Resin Glycosides with α-Glucosidase and Protein Tyrosine Phosphatase 1B Inhibitory Activities from the Seeds of Cuscuta japonica
Abstract
1. Introduction
2. Materials and Methods
2.1. General Experimental Procedures
2.2. Plant Material
2.3. Extraction and Isolation
2.4. Alkaline Hydrolysis of Resin Glycoside Fraction
2.5. Acid Hydrolysis and Sugar Analysis
2.6. α-Glucosidase Inhibitory Assay
2.7. PTP1B Inhibitory Assay
2.8. Enzyme Reversibility and Kinetics Analysis
2.9. Molecular Docking Analysis
2.10. MD Simulation
3. Results and Discussion
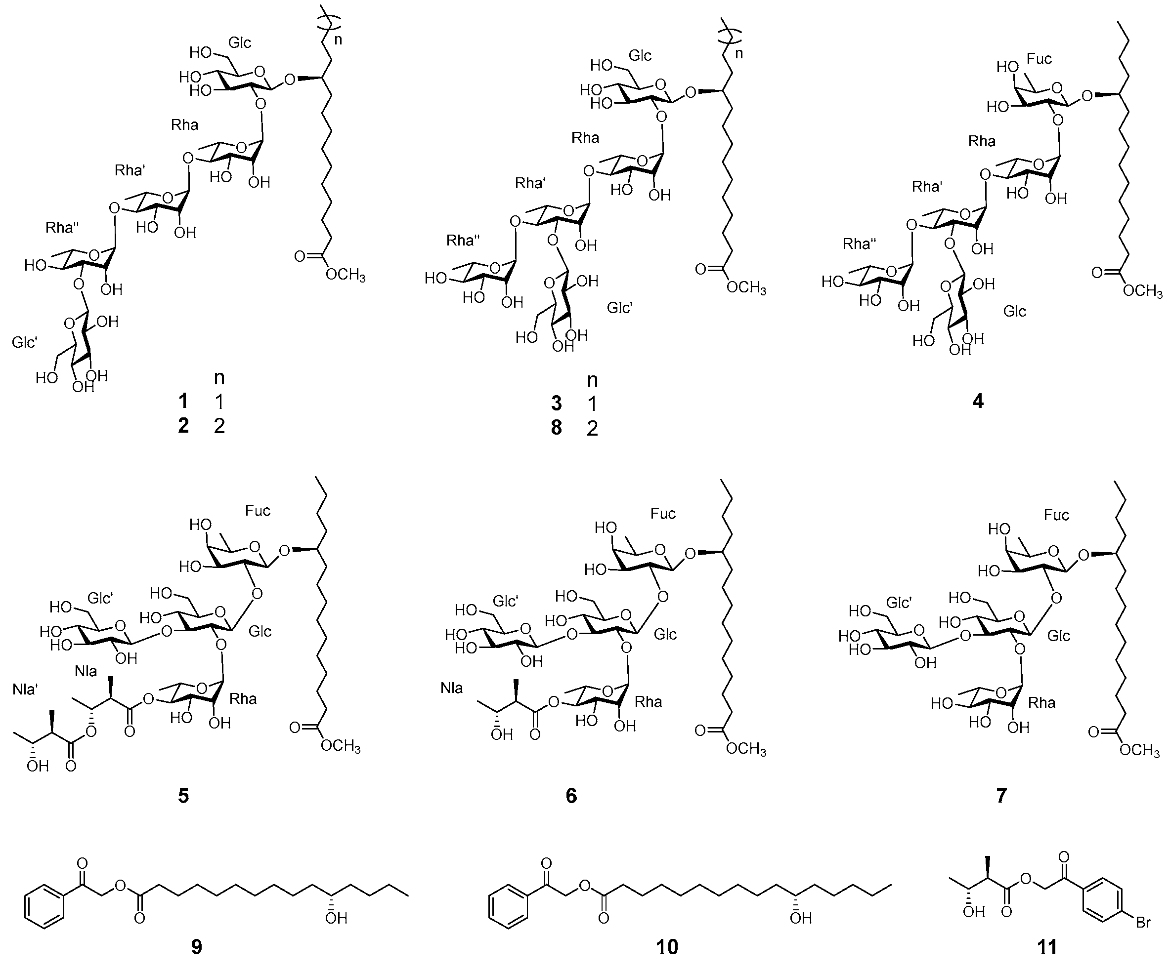
3.1. Structural Elucidation
3.2. Enzyme Inhibitory Activity
3.3. Reversibility and Inhibitory Kinetics
3.4. Molecular Docking Analysis
3.5. MD Simulation
4. Conclusions
Supplementary Materials
Author Contributions
Funding
Institutional Review Board Statement
Informed Consent Statement
Data Availability Statement
Conflicts of Interest
References
- Zheng, Y.; Xu, Y.; Ji, L.; San, W.; Shen, D.; Zhou, Q.; Meng, G.; Shi, J.; Chen, Y. Roles of distinct nuclear receptors in diabetic cardiomyopathy. Front. Pharmacol. 2024, 15, 1423124. [Google Scholar] [CrossRef] [PubMed]
- Zhang, Z.; Deng, C.; Paulus, Y.M. Advances in structural and functional retinal imaging and biomarkers for early detection of diabetic retinopathy. Biomedicines 2024, 12, 1405. [Google Scholar] [CrossRef]
- Berbudi, A.; Khairani, S.; Tjahjadi, A.I. Interplay between insulin resistance and immune dysregulation in Type 2 diabetes mellitus: Implications for therapeutic interventions. Immunotargets Ther. 2025, 14, 359–382. [Google Scholar] [CrossRef] [PubMed]
- Sun, L.; Wang, X.; Gu, T.; Hu, B.; Luo, J.; Qin, Y.; Wan, C. Nicotine triggers islet β cell senescence to facilitate the progression of type 2 diabetes. Toxicology 2020, 441, 152502. [Google Scholar] [CrossRef]
- Rosas-Ramírez, D.; Escandón-Rivera, S.; Pereda-Miranda, R. Morning glory resin glycosides as α-glucosidase inhibitors: In vitro and in silico analysis. Phytochemistry 2018, 148, 39–47. [Google Scholar] [CrossRef]
- Deng, H.; Xu, Q.; Chen, G.Q.; Huang, X.; Liu, J.Y.; Wang, Y.L.; Quan, Y.S.; Yan, R.; Quan, Z.S.; Shen, Q.K. Design and synthesis of azole derivatives of echinocystic acid as α-glucosidase inhibitors with hypoglycemic activity. Eur. J. Med. Chem. 2025, 289, 117437. [Google Scholar] [CrossRef] [PubMed]
- Feng, M.H.; Liu, J.S.; Yang, F.; Wang, B.; Liu, A.H.; Li, S.W.; Mao, S.C. Structurally diverse dammarane-derived triterpenoids from the twigs of Aglaia perviridis Hiern and their α-glucosidase and PTP1B inhibitory activities. Phytochemistry 2025, 234, 114439. [Google Scholar] [CrossRef]
- Pereda-Miranda, R.; Rosas-Ramírez, D.; Castañeda-Gómez, J. Resin glycosides from the morning glory family. In Progress in the Chemistry of Organic Natural Products; Kinghorn, A.D., Falk, H., Kobayashi, J., Eds.; Springer: Vienna, Austria, 2010; Volume 92, pp. 77–153. [Google Scholar]
- Fan, B.Y.; Jiang, X.; Li, Y.X.; Wang, W.L.; Yang, M.; Li, J.L.; Wang, A.D.; Chen, G.T. Chemistry and biological activity of resin glycosides from Convolvulaceae species. Med. Res. Rev. 2022, 42, 2025–2066. [Google Scholar] [CrossRef]
- Li, C.Y.; Yan, M.K.; Wang, L.X.; Shen, J.Q.; Xiong, J.; Wang, W.Q.; Xuan, L.J. UPLC-TOF-MS/MDF oriented isolation of calonyctins K-R: Resin glycosides from Ipomoea muricata with cytotoxic and multidrug resistance reversal activities. Phytochemistry 2025, 235, 114454. [Google Scholar] [CrossRef]
- Arantes, P.R.; Sachett, L.G.; Graebin, C.S.; Verli, H. Conformational characterization of ipomotaosides and their recognition by COX-1 and 2. Molecules 2014, 19, 5421–5433. [Google Scholar] [CrossRef]
- León-Rivera, I.; Castro, J.M.; Mirón-López, G.; del Río-Portilla, F.; Enríquez, R.G.; Reynolds, W.F.; Estrada-Soto, S.; Rendón-Vallejo, P.; del Carmen Gutiérrez, M.; Herrera-Ruiz, M.; et al. Resin glycosides from Ipomoea tyrianthina and their sedative and vasorelaxant effects. J. Nat. Med. 2014, 68, 655–667. [Google Scholar] [CrossRef]
- O’Keefe, S.; Roboti, P.; Duah, K.B.; Zong, G.H.; Schneider, H.; Shi, W.Q.; High, S. Ipomoeassin-F inhibits the in vitro biogenesis of the SARS-CoV-2 spike protein and its host cell membrane receptor. J. Cell Sci. 2021, 134, jcs257758. [Google Scholar] [CrossRef] [PubMed]
- León-Rivera, I.; Villeda-Hernández, J.; Campos-Peña, V.; Aguirre-Moreno, A.; Estrada-Soto, S.; Navarrete-Vázquez, G.; Rios, M.Y.; Aguilar-Guadarrama, B.; Castillo-España, P.; Rivera-Leyva, J.C. Evaluation of the neuroprotective activity of stansin 6, a resin glycoside from Ipomoea stans. Bioorg. Med. Chem. Lett. 2024, 24, 3541–3545. [Google Scholar] [CrossRef] [PubMed]
- Lira-Ricárdez, J.; Pereda-Miranda, R. Reversal of multidrug resistance by amphiphilic morning glory resin glycosides in bacterial pathogens and human cancer cells. Phytochem. Rev. 2020, 19, 1211–1229. [Google Scholar] [CrossRef]
- Pan, J.T.; Yu, B.W.; Yin, Y.Q.; Li, J.H.; Wang, L.; Guo, L.B.; Shen, Z.B. Four new pentasaccharide resin glycosides from Ipomoea cairica with strong α-glucosidase inhibitory activity. Molecules 2015, 20, 6601–6610. [Google Scholar] [CrossRef]
- Li, J.H.; Pan, J.T.; Yin, Y.Q. Two novel resin glycosides isolated from Ipomoea cairica with α-glucosidase inhibitory activity. Chin. J. Nat. Med. 2016, 14, 227–231. [Google Scholar] [CrossRef]
- Rosas-Ramirez, D.; Pereda-Miranda, R.; Escandon-Rivera, S.; Arreguin-Espinosa, R. Identification of α-Glucosidase inhibitors from Ipomoea alba by affinity-directed fractionation-mass spectrometry. Rev. Bras. Farmacogn. 2020, 30, 336–345. [Google Scholar] [CrossRef]
- Fan, B.Y.; Guo, S.P.; Lan, X.; Gu, J.P.; Li, Y.X.; Fan, R.; Yang, M.; Chen, G.T.; Wang, W.L.; Liao, X.L.; et al. Glycosidic acids with α-glucosidase inhibitory activity as the alkaline hydrolysis products of resin glycoside fractions from Convolvulus tricolor and Ipomoea biflora. Carbohydr. Res. 2025, 556, 109624. [Google Scholar] [CrossRef]
- Hong Bui, H.T.; Uprety, A.; Ngo, T.H.; Kil, Y.S.; Thapa, P.; Mo, J.; Choi, H.; Kim, S.Y.; Nam, J.W. Quantum mechanics-based structural analysis of phenolic glycosides from Cuscuta japonica seeds with protective effects against H2O2-induced oxidative stress in SH-SY5Y cells. Phytochemistry 2025, 234, 114420. [Google Scholar] [CrossRef]
- Cheng, J.C.; Liaw, C.C.; Lin, M.K.; Chen, C.J.; Chao, C.L.; Chao, C.H.; Kuo, Y.H.; Chiu, Y.P.; Peng, Y.S.; Huang, H.C. Anti-influenza virus activity andchemical components from the parasitic plant Cuscuta japonica Choisy on Dimocarpus longans Lour. Molecules 2020, 25, 4427. [Google Scholar] [CrossRef]
- Chang, Y.S.; Woo, E.R. Korean medicinal plants inhibiting to human immunodeficiency virus type 1 (HIV-1) fusion. Phytother. Res. 2003, 17, 426–429. [Google Scholar] [CrossRef]
- Moon, M.; Jeong, H.U.; Choi, J.G.; Jeon, S.G.; Song, E.J.; Hong, S.P.; Oh, M.S. Memory-enhancing effects of Cuscuta japonica Choisy via enhancement of adult hippocampal neurogenesis in mice. Behav. Brain Res. 2016, 311, 173–182. [Google Scholar] [CrossRef] [PubMed]
- Jang, J.Y.; Kim, H.N.; Kim, Y.R.; Choi, Y.H.; Kim, B.W.; Shin, H.K.; Choi, B.T. Aqueous fraction from Cuscuta japonica seed suppresses melanin synthesis through inhibition of the p38 mitogen-activated protein kinase signaling pathway in B16F10 cells. J. Ethnopharmacol. 2012, 141, 338–344. [Google Scholar] [CrossRef]
- Ahmad, A.; Tandon, S.; Xuan, T.D.; Nooreen, Z. A review on phytoconstituents and biological activities of Cuscuta species. Biomed. Pharmacother. 2017, 92, 772–795. [Google Scholar] [CrossRef]
- Li, Y.X.; He, X.J.; Chen, Y.; Gu, J.P.; Qi, T.Z.; Gu, H.; Zhu, X.Y.; Yang, M.; Gu, Y.C.; Ling, B.; et al. Controlins I-X, Resin glycosides from the seeds of Convolvulus tricolor and their biological activities. J. Nat. Prod. 2025, 88, 415–426. [Google Scholar] [CrossRef]
- Fan, B.Y.; Lan, X.; Guo, S.P.; Li, Y.X.; Fan, R.; Cheng, X.T.; Wang, A.D.; Ling, B.; Chen, G.T.; Wang, W.L.; et al. Further new resin glycosides from Convolvulus tricolor seeds and their neuroprotective activities. Fitoterapia 2025, 185, 106714. [Google Scholar] [CrossRef] [PubMed]
- Gu, J.P.; Qi, T.Z.; Zhu, D.R.; He, X.J.; Guo, S.P.; Lan, X.; Gu, H.; Luo, J.L.; Yang, M.; Gu, Y.C.; et al. Isolation of pentasaccharide resin glycosides from the whole plants of Ipomoea biflora and their cytotoxic activities. Phytochemistry 2025, 236, 114494. [Google Scholar] [CrossRef]
- Uemura, K.; Kimura, S.; Saito, Y.; Koyama, S.; Nishikawa, H.; Yasuda, S.; Miyashita, H.; Yoshimitsu, H.; Tsuchihashi, R.; Okawa, M.; et al. Identification and characterization of organic and glycosidic acids in the crude resin glycoside fraction from the leaves and stems of Calystegia japonica. J. Nat. Med. 2023, 77, 284–297. [Google Scholar] [CrossRef] [PubMed]
- Le, T.T.; Ha, M.T.; Lee, G.S.; Nguyen, V.P.; Kim, C.S.; Kim, J.A.; Min, B.S. Terpenoids and steroids from aerial parts of Achillea alpina L. as PTP1B inhibitors: Kinetic analysis and molecular docking studies. Phytochemistry 2025, 229, 114269. [Google Scholar] [CrossRef]
- Yang, J.; Yan, R.; Roy, A.; Xu, D.; Poisson, J.; Zhang, Y. The I-TASSER Suite: Protein structure and function prediction. Nat. Methods 2015, 12, 7–8. [Google Scholar] [CrossRef]
- Wilson, D.P.; Wan, Z.K.; Xu, W.X.; Kirincich, S.J.; Follows, B.C.; Joseph-McCarthy, D.; Foreman, K.; Moretto, A.; Wu, J.; Zhu, M.; et al. Structure-based optimization of protein tyrosine phosphatase 1B inhibitors: From the active site to the second phosphotyrosine binding site. J. Med. Chem. 2007, 50, 4681–4698. [Google Scholar] [CrossRef] [PubMed]
- Abraham, M.J.; Murtola, T.; Schulz, R.; Páll, S.; Smith, J.C.; Hess, B.; Lindah, E. GROMACS: High performance molecular simulations through multi-level parallelism from laptops to supercomputers. SoftwareX 2015, 1–2, 19–25. [Google Scholar] [CrossRef]
- Zhang, Y.; Liu, J.; Chen, M.; Fan, Y.; Li, M.; Wang, A.; Liu, G.; Xu, Y.; Ren, X.; Xiao, Y. Isolation of a new monoterpenoid glycoside from Anhua dark tea based on an NMR-guided method and its cytotoxic activity against MDA-MB-231 and SH-SY5Y cell lines. Nat. Prod. Res. 2022, 36, 2015–2020. [Google Scholar] [CrossRef] [PubMed]
- Fu, Y.; Li, J.; Zhao, W. Two new limonoid glycosides from the seeds of Citrus limon and their PDE4D inhibitory activities. Nat. Prod. Res. 2024. In press. [Google Scholar] [CrossRef]
- Seo, S.; Tomita, Y.; Tori, K.; Yoshimura, Y. Determination of the absolute configuration of a secondary hydroxy group in a chiral secondary alcohol using glycosidation shifts in carbon-13 nuclear magnetic resonance spectroscopy. J. Am. Chem. Soc. 1978, 100, 3331–3339. [Google Scholar] [CrossRef]
- Ono, M.; Kawasaki, T.; Miyahara, K. Resin glycosides. V.: Identification and characterization of the component organic and glycosidic acids of the ether-soluble crude resin glycosides (“Jalapin”) from Rhizoma Jalapae Braziliensis (roots of Ipomoea operculata). Chem. Pharmaceut. Bull. 1989, 37, 3209–3213. [Google Scholar] [CrossRef]
- Li, X.Y.; Wang, T.; Wu, S.L.; Huang, X.Y.; Ma, Y.B.; Geng, C.A. New C-linked diarylheptanoid dimers as potential α-glucosidase inhibitors evidenced by biological, spectral and theoretical approaches. Int. J. Biol. Macromol. 2025, 295, 139496. [Google Scholar] [CrossRef]
- Jia, Y.X.; Wang, N.; Hui, S.W.; Chang, J.; Zhu, Q.M.; Zhang, H.L.; Zhang, J.; Yan, J.K.; Sun, C.P. Discovery of soluble epoxide hydrolase inhibitors from Inula britannica: Inhibition kinetics, molecular dynamics simulation, biochemical, and in vitro cell-based studies. Int. J. Biol. Macromol. 2025, 306, 141704. [Google Scholar] [CrossRef]
- Lu, P.; Shi, Y.; Zhang, J.; Hong, K.; Xue, Y.; Liu, L. New prenylated indole-benzodiazepine-2,5-diones with α-glucosidase inhibitory activities from the mangrove-derived Aspergillus spinosus. Int. J. Biol. Macromol. 2024, 257, 128808. [Google Scholar] [CrossRef]
- Gao, C.; Hu, W.; Xu, F.; Lin, Y.; Chen, J.; Shi, D.; Xing, P.; Zhu, J.; Li, X. Allosteric inhibition of PTP1B by bromocatechol-chalcone derivatives. Eur. J. Med. Chem. 2025, 282, 117053. [Google Scholar] [CrossRef]








| Position b | 1 | 2 | 3 | 4 | ||||
|---|---|---|---|---|---|---|---|---|
| δH | δC | δH | δC | δH | δC | δH | δC | |
| Glc-1 | 4.97 (7.2) | 101.5 | 4.98 d (7.2) | 101.6 | 5.01 d (7.2) | 101.3 | 5.26 d (7.8) | 106.0 |
| 2 | 4.26 | 77.3 | 4.26 | 77.4 | 4.26 | 77.6 | 4.00 br t (8.4) | 75.6 |
| 3 | 4.27 | 80.2 | 4.28 | 80.2 | 4.29 t (9.6) | 80.1 | 4.21 dd (9.0, 9.0) | 78.9 |
| 4 | 4.18 dd (9.0, 9.0) | 72.5 | 4.17 dd (9.0, 9.0) | 72.5 | 4.19 | 72.5 | 4.14 | 72.1 |
| 5 | 3.90 | 78.7 | 3.90 m | 78.6 | 3.92 m | 78.7 | 3.97 | 79.0 |
| 6 | 4.37 | 63.2 | 4.37 | 63.3 | 4.37 | 63.3 | 4.31 | 63.4 |
| 4.53 | 4.52 dd (2.4, 12.0) | 4.52 | 4.56 | |||||
| Fuc-1 | 4.80 d (7.8) | 101.6 | ||||||
| 2 | 4.52 | 75.6 | ||||||
| 3 | 4.16 | 77.1 | ||||||
| 4 | 4.95 d (3.0) | 74.0 | ||||||
| 5 | 3.81 m | 71.7 | ||||||
| 6 | 1.53 d (6.6) | 17.7 | ||||||
| Rha-1 | 6.41 br s | 101.8 | 6.40 br s | 101.9 | 6.38 br s | 102.0 | 6.26 br s | 102.0 |
| 2 | 4.66 br s | 73.2 | 4.68 br s | 73.2 | 4.69 br s | 73.1 | 4.69 br s | 73.2 |
| 3 | 4.63 | 73.8 | 4.64 dd (3.0, 9.0) | 73.8 | 4.63 | 73.1 | 4.63 dd (3.6, 9.0) | 73.2 |
| 4 | 4.38 | 81.3 | 4.39 | 81.3 | 4.29 t (9.0) | 82.7 | 4.25 | 82.7 |
| 5 | 4.92 m | 67.7 | 4.91 m | 67.8 | 4.93 | 68.2 | 4.68 | 68.0 |
| 6 | 1.67 d (6.6) | 19.6 | 1.68 d (6.6) | 19.6 | 1.72 d (6.6) | 19.3 | 1.61 d (6.6) | 19.2 |
| Rha’-1 | 6.25 br s | 103.5 | 6.25 br s | 103.5 | 5.92 d (1.8) | 104.0 | 5.91 br s | 103.9 |
| 2 | 4.79 br s | 73.6 | 4.80 br s | 73.6 | 5.21 br s | 72.5 | 5.20 br s | 72.5 |
| 3 | 4.58 dd (3.0, 9.0) | 73.7 | 4.59 dd (3.0, 9.0) | 73.8 | 4.76 dd (3.0, 9.0) | 83.2 | 4.75 dd (3.0, 9.0) | 83.2 |
| 4 | 4.46 t (9.0) | 80.2 | 4.47 | 80.2 | 4.53 t (9.0) | 79.0 | 4.52 | 79.1 |
| 5 | 4.41 | 68.8 | 4.41 | 68.8 | 4.44 m | 69.0 | 4.41 m | 69.0 |
| 6 | 1.62 d (6.0) | 19.3 | 1.62 d (6.0) | 19.3 | 1.62 d (6.0) | 19.4 | 1.61 d (6.6) | 19.4 |
| Rha”-1 | 6.30 br s | 103.7 | 6.30 br s | 103.7 | 6.25 br s | 103.6 | 6.24 br s | 103.6 |
| 2 | 5.07 br s | 72.3 | 5.07 br s | 72.2 | 4.90 br s | 73.1 | 4.91 br s | 73.2 |
| 3 | 4.61 dd (3.0, 9.0) | 84.8 | 4.61 dd (3.0, 9.6) | 84.8 | 4.45 | 73.2 | 4.45 dd (3.6, 9.0) | 73.2 |
| 4 | 4.50 | 73.4 | 4.49 | 73.4 | 4.26 | 74.4 | 4.25 | 74.4 |
| 5 | 4.42 | 70.5 | 4.42 | 70.5 | 4.33 m | 70.9 | 4.33 | 70.9 |
| 6 | 1.57 d (6.6) | 18.8 | 1.57 d (6.0) | 18.8 | 1.60 d (6.0) | 18.9 | 1.59 d (7.2) | 18.9 |
| Glc’-1 | 5.38 d (7.8) | 107.3 | 5.38 d (7.8) | 107.2 | 5.26 d (7.8) | 106.0 | ||
| 2 | 4.08 br t (8.4) | 76.5 | 4.08 br t (8.4) | 76.5 | 3.99 | 75.6 | ||
| 3 | 4.24 t (9.0) | 78.8 | 4.24 t (9.0) | 78.8 | 4.20 | 78.9 | ||
| 4 | 4.36 | 71.5 | 4.36 t (9.0) | 71.5 | 4.14 | 72.1 | ||
| 5 | 3.83 m | 78.8 | 3.84 m | 78.8 | 3.97 m | 79.1 | ||
| 6 | 4.41 | 62.6 | 4.41 | 62.6 | 4.30 | 63.4 | ||
| 4.43 | 4.43 | 4.56 | ||||||
| Ag-1 | 174.5 | 174.5 | 174.5 | 174.5 | ||||
| 2 | 2.32 t (7.2) | 34.6 | 2.32 t (7.2) | 34.6 | 2.33 t (7.2) | 34.6 | 2.34 t (7.2) | 34.6 |
| 11 | 4.02 m | 78.5 | 4.02 m | 78.6 | 4.07 m | 78.3 | 4.00 | 78.3 |
| 12 | 1.74 | 35.7 | 1.76 | 36.0 | 1.77 | 35.6 | 1.77 | 35.8 |
| 1.69 | 1.70 | |||||||
| 13 | 1.62 | 28.0 | 1.57 | 25.7 | 1.64 | 28.1 | 1.63 | 28.2 |
| 1.54 | 1.64 | 1.53 | 1.55 | |||||
| 14 | 1.42 | 23.9 | 1.37 | 33.0 | 1.37 | 23.8 | 1.40 | 23.7 |
| 15 | 1.04 t (7.2) | 15.0 | 1.42 | 23.6 | 0.95 t (7.2) | 14.9 | 0.96 t (7.2) | 14.9 |
| 16 | 0.99 t (7.2) | 15.0 | ||||||
| -OCH3 | 3.64 s | 51.7 | 3.64 s | 51.7 | 3.62 s | 51.7 | 3.62 s | 51.7 |
| Position b | 5 | 6 | 7 | |||
|---|---|---|---|---|---|---|
| δH | δC | δH | δC | δH | δC | |
| Fuc-1 | 4.82 d (7.2) | 103.2 | 4.81 d (7.2) | 103.2 | 4.82 d (7.2) | 103.1 |
| 2 | 4.64 dd (7.2, 9.0) | 78.1 | 4.62 dd (7.2, 9.0) | 78.2 | 4.60 br t (8.4) | 78.1 |
| 3 | 4.48 dd (3.0, 9.0) | 77.0 | 4.53 dd (3.0, 9.0) | 76.9 | 4.44 dd (3.0, 9.6) | 76.8 |
| 4 | 4.22 br s | 73.6 | 4.11 | 73.7 | 3.84 d (3.0) | 73.4 |
| 5 | 4.06 | 71.8 | 4.06 | 71.5 | 3.77 br q (6.0) | 71.4 |
| 6 | 1.67 d (6.0) | 17.9 | 1.61 d (6.6) | 17.9 | 1.50 d (6.0) | 17.8 |
| Glc-1 | 5.72 d (7.8) | 102.3 | 5.75 d (7.8) | 102.3 | 5.75 d (7.8) | 102.4 |
| 2 | 4.24 | 77.5 | 4.25 br t (8.4) | 77.2 | 4.28 br t (8.4) | 77.7 |
| 3 | 4.07 | 90.3 | 4.07 | 90.4 | 4.08 | 90.1 |
| 4 | 4.03 | 70.5 | 4.03 | 70.5 | 4.06 | 70.5 |
| 5 | 3.57 m | 77.5 | 3.58 m | 77.5 | 3.59 m | 77.5 |
| 6 | 4.20 | 63.1 | 4.20 dd (1.8, 11.4) | 63.1 | 4.20 br d (12.0) | 63.1 |
| 4.12 | 4.12 | 4.12 m | ||||
| Rha-1 | 6.47 br s | 102.1 | 6.51 br s | 102.0 | 6.44 br s | 102.4 |
| 2 | 4.85 br s | 72.8 | 4.88 br s | 72.6 | 4.89 br s | 72.9 |
| 3 | 4.84 | 70.7 | 4.92 dd (3.0, 9.6) | 70.9 | 4.77 dd (3.0, 9.6) | 73.2 |
| 4 | 5.89 t (9.6) | 77.0 | 5.94 t (9.6) | 76.7 | 4.36 t (9.6) | 74.8 |
| 5 | 5.24 m | 67.3 | 5.29 m | 67.5 | 5.08 m | 70.1 |
| 6 | 1.68 d (6.6) | 19.0 | 1.74 d (6.6) | 19.0 | 1.88 d (6.0) | 19.6 |
| Glc’-1 | 4.98 | 105.3 | 4.98 | 105.3 | 5.02 d (7.8) | 105.0 |
| 2 | 4.03 | 75.2 | 4.03 | 75.2 | 4.03 | 75.4 |
| 3 | 4.16 t (9.0) | 79.2 | 4.16 t (9.0) | 79.2 | 4.17 | 79.1 |
| 4 | 4.12 | 71.9 | 4.12 | 71.9 | 4.12 | 71.9 |
| 5 | 4.04 | 79.1 | 4.02 m | 79.1 | 4.02 | 79.1 |
| 6 | 4.57 dd (1.8, 11.4) | 62.8 | 4.57 br d (10.8) | 62.8 | 4.56 br d (11.4) | 62.9 |
| 4.27 | 4.27 | 4.26 | ||||
| Ag-1 | 174.5 | 174.5 | 174.5 | |||
| 2 | 2.33 t (7.8) | 34.6 | 2.33 t (7.2) | 34.6 | 2.33 t (7.8) | 34.6 |
| 11 | 3.93 m | 81.2 | 3.88 m | 81.2 | 3.92 m | 81.1 |
| 12 | 1.83 | 35.5 | 1.80 | 35.5 | 1.82 | 35.5 |
| 1.68 | 1.66 | 1.66 | ||||
| 13 | 1.52 | 28.2 | 1.50 | 28.2 | 1.52 | 28.2 |
| 14 | 1.30 | 23.6 | 1.31 | 23.6 | 1.31 | 23.6 |
| 15 | 0.89 t (7.2) | 14.8 | 0.88 t (7.2) | 14.8 | 0.88 t (7.2) | 14.8 |
| -OCH3 | 3.63 s | 51.7 | 3.63 s | 51.7 | 3.63 s | 51.7 |
| Nla-1 | 174.1 | 175.8 | ||||
| 2 | 3.01 dq (7.2, 7.2) | 45.7 | 2.80 dq (6.6, 6.6) | 49.9 | ||
| 3 | 5.59 m | 71.8 | 4.32 dq (6.6, 6.6) | 70.1 | ||
| 4 | 1.36 d (6.6) | 17.2 | 1.34 d (6.6) | 21.6 | ||
| 5 | 1.28 d (7.2) | 13.1 | 1.28 d (6.6) | 14.3 | ||
| Nla’-1 | 175.3 | |||||
| 2 | 2.81 dq (7.2, 7.2) | 48.9 | ||||
| 3 | 4.33 m | 69.6 | ||||
| 4 | 1.36 d (6.6) | 21.5 | ||||
| 5 | 1.28 d (7.2) | 13.8 | ||||
| Compound | α-Glucosidase | PTP1B | ||
|---|---|---|---|---|
| Inhibition a (%) | IC50 b (μM) | Inhibition a (%) | IC50 b (μM) | |
| 1 | 68.72 ± 4.11 | 38.21 ± 3.36 | 5.41 ± 0.67 | >100 |
| 2 | 83.00 ± 0.84 | 8.02 ± 2.90 | 3.26 ± 0.16 | >100 |
| 3 | 67.13 ± 1.18 | 64.92 ± 2.97 | 89.23 ± 2.55 | 14.19 ± 1.29 |
| 4 | 66.55 ± 3.65 | 55.53 ± 6.89 | 15.02 ± 2.45 | >100 |
| 5 | 51.78 ± 1.77 | >100 | 52.74 ± 4.60 | 62.31 ± 8.61 |
| 6 | 60.51 ± 5.42 | 71.39 ± 3.23 | 29.85 ± 4.50 | >100 |
| 7 | 49.41 ± 1.71 | >100 | 15.93 ± 2.92 | >100 |
| 8 | 64.60 ± 3.12 | 65.08 ± 9.41 | 7.78 ± 1.98 | >100 |
| Genistein | 50.14 ± 1.17 | 99.87 ± 2.43 | - | - |
| Ursolic acid | - | - | 90.43 ± 5.23 | 16.41 ± 1.99 |
Disclaimer/Publisher’s Note: The statements, opinions and data contained in all publications are solely those of the individual author(s) and contributor(s) and not of MDPI and/or the editor(s). MDPI and/or the editor(s) disclaim responsibility for any injury to people or property resulting from any ideas, methods, instructions or products referred to in the content. |
© 2025 by the authors. Licensee MDPI, Basel, Switzerland. This article is an open access article distributed under the terms and conditions of the Creative Commons Attribution (CC BY) license (https://creativecommons.org/licenses/by/4.0/).
Share and Cite
Guo, S.-P.; He, Y.; Lan, X.; Qi, T.-Z.; Gu, J.-P.; Guo, J.; Wang, X.-Y.; Yang, M.; Wang, W.-L.; Chen, G.-T.; et al. Resin Glycosides with α-Glucosidase and Protein Tyrosine Phosphatase 1B Inhibitory Activities from the Seeds of Cuscuta japonica. Biomolecules 2025, 15, 1465. https://doi.org/10.3390/biom15101465
Guo S-P, He Y, Lan X, Qi T-Z, Gu J-P, Guo J, Wang X-Y, Yang M, Wang W-L, Chen G-T, et al. Resin Glycosides with α-Glucosidase and Protein Tyrosine Phosphatase 1B Inhibitory Activities from the Seeds of Cuscuta japonica. Biomolecules. 2025; 15(10):1465. https://doi.org/10.3390/biom15101465
Chicago/Turabian StyleGuo, Su-Peng, Ye He, Xin Lan, Tian-Zi Qi, Jin-Ping Gu, Jia Guo, Xin-Yu Wang, Min Yang, Wen-Li Wang, Guang-Tong Chen, and et al. 2025. "Resin Glycosides with α-Glucosidase and Protein Tyrosine Phosphatase 1B Inhibitory Activities from the Seeds of Cuscuta japonica" Biomolecules 15, no. 10: 1465. https://doi.org/10.3390/biom15101465
APA StyleGuo, S.-P., He, Y., Lan, X., Qi, T.-Z., Gu, J.-P., Guo, J., Wang, X.-Y., Yang, M., Wang, W.-L., Chen, G.-T., & Fan, B.-Y. (2025). Resin Glycosides with α-Glucosidase and Protein Tyrosine Phosphatase 1B Inhibitory Activities from the Seeds of Cuscuta japonica. Biomolecules, 15(10), 1465. https://doi.org/10.3390/biom15101465

