Sign in to use this feature.

Years

Between: -

Subjects

remove_circle_outline
remove_circle_outline
remove_circle_outline
remove_circle_outline
remove_circle_outline
remove_circle_outline
remove_circle_outline
remove_circle_outline
remove_circle_outline

Journals

Article Types

Countries / Regions

remove_circle_outline
remove_circle_outline
remove_circle_outline

Search Results (180)

Search Parameters:
Keywords = glycoside residues

Order results
Result details
Results per page
Select all
Export citation of selected articles as:
16 pages, 2342 KB  
Article
Valorization of Hericium erinaceus By-Products for β-Glucan Recovery via Pulsed Electric Field-Assisted Alkaline Extraction and Prebiotic Potential Analysis
by Tannaporn Jeenpitak, Alisa Pattarapisitporn, Pipat Tangjaidee, Tabkrich Khumsap, Artit Yawootti, Suphat Phongthai, Seiji Noma and Wannaporn Klangpetch
Foods 2026, 15(1), 145; https://doi.org/10.3390/foods15010145 - 2 Jan 2026
Viewed by 314
Abstract
Hericium erinaceus is a well-known edible fungus rich in β-glucans, widely recognized for its immune-boosting and prebiotic properties. This study used a pulsed electric field (PEF) combined with alkaline extraction to improve β-glucan yield from H. erinaceus by-products. The treated residues were extracted [...] Read more.
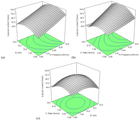
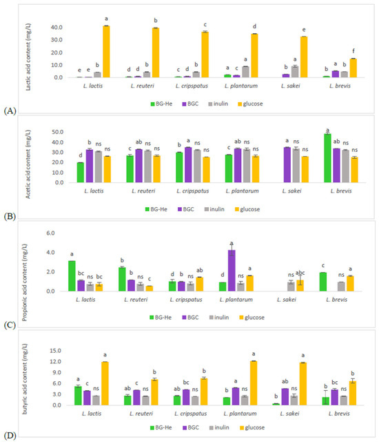
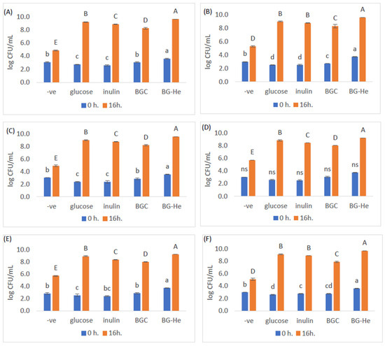
Hericium erinaceus is a well-known edible fungus rich in β-glucans, widely recognized for its immune-boosting and prebiotic properties. This study used a pulsed electric field (PEF) combined with alkaline extraction to improve β-glucan yield from H. erinaceus by-products. The treated residues were extracted with hot water or 7.5% NaOH. The results exhibited that PEF pretreatment followed by NaOH extraction gave the highest β-glucan yield (25 g/100 g) and purity (56.93%). SEM images revealed greater cell wall damage in NaOH-treated samples, while FTIR spectroscopy confirmed clear β-glycosidic linkages. The optimal conditions of PEF investigated by response surface methodology (RSM) were electric field strength 10 kV/cm, frequency 12 Hz, and mushroom/water ratio 8.44%, yielding β-glucan content of 50.14%. The extracted β-glucan demonstrated high prebiotic potential, supporting probiotic Lactobacillus spp. growth, enhancing short-chain fatty acids production, and resisting gastrointestinal digestion. Overall, this study demonstrates the broader potential of PEF-assisted alkaline extraction to support sustainable food processing, valorization of agro-industrial by-products, and the development of functional ingredients for modern food industry applications. Full article
Show Figures

Figure 1

17 pages, 3853 KB  
Article
Genomic Analysis of Paenarthrobacter sp. FR1 Reveals Its Marine-Adapted Pectin-Degrading System and Ecological Role in Carbon Cycling
by Zulfira Anwar, Jixin Tao, Jing Lin, Yiran Cui, Hongcai Zhang, Xi Yu, Jiasong Fang and Junwei Cao
Microorganisms 2026, 14(1), 39; https://doi.org/10.3390/microorganisms14010039 - 23 Dec 2025
Viewed by 351
Abstract
Microbial degradation of pectin is a fundamental process for the carbon cycle and a strategic approach for treating industrial residues. This study characterizes a novel marine bacterium, Paenarthrobacter sp. FR1, isolated from East China Sea intertidal sediment, which exhibits the ability to utilize [...] Read more.
Microbial degradation of pectin is a fundamental process for the carbon cycle and a strategic approach for treating industrial residues. This study characterizes a novel marine bacterium, Paenarthrobacter sp. FR1, isolated from East China Sea intertidal sediment, which exhibits the ability to utilize pectin. Its draft genome (4.83 Mb, 62.92% GC content) is predicted to encode 4498 protein-coding genes. Genomic analysis revealed a rich repertoire of Carbohydrate-Active Enzymes (CAZymes) crucial for this process, including 108 glycoside hydrolases (GHs), 7 polysaccharide lyases (PLs), 35 carbohydrate esterases (CEs), and 11 auxiliary activities (AAs). Genomic analysis provides supportive evidence that FR1 may target both homogalacturonan (HG) and rhamnogalacturonan (RG) pectin domains, potentially through complementary hydrolytic and oxidative pathways. Phylogenomic analysis based on Average Nucleotide Identity (ANI, 83.56%) and digital DNA-DNA Hybridization (dDDH, 27.8%) confirmed its status as a potential novel species. Notably, FR1 is a rare Paenarthrobacter isolate with innate pectinolytic capability, a characteristic not previously documented in this genus. This strain’s unique enzymatic machinery highlights its importance in marine carbon cycling and provides a valuable biotechnological resource for degrading pectin-rich wastes. Full article
Show Figures

Figure 1

24 pages, 10043 KB  
Article
Genomic and Transcriptomic Insights into Carbon-Source and Temporal Induction of a Diverse Set of Lignocellulolytic Enzymes in Irpex lacteus QJ
by Liye Song, Baorui Liu, Qijun Zhu, Kun Meng, Hongying Cai, Yunsheng Han, Weiwei Liu and Peilong Yang
J. Fungi 2025, 11(12), 882; https://doi.org/10.3390/jof11120882 - 13 Dec 2025
Viewed by 476
Abstract
The white-rot fungus Irpex lacteus is recognized for its strong ligninolytic and polysaccharide-degrading capacity, but the key advantages in degrading lignocellulose and the regulation of its enzyme systems remain poorly understood. In this study, we identified a rich repertoire of carbohydrate-active enzymes in [...] Read more.
The white-rot fungus Irpex lacteus is recognized for its strong ligninolytic and polysaccharide-degrading capacity, but the key advantages in degrading lignocellulose and the regulation of its enzyme systems remain poorly understood. In this study, we identified a rich repertoire of carbohydrate-active enzymes in the genome of I. lacteus QJ. Relative to other white-rot fungi, an expanded glycoside hydrolase gene family in I. lacteus QJ suggesting strong potential for lignocellulose degradation. When I. lacteus QJ was cultivated on glucose or wheat straw for 4 and 8 days, wheat straw strongly induced carbohydrate-active enzyme genes on day 4, while ligninolytic enzyme genes exhibited delayed upregulation on day 8. The cellobiose dehydrogenase plays an important role in the degradation processes. Its expression pattern is consistent with that of cellulase, and it can support peroxidase activity by providing H2O2. These findings reveal temporal coordination between polysaccharide- and lignin-degrading enzymes, providing new theoretical ideas for the application of I. lacteus during the degradation process. Our results not only improve the mechanistic understanding of fungal lignocellulose deconstruction but also inform strategies to enhance biological pretreatment of agricultural residues for biorefinery applications. Full article
(This article belongs to the Section Fungal Genomics, Genetics and Molecular Biology)
Show Figures

Figure 1

17 pages, 9681 KB  
Article
Structural Characterization and Immunomodulatory Activity of a Novel Mannoglucogalactan from Tremella aurantialba: Implications for Natural Immunotherapy
by Yuemou Zhao, Wenyu Liang, Huaqun Chen, Jinwen Huang, Longyan Zhao and Qingxia Yuan
Foods 2025, 14(23), 4126; https://doi.org/10.3390/foods14234126 - 2 Dec 2025
Viewed by 485
Abstract
Heteropolysaccharides, the principal bioactive constituents of the esteemed medicinal food Tremella aurantialba, remain poorly understood in both structure and function. Herein, we describe a novel heteropolysaccharide, designated TAP-2a, isolated from the fruiting bodies of T. aurantialba via multi-step column chromatography. With a [...] Read more.
Heteropolysaccharides, the principal bioactive constituents of the esteemed medicinal food Tremella aurantialba, remain poorly understood in both structure and function. Herein, we describe a novel heteropolysaccharide, designated TAP-2a, isolated from the fruiting bodies of T. aurantialba via multi-step column chromatography. With a molecular weight of 16.95 kDa, TAP-2a is dominated by the pyranose forms of ᴅ-galactose (ᴅ-Galp), ᴅ-glucose (ᴅ-Glcp) and ᴅ-mannose (ᴅ-Manp), accompanied by minor proportions of ᴅ-xylose (ᴅ-Xylp), ʟ-fucose (ʟ-Fucp) and glucuronic acid. Methylation-GC-MS and exhaustive 1D/2D NMR analyses revealed a backbone assembled from →6)-α-Galp-(1→, →6)-β-Glcp-(1→, and →3)-α-Manp-(1→residues, branched at →2,6)-β-Galp-(1→, →3,6)-α-Galp-(1→, and →2,3)-α-Manp-(1→residues, and terminated by β-Glcp-(1→, α-Fucp-(1→, and β-Xylp-(1→. This intricate glycosidic architecture generates an exceptionally complex mannoglucogalactan in which a Gal→Man domain is substituted at O-3 of Gal by t-β-Glcp side chains and at O-2 of Man by t-α-Fucp stubs; additionally, a discrete fragment comprising t-β-Glcp-(1→3)-β-Glcp-(1→ was identified, along with a minor branch in which t-β-Xylp is attached to O-2 of a mannose residue. Functionally, TAP-2a proved to be a potent immunomodulator, markedly enhancing the secretion of nitric oxide, interleukin-1β, interleukin-6 and tumour necrosis factor-α while concurrently up-regulating the corresponding mRNA transcripts and augmenting phagocytic capacity. These findings establish the highly elaborate heteropolysaccharides of T. aurantialba as powerful immunomodulators that underpin the fungus’s renowned medicinal efficacy. Full article
Show Figures

Figure 1

18 pages, 8867 KB  
Article
Modulation of α-Mannosidase 8 by Antarctic Endophytic Fungi in Strawberry Plants Under Heat Waves and Water Deficit Stress
by Daniel Bustos, Luis Morales-Quintana, Gabriela Urra, Francisca Arriaza-Rodríguez, Stephan Pollmann, Angela Méndez-Yáñez and Patricio Ramos
Int. J. Mol. Sci. 2025, 26(23), 11650; https://doi.org/10.3390/ijms262311650 - 1 Dec 2025
Viewed by 370
Abstract
Plant–microbe interactions exert a significant influence on host stress responses; however, the molecular mechanisms underlying these effects remain inadequately understood. In this study, we characterize FaMAN8, an α-mannosidase from Fragaria × ananassa, to explore its role in adaptation to heat waves and [...] Read more.
Plant–microbe interactions exert a significant influence on host stress responses; however, the molecular mechanisms underlying these effects remain inadequately understood. In this study, we characterize FaMAN8, an α-mannosidase from Fragaria × ananassa, to explore its role in adaptation to heat waves and water deficit, as well as its modulation by fungal endophytes. Transcriptomic analysis identified FaMAN8 as the sole α-mannosidase isoform highly conserved across reported sequences, with root-specific induction under conditions of heat stress, deficient irrigation, and endophytic colonization. Structural modeling revealed that FaMAN8 exhibits the canonical domain organization of glycoside hydrolase family 38 (GH38) enzymes, featuring a conserved catalytic architecture and metal-binding site. Molecular docking and dynamics simulations with the Man3GlcNAc2 ligand indicated a stable binding pocket involving key catalytic residues and strong electrostatic complementarity. MM-GBSA and free energy landscape analyses further supported the thermodynamic stability of the protein–ligand complex. Cavity analysis revealed a larger active site in FaMAN8 compared to its homolog JbMAN, suggesting broader substrate accommodation. Collectively, these findings identify FaMAN8 as a stress-responsive glycosidase potentially involved in glycan remodeling during beneficial root–fungus interactions. This work provides molecular insights into plant–microbe symbiosis and lays the groundwork for microbiome-informed strategies to enhance crop stress resilience. Full article
(This article belongs to the Special Issue The Molecular Basis of Plant–Microbe Interactions)
Show Figures

Graphical abstract

14 pages, 4099 KB  
Article
Structure of Ribosome-Inactivating Protein from Mirabilis jalapa and Its L12-Stalk-Dependent Inhibition of Escherichia coli Ribosome
by Nanami Nishida, Yuki Ninomiya, Toru Yoshida, Takehito Tanzawa, Yasushi Maki, Hideji Yoshida, Hideaki Tsuge and Noriyuki Habuka
Toxins 2025, 17(12), 575; https://doi.org/10.3390/toxins17120575 - 28 Nov 2025
Viewed by 608
Abstract
Mirabilis antiviral protein (MAP) is the type I ribosome-inactivating protein (RIP), which consists of an RNA N-glycosylase domain with no carbohydrate-binding domain. Unlike many RIPs, such as ricin or trichosanthin, which inactivate eukaryotic ribosomes, MAP also inactivates the E. coli ribosome by [...] Read more.
Mirabilis antiviral protein (MAP) is the type I ribosome-inactivating protein (RIP), which consists of an RNA N-glycosylase domain with no carbohydrate-binding domain. Unlike many RIPs, such as ricin or trichosanthin, which inactivate eukaryotic ribosomes, MAP also inactivates the E. coli ribosome by cleaving the N-glycosidic bond at A2660 of 23S ribosomal RNA. The structure of the wild-type MAP has not been revealed yet. Here, we expressed, purified, and crystallized the plural recombinant MAPs, including both E168Q and R171Q mutations (MAP-EQRQ) in E. coli, and determined the crystal structure of MAP-EQRQ at 2.1 Å resolution. According to the predicted structure with RNA (sarcin-ricin loop) and the mutant protein’s activities using quantitative RT-PCR, we showed that residue R171 at the active site of MAP is a key residue to form the stable complex with target adenine. Furthermore, we showed that MAP bound the C-terminal domains of eukaryotic P2-stalk as well as E. coli L12-stalk. Full article
(This article belongs to the Section Plant Toxins)
Show Figures

Figure 1

21 pages, 3548 KB  
Article
Anti-Inflammatory and Antioxidant Mechanisms of Dendrobium moschatum Polysaccharide in Intestinal Epithelial Cells via TLR4-NF-κB and Nrf2 Signaling Pathways
by Ji Chen, Chunyan Ma, Xu Mo, Linhong Li, Lijuan Wu, Chaowen Zhang, Rui Li, Yuanfeng Zou, Fan Liu and Mengliang Tian
Antioxidants 2025, 14(11), 1384; https://doi.org/10.3390/antiox14111384 - 20 Nov 2025
Viewed by 923
Abstract
Dendrobium moschatum neutral polysaccharide (DMP-NP) was isolated using a water extraction–ethanol precipitation method, followed by purification with DEAE-cellulose anion-exchange resin and a dextran gel column. The resulting DMP-NP1 exhibited a weight-average molecular weight of 16.23 kDa. The molar ratio of monosaccharides was as [...] Read more.
Dendrobium moschatum neutral polysaccharide (DMP-NP) was isolated using a water extraction–ethanol precipitation method, followed by purification with DEAE-cellulose anion-exchange resin and a dextran gel column. The resulting DMP-NP1 exhibited a weight-average molecular weight of 16.23 kDa. The molar ratio of monosaccharides was as follows: glucose–mannose–galactose–fucose–rhamnose = 78.54:19.11:1.59:0.53:0.23, with a glucose-to-mannose ratio of 4.1:1. Infrared spectroscopic analysis revealed characteristic carbohydrate absorption peaks and confirmed the presence of pyranosidic linkages. NMR analysis revealed that DMP-NP1 possesses a backbone mainly formed by 1→4 glycosidic linkages, a small number of 1→6 branches, and O-acetyl substitutions at the C2 and C3 positions of mannose residues. In vitro experiments demonstrated that treatment with 0–20 μg/mL (0–1.23 μM) DMP-NP significantly enhanced the activities of catalase (CAT) and superoxide dismutase (SOD) in IPEC-J2 cells, along with upregulation of the corresponding antioxidant genes. Concurrently, DMP-NP reduced the secretion of key pro-inflammatory cytokines, including TNF-α, IL-1β, and IL-6, and downregulated the expression of genes associated with both antioxidant and inflammatory signaling pathways. Collectively, these findings indicate that DMP-NP not only prevents but also ameliorates LPS-induced inflammatory injury in intestinal epithelial cells, thereby providing a basis for the application of DMP-NP in intestinal inflammation mitigation. Full article
(This article belongs to the Section Health Outcomes of Antioxidants and Oxidative Stress)
Show Figures

Graphical abstract

19 pages, 3297 KB  
Article
Removal of Ionic Liquid (IL) from Herbal Materials After Extraction with IL and Comprehensive Investigation
by Zhaojin Zhang, Subhan Mahmood, Yu Cao and Shun Yao
Separations 2025, 12(11), 302; https://doi.org/10.3390/separations12110302 - 1 Nov 2025
Viewed by 1009
Abstract
At present, ionic liquids (ILs) are increasingly being used to extract natural products as green solvents, but their residues can lead to risks in terms of further use for the extracted herbal materials. Therefore, it is necessary to remove them with simple and [...] Read more.
At present, ionic liquids (ILs) are increasingly being used to extract natural products as green solvents, but their residues can lead to risks in terms of further use for the extracted herbal materials. Therefore, it is necessary to remove them with simple and effective methods. For example, after the toxic anthraquinones in Polygonum multiflorum are removed by extraction with the IL of [C4Bim][PTSA], it needs to be recovered and reused, and the useful stilbene glycosides should not suffer from obvious loss as they are the main functional components. In this study, an ultrasonic method with n-propanol was used to remove the residual [C4Bim][PTSA] in the solid powders of Polygonum multiflorum that had been extracted for anthraquinones. After single-factor optimization, the removal conditions were as follows: the removal temperature was 303.15 K, the solid–liquid ratio was 1:200 (w (1 g):v (200 mL)), the ultrasonic time was 40 min, and there were four operations. Under these conditions, ILs could be completely removed with almost no loss of stilbene glycosides in solid powders. After that, the IL in the extracting solution and scrubbing solution was recovered by the back-extraction method, and an IL with high purity could be obtained for reuse. The total recovery efficiency of the IL reached more than 98%. Then gas chromatography (GC) was conducted for the determination of residual ethanol and n-propanol in the solid powders of Polygonum multiflorum, which could be used to quickly detect the contents of two organic solvents within three minutes. Besides that, the method could also be applied to the determination of residual organic solvents in the raw materials of Polygonum multiflorum, and the results showed that the residue of ethanol and n-propanol in the solid powders were in accordance with the general provisions of the current Chinese Pharmacopoeia. According to the developed procedures and optimized conditions, the recovered IL could be reused in five runs at least. General applicability and greenness assessment for the developed process also proved that it is an ideal method, which has potential in large-scale application. Full article
(This article belongs to the Collection Feature Paper Collection in Section 'Purification Technology')
Show Figures

Figure 1

20 pages, 552 KB  
Article
Biologically Active Compounds of Plants of the Atraphaxis Genus: Chemical Composition and Immunomodulatory Evaluation
by Meruyert D. Dauletova, Almagul K. Umbetova, Nazym S. Yelibayeva, Gauhar Sh. Burasheva, Aisulu Zh. Kabdraisova, Zhanat Zh. Karzhaubekova, Yuliya A. Litvinenko, Zhanibek S. Assylkhanov and Dmitriy Yu. Korul’kin
Int. J. Mol. Sci. 2025, 26(21), 10301; https://doi.org/10.3390/ijms262110301 - 23 Oct 2025
Viewed by 480
Abstract
This study systematically investigated lipophilic and polar metabolites of Atraphaxis virgata (Polygonaceae) and assessed its immunomodulatory activity in vivo. Supercritical CO2 extraction of the aerial parts yielded a lipophilic fraction analyzed by means of gas chromatography–mass spectrometry (GC–MS), which identified 42 compounds, [...] Read more.
This study systematically investigated lipophilic and polar metabolites of Atraphaxis virgata (Polygonaceae) and assessed its immunomodulatory activity in vivo. Supercritical CO2 extraction of the aerial parts yielded a lipophilic fraction analyzed by means of gas chromatography–mass spectrometry (GC–MS), which identified 42 compounds, including fatty acid esters, sterols, hydrocarbons, and terpenoids. The residual plant meal was subjected to ultrasound-assisted extraction with 70% aqueous ethanol at 30–35 °C, using a solid-to-solvent ratio of 1:8 for 120 min. This polar extract was evaluated for amino acids, proteins, and carbohydrates, while solvent–solvent partitioning with chloroform, ethyl acetate, and water enabled isolation of phenolic- and flavonoid-enriched fractions. Six phenolic constituents, including four flavonol glycosides and two phenolic acids, were structurally confirmed. The extracts were rich in unsaturated fatty acids and water-soluble antioxidants, supporting their nutritional and pharmacological relevance. In vivo evaluation using a cyclophosphamide-induced myelosuppression model in Wistar rats demonstrated stimulation of erythropoiesis and leukopoiesis, confirming immunomodulatory potential. Collectively, this work provides the first comprehensive chemical and biological characterization of A. virgata and establishes a foundation for mechanistic studies and pharmacological validation. Full article
(This article belongs to the Section Bioactives and Nutraceuticals)
Show Figures

Figure 1

19 pages, 3196 KB  
Article
Resin Glycosides with α-Glucosidase and Protein Tyrosine Phosphatase 1B Inhibitory Activities from the Seeds of Cuscuta japonica
by Su-Peng Guo, Ye He, Xin Lan, Tian-Zi Qi, Jin-Ping Gu, Jia Guo, Xin-Yu Wang, Min Yang, Wen-Li Wang, Guang-Tong Chen and Bo-Yi Fan
Biomolecules 2025, 15(10), 1465; https://doi.org/10.3390/biom15101465 - 16 Oct 2025
Cited by 1 | Viewed by 636
Abstract
In the present study, seven previously undescribed resin glycosides, designated cusponins I-VII (17), together with one known analog (8), were isolated from the seeds of Cuscuta japonica, a traditional medicine used in China. Structural elucidation revealed [...] Read more.
In the present study, seven previously undescribed resin glycosides, designated cusponins I-VII (17), together with one known analog (8), were isolated from the seeds of Cuscuta japonica, a traditional medicine used in China. Structural elucidation revealed them to be glycosidic acid methyl esters, generated through on-column methyl esterification of naturally occurring resin glycosides catalyzed by NH2-functionalized silica gel. All isolates were characterized as either pentasaccharides or tetrasaccharides, incorporating D-glucose, L-rhamnose, or D-fucose units as the sugar residues. Notably, compounds 1 and 37 contained the uncommon aglycone, 11S-hydroxypentadecanoic acid. Bioactivity assessments demonstrated that compounds 14, 6 and 8 suppressed α-glucosidase activity, with IC50 values between 8.02 and 71.39 μM. In addition, compounds 3 and 5 exhibited inhibitory effects on protein tyrosine phosphatase 1B (PTP1B), with IC50 values of 14.19 ± 1.29 μM and 62.31 ± 8.61 μM, respectively, marking the first report of PTP1B inhibitory activity among resin glycosides. Enzyme kinetic analyses indicated that compound 2 acted as an uncompetitive α-glucosidase inhibitor (Kis = 3.02 μM), whereas compound 3 inhibited PTP1B via a mixed-type mechanism (Kᵢ = 24.82 μM; Kis = 64.24 μM). Molecular docking combined with molecular dynamics simulations suggested that compounds 2 and 3 interacted with α-glucosidase-pNPG and PTP1B, respectively, forming stable complexes with favorable binding free energies. Collectively, this study reported eight resin glycosides from C. japonica, seven of them newly identified, with compounds 2 and 3 highlighted as promising scaffolds for antidiabetic drug discovery. Full article
(This article belongs to the Section Natural and Bio-derived Molecules)
Show Figures

Figure 1

16 pages, 3548 KB  
Article
Identification and Functional Analysis of Two UGT84 Glycosyltransferases in Flavonoid Biosynthesis of Carthamus tinctorius
by Chaoxiang Ren, Jinxin Guo, Siyu Liu, Bin Xian, Yuhang Li, Changyan Yang, Cheng Peng, Jin Pei and Jiang Chen
Plants 2025, 14(19), 3112; https://doi.org/10.3390/plants14193112 - 9 Oct 2025
Cited by 1 | Viewed by 771
Abstract
Safflower (Carthamus tinctorius L.) is a multipurpose economic crop. Flavonoid glycosides are its key bioactive constituents, and several glycosyltransferases involved in their biosynthesis have been identified. The glycosyltransferase 84 subfamily represents a specialized branch with diverse functions, involved not only in catalyzing [...] Read more.
Safflower (Carthamus tinctorius L.) is a multipurpose economic crop. Flavonoid glycosides are its key bioactive constituents, and several glycosyltransferases involved in their biosynthesis have been identified. The glycosyltransferase 84 subfamily represents a specialized branch with diverse functions, involved not only in catalyzing flavonoid glycosylation but also in the biosynthesis of auxins, tannins, and other compounds. However, this subfamily remains poorly characterized in safflower. In this study, two UGT84 subfamily genes, UGT84A28 and UGT84B3, were screened based on expression patterns and phylogenetic evolution analysis. Recombinant proteins were induced and purified using prokaryotic expression systems. Functional characterization was subsequently conducted through enzymatic assays in vitro and transient expression in tobacco leaves. Molecular docking was employed to investigate the binding modes of UGTs with UDP-glucose. The results indicated that both UGTs demonstrated glycosylation activity at the flavonoid 7-OH position. Notably, when luteolin was employed as the aglycone, both enzymes also exhibited 3′-O-glycosylation activity. Combined with amino acid sequence alignment, we propose that residues A351/T343 and G263/F254, which affect spatial conformation and hydrogen bonding ability, may be one of the reasons for the functional differences between these two enzymes. These findings provide new insights into the catalytic diversity of glycosyltransferases. Full article
(This article belongs to the Special Issue Advances in Plant Molecular Biology and Gene Function)
Show Figures

Figure 1

15 pages, 2687 KB  
Article
Recombinant Production and Characterization of a Novel α-L-Fucosidase from Bifidobacterium castoris
by Burcu Pekdemir and Sercan Karav
Int. J. Mol. Sci. 2025, 26(19), 9344; https://doi.org/10.3390/ijms26199344 - 24 Sep 2025
Viewed by 826
Abstract
α-L-fucosidases (EC 3.2.1.51) are of particular interest due to their ability to cleave terminal α-L-fucose residues from glycoconjugates, a property associated with numerous biological and therapeutic effects. They have also been investigated for their potential use in glycan remodeling, disease biomarker analysis, and [...] Read more.
α-L-fucosidases (EC 3.2.1.51) are of particular interest due to their ability to cleave terminal α-L-fucose residues from glycoconjugates, a property associated with numerous biological and therapeutic effects. They have also been investigated for their potential use in glycan remodeling, disease biomarker analysis, and particularly as therapeutic agents in the context of fucosidosis, a rare lysosomal storage disorder, caused by a deficiency in α-L-fucosidase activity. However, limitations in enzyme availability, stability, and substrate specificity highlight the need for novel and more efficient enzyme sources. Bifidobacterium castoris (B. castor is) is a newly identified species first discovered in the beaver gut microbiota in 2019. Phylogenetic studies have revealed its advanced metabolic capacity, and genomic analyses have demonstrated its extensive carbohydrate metabolism potential. This research article focuses on the recombinant production and biochemical characterization of a novel α-L-fucosidase from B. castoris LMG (Laboratorium voor Microbiologie Gent) 30937, predicted to belong to glycoside hydrolase family 29 (GH29) according to Universal Protein Resource (UniProt) annotation. Under optimized reaction conditions the recombinant α-L-fucosidase exhibited a specific activity of 0.264 U/mg to pNP-Fuc (4-Nitrophenyl-α-L-fucopyranoside). The results indicate that the enzyme is active in the pH range of 3.0–8.0 and temperatures of 24–42 °C, but its optimum conditions are the slightly acidic pH of 5.5 and the elevated temperature of 42 °C. This profile suggests that the enzyme is adapted to acidic intestinal-like environments. This novel enzyme expands the GH29 α-L-fucosidase repertoire and offers a promising new candidate for future biotechnological applications. Full article
(This article belongs to the Collection 30th Anniversary of IJMS: Updates and Advances in Biochemistry)
Show Figures

Graphical abstract

21 pages, 601 KB  
Article
Cladolosides of Groups S and T: Triterpene Glycosides from the Sea Cucumber Cladolabes schmeltzii with Unique Sulfation; Human Breast Cancer Cytotoxicity and QSAR
by Alexandra S. Silchenko, Elena A. Zelepuga, Ekaterina A. Chingizova, Ekaterina S. Menchinskaya, Kseniya M. Tabakmakher, Anatoly I. Kalinovsky, Sergey A. Avilov, Roman S. Popov, Pavel S. Dmitrenok and Vladimir I. Kalinin
Mar. Drugs 2025, 23(7), 265; https://doi.org/10.3390/md23070265 - 25 Jun 2025
Cited by 1 | Viewed by 1212
Abstract
Four new minor monosulfated triterpene penta- and hexaosides, cladolosides S (1), S1 (2), T (3), and T1 (4), were isolated from the Vietnamese sea cucumber Cladolabes schmeltzii (Sclerodactylidae, Dendrochirotida). The structures of the [...] Read more.
Four new minor monosulfated triterpene penta- and hexaosides, cladolosides S (1), S1 (2), T (3), and T1 (4), were isolated from the Vietnamese sea cucumber Cladolabes schmeltzii (Sclerodactylidae, Dendrochirotida). The structures of the compounds were established based on extensive analysis of 1D and 2D NMR spectra as well as HR-ESI-MS data. Cladodosides S (1), S1 (2) and T (3), T1 (4) are two pairs of dehydrogenated/hydrogenated compounds that share identical carbohydrate chains. The oligosaccharide chain of cladolosides of the group S is new for the sea cucumber glycosides due to the presence of xylose residue attached to C-4 Xyl1 in combination with a sulfate group at C-6 MeGlc4. The oligosaccharide moiety of cladolosides of the group T is unique because of the position of the sulfate group at C-3 of the terminal sugar residue instead of the 3-O-Me group. This suggests that the enzymatic processes of sulfation and O-methylation that occur during the biosynthesis of glycosides can compete with each other. This can presumably occur due to the high level of expression or activity of the enzymes that biosynthesize glycosides. The mosaicism of glycoside biosynthesis (time shifting or dropping out of some biosynthetic stages) may indicate a lack of compartmentalization inside the cells of organism producers, leading to a certain degree of randomness in enzymatic reactions; however, this also offers the advantage of providing chemical diversity of the glycosides. Analysis of the hemolytic activity of a series of 26 glycosides from C. schmeltzii revealed some patterns of structure–activity relationships: the presence or absence of 3-O-methyl groups has no significant impact, hexaosides, which are the final products of biosynthesis and predominant compounds of the glycosidic fraction of C. schmeltzii, are more active than their precursors, pentaosides, and the minor tetraosides, cladolosides of the group A, are weak membranolytics and therefore are not synthesized in large quantities. Two glycosides from C. schmeltzii, cladolosides D (18) and H1 (26), display selectivity of cytotoxic action toward triple-negative breast cancer cells MDA-MB-231, while remaining non-toxic in relation to normal mammary cells MCF-10A. Quantitative structure–activity relationships (QSAR) were calculated based on the correlational analysis of the physicochemical properties and structural features of the glycosides and their hemolytic and cytotoxic activities against healthy MCF-10A cells and cancer MCF-7 and MDA-MB-231 cell lines. QSAR highlighted the complexity of the relationships as the cumulative effect of many minor contributions from individual descriptors can have a significant impact. Furthermore, many structural elements were found to have different effects on the activity of the glycosides against different cell lines. The opposing effects were especially pronounced in relation to hormone-dependent breast cancer cells MCF-7 and triple-negative MDA-MB-231 cells. Full article
(This article belongs to the Special Issue Novel Biomaterials and Active Compounds from Sea Cucumbers)
Show Figures

Graphical abstract

15 pages, 3326 KB  
Article
Structural and Functional Insights into a Novel Aspergillus ochraceus Polysaccharide from the Weddell Sea: Implications for Melanoma Immunotherapy In Vitro
by Jiale Hao, Kouame kra Wilfred Armel, Pengcheng Gao, Jinglei Wang, Weibin Zhang, Kexin Du, Qi Li, Huishu Gao, Guangli Yu and Guoyun Li
Mar. Drugs 2025, 23(6), 246; https://doi.org/10.3390/md23060246 - 10 Jun 2025
Viewed by 1243
Abstract
Immunotherapy is a transformative strategy in oncology, yet the development of novel immunomodulatory agents remains essential. This study explores the anti-tumor potential of a structurally unique polysaccharide isolated from an Aspergillus ochraceus (AOP), sourced from the Antarctic Weddell Sea. Using alkaline-assisted extraction and [...] Read more.
Immunotherapy is a transformative strategy in oncology, yet the development of novel immunomodulatory agents remains essential. This study explores the anti-tumor potential of a structurally unique polysaccharide isolated from an Aspergillus ochraceus (AOP), sourced from the Antarctic Weddell Sea. Using alkaline-assisted extraction and chromatographic purification, we obtained a homogeneous polysaccharide predominantly composed of galactose and mannose, with an average molecular weight of 39.67 kDa. The structure was characterized by an integrated nuclear magnetic resonance spectroscopy and mass spectrometry analysis, revealing that the AOP is composed of β (1→5)-linked galactofuranose units, with a minor substitution by α-D-mannopyranose residues via (1→2) glycosidic bonds at the C2 of the galactofuranose. Functional assays, including CCK8 and wound-healing tests, demonstrated that this polysaccharide, referred to as AOP, inhibited melanoma cell proliferation and migration in a dose-dependent manner. Additionally, the AOP activated RAW264.7 and bone marrow-derived macrophage (BMDM) cells without exhibiting significant cytotoxicity, leading to the release of inflammatory factors such as TNF-α, IL-1β, and IL-6. Mechanistically, the AOP was found to upregulate the expression of CD86 and IFN-γ, while downregulating genes like IL-4 and Arg1. These findings position the AOP as the first documented Antarctic fungal polysaccharide with macrophage-reprogramming capabilities against melanoma, offering novel molecular insights for marine-derived immunotherapeutics. Full article
Show Figures

Graphical abstract

17 pages, 3660 KB  
Article
Improving the Thermal Stability of Xylanase XynASP from Aspergillus Saccharolyticus JOP 1030-1 Through Modular Assembly
by Jinjin Zhu, Qing Zhang, Jiaxin Zhao, Xueting Fu, Mingzhu Wang, Yan Liu, Hui Wang, Hongli Xi and Tongbiao Li
Catalysts 2025, 15(6), 563; https://doi.org/10.3390/catal15060563 - 5 Jun 2025
Viewed by 989
Abstract
Xylanases, important enzymes in the food industry, have severely limited use in industrial applications due to insufficient thermal stability. This study focused on improving the thermostability of XynASP, a glycoside hydrolase family 11 (GH11) xylanase from Aspergillus saccharolyticus JOP 1030-1, through modular assembly [...] Read more.
Xylanases, important enzymes in the food industry, have severely limited use in industrial applications due to insufficient thermal stability. This study focused on improving the thermostability of XynASP, a glycoside hydrolase family 11 (GH11) xylanase from Aspergillus saccharolyticus JOP 1030-1, through modular assembly and rational mutagenesis. By aligning XynASP with nine thermostable GH11 homologs, six variable structural modules (β1, β3, β6, β7, α1, β14) and eight non-conserved residues were identified. Six chimeras (Z1, Z2, Z3, Z4, Z5, Z6) and eight single mutants (S131T, Y133T, A137G, A144T, T147Y, A156R, V198M, and Y204Q) were constructed. Among these, the β3-module-substituted chimera Z2 exhibited a 15.4-fold extended half-life at 45 °C compared to wild-type XynASP. Single-point mutagenesis revealed that V198M showed the highest residual activity after thermal treatment. To further optimize stability, combinatorial mutagenesis was performed: the double mutant A144T/V198M demonstrated a 4.3-fold longer half-life at 50 °C. Combining Z2 with the A144T/V198M mutations yielded the chimeric ZM, which demonstrated a 26.5-fold increase in half-life at 50 °C and a 5.5-fold improvement in catalytic efficiency (197.4 U/mg) compared to wild-type XynASP. Structural analysis and molecular dynamics simulations showed that increased hydrophobic interactions at both the N- and C-termini improved the structural stability of chimeric ZM, while increasing the flexibility of the thumb can offset the negative impact on catalytic activity during thermal stability modification of GH11 xylanase. This study further confirmed that modular assembly is an effective approach for obtaining high-activity, heat-resistant xylanases. This study also notably deepened our understanding of the thermal stability mechanisms of xylanases. Full article
(This article belongs to the Section Biocatalysis)
Show Figures

Graphical abstract

Back to TopTop