. Márquez-Reyes, Juan G. Báez-González, Sergio A. Galindo-Rodríguez, Claudia T. Gallardo-Rivera, Ezequiel Viveros-Valdez, Carlos Abel Amaya-Guerra, Minerva Bautista-Villarreal and Mayra Z. Treviño-Garza
Polymers 2025, 17(23), 3108; https://doi.org/10.3390/polym17233108 - 23 Nov 2025
Viewed by 683
Abstract
The increasing demand for eco-friendly and functional packaging materials has driven research on biodegradable materials incorporating bioactive compounds. In this study, kefiran-based films (K; 3%) were developed and incorporated with grape pomace extract (GPE) at different concentrations (3K-0.5GPE, 3K-1.0GPE, and 3K-1.5GPE). The films [...] Read more.
The increasing demand for eco-friendly and functional packaging materials has driven research on biodegradable materials incorporating bioactive compounds. In this study, kefiran-based films (K; 3%) were developed and incorporated with grape pomace extract (GPE) at different concentrations (3K-0.5GPE, 3K-1.0GPE, and 3K-1.5GPE). The films were characterized based on their physicochemical, mechanical, antioxidant, and antimicrobial properties. It was found that the incorporation of GPE into the films increased the L*, a*, b*, and ΔE values, as well as the thickness, and improved UV radiation protection. FT-IR analysis revealed interactions between kefiran and the phenolic compounds of GPE, without altering the polymer structure. In addition, an increase in tensile strength and elongation at break was observed, evidencing a plasticizing effect of GPE, which also increased the water vapor permeability of 3K-1.5GPE. Solubility was not affected by the incorporation of GPE into the films. Regarding bioactive properties, the addition of GPE increased antioxidant activity and total phenolics. Antimicrobial assays showed activity only for the 3K-0.5GPE film against Listeria monocytogenes, with no activity against Escherichia coli. Overall, kefiran-based films containing GPE exhibit characteristics that position them as potential alternatives for sustainable, bioactive food packaging materials, thereby promoting the valorization of by-products from the wine industry. Full article
(This article belongs to the Special Issue Advances in Biopolymer Research: Sustainability and Applications)
Show Figures

Graphical abstract

18 pages, 2264 KB  
Article
Bioprocessing of Grape Pomace for the Development of a Nutraceutical Formulation: Bridging Winemaking By-Products and Functional Innovation
by Simona Piccolella, Lucia Mucci, Francesca Prato and Severina Pacifico
Foods 2025, 14(22), 3967; https://doi.org/10.3390/foods14223967 - 19 Nov 2025
Viewed by 477
Abstract
Grape pomace, the main by-product of winemaking, represents a promising source of anthocyanins for sustainable food applications. This study reports their low-impact aqueous extraction, yielding a two-step isolation of malvidin 3-O-hexoside (94% purity) characterized by spectroscopic and mass spectrometric analyses. The [...] Read more.
Grape pomace, the main by-product of winemaking, represents a promising source of anthocyanins for sustainable food applications. This study reports their low-impact aqueous extraction, yielding a two-step isolation of malvidin 3-O-hexoside (94% purity) characterized by spectroscopic and mass spectrometric analyses. The pure molecule was embedded into a jelly candy to develop a nutraceutical prototype, whose colorimetric analysis revealed a stable red hue. The jelly showed time-dependent release of the anthocyanin and strong antiradical capacity. The in vitro digestion confirmed 37% release in the oral phase, 55% in the gastric phase, and complete degradation in the intestinal phase, offering key insights for developing a further advanced strategy to enhance the bioaccessibility throughout the entire gastrointestinal tract. A consumer test (n = 116) indicated good acceptability, particularly among younger and more experienced supplement users. Overall, the study contributes to circular economy strategies towards a more resilient, responsible, and sustainable production system. Full article
Show Figures

Figure 1

24 pages, 1579 KB  
Article
Microwave-Assisted Extraction of Pleurotus Mushrooms Cultivated on ‘Nero di Troia’ Grape Pomace and Evaluation of the Antioxidant and Antiacetylcholinesterase Activities
by Gaetano Balenzano, Anna Spagnoletta, Giovanni Lentini, Gennaro Brunetti, Francesco De Mastro, Mariagrazia Rullo, Leonardo Pisani, Fortunato Cirlincione, Maria Letizia Gargano and Maria Maddalena Cavalluzzi
J. Fungi 2025, 11(11), 783; https://doi.org/10.3390/jof11110783 - 30 Oct 2025
Viewed by 1335
Abstract
The sustainable management of winery residues could represent a cornerstone for promoting environmental and economic sustainability from a circular economy perspective. In this context, our study aimed to evaluate Vitis vinifera L. ‘Nero di Troia’ cultivar grape pomace as a valuable waste product [...] Read more.
The sustainable management of winery residues could represent a cornerstone for promoting environmental and economic sustainability from a circular economy perspective. In this context, our study aimed to evaluate Vitis vinifera L. ‘Nero di Troia’ cultivar grape pomace as a valuable waste product for the cultivation of Pleurotus mushroom, in comparison with traditional wheat straw-based cultivation. Mushroom extracts were prepared through the eco-friendly microwave-assisted extraction technique, using green solvents with different polarity degrees. Total protein content, total polyphenol content, and antioxidant activity (FRAP and DPPH assays) were assessed for the water and EtOH hydrophilic extracts. Grape pomace often gave higher values than wheat straw, especially for the P. eryngii var. eryngii water extract protein content, which was 3.5-fold higher (0.68 ± 0.14 mg BSA/mL and 0.192 ± 0.025 mg BSA/mL, respectively). The ethyl acetate extracts of both mushroom species gave biologically relevant results in terms of inhibiting activity against acetylcholinesterase, an enzyme involved in the pathogenesis of Alzheimer’s disease (50% inhibitory activity at concentrations ≤ 1.5 mg/mL), thus paving the way for more in-depth investigation. The extract’s metabolic profile was investigated through GC-MS analysis. The results show that incorporating grape pomace into mushroom production represents a concrete step toward more sustainable biotechnological processes. Full article
Show Figures

Figure 1

17 pages, 557 KB  
Article
Sustainable Valorization of Grape Pomace in Sheep Through Systemic Health, Metabolic Safety, Milk and Meat Quality
by Gabriella Guelfi, Piermario Mangili, Francesca Mercati, David Ranucci, Silvia Crotti, Muhammad Tuseef, Gianluca Veneziani, Vicente Francisco Ratto, Camilla Capaccia, Francesco Ciancabilla, Margherita Maranesi and Cecilia Dall’Aglio
Int. J. Mol. Sci. 2025, 26(21), 10578; https://doi.org/10.3390/ijms262110578 - 30 Oct 2025
Cited by 1 | Viewed by 526
Abstract
Grape pomace (GP), a by-product of winemaking, is rich in polyphenols and fiber, making it a promising and sustainable feed supplement for ruminants. This study evaluated the safety and productive impact of a 5% GP-supplemented diet (GP5) including non-lactating end-cycle (EC) ewes regularly [...] Read more.
Grape pomace (GP), a by-product of winemaking, is rich in polyphenols and fiber, making it a promising and sustainable feed supplement for ruminants. This study evaluated the safety and productive impact of a 5% GP-supplemented diet (GP5) including non-lactating end-cycle (EC) ewes regularly destined for slaughter and human consumption, and lactating (LAC) ewes, over a 30-day period. Control (CTRL) animals received a standard pellet diet with no GP inclusion. Sampling was performed at four time points (T0, T10, T20, and T30), corresponding to days 0, 10, 20, and 30 of the experimental period. The study assessed clinical status, hematology/biochemistry (T0 and T30), milk composition (T0, T10, T20, and T30), meat quality traits and oxidative stability in EC ewes (T30). Since no significant differences were observed in the CTRL animals, the effects were evaluated within the GP5 group by comparing T0 vs. T30. Meat quality was assessed by comparing EC-GP5 to CTRL at T30. The GP extract showed a high total phenolic content (254.02 ± 20.39 mg GAE/g DW). No clinical or hematological alterations were observed, and most values remained within physiological ranges. Biochemical analysis revealed significant increases in albumin, bilirubin, creatinine, and triglycerides (p < 0.05), with significant decreases in plasma urea and glucose (p < 0.05). In LAC-GP5 ewes, milk urea and lactose concentrations decreased (p < 0.05), while pH increased (p < 0.05), with no significant changes in fat or casein content. These findings are consistent with reduced ruminal propionate availability, leading to decreased hepatic gluconeogenesis and lactose synthesis, with secondary effects on nitrogen metabolism and the acid–base profile of milk. In EC-GP5 ewes, meat quality traits were unaffected, and DPPH scavenging activity did not differ from CTRL (p > 0.05). GP5 was metabolically safe, induced adaptive changes in milk composition, and had no negative effects on meat quality, supporting the valorization of grape pomace as a sustainable feed resource. This trial was designed as a metabolic safety assessment, representing a preliminary step toward future mechanistic and molecular investigations. Full article
(This article belongs to the Section Bioactives and Nutraceuticals)
Show Figures

Figure 1

19 pages, 2706 KB  
Article
Sustainable Grape Antioxidant Dietary Fiber Preserves Proximal Colonic Homeostasis via Hsp27 and AMPK Signaling
by Paula Ortega-Menéndez, Marina Hernández-Martín, Silvina Rosa Drago, Carlos Guillén, Jara Pérez-Jiménez, Dulcenombre Gómez-Garre, Luis Rivera, Verónica Azcutia and María Elvira López-Oliva
Int. J. Mol. Sci. 2025, 26(21), 10564; https://doi.org/10.3390/ijms262110564 - 30 Oct 2025
Cited by 1 | Viewed by 2471
Abstract
The colonic epithelium renews rapidly and must balance proliferation with apoptosis to preserve barrier integrity. We investigated whether grape antioxidant dietary fiber (GADF), a grape pomace-derived dietary fiber matrix naturally rich in high molecular weight non-extractable polyphenols, modulates barrier integrity, through proliferation/cell cycle [...] Read more.
The colonic epithelium renews rapidly and must balance proliferation with apoptosis to preserve barrier integrity. We investigated whether grape antioxidant dietary fiber (GADF), a grape pomace-derived dietary fiber matrix naturally rich in high molecular weight non-extractable polyphenols, modulates barrier integrity, through proliferation/cell cycle and apoptosis. To gain mechanistic insight, we examined the role of heat-shock proteins (Hsps), and AMP-activated protein kinase (AMPK)–mTOR–lipid-metabolism signaling in healthy proximal colon. Male Wistar rats received either a cellulose-based control diet or an isoenergetic diet where cellulose was replaced with 5% GADF for four weeks. Morphometric analysis, immunohistochemistry, Western blotting, TUNEL, and caspase activity assays quantified cell cycle, apoptotic, Hsps, and metabolic pathways. GADF strengthened the epithelial barrier, increasing goblet cells, occludin, and ZO-1, while reducing crypt depth. Proliferation was suppressed, as indicated by reduced PCNA, cyclins E and D1, and higher p-p53Ser392, p21Cip1/Waf1, and p27Kip1 levels, consistent with G1 arrest. Apoptosis was attenuated, with increased mitochondrial Bcl-2/Bax and Bcl-xL/Bax ratios, lower cytosolic cytochrome c and apoptosis-inducing factor (AIF), and reduced caspase-9 and caspase-3 activities. Hsp27, but not Hsp70, was selectively induced. GADF activated AMPK and p-Raptor, enhanced ACC1 phosphorylation and CPT1, and supported a shift toward fatty acid β-oxidation. Correlation analysis revealed a strong association between Hsp27 and p-p53Ser392, suggesting potential links between barrier proteins and metabolic pathways. In conclusion, GADF preserves barrier integrity and redirects metabolism via AMPK–Hsp27 signaling, thereby promoting colonic homeostasis. These findings highlight grape pomace as a sustainable source of functional ingredients for nutritional strategies to reinforce epithelial defenses and reduce disease risk. Full article
(This article belongs to the Section Bioactives and Nutraceuticals)
Show Figures

Figure 1

Back to TopTop