Sign in to use this feature.

Years

Between: -

Subjects

remove_circle_outline
remove_circle_outline
remove_circle_outline
remove_circle_outline
remove_circle_outline
remove_circle_outline
remove_circle_outline
remove_circle_outline
remove_circle_outline

Journals

Article Types

Countries / Regions

remove_circle_outline
remove_circle_outline
remove_circle_outline
remove_circle_outline

Search Results (356)

Search Parameters:
Keywords = front wheel

Order results
Result details
Results per page
Select all
Export citation of selected articles as:
24 pages, 1725 KB  
Article
Fault-Tolerant Control and Switching Mechanism of Dual-Motor Steer-by-Wire Systems Under Coupled Communication Delays and Faults
by Junming Huang, Jiayao Mao, Rong Yang, Pinpin Qin, Lei Ye and Wei Huang
World Electr. Veh. J. 2026, 17(5), 228; https://doi.org/10.3390/wevj17050228 - 23 Apr 2026
Abstract
To address the significant degradation of steering performance in dual-motor steer-by-wire (DMSBW) systems caused by the coupling of communication delays and motor faults, a robust fault-tolerant control strategy is proposed under the dual-motor collaborative driving mode. First, a matrix polytopic model is employed [...] Read more.
To address the significant degradation of steering performance in dual-motor steer-by-wire (DMSBW) systems caused by the coupling of communication delays and motor faults, a robust fault-tolerant control strategy is proposed under the dual-motor collaborative driving mode. First, a matrix polytopic model is employed to describe the nonlinearities introduced by delays, establishing a delay-dependent DMSBW system dynamics model. Second, for electrical faults such as internal motor short circuits that cause a sudden drop in rotational speed, an adaptive motor-switching fault-tolerant mechanism is designed based on a smooth monitoring function to achieve rapid fault detection and steering function reconstruction. Furthermore, considering the coupled impact of delays and faults, a robust linear quadratic regulator (LQR) controller with feedforward compensation is designed to enhance system fault tolerance and robustness. Simulation results demonstrate that under steering wheel angle step input with delays, the proposed strategy achieves a rapid response without significant overshoot, and the steady-state tracking error is significantly reduced. In variable-speed single lane change maneuvers with coupled delays and severe motor faults, the peak and root mean square (RMS) errors of the front wheel angle are reduced to 0.0112 rad and 0.0031 rad, respectively. Compared to the delay-compensated nonlinear model predictive control (NMPC) and sliding mode control (SMC) strategies that do not account for delays, the peak error is reduced by 15.79% and 45.37%, while the RMS error decreases by 27.91% and 35.42%, respectively. Additionally, the peak and RMS errors of the sideslip angle and yaw rate are substantially reduced, validating the strategy’s excellent steering fault tolerance, robustness, and vehicle handling stability. Full article
(This article belongs to the Section Vehicle Control and Management)
15 pages, 2181 KB  
Article
Intelligent Tire-Based Road Friction Estimation for Enhanced Stability Control of E-Chassis on Snowy Roads
by Zhang Ni, Weihong Wang, Jingyi Gu, Zhi Li and Bo Li
World Electr. Veh. J. 2026, 17(4), 214; https://doi.org/10.3390/wevj17040214 - 17 Apr 2026
Viewed by 233
Abstract
For electric vehicles, accurate real-time estimation of the road friction coefficient is critical for maintaining stability, as the millisecond-level response of electric motors and the integration of regenerative braking demand higher perception fidelity than traditional internal combustion vehicles. This paper proposes a methodological [...] Read more.
For electric vehicles, accurate real-time estimation of the road friction coefficient is critical for maintaining stability, as the millisecond-level response of electric motors and the integration of regenerative braking demand higher perception fidelity than traditional internal combustion vehicles. This paper proposes a methodological framework for road friction estimation specifically designed for intelligent E-Chassis based on micro-signal features of intelligent tires and deep learning. An intelligent tire system, integrated with tri-axial accelerometers and strain gauges, was installed on the front-left wheel of a test vehicle to capture raw dynamic signals during transitions from cement to snow-covered surfaces across a velocity gradient of 10–50 km/h. The Savitzky–Golay convolutional smoothing algorithm was applied to reconstruct the high-frequency raw signals, enabling the extraction of a five-dimensional feature vector comprising vehicle velocity, peak strain, contact patch width, peak-to-peak acceleration, and signal standard deviation. The study revealed a natural filtering effect originating from the porous elastic properties of snow, resulting in a 60–70% reduction in signal standard deviation compared to cement, accompanied by a cliff-like feature collapse at the moment of snow entry. A BP neural network model with a 5-7-1 architecture achieved an identification accuracy of 96.2% on the test set, facilitating a rapid real-time prediction of the friction coefficient transitioning from 0.75 to 0.23. Unlike traditional methods, the proposed approach does not rely on high slip ratios and can complete identification within the first physical rotation cycle. This provides a robust physical criterion for the torque vectoring and regenerative braking stability of intelligent electric vehicles in extreme environments. Full article
(This article belongs to the Section Vehicle Control and Management)
Show Figures

Figure 1

25 pages, 7084 KB  
Article
Dimensional Synthesis and Optimization of Leading and Mixed-Leading Double Four-Bar Steering Mechanisms: A Comparative Metaheuristic Approach
by Yaw-Hong Kang and Da-Chen Pang
Machines 2026, 14(4), 445; https://doi.org/10.3390/machines14040445 - 16 Apr 2026
Viewed by 232
Abstract
This study investigates the dimensional synthesis and optimization of multi-link steering mechanisms—namely, the leading and mixed-leading double four-bar configurations—for front-wheel-drive vehicles. To overcome the accuracy limitations of conventional steering at large angles (up to 70°), a comparative metaheuristic approach is employed, utilizing two [...] Read more.
This study investigates the dimensional synthesis and optimization of multi-link steering mechanisms—namely, the leading and mixed-leading double four-bar configurations—for front-wheel-drive vehicles. To overcome the accuracy limitations of conventional steering at large angles (up to 70°), a comparative metaheuristic approach is employed, utilizing two popular metaheuristic optimizations, Improved Particle Swarm Optimization (IPSO) and Differential Evolution with golden ratio (DE-gr), to optimize the geometric parameters of these complex eight-bar steering systems. Using a track-to-wheelbase ratio of 0.5, the optimization minimizes a mean-squared structural-error objective function integrated with Grashof mobility constraints. The optimized mechanisms are validated via ADAMS kinematic simulations and further analyzed in MATLAB R2021 regarding steering accuracy, transmission angles, and mechanical advantage. The results reveal a distinct performance trade-off: mixed-leading configurations achieve superior geometric precision and mass reduction due to shorter link lengths, with IPSO yielding the highest accuracy. Conversely, leading-type mechanisms provide a more linear and stable mechanical advantage, ensuring predictable force transmission. While DE-gr exhibits faster convergence across both variants, both algorithms effectively exploit the complex parameter space of multi-link systems. Ultimately, this metaheuristic optimization-based approach offers a superior and robust framework for the dimensional synthesis of high-performance multi-link steering mechanisms, surpassing the constraints of traditional gradient-based methods. Our findings recommend the mixed-leading configuration for precision-focused applications and the leading configuration for scenarios requiring consistent mechanical performance. Full article
Show Figures

Figure 1

29 pages, 9977 KB  
Article
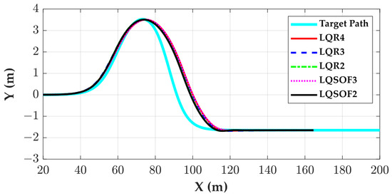
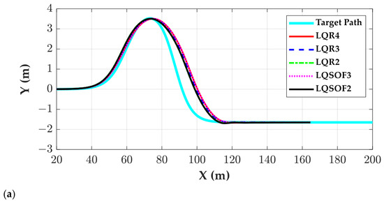
Design and Comparative Evaluation of Path-Tracking Controllers Using Reduced-Order State-Space Models
by Seongjin Yim
Electronics 2026, 15(8), 1684; https://doi.org/10.3390/electronics15081684 - 16 Apr 2026
Viewed by 132
Abstract
This study presents a comparative evaluation of path-tracking controllers designed from reduced-order state-space vehicle models. A four-state state-space model is formulated from the bicycle-model dynamics and target-path geometry, where the state variables are the previewed lateral error, heading error, side-slip angle, and yaw [...] Read more.
This study presents a comparative evaluation of path-tracking controllers designed from reduced-order state-space vehicle models. A four-state state-space model is formulated from the bicycle-model dynamics and target-path geometry, where the state variables are the previewed lateral error, heading error, side-slip angle, and yaw rate. To reduce the dependence on variables that are difficult to obtain in practice, a three-state model is derived by eliminating the explicit side-slip dynamics, and a two-state model is further obtained by replacing the yaw-rate dynamics with a kinematic approximation. Based on these three models, linear-quadratic regulator (LQR) controllers are designed. In addition, two linear quadratic static output-feedback (LQ SOF) controllers are constructed from the original four-state model by using reduced output sets. The five controllers are evaluated by vehicle simulations carried out in CarSim under front-wheel-steering and four-wheel-steering configurations. The results clarify the influence of controller structure and model order on path-tracking performance and identify the controller–actuator combination that provides the most favorable performance under the conditions considered. Full article
(This article belongs to the Special Issue Autonomous Navigation for Intelligent Vehicles)
Show Figures

Figure 1

18 pages, 2866 KB  
Article
Magnetic Wall-Climbing Robot with Adaptive Tracked Mobility and Anti-Overturning Modules
by Shanyi Zhuang, Haiting Di, Guibao Qin and Haoyuan Chen
Machines 2026, 14(4), 439; https://doi.org/10.3390/machines14040439 - 15 Apr 2026
Viewed by 234
Abstract
Magnetic wall-climbing robots have great potential applications for the maintenance and inspection of large steel structures. However, they are susceptible to overturning when climbing over obstacles on vertical walls, primarily due to localized failures in the adhesion and shifts in the center of [...] Read more.
Magnetic wall-climbing robots have great potential applications for the maintenance and inspection of large steel structures. However, they are susceptible to overturning when climbing over obstacles on vertical walls, primarily due to localized failures in the adhesion and shifts in the center of gravity. To address this issue, this paper presents an improved robot design featuring a passive adaptive tracked mobility module and a link-spring anti-overturning module. The adaptive tracked mobility module, incorporating spring tensioning mechanisms and belt press wheels, enables dynamic conformity to uneven walls and maintains stable magnetic adhesion. The link-spring anti-overturning module converts the front-end lift during obstacle crossing into an anti-overturning moment applied to the rear end of the robot. Notably, there is no need for additional drivers or control units. The structural design and three-dimensional modeling of the robot are carried out. Its working principle is analyzed, and parametric modeling and simulation analysis are performed. A physical prototype is developed and obstacle-crossing experiments are conducted on a vertical wall. The results demonstrate that the adaptive tracked mobility module and the anti-overturning module can successfully assist the robot in climbing over an obstacle with a maximum height of 23 mm, and the robot exhibits excellent stability while climbing over continuous obstacles and moving on uneven vertical walls. Full article
(This article belongs to the Section Robotics, Mechatronics and Intelligent Machines)
Show Figures

Figure 1

25 pages, 7380 KB  
Article
Integrated Air–Ground Robotic System for Autonomous Post-Blast Operations in GNSS-Denied Tunnels
by Goretti Arias-Ferreiro, Marco A. Montes-Grova, Francisco J. Pérez-Grau, Sergio Noriega-del-Rivero, Rafael Herguedas, María T. Lázaro, Amaia Castelruiz-Aguirre, José Carlos Jimenez Fernandez, Mustafa Karahan and Antonio Alonso-Cepeda
Remote Sens. 2026, 18(8), 1133; https://doi.org/10.3390/rs18081133 - 10 Apr 2026
Viewed by 539
Abstract
Post-blast operations in tunnel construction represent a critical bottleneck due to mandatory downtime and hazardous environmental conditions. This study addresses these challenges by developing and validating an integrated cyber–physical architecture that coordinates an autonomous Unmanned Aerial Vehicle (UAV) and an Autonomous Wheel Loader [...] Read more.
Post-blast operations in tunnel construction represent a critical bottleneck due to mandatory downtime and hazardous environmental conditions. This study addresses these challenges by developing and validating an integrated cyber–physical architecture that coordinates an autonomous Unmanned Aerial Vehicle (UAV) and an Autonomous Wheel Loader (AWL) under the supervision of a Digital Twin acting as central operational digital interface. Specifically, this technology was designed to access the tunnel, evaluate post-blasting conditions, and initiate operations during mandatory exclusion periods for personnel. The system was validated in a realistic, Global Navigation Satellite System (GNSS)-denied tunnel environment emulating post-detonation visibility constraints. The results demonstrate that the aerial agent successfully navigated and mapped the excavation front in less than 8 min, establishing a shared coordinate system for the ground machinery. Through this collaborative workflow, the autonomous deployment enabled operations to commence 50% to 80% earlier than conventional manual procedures. Furthermore, the system reduced daily operational time by approximately 8%, with an estimated return on financial investment between one and seven months. Overall, the proposed framework eliminates human exposure during high-risk inspections and transforms the fragmented excavation cycle into a continuous, data-driven process. Full article
(This article belongs to the Special Issue Mobile Laser Scanning Systems for Underground Applications)
Show Figures

Figure 1

21 pages, 3106 KB  
Article
Trajectory Tracking Control for Lane Change Maneuvers: A Differential Steering Approach for In-Wheel Motor-Driven Electric Vehicles
by Rizwan Ali, Haiting Ma, Jiaxin Mao and Jie Tian
Actuators 2026, 15(4), 205; https://doi.org/10.3390/act15040205 - 4 Apr 2026
Viewed by 303
Abstract
To ensure reliable lane change behavior in-wheel motor-driven electric vehicles (IWM-EVs) under steer-by-wire (SBW) failure, this paper presents an integrated lateral–longitudinal lane change control strategy based on differential steering. The control framework and relevant models are first established. An upper-layer model predictive control [...] Read more.
To ensure reliable lane change behavior in-wheel motor-driven electric vehicles (IWM-EVs) under steer-by-wire (SBW) failure, this paper presents an integrated lateral–longitudinal lane change control strategy based on differential steering. The control framework and relevant models are first established. An upper-layer model predictive control (MPC) controller is then designed to simultaneously achieve lateral path tracking and longitudinal speed regulation, outputting the desired front-wheel steering angle and acceleration. Finally, a model-free adaptive control (MFAC)-based lower-layer lateral controller transforms the desired steering angle into differential driving torques for the front wheels, while a feedforward–feedback lower-layer longitudinal controller (incorporating drive/brake switching and PI control) computes the required driving torque or braking pressure. Co-simulation in Matlab/Simulink R2022b and CarSim R2020 reveals that the MPC controller designed in this study outperforms the LQR-PID controller, reducing the maximum absolute values of lateral error, heading error, front-wheel steering angle, yaw rate and sideslip angle by 42.9%, 50.0%, 7.8%, 2.8% and 10.3%. The proposed hierarchical control strategy outperforms the compared hierarchical controller, reducing the maximum absolute values of the lateral displacement error, heading error and yaw rate by 17.9%, 6.7%, and 33.3%. These results verify that the strategy can improve trajectory tracking accuracy and achieve basic differential steering functionality in specific scenarios. Full article
Show Figures

Figure 1

21 pages, 16697 KB  
Article
Machine Learning-Based Real-Time Axle Torque Prediction Model for Electric Tractors Using Field-Measured Data
by Seung-Yun Baek, Dongjun Lee, Md. Abu Ayub Siddique, Heejae Kim, Taeyong Sim and Yong-Joo Kim
Agriculture 2026, 16(7), 780; https://doi.org/10.3390/agriculture16070780 - 1 Apr 2026
Viewed by 453
Abstract
Accurate estimation of axle torque is essential for performance evaluation and energy management of electric tractors. However, direct torque measurement and access to motor controller data are often limited in commercial platforms. This study proposes a machine learning-based framework for predicting axle torque [...] Read more.
Accurate estimation of axle torque is essential for performance evaluation and energy management of electric tractors. However, direct torque measurement and access to motor controller data are often limited in commercial platforms. This study proposes a machine learning-based framework for predicting axle torque in a commercial electric tractor using field-measured sensor signals. The framework incorporates a horizon-aware architecture to capture the temporal dependencies of dynamic load fluctuations. Field experiments were conducted during plow tillage operation under multiple gear–speed combinations. Several machine learning models (multiple linear regression, multilayer perceptron, and CatBoost) were evaluated for axle torque prediction. The results showed that rear axle torque exhibited a stronger relationship with traction demand under two-wheel-drive operation, resulting in higher prediction accuracy than front axle torque. Among the evaluated models, CatBoost achieved the best overall performance, with an R2 of 0.83 and an RMSE of 189.35 Nm for the rear axle prediction. The proposed framework enables real-time axle torque estimation using commonly available sensor signals and provides a practical alternative to direct torque measurement for onboard load monitoring and energy management in electric tractor systems. Full article
(This article belongs to the Section Agricultural Technology)
Show Figures

Figure 1

14 pages, 2320 KB  
Article
Determination and Evaluation of Three-Wheeled Tilting Vehicle Prototype Dynamic Characteristics Using Pacejka Tire Model
by Deividas Navikas, Aurelijus Pitrėnas, Saulius Stravinskas and Artūras Mikalauskas
Appl. Sci. 2026, 16(7), 3358; https://doi.org/10.3390/app16073358 - 30 Mar 2026
Viewed by 268
Abstract
When a new vehicle is being created or developed, many technical parameters that affect dynamic characteristics must be investigated not only on a theoretical level, but also by natural experiments. Especially one of the most important characteristics for a vehicle that can tilt [...] Read more.
When a new vehicle is being created or developed, many technical parameters that affect dynamic characteristics must be investigated not only on a theoretical level, but also by natural experiments. Especially one of the most important characteristics for a vehicle that can tilt is tire–road contact, which later helps to calculate and simulate different driving conditions in different driving scenarios, applying internal and external forces. This paper presents a unique construction of a three-wheeled tilting vehicle prototype, tire–road contact determination, and evaluation of vehicle behaviour using the Pacejka tire model. To achieve this, the tire and road surface area were investigated. Using the computed method, experimentally determined contact areas were refined and compared with the actual measured. Determined tire–road contact areas were evaluated by applying dynamic external forces for further investigation. Selected a scenario to predict the behavior of a three-wheeled tilting vehicle and the force distribution during tilting, then determined certain vehicle parameters in the static position (load distribution, tire–road contact areas). The inclusion of asymmetric front-left and front-right tire loads under tilt resulted in observable differences in force distribution. The inner front tire unloaded while the outer tire gained load, introducing asymmetry in both lateral and longitudinal forces. This behaviour was not captured in the symmetric model. Full article
(This article belongs to the Section Transportation and Future Mobility)
Show Figures

Figure 1

21 pages, 7618 KB  
Article
A Regenerative Braking Strategy for Battery Electric Vehicles Based on PSO-Optimized Fuzzy Control
by Jing Li, Guizhong Fu, Bo Cao, Jie Hu, Zhiqiang Hu, Jiajie Yu, Hongliang He, Zhejun Li, Daizeyun Huang and Feng Jiang
Processes 2026, 14(7), 1049; https://doi.org/10.3390/pr14071049 - 25 Mar 2026
Viewed by 455
Abstract
In urban driving cycles, battery electric vehicles are subject to frequent start–stop operations, which lead to substantial braking energy losses. Although fuzzy control (FC) strategies are commonly employed for regenerative braking, their performance is often constrained by subjectively defined membership functions and rules. [...] Read more.
In urban driving cycles, battery electric vehicles are subject to frequent start–stop operations, which lead to substantial braking energy losses. Although fuzzy control (FC) strategies are commonly employed for regenerative braking, their performance is often constrained by subjectively defined membership functions and rules. To address this limitation, this paper proposes an improved FC strategy that is optimized using the particle swarm optimization (PSO) algorithm. Focusing on a front-wheel-drive BEV, a three-input single-output fuzzy controller is developed in accordance with ECE regulations, where braking intensity, battery state of charge (SOC), and vehicle speed serve as inputs, and the motor braking force ratio serves as the output. A co-simulation platform based on AVL-Cruise 2019 and Matlab/Simulink 2017a is established to evaluate the strategy under the New European Driving Cycle (NEDC) and the Worldwide Light Vehicles Test Cycle (WLTC). Additionally, hardware-in-the-loop (HIL) tests are conducted to validate the practical feasibility and accuracy of the optimized strategy. The results demonstrate that the PSO-optimized FC strategy achieves a performance in real-world controllers that is comparable to that observed in a simulation, confirming its real-time applicability. Specifically, under the NEDC, the optimized strategy reduces battery SOC from 0.90 to 0.8795, representing improvements of 0.2515% and 0.4670% over the unoptimized FC strategy and the ideal distribution strategy, respectively. The regenerative braking efficiency is enhanced by 2.45% and 10.48%. Under the WLTC, the final SOC with the optimized strategy is 0.8488, reflecting gains of 0.5202% and 0.8380% over the two reference strategies, while regenerative braking efficiency improves by 2.32% and 8.95%. These findings indicate that the proposed strategy offers a safe and effective solution for improving the regenerative braking performance in electric vehicles. Full article
(This article belongs to the Section Process Control and Monitoring)
Show Figures

Figure 1

22 pages, 4283 KB  
Article
Effect of Vibration on Automotive Transmission Radial Lip Seal Leakage
by Petros Nomikos, Nick Morris, Ramin Rahmani and Homer Rahnejat
Appl. Sci. 2026, 16(6), 2844; https://doi.org/10.3390/app16062844 - 16 Mar 2026
Viewed by 287
Abstract
The European Union’s regulatory mandate requirements for vehicular components include the integrity of sealing performance, mitigating leaks from fuel tanks and transmission systems in order to guard against environmental pollution. Non-compliance can result in significant costs for the OEM and their supplier base. [...] Read more.
The European Union’s regulatory mandate requirements for vehicular components include the integrity of sealing performance, mitigating leaks from fuel tanks and transmission systems in order to guard against environmental pollution. Non-compliance can result in significant costs for the OEM and their supplier base. The majority of the reported research regarding leakage from radial lip seals focuses on static analysis of leakage under a given set of laboratory conditions. However, in practice, seal conjunctions are often subjected to significant excitations due to vehicular vibration. In the current study, the case of a front-wheel drive vehicle, equipped with three-axle accelerometers and subjected to a comprehensive road test, is used as the basis for the development of a realistic representative test rig. The test rig is developed using bespoke components from the vehicle under investigation to assess the impact of the encountered natural frequencies on sealing performance in controlled laboratory conditions, when the system is subjected to controlled excitation. Experiments are conducted to evaluate leakage at the transmission interface, focusing specifically on the sealing system’s performance. The influence of driveshaft manufacturing processes using corundum grinding and subsequent surface topography upon leakage performance are also considered. Identified modal response frequencies are imposed upon the test rig using a shaker, whilst the seal leakage is measured. The importance of shaft roughness characteristics, such as topographical skewness upon seal leakage rate under various resonant conditions, are ascertained. The results indicate potentially significant leakage rates under excitation conditions, with a non-optimised shaft roughness profile. Full article
(This article belongs to the Section Mechanical Engineering)
Show Figures

Figure 1

16 pages, 2003 KB  
Article
Simulation Comparison of Cruising Range Under Braking Energy Recovery Strategy of Electric Vehicle
by Lixue Yan, Yingping Hong, Lizhi Dang and Ruihao Zhang
Vehicles 2026, 8(3), 57; https://doi.org/10.3390/vehicles8030057 - 13 Mar 2026
Viewed by 351
Abstract
To address the core challenges of low energy utilization efficiency and limited range in front-wheel-drive electric vehicles (FWD EVs), this study proposes a dynamic series braking energy recovery strategy featuring adaptive braking force distribution and multi-factor correction. A comprehensive simulation model integrating five [...] Read more.
To address the core challenges of low energy utilization efficiency and limited range in front-wheel-drive electric vehicles (FWD EVs), this study proposes a dynamic series braking energy recovery strategy featuring adaptive braking force distribution and multi-factor correction. A comprehensive simulation model integrating five core modules—Cycle, Driver, Controller, Vehicle, and Display—was developed using Matlab/Simulink, combining the dynamic series recovery strategy with traditional parallel recovery strategies. Model reliability was validated through chassis dynamometer test data (maximum error ≤ 3.2%), followed by simulation comparisons under CLTC conditions. Results demonstrate that compared to parallel strategies, the dynamic series approach increases range by 25.8% (from 318 km to 400 km). Key innovations include real-time adaptive front axle braking coefficients based on braking intensity and a correction mechanism integrating vehicle speed and state of charge (SOC), achieving a balance between recovery efficiency, braking stability, and battery protection. This study provides actionable design guidance for FWD EV powertrain optimization while establishing a validated regenerative braking simulation framework. Full article
Show Figures

Figure 1

26 pages, 2280 KB  
Article
Symmetry Breaking Under Single-Wheel Failure: Coordinated Fault-Tolerant Control of EMB for Emergency Braking and Lateral Stability
by Haobin Jiang, Ting Sun, Kun Yang and Yixiao Chen
Symmetry 2026, 18(3), 480; https://doi.org/10.3390/sym18030480 - 11 Mar 2026
Viewed by 301
Abstract
Single-wheel brake failure in electromechanical brake (EMB) systems breaks the left-right symmetry of wheel forces and yaw moments, creating a critical conflict between emergency braking effectiveness and lateral stability. To address this symmetry-breaking condition, this paper proposes a bimodal, adaptive, coordinated fault-tolerant control [...] Read more.
Single-wheel brake failure in electromechanical brake (EMB) systems breaks the left-right symmetry of wheel forces and yaw moments, creating a critical conflict between emergency braking effectiveness and lateral stability. To address this symmetry-breaking condition, this paper proposes a bimodal, adaptive, coordinated fault-tolerant control strategy that integrates dynamic brake torque redistribution with active front steering (AFS). A novel dynamic interaction model linking deceleration demand with tire adhesion utilization enables real-time assessment and optimization of the balance between longitudinal braking performance and yaw stability. Braking forces are allocated based on adhesion utilization through a layered two-mode strategy—balanced distribution prioritizing lateral stability and compensatory distribution engaging the healthy front wheel when rear axle capacity is exceeded. An integral sliding-mode controller computes the additional yaw moment needed to suppress yaw-rate deviation, with rigorous Lyapunov stability analysis confirming closed-loop stability. AFS is triggered only when yaw-rate deviation exceeds 0.05 rad/s or adhesion utilization reaches 90%, incorporating hysteresis to ensure smooth transitions and minimize unnecessary steering intervention. Comprehensive co-simulations using Carsim and MATLAB/Simulink under diverse failure locations (left-front and right-rear wheels), road adhesion levels (μ = 0.85 and 0.5), and braking intensities (0.2 g–0.6 g) demonstrate that the proposed strategy reduces lateral displacement by up to 85.3% compared to full-time AFS control while maintaining over 99% deceleration satisfaction. The results establish an effective dual-objective fault-tolerant framework that enhances both robustness and functional safety of EMB systems under symmetry-breaking faults, offering a physically interpretable, computationally efficient solution well-suited for real-time automotive applications. Full article
(This article belongs to the Section Engineering and Materials)
Show Figures

Figure 1

15 pages, 3210 KB  
Article
Severity of Vibration at Operating Station of a Tractor with and Without Seeder Fertilizer Coupling Under Different Operating Conditions
by Maria T. R. Silva, Fábio L. Santos, Rafaella V. Pereira and Francisco Scinocca
AgriEngineering 2026, 8(3), 105; https://doi.org/10.3390/agriengineering8030105 - 10 Mar 2026
Viewed by 345
Abstract
The mechanization of the agricultural sector exposes operators to vibrations generated by tractors, terrain inclination, and attached implements. Prolonged exposure to such vibrations can lead to health problems, including visual disturbances, fatigue, spinal injuries, and low back pain. In this context, the present [...] Read more.
The mechanization of the agricultural sector exposes operators to vibrations generated by tractors, terrain inclination, and attached implements. Prolonged exposure to such vibrations can lead to health problems, including visual disturbances, fatigue, spinal injuries, and low back pain. In this context, the present study aimed to assess the severity of mechanical vibrations in an agricultural tractor with four-wheel drive, both as a standalone unit and as part of a mechanized assembly comprising the same tractor coupled to a fertilizer seeder during sowing operations. Vibrations were monitored at four data collection points: the front and rear axles, the cab floor, and the operator’s seat. Root mean square (RMS) acceleration values were compared with the limits established by ISO 2631-1, and the comfort levels at the operator’s seat were classified as “uncomfortable” and “very uncomfortable.” Vibration transmissibility between the rear axle and the cab floor (T2) was found to exceed 1, indicating amplification of vibrations. Overall, the operator’s seat attenuated the vibration severity transmitted to the operator. Forward speed significantly influenced vibration severity, with higher speeds associated with increased RMS accelerations. Slope also affected vibration levels, with slope D2 (the sloped area) presenting higher mean RMS acceleration values. Notably, the tractor operating with the seeder fertilizer exhibited attenuated vibration levels compared to the tractor alone. Full article
(This article belongs to the Section Agricultural Mechanization and Machinery)
Show Figures

Graphical abstract

22 pages, 4084 KB  
Article
Multi-Objective Optimization of Surface Roughness and Material Removal Rate in Ultrasonic Vibration-Assisted CBN Grinding of External Cylindrical Surfaces
by Toan-Thang Ha, Anh-Tung Luu and Ngoc-Pi Vu
Coatings 2026, 16(3), 333; https://doi.org/10.3390/coatings16030333 - 8 Mar 2026
Viewed by 456
Abstract
Ultrasonic vibration-assisted grinding using cubic boron nitride (CBN) wheels has emerged as an effective approach for improving surface integrity and machining efficiency in hard-to-machine materials. However, achieving a desirable balance between surface roughness and material removal rate remains a critical challenge due to [...] Read more.
Ultrasonic vibration-assisted grinding using cubic boron nitride (CBN) wheels has emerged as an effective approach for improving surface integrity and machining efficiency in hard-to-machine materials. However, achieving a desirable balance between surface roughness and material removal rate remains a critical challenge due to their inherently conflicting nature. In this study, a multi-objective optimization framework is proposed to simultaneously minimize surface roughness (Ra) and maximize material removal rate (MRR) in external cylindrical CBN grinding performed on a computer numerical control (CNC) milling machine under ultrasonic vibration assistance. Gaussian process regression models were first developed to accurately represent the nonlinear relationships between machining parameters and the target responses. These surrogate models were subsequently integrated with the non-dominated sorting genetic algorithm II (NSGA-II) to generate a set of Pareto-optimal solutions. The convergence behavior of the optimization process was evaluated using the hypervolume indicator, confirming fast and stable convergence. The resulting Pareto front clearly illustrates the trade-off between Ra and MRR, and a knee point solution was identified as a practical compromise for industrial application. The optimized results demonstrate that ultrasonic vibration-assisted CBN grinding can significantly enhance machining performance while maintaining acceptable surface quality. The proposed methodology provides an effective decision-support tool for multi-objective process optimization in advanced grinding applications. Full article
Show Figures

Figure 1

Back to TopTop