Sign in to use this feature.

Years

Between: -

Subjects

remove_circle_outline
remove_circle_outline
remove_circle_outline
remove_circle_outline
remove_circle_outline
remove_circle_outline
remove_circle_outline
remove_circle_outline
remove_circle_outline

Journals

remove_circle_outline
remove_circle_outline
remove_circle_outline
remove_circle_outline
remove_circle_outline
remove_circle_outline
remove_circle_outline
remove_circle_outline
remove_circle_outline

Article Types

Countries / Regions

remove_circle_outline
remove_circle_outline
remove_circle_outline
remove_circle_outline

Search Results (800)

Search Parameters:
Keywords = functional-structural plant models

Order results
Result details
Results per page
Select all
Export citation of selected articles as:
19 pages, 1977 KB  
Article
Research on the Evaluation Model for Natural Gas Pipeline Capacity Allocation Under Fair and Open Access Mode
by Xinze Li, Dezhong Wang, Yixun Shi, Jiaojiao Jia and Zixu Wang
Energies 2025, 18(20), 5544; https://doi.org/10.3390/en18205544 - 21 Oct 2025
Abstract
Compared with other fossil energy sources, natural gas is characterized by compressibility, low energy density, high storage costs, and imbalanced usage. Natural gas pipeline supply systems possess unique attributes such as closed transportation and a highly integrated upstream, midstream, and downstream structure. Moreover, [...] Read more.
Compared with other fossil energy sources, natural gas is characterized by compressibility, low energy density, high storage costs, and imbalanced usage. Natural gas pipeline supply systems possess unique attributes such as closed transportation and a highly integrated upstream, midstream, and downstream structure. Moreover, pipelines are almost the only economical means of onshore natural gas transportation. Given that the upstream of the pipeline features multi-entity and multi-channel supply including natural gas, coal-to-gas, and LNG vaporized gas, while the downstream presents a competitive landscape with multi-market and multi-user segments (e.g., urban residents, factories, power plants, and vehicles), there is an urgent social demand for non-discriminatory and fair opening of natural gas pipeline network infrastructure to third-party entities. However, after the fair opening of natural gas pipeline networks, the original “point-to-point” transaction model will be replaced by market-driven behaviors, making the verification and allocation of gas transmission capacity a key operational issue. Currently, neither pipeline operators nor government regulatory authorities have issued corresponding rules, regulations, or evaluation plans. To address this, this paper proposes a multi-dimensional quantitative evaluation model based on the Analytic Hierarchy Process (AHP), integrating both commercial and technical indicators. The model comprehensively considers six indicators: pipeline transportation fees, pipeline gas line pack, maximum gas storage capacity, pipeline pressure drop, energy consumption, and user satisfaction and constructs a quantitative evaluation system. Through the consistency check of the judgment matrix (CR = 0.06213 < 0.1), the weights of the respective indicators are determined as follows: 0.2584, 0.2054, 0.1419, 0.1166, 0.1419, and 0.1357. The specific score of each indicator is determined based on the deviation between each evaluation indicator and the theoretical optimal value under different gas volume allocation schemes. Combined with the weight proportion, the total score of each gas volume allocation scheme is finally calculated, thereby obtaining the recommended gas volume allocation scheme. The evaluation model was applied to a practical pipeline project. The evaluation results show that the AHP-based evaluation model can effectively quantify the advantages and disadvantages of different gas volume allocation schemes. Notably, the gas volume allocation scheme under normal operating conditions is not the optimal one; instead, it ranks last according to the scores, with a score 0.7 points lower than that of the optimal scheme. In addition, to facilitate rapid decision-making for gas volume allocation schemes, this paper designs a program using HTML and develops a gas volume allocation evaluation program with JavaScript based on the established model. This self-developed program has the function of automatically generating scheme scores once the proposed gas volume allocation for each station is input, providing a decision support tool for pipeline operators, shippers, and regulatory authorities. The evaluation model provides a theoretical and methodological basis for the dynamic optimization of natural gas pipeline gas volume allocation schemes under the fair opening model. It is expected to, on the one hand, provide a reference for transactions between pipeline network companies and shippers, and on the other hand, offer insights for regulatory authorities to further formulate detailed and fair gas transmission capacity transaction methods. Full article
(This article belongs to the Special Issue New Advances in Oil, Gas and Geothermal Reservoirs—3rd Edition)
Show Figures

Figure 1

19 pages, 3221 KB  
Article
Experimental Study on the Out-of-Plane Seismic Performance of Shear Walls with Bolted Connections in Nuclear Power Plants
by Jiafei Jiang, Lei He, Han Yang and Weichen Xue
Buildings 2025, 15(20), 3787; https://doi.org/10.3390/buildings15203787 - 20 Oct 2025
Viewed by 74
Abstract
Nuclear power plant (NPP) shear walls are typically ultra-thick and heavily reinforced, posing significant challenges for conventional cast-in-place (CIP) construction. To overcome these issues, this study proposes a precast concrete shear wall (PCSW) system with bolted connections. Owing to orthogonal wall layouts dictated [...] Read more.
Nuclear power plant (NPP) shear walls are typically ultra-thick and heavily reinforced, posing significant challenges for conventional cast-in-place (CIP) construction. To overcome these issues, this study proposes a precast concrete shear wall (PCSW) system with bolted connections. Owing to orthogonal wall layouts dictated by functional requirements, these structures are subjected to significant out-of-plane seismic demands, making their performance under such loading a critical design concern. Therefore, this paper investigates the out-of-plane seismic performance of scaled (1:2) models of PCSWs (300 mm thick) under an axial pressure ratio of 0.2 and without axial pressure through low-cycle repeated load tests, and compares them with corresponding CIP shear walls. All specimens exhibited flexural failure, while damage in PCSWs was relatively minor and concentrated within the grouting layer. Compared with CIP specimens, the precast specimens showed more pinching and smaller residual deformation, with cumulative energy dissipation reaching 70–80% of CIP specimens. The flexural load-bearing capacity of the precast specimens was close to that of the CIP specimens, with differences within 5%. The ductility of the precast specimens under axial pressure ratios of 0 and 0.2 was 4.54 and 2.68, respectively, differing from the CIP specimens by 16% and −10%. The stiffness degradation trends of both systems were essentially consistent. Overall, the results demonstrate that the out-of-plane seismic performance of PCSWs with bolted connections is broadly equivalent to that of CIP counterparts, confirming their feasibility for application in NPPs. Full article
(This article belongs to the Section Building Structures)
Show Figures

Figure 1

20 pages, 9478 KB  
Article
Rational Engineering of Patchoulene Synthase from Pogostemon cablin for Enhanced Patchoulene Production
by Wei Ma, Xiukun Wan, Ge Yao, Fuli Wang and Hui Jiang
Int. J. Mol. Sci. 2025, 26(20), 10187; https://doi.org/10.3390/ijms262010187 - 20 Oct 2025
Viewed by 58
Abstract
Patchoulene, the characteristic sesquiterpene of patchouli essential oil, is highly valued in the perfume industry for its distinctive woody note and fixative properties. Beyond its olfactory applications, patchoulene has demonstrated promising biological activities, including anti-inflammatory, antimicrobial, and neuroprotective effects. Current production relies mainly [...] Read more.
Patchoulene, the characteristic sesquiterpene of patchouli essential oil, is highly valued in the perfume industry for its distinctive woody note and fixative properties. Beyond its olfactory applications, patchoulene has demonstrated promising biological activities, including anti-inflammatory, antimicrobial, and neuroprotective effects. Current production relies mainly on extraction from Pogostemon cablin plants, which requires long growth cycles (≥8 months), exhibits low yields, and imposes significant environmental constraints. To overcome these limitations, this study aimed to enhance the Whole-cell yield of patchoulene synthase (PcPTS) through structure-informed protein engineering. A semi-rational design approach was employed, combining homology modeling, molecular docking, evolutionary analysis, and molecular dynamics simulations to identify functional residues within the enzyme active site. Ala-scanning mutagenesis highlighted Thr532 as essential for catalytic activity, and coevolutionary analysis indicated synergistic effects between Phe456 and Thr532. Site-directed mutagenesis was conducted to generate single (F456M, T532Y) and double (F456M/T532Y, designated M2) mutants. The double mutant M2 showed a 3.62-fold increase in patchoulene production compared to the wild-type enzyme. In silico analyses suggested that the enhanced performance of M2 originates from improved substrate positioning, reduced structural flexibility, and strengthened molecular interactions, collectively contributing to a lower energy barrier for catalysis. This study provides an effective strategy for the rapid optimization of terpenoid synthases and facilitates the development of microbial cell factories for sustainable and high-yield production of plant-derived terpenoids. Full article
(This article belongs to the Section Molecular Biology)
Show Figures

Figure 1

23 pages, 10343 KB  
Article
Investigating the Impact of Urban Parks on Bird Habitats and Diversity Through Remote Sensing: A Case Study of Chengdu City (China)
by Chenyang Liao, Yumeng Jiang, Mingle Yang, Kexin Feng and Jiazhen Zhang
Land 2025, 14(10), 2086; https://doi.org/10.3390/land14102086 - 19 Oct 2025
Viewed by 195
Abstract
Accelerated urbanization has induced marked biodiversity loss in metropolitan regions, with urban parks emerging as critical habitat patches for avian species within intensively developed built environments. As a global pioneer in park city conceptualization, Chengdu (China) has achieved notable advancements in urban green [...] Read more.
Accelerated urbanization has induced marked biodiversity loss in metropolitan regions, with urban parks emerging as critical habitat patches for avian species within intensively developed built environments. As a global pioneer in park city conceptualization, Chengdu (China) has achieved notable advancements in urban green space extent and quality through systematic planning efforts. This investigation examines the avian–habitat relationships in Chengdu’s central urban area (2010–2020) using multispectral remote sensing data, employing the ENVI5.6 (Environment for Visualizing Images) software for spatial analysis, and applying the InVEST3.2.0 (Integrated Valuation of Ecosystem Services and Tradeoffs) model to identify high-quality habitats, evaluate landscape connectivity, and analyze community composition dynamics. Through a correlation analysis of seven environmental characteristic factors with avian biodiversity in 24 urban parks, the impact mechanism of avian habitat functions was explored. On this basis, measures such as optimizing the plant community structure of riverside greenways and road green spaces, expanding small-scale green spaces near parks, and so on are proposed to promote the enhancement of urban park habitat functions and the protection of avian biodiversity. Full article
Show Figures

Figure 1

20 pages, 3412 KB  
Article
Influence of Eucalyptus Plantation on Soil Microbial Characteristics in Severely Degraded Land of Leizhou Peninsula
by Jundi Zhong, Hanyuan Xu, Zina Chen, Kaiyan Yang, Shenghong Xiao and Xunzhi Ouyang
Forests 2025, 16(10), 1602; https://doi.org/10.3390/f16101602 - 18 Oct 2025
Viewed by 151
Abstract
Soil microorganisms are important decomposers in soil, and they play important roles in litter degradation, nutrient cycle and balance, soil physicochemical property improvement, and soil fertility maintenance. To understand the influence of Eucalyptus plantations on the growth, reproduction, and activity of soil microorganisms [...] Read more.
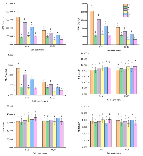
Soil microorganisms are important decomposers in soil, and they play important roles in litter degradation, nutrient cycle and balance, soil physicochemical property improvement, and soil fertility maintenance. To understand the influence of Eucalyptus plantations on the growth, reproduction, and activity of soil microorganisms in severely degraded land, the Leizhou Peninsula in tropical China was selected as the research area. The vegetation restoration types of Eucalyptus urophylla × grandis planted in its severely degraded red soil areas (ES: Eucalyptus–shrub, EG: Eucalyptus–grass, and ED: EucalyptusDicranopteris pedata (Houtt.) Nakaike) were studied, and the nearby natural vegetation types (S: shrub, G: grass, and D: Dicranopteris pedata) served as control groups. The microbial characteristics of different vegetation restoration types were compared, and the influence of Eucalyptus plantations on the growth, reproduction, and activity of soil microorganisms in severely degraded red soil areas was discussed by setting up sample plots for investigation, sample determination, and statistical analysis. The structure of soil microorganisms differed significantly between Eucalyptus vegetation restoration (ER) and natural vegetation restoration without Eucalyptus (NER). Key organic decomposers, including bacterial genera such as Candidatus Solibacter (ER: 1.2 ± 0.4% vs. NER: 0.9 ± 0.1%), Candidatus Koribacter (ER: 1.0 ± 0.4% vs. NER: 0.7 ± 0.1%), and Edaphobacter (ER: 0.9 ± 0.1% vs. NER: 0.4 ± 0.1%), as well as fungal genera such as Rhizophagus (ER: 0.1 ± 0.0% vs. NER: 0.0 ± 0.0%), Paxillus (ER: 0.1 ± 0.0% vs. NER: 0.0 ± 0.0%), and Pisolithus (ER: 0.1 ± 0.0% vs. NER: 0.0 ± 0.0%), exhibited a significantly higher relative richness and a broader distribution in ER compared to NER (p < 0.05). Soil microbial biomass carbon, nitrogen and phosphorus (MBC, MBN, MBP), community structure (keystone taxa and symbiosis network complexity), and functional genes (for growth, reproduction, and decomposition) in ER, especially in ES, were significantly higher than in NER. This study illustrated that Eucalyptus plantations, especially ES types, can promote the growth and reproduction of soil organic decomposers, improve microbial metabolic and biological activities, and increase functional diversity and interactions among microorganisms, thus accelerating the cycle of soil carbon, nitrogen, and phosphorus nutrients, improving soil quality and fertility, and accelerating the recovery of degraded soil fertility. In areas with serious soil degradation and where natural vegetation restoration is difficult, planting Eucalyptus, especially while guiding the understory vegetation to develop into the shrub vegetation type, is an effective vegetation restoration model. Full article
(This article belongs to the Section Forest Soil)
Show Figures

Figure 1

24 pages, 729 KB  
Review
Targeting Polycystic Ovary Syndrome (PCOS) Pathophysiology with Flavonoids: From Adipokine–Cytokine Crosstalk to Insulin Resistance and Reproductive Dysfunctions
by Sulagna Dutta, Pallav Sengupta, Sowmya Rao, Ghada Elsayed Elgarawany, Antony Vincent Samrot, Israel Maldonado Rosas and Shubhadeep Roychoudhury
Pharmaceuticals 2025, 18(10), 1575; https://doi.org/10.3390/ph18101575 - 18 Oct 2025
Viewed by 350
Abstract
Polycystic ovary syndrome (PCOS) represents one of the most prevalent endocrine–metabolic disorder in women of reproductive age, which includes but not restricted to reproductive disruptions, insulin resistance (IR), hyperandrogenism, and chronic low-grade inflammation. Its heterogeneous pathophysiology arises from the interplay of metabolic, endocrine, [...] Read more.
Polycystic ovary syndrome (PCOS) represents one of the most prevalent endocrine–metabolic disorder in women of reproductive age, which includes but not restricted to reproductive disruptions, insulin resistance (IR), hyperandrogenism, and chronic low-grade inflammation. Its heterogeneous pathophysiology arises from the interplay of metabolic, endocrine, and immune factors, including dysregulated adipokine secretion, cytokine-mediated inflammation, oxidative stress (OS), and mitochondrial dysfunction. Current pharmacological therapies, such as metformin, clomiphene, and oral contraceptives, often provide partial benefits and are limited by side effects, necessitating the exploration of safer, multi-target strategies. Flavonoids, a structurally diverse class of plant-derived polyphenols, have gained attention as promising therapeutic candidates in PCOS due to their antioxidant, anti-inflammatory, insulin-sensitizing, and hormone-modulating properties. Preclinical studies in rodent PCOS models consistently demonstrate improvements in insulin sensitivity, normalization of ovarian morphology, restoration of ovulation, and reduction in hyperandrogenism. Human clinical studies, though limited in scale and heterogeneity, report favorable effects of flavonoids such as quercetin, isoflavones, and catechins on glucose metabolism, adipokine balance, inflammatory markers, and reproductive functions. This evidence-based study critically synthesizes mechanistic insights into how flavonoids modulate insulin signaling, adipokine–cytokine crosstalk, OS, and androgen excess, while highlighting translational evidence and emerging delivery systems aimed at overcoming bioavailability barriers. Collectively, flavonoids represent a promising class of nutraceuticals and adjuncts to conventional therapies, offering an integrative strategy for the management of PCOS. Full article
(This article belongs to the Special Issue Flavonoids in Medicinal Chemistry: Trends and Future Directions)
Show Figures

Figure 1

17 pages, 13766 KB  
Article
Reduction in Reflection Signal Losses in Complex Terahertz Optical Elements Through Tailored Oil Application
by Mateusz Kaluza, Adrianna Nieradka, Mateusz Surma, Wojciech Krauze and Agnieszka Siemion
Appl. Sci. 2025, 15(20), 11167; https://doi.org/10.3390/app152011167 - 17 Oct 2025
Viewed by 171
Abstract
In complex terahertz (THz) systems, multiple optical elements are often combined to achieve advanced functionalities. However, unwanted Fresnel reflections at their interfaces and between components lead to parasitic interference effects and signal losses. This study presents oil-based refractive-index-matching fillers integrated with additively manufactured [...] Read more.
In complex terahertz (THz) systems, multiple optical elements are often combined to achieve advanced functionalities. However, unwanted Fresnel reflections at their interfaces and between components lead to parasitic interference effects and signal losses. This study presents oil-based refractive-index-matching fillers integrated with additively manufactured assemblies to suppress Fresnel reflections and enhance overall optical system performance. The optical properties of 20 plant-based, synthetic, and mineral oils were investigated using terahertz time-domain spectroscopy (THz TDS). Furthermore, a multilayer structure was designed and experimentally verified, fabricated via fused deposition modeling (FDM) using highly transparent cyclic olefin copolymer (COC). The results demonstrate that the use of tailored oils reduces Fresnel reflection signal losses and also mitigates parasitic interference within the system, thereby improving the effective efficiency of the optical system. Additionally, THz TDS measurements on multilayer structures revealed that, in imaging configurations, the application of refractive-index-matched oils increases the signal gain by 2.33 times. These findings highlight the potential of oil-based index-matching fillers for imaging multilayered objects and mitigating delamination effects in optical elements. Full article
Show Figures

Figure 1

30 pages, 2981 KB  
Review
Polyphenols as Modulators of Gastrointestinal Motility: Mechanistic Insights from Multi-Model Studies
by Andrzej Chomentowski, Krzysztof Drygalski, Tomasz Kleszczewski, Marta Berczyńska, Marzena Tylicka, Jacek Kapała, Agnieszka Raciborska, Przemysław Zubrzycki, Hady Razak Hady and Beata Modzelewska
Pharmaceuticals 2025, 18(10), 1564; https://doi.org/10.3390/ph18101564 - 16 Oct 2025
Viewed by 411
Abstract
Dietary polyphenols are recognized as crucial modulators of gastrointestinal motility, holding therapeutic promise for conditions like irritable bowel syndrome, postoperative ileus, and functional dyspepsia. However, their reported effects are heterogeneous, ranging from spasmolytic to prokinetic. This review aims to clarify these inconsistencies by [...] Read more.
Dietary polyphenols are recognized as crucial modulators of gastrointestinal motility, holding therapeutic promise for conditions like irritable bowel syndrome, postoperative ileus, and functional dyspepsia. However, their reported effects are heterogeneous, ranging from spasmolytic to prokinetic. This review aims to clarify these inconsistencies by synthesizing experimental evidence on structure–activity relationships and underlying mechanisms. Relevant publications were identified in PubMed and Google Scholar using terms related to polyphenols and gastrointestinal motility. References were selected for relevance, and the narrative review integrates findings from in vitro, ex vivo, in vivo, and clinical studies. Across various experimental models, polyphenols function as multi-target modulators of gastrointestinal smooth muscle. The primary mechanisms identified involve the blockade of voltage-dependent L-type Ca2+ channels, activation of K+ channels (BK, KATP), and modulation of the NO/cGMP and cAMP/PKA pathways. Flavones and multiple flavonols consistently demonstrate spasmolytic activity via Ca2+ channel antagonism. In contrast, flavanones engage BK and KATP channels to induce membrane hyperpolarization. Complex extracts from plants like ginger and turmeric exhibit mixed pro- or antimotility effects, reflecting the diverse profiles of their constituent compounds. While robust ex vivo pharmacology and some in vivo and human data exist, a high degree of dataset heterogeneity and inconsistent reporting impedes direct translational efforts. Polyphenols are promising multi-mechanistic modulators of gastrointestinal motility with clear structure–activity patterns. To advance their clinical application, future research must focus on establishing standardized in vivo pharmacokinetics, conducting targeted structure–activity studies, employing bioassay-guided fractionation, and designing rigorous clinical trials. Full article
(This article belongs to the Special Issue Advances in Smooth Muscle Pharmacology)
Show Figures

Figure 1

24 pages, 4698 KB  
Article
Cross-Kingdom Enzymatic Strategies for Deoxynivalenol Detoxification: Computational Analysis of Structural Mechanisms and Evolutionary Adaptations
by Francisco J. Enguita and Ana Lúcia Leitão
Microorganisms 2025, 13(10), 2384; https://doi.org/10.3390/microorganisms13102384 - 16 Oct 2025
Viewed by 393
Abstract
Deoxynivalenol (DON) is a trichothecene mycotoxin produced by Fusarium species that frequently contaminates cereal crops, representing a major threat to food safety, public health, and agricultural productivity. Its remarkable chemical stability during food processing presents significant challenges for effective detoxification. Among the available [...] Read more.
Deoxynivalenol (DON) is a trichothecene mycotoxin produced by Fusarium species that frequently contaminates cereal crops, representing a major threat to food safety, public health, and agricultural productivity. Its remarkable chemical stability during food processing presents significant challenges for effective detoxification. Among the available mitigation strategies, biological approaches have emerged as particularly promising, as they exploit enzymatic systems capable of converting DON into metabolites with substantially reduced toxicity. In this study, we provide a comprehensive analysis of the structural and evolutionary mechanisms underlying DON detoxification across three kingdoms of life. We investigated the fungal glutathione S-transferase Fhb7, the bacterial DepA/DepB epimerization pathway, and the plant SPG glyoxalase using integrative bioinformatics, phylogenetics, molecular modeling, and docking simulations. The selected enzymatic systems employ distinct yet complementary strategies: Fhb7 conjugates DON with glutathione and disrupts its epoxide ring, DepA/DepB converts it into the less toxic 3-epi-DON through stereospecific epimerization, and SPG glyoxalase mediates DON isomerization. Despite their mechanistic differences, these enzymes share key adaptive features that enable efficient DON recognition and detoxification. This work provides an integrative view of cross-kingdom enzymatic strategies for DON degradation, offering insights into their evolution and functional diversity. These findings open avenues for biotechnological applications, including the development of DON-resistant crops and innovative solutions to reduce mycotoxin contamination in the food chain. Full article
(This article belongs to the Special Issue Secondary Metabolism of Microorganisms, 3rd Edition)
Show Figures

Figure 1

16 pages, 6222 KB  
Article
Alpinetin Alleviates Cardiac Inflammation and Remodeling via TLR4/MyD88/NF-κB Signaling Pathway in Rats with Acute Myocardial Infarction
by Mei Feng, Xinxiang Chen, Fan Huang, Lin Chen, Can Liu, Wei Li, Yinyan Li, Shaobin Chen, Zhen Deng, Zhengyi Wei, Yuan Luo, Xiyong Yu and Aiping Qin
Int. J. Mol. Sci. 2025, 26(20), 10073; https://doi.org/10.3390/ijms262010073 - 16 Oct 2025
Viewed by 170
Abstract
Alpinetin, a distinctive plant-derived dihydroflavonoid from cardamom seeds, represents an under-explored chemical scaffold compared to common flavonoids like quercetin or kaempferol. While many flavonoids have shown general cardioprotective potential, the structural specificity of alpinetin may confer unique pharmacological advantages. Inspired by its historical [...] Read more.
Alpinetin, a distinctive plant-derived dihydroflavonoid from cardamom seeds, represents an under-explored chemical scaffold compared to common flavonoids like quercetin or kaempferol. While many flavonoids have shown general cardioprotective potential, the structural specificity of alpinetin may confer unique pharmacological advantages. Inspired by its historical use in traditional Chinese medicine for cardiac discomfort, this study systematically investigated its efficacy against acute myocardial infarction (AMI). In a rat AMI model, alpinetin demonstrated superior infarct size reduction and functional recovery relative to other tested flavonoids. It significantly attenuated key AMI pathologies—including inflammatory infiltration, CD68+ macrophage activation, IL-6/TNF-α release, collagen deposition, and cardiomyocyte apoptosis—more effectively than common flavonoid benchmarks. Mechanistically, alpinetin selectively targeted the TLR4/MyD88/NF-κB signaling axis with notable potency, a pathway not robustly modulated by other flavonoids in the screening. These findings not only validate the traditional wisdom of cardamom but also establish alpinetin as a structurally and mechanistically distinct flavonoid with high translational promise, offering a new candidate for the targeted treatment of ischemic heart disease. Full article
Show Figures

Figure 1

14 pages, 3444 KB  
Article
Relational Infrastructures for Planetary Health: Network Governance and Inner Development in Brazil’s Traceable Beef Export System
by Ivan Bergier
Challenges 2025, 16(4), 48; https://doi.org/10.3390/challe16040048 - 16 Oct 2025
Viewed by 202
Abstract
This study analyzes the relational architecture of Brazilian traceable beef exports using a tripartite network model that connects certified meatpacking plants, AgriTrace sustainability protocols, and importing countries. By leveraging export authorization data from the Brazilian Ministry of Agriculture, it is shown that certification [...] Read more.
This study analyzes the relational architecture of Brazilian traceable beef exports using a tripartite network model that connects certified meatpacking plants, AgriTrace sustainability protocols, and importing countries. By leveraging export authorization data from the Brazilian Ministry of Agriculture, it is shown that certification protocols function not merely as compliance tools but as relational governance infrastructures, mediating legitimacy, market access, and coordination within global value chains. Bipartite projections allowed the deriving and analyzing of two secondary networks: one mapping connections between meatpacking plants that share certifications, and the other linking consumer nations through common supply channels. The meatpacking plant network displays high modularity, featuring two dominant clusters alongside several smaller, regionally coherent clusters. This structure reflects diverse governance capabilities and strategic certification adoptions. Conversely, the consumer nation network shows lower modularity but identifies central hubs that organize international demand and signal regulatory alignment. These patterns reveal underlying dynamics of coopetition, where actors collaborate through shared standards yet compete through innovation. By integrating the Inner Development Goals (IDG) framework, it is revealed internal capacities, such as trust, complexity awareness, and shared purpose, underpinning the efficacy of traceability systems as ethical and adaptive infrastructures. This values-based lens provides a novel perspective on how technical systems can foster resilient, inclusive, and sustainable trade, thereby contributing to planetary health and human-centered development in global livestock governance. Full article
(This article belongs to the Section Food Solutions for Health and Sustainability)
Show Figures

Figure 1

11 pages, 3116 KB  
Article
AI-Assisted Identification of the Functional Residues of Ginsenoside Biosynthesis-Associated UGTs
by Kisook Jung, Narae Kim, Chaelin Park and Jaewook Kim
BioChem 2025, 5(4), 36; https://doi.org/10.3390/biochem5040036 - 14 Oct 2025
Viewed by 174
Abstract
Background/Objectives: Ginsenosides, one of the most pharmaceutically valuable chemical compounds in Panax ginseng, are synthesized with several enzymes, including UGTs. UGTs determine absorbability and physiological function upon consumption. Thus, understanding the functional residues of ginsenoside biosynthesis-associated UGTs is crucial for enhancing [...] Read more.
Background/Objectives: Ginsenosides, one of the most pharmaceutically valuable chemical compounds in Panax ginseng, are synthesized with several enzymes, including UGTs. UGTs determine absorbability and physiological function upon consumption. Thus, understanding the functional residues of ginsenoside biosynthesis-associated UGTs is crucial for enhancing the production of valuable ginsenoside varieties. Methods: We collected the UGT homologs of high sequence similarity from two rate-limiting steps of the biosynthetic pathway. The 3D structures of these proteins were predicted using the AlphaFold3 model. The ligand-binding interactions of these UGTs were examined using SwissDock and CB-Dock2. Enzyme kinetics were analyzed with MPEK. Using these tools, we performed in silico mutagenic analyses to identify the functional residues of UGTs in detail. Results: We elucidated the molecular mechanisms of experimentally verified functional residues in UGTs, many of which were associated with optimal ligand interaction angles that expose target carbons. We also identified putatively important amino acid residues that mediate ligand interactions and modulate reaction kinetics by more than 25%. In this study, residues at positions 62, 224, 397, and 398 were shown to significantly influence enzyme kinetics. Conclusions: Our study provides the first structural analysis of the functional residues of ginsenoside biosynthetic UGTs based on their 3D structures. We identified several key amino acid residues essential for proper ginsenoside biosynthesis: (1) residues determining ligand interactions, (2) residues modulating ligand binding angles, and (3) residues affecting reaction kinetics. Our findings demonstrate an effective approach to identifying functional residues in plant enzymes and present valuable UGT candidates for future experimental validation. Full article
(This article belongs to the Special Issue Feature Papers in BioChem, 2nd Edition)
Show Figures

Figure 1

20 pages, 1667 KB  
Review
The Two-Pore Channel 2 in Human Physiology and Diseases: Functional Characterisation and Pharmacology
by Laura Lagostena, Velia Minicozzi, Martina Meucci, Antonella Gradogna, Stefan Milenkovic, Fioretta Palombi, Matteo Ceccarelli, Antonio Filippini and Armando Carpaneto
Int. J. Mol. Sci. 2025, 26(19), 9708; https://doi.org/10.3390/ijms26199708 - 6 Oct 2025
Viewed by 524
Abstract
Two-pore channel 2 (TPC2) is a member of the endolysosomal ion channel family, playing critical roles in intracellular calcium signaling and endomembrane dynamics. This review provides an in-depth analysis of TPC2, covering its structural and functional properties, physiological roles, and involvement in human [...] Read more.
Two-pore channel 2 (TPC2) is a member of the endolysosomal ion channel family, playing critical roles in intracellular calcium signaling and endomembrane dynamics. This review provides an in-depth analysis of TPC2, covering its structural and functional properties, physiological roles, and involvement in human diseases. We discuss current experimental approaches to studying TPC2, including heterologous expression in plant vacuoles and computational modeling strategies. Particular emphasis is placed on the structural determinants of ion permeation, with a focus on the selectivity filter and the central cavity’s influence on channel kinetics. Furthermore, we explore emerging roles of TPC2 in viral infections, particularly SARS-CoV-2, and in cancer, including melanoma progression and neoangiogenesis. The inhibitory potential of natural compounds, such as naringenin, is also examined. By offering a comprehensive overview of current knowledge and methodologies, this review underscores the potential of TPC2 as a promising pharmacological target in both infectious and neoplastic diseases. Full article
Show Figures

Figure 1

10 pages, 705 KB  
Article
Tillage Effects on Soil Hydraulic Parameters Estimated by Brooks–Corey Function in Clay Loam and Sandy Loam Soils
by Jalal D. Jabro, William B. Stevens, William M. Iversen, Upendra M. Sainju, Brett L. Allen and Sadikshya R. Dangi
Agronomy 2025, 15(10), 2325; https://doi.org/10.3390/agronomy15102325 - 30 Sep 2025
Viewed by 537
Abstract
Tillage practices can significantly impact soil structure and pore size distribution and connectivity, consequently affecting the shape of the soil water retention curve (SWRC) and its related estimated hydraulic parameters in the top layer of soil. This study investigated the effect of no-tillage [...] Read more.
Tillage practices can significantly impact soil structure and pore size distribution and connectivity, consequently affecting the shape of the soil water retention curve (SWRC) and its related estimated hydraulic parameters in the top layer of soil. This study investigated the effect of no-tillage (NT) and conventional tillage (CT) practices on SWRCs and their soil hydraulic parameters, estimated by the Brooks–Corey (BC) function at 0–15 and 15–30 cm depths within sugarbeet and corn planting rows in clay loam and sandy loam soils, respectively. Soil water retention curves were measured using the evaporative method (HYPROP). Measured SWRC results were modeled for both untilled and tilled soils using the BC function for each depth in both soils. In clay loam, results indicated that all soil parameters of the BC function, water contents at 330 (θ330) and 15,000 (θ15,000) hPa, and plant available soil water content (AW) were not significantly affected by the type of tillage at either soil depth. The lack of difference in results between NT and CT may be due to considerable soil disturbance, primarily by the harvest process of sugarbeet roots. However, in sandy loam, results indicated that differences occurred in SWRC’s estimated parameters between the NT and CT practices. Averaged across 4 years and two soil depths, the pore size distribution index (λ) and saturated water content (θs) were significantly larger under CT than under NT due to greater soil loosening and disturbance caused by multiple passes of the CT process, thereby developing more soil macroporosity. However, the θ330 and AW were significantly larger in NT than in CT due to reduced soil disturbance and improved soil structure under NT compared to CT practices. Regardless of tillage, measurements of SWRC are important for determining better irrigation management practices, enabling producers to optimize crop productivity, while saving water and sustaining water quality. Full article
Show Figures

Figure 1

21 pages, 1618 KB  
Article
Towards Realistic Virtual Power Plant Operation: Behavioral Uncertainty Modeling and Robust Dispatch Through Prospect Theory and Social Network-Driven Scenario Design
by Yi Lu, Ziteng Liu, Shanna Luo, Jianli Zhao, Changbin Hu and Kun Shi
Sustainability 2025, 17(19), 8736; https://doi.org/10.3390/su17198736 - 29 Sep 2025
Viewed by 305
Abstract
The growing complexity of distribution-level virtual power plants (VPPs) demands a rethinking of how flexible demand is modeled, aggregated, and dispatched under uncertainty. Traditional optimization frameworks often rely on deterministic or homogeneous assumptions about end-user behavior, thereby overestimating controllability and underestimating risk. In [...] Read more.
The growing complexity of distribution-level virtual power plants (VPPs) demands a rethinking of how flexible demand is modeled, aggregated, and dispatched under uncertainty. Traditional optimization frameworks often rely on deterministic or homogeneous assumptions about end-user behavior, thereby overestimating controllability and underestimating risk. In this paper, we propose a behavior-aware, two-stage stochastic dispatch framework for VPPs that explicitly models heterogeneous user participation via integrated behavioral economics and social interaction structures. At the behavioral layer, user responses to demand response (DR) incentives are captured using a Prospect Theory-based utility function, parameterized by loss aversion, nonlinear gain perception, and subjective probability weighting. In parallel, social influence dynamics are modeled using a peer interaction network that modulates individual participation probabilities through local contagion effects. These two mechanisms are combined to produce a high-dimensional, time-varying participation map across user classes, including residential, commercial, and industrial actors. This probabilistic behavioral landscape is embedded within a scenario-based two-stage stochastic optimization model. The first stage determines pre-committed dispatch quantities across flexible loads, electric vehicles, and distributed storage systems, while the second stage executes real-time recourse based on realized participation trajectories. The dispatch model includes physical constraints (e.g., energy balance, network limits), behavioral fatigue, and the intertemporal coupling of flexible resources. A scenario reduction technique and the Conditional Value-at-Risk (CVaR) metric are used to ensure computational tractability and robustness against extreme behavior deviations. Full article
Show Figures

Figure 1

Back to TopTop