Crop Residue Orientation Influences Soil Water and Wheat Growth Under Rainfed Mediterranean Conditions
Abstract
1. Introduction
2. Materials and Methods
2.1. Shenton Park Experiment
2.1.1. Soil and Site
2.1.2. Treatments
2.1.3. Inputs and Field Operations
2.1.4. Plant Growth
2.1.5. Soil Water
2.1.6. Soil and Air Temperatures
2.1.7. Photosynthetically Active Radiation
2.2. Cunderdin Experiment
2.2.1. Soil and Site
2.2.2. Treatments
2.2.3. Inputs and Field Operations
2.2.4. Plant Growth
2.2.5. Soil Water
2.3. Statistical Analysis
3. Results
3.1. Weather
3.2. Soil and Air Temperature Measurements
3.3. Soil Water
3.3.1. Shenton Park Experiment
3.3.2. Cunderdin Experiment
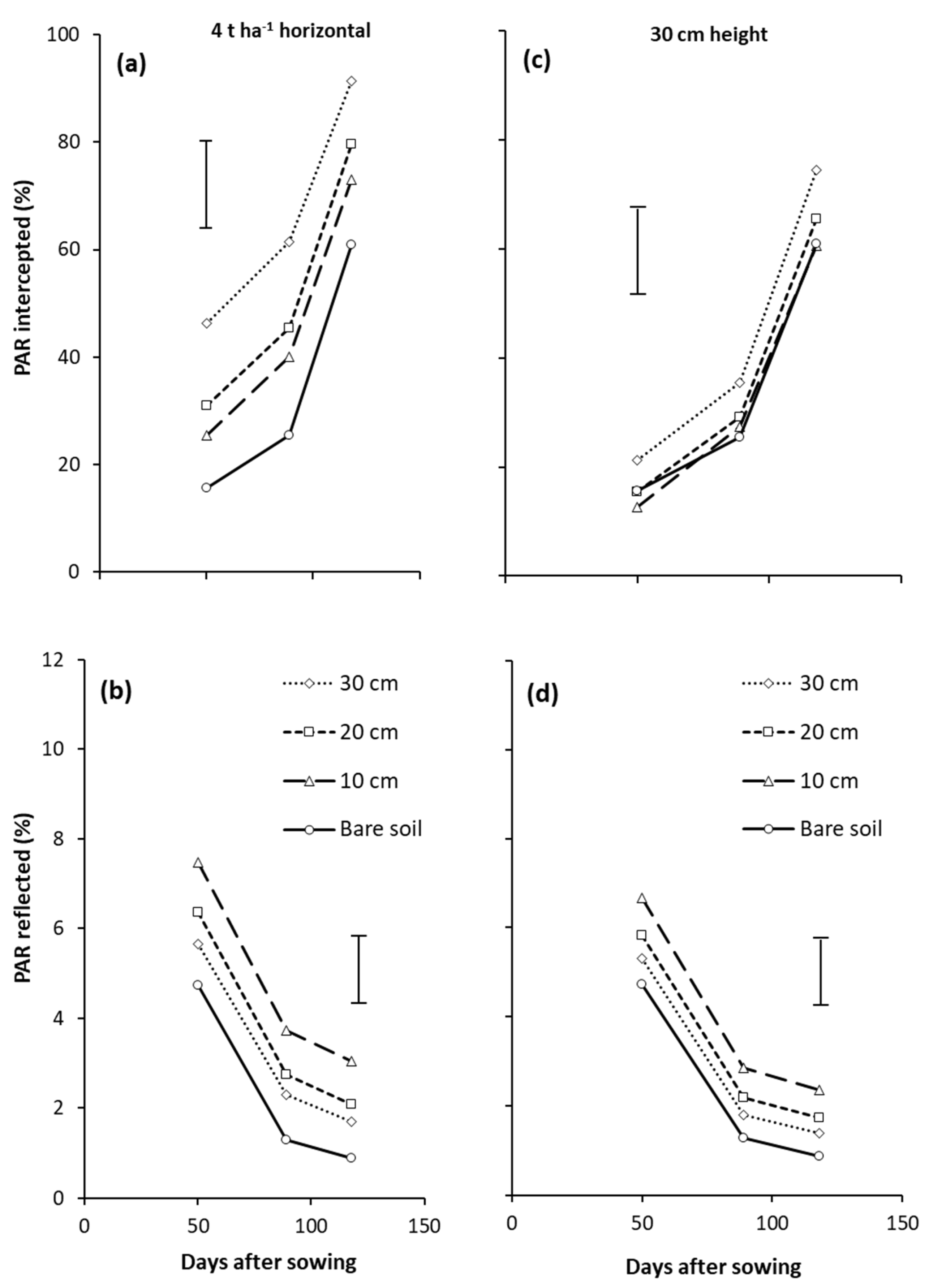
3.4. Photosynthetically Active Radiation (PAR) at Shenton Park
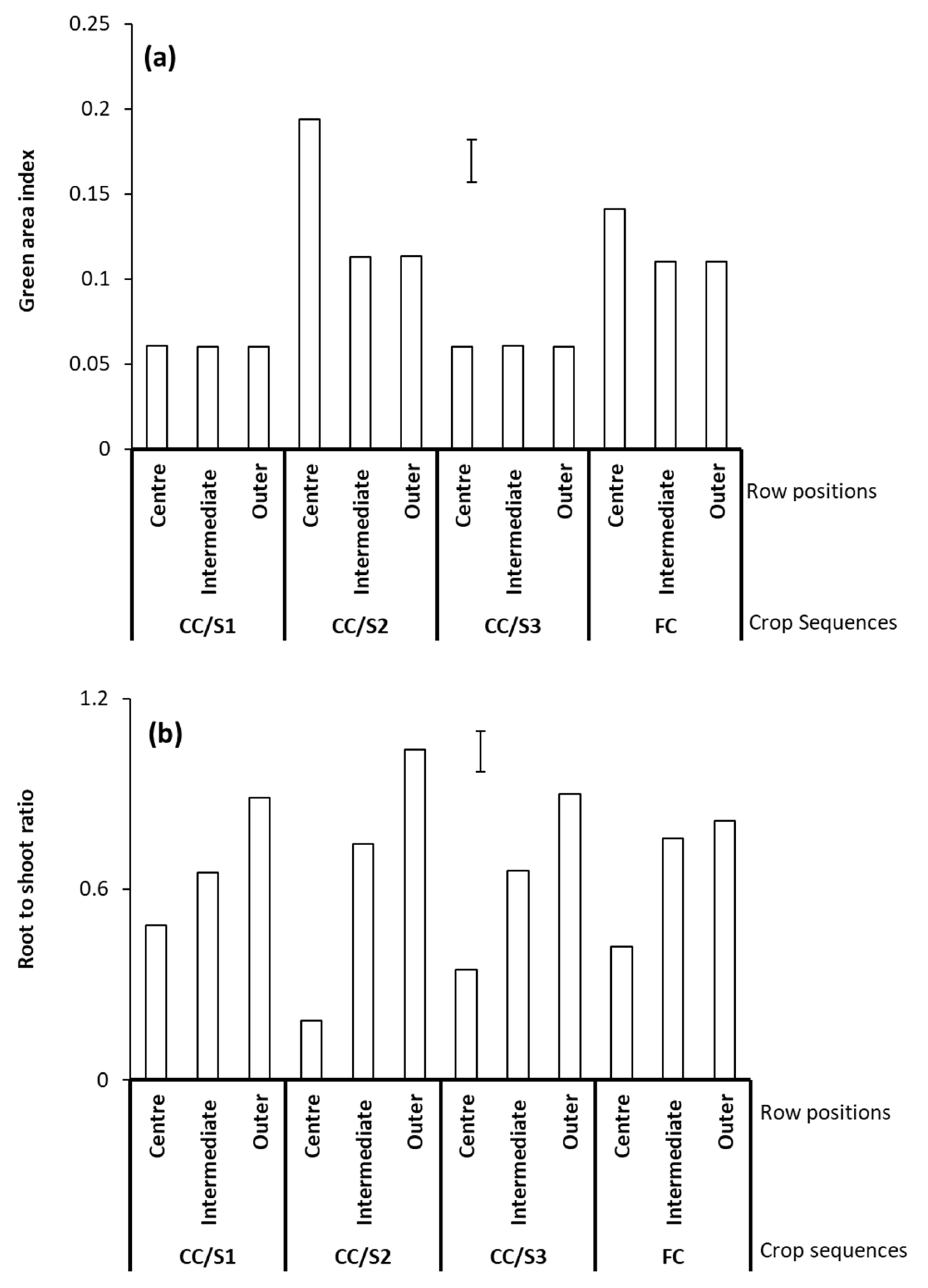
3.5. Plant Growth
3.5.1. Shenton Park Experiment
3.5.2. Cunderdin Experiment
3.6. Yield Components and Crop Water Use Efficiency
3.6.1. Shenton Park Experiment
3.6.2. Cunderdin Experiment
4. Discussion
4.1. Effect of Residue Architecture on Soil Temperature
4.2. Effect of Residue Architecture on Air Temperature
4.3. Effect of Crop Residue Management on Soil Water Storage
4.4. Effect of Crop Residue Management on Wheat Growth, Yield, and WUE
5. Conclusions
Author Contributions
Funding
Data Availability Statement
Acknowledgments
Conflicts of Interest
Abbreviations
| NT | No-tillage |
| WUE | Water use efficiency |
References
- McMaster, G.S.; Aiken, R.M.; Nielsen, D.C. Optimizing wheat harvest cutting height for harvest efficiency and soil and water conservation. Agron. J. 2000, 92, 1104–1108. [Google Scholar] [CrossRef]
- Aiken, R.M.; Flerchinger, G.N.; Farahani, H.J.; Johnsen, K.E. Energy balance simulation for surface soil and residue temperatures with incomplete cover. Agron. J. 1997, 89, 404–415. [Google Scholar] [CrossRef]
- Smika, D.E.; Unger, P.W. Effect of surface residues on soil water storage. In Advances in Soil Science; Springer: New York, NY, USA, 1986; pp. 1–28. [Google Scholar]
- Cutforth, H.W.; McConkey, B.G.; Ulrich, D.; Miller, P.R.; Angadi, S.V. Yield and water use efficiency of pulses seeded directly into standing stubble in the semiarid Canadian Prairie. Can. J. Plant Sci. 2002, 82, 681–686. [Google Scholar] [CrossRef]
- Lascano, R.J.; Baumhardt, R.L.; Hicks, S.K.; Heilman, J.L. Soil and plant water evaporation from strip-tilled cotton: Measurement and simulation. Agron. J. 1994, 86, 987–999. [Google Scholar] [CrossRef]
- Abdallah, A.M.; Jat, H.S.; Choudhary, M.; Abdelaty, E.F.; Sharma, P.C.; Jat, M.L. Conservation agriculture effects on soil water holding capacity and water-saving varied with management practices and agroecological conditions: A review. Agronomy 2021, 11, 1681. [Google Scholar] [CrossRef]
- French, R.J. The effect of fallowing on the yield of wheat, I. The effect on soil water storage and nitrate supply. Aust. J. Agric. Res. 1978, 29, 653–668. [Google Scholar] [CrossRef]
- French, R.J. Effect of fallowing on yield of wheat.2. Effect on grain yield. Aust. J. Agric. Res. 1978, 29, 669–684. [Google Scholar] [CrossRef]
- Saffari, N.; Hajabbasi, M.A.; Shirani, H.; Mosaddeghi, M.R.; Owens, G. Influence of corn residue biochar on water retention and penetration resistance in a calcareous sandy loam soil. Geoderma 2021, 383, 114734. [Google Scholar] [CrossRef]
- Gregory, P.J.; Simmonds, L.P.; Pilbeam, C.J. Soil type, climatic regime, and the response of water use efficiency to crop management. Agron. J. 2000, 92, 814–820. [Google Scholar] [CrossRef]
- Monzon, J.P.; Sadras, V.O.; Andrade, F.H. Fallow soil evaporation and water storage as affected by stubble in sub-humid (Argentina) and semi-arid (Australia) environments. Field Crops Res. 2006, 98, 83–90. [Google Scholar] [CrossRef]
- Kirkegaard, J.A.; Hunt, J.R. Increasing productivity by matching farming system management and genotype in water-limited environments. J. Exp. Bot. 2011, 61, 4129–4143. [Google Scholar] [CrossRef]
- Barrett-Lennard, E.G.; George, N.; D’Antuono, M.; Holmes, K.W.; Ward, P.R. Rain and potential evapotranspiration are the main drivers of yield for wheat and barley in southern Australia: Insights from 12 years of National Variety Trials. Crop Pasture Sci. 2024, 75, CP23320. [Google Scholar] [CrossRef]
- Liu, J.; Lobb, D.A. Overview of crop and crop residue management impacts on crop water use and runoff in the Canadian Prairies. Water 2021, 13, 2929. [Google Scholar] [CrossRef]
- Zhao, H.; Qin, J.; Gao, T.; Zhang, M.; Sun, H.; Zhu, S.; Xu, C.; Ning, T. Immediate and long-term effects of tillage practices with crop residue on soil water and organic carbon storage changes under a wheat-maize cropping system. Soil Tillage Res. 2022, 218, 105309. [Google Scholar] [CrossRef]
- Delandmeter, M.; Colinet, G.; Pierreux, J.; Bindelle, J. Combining field measurements and process- based modelling to analyse soil tillage and crop residues management impacts on crop production and carbon balance in temperate areas. Soil Use Manag. 2023, 40, e13098. [Google Scholar] [CrossRef]
- Farooq, M.; Flower, K.C.; Jabran, K.; Wahid, A.; Siddique, K.H.M. Crop yield and weed management in rainfed conservation agriculture. Soil Tillage Res. 2011, 117, 172–183. [Google Scholar] [CrossRef]
- Passioura, J.B.; Angus, J.F. Improving productivity of crops in water-limited environments. In Advances in Agronomy; Sparks, D.L., Ed.; Academic Press: Barlington, MA, USA, 2010; Volume 106, pp. 37–75. [Google Scholar]
- Gregory, P.J.; Tennant, D.; Belford, R.K. Root and shoot growth, and water and light use efficiency, of barley and wheat crops grown on a shallow duplex soil in a Mediterranean environment. Aust. J. Agric. Res. 1992, 43, 555–573. [Google Scholar] [CrossRef]
- Hamblin, A.; Tennant, D.; Perry, M.W. Management of soil water for wheat production in Western Australia. Soil Use Manag. 1987, 3, 63–69. [Google Scholar] [CrossRef]
- Thomas, G.A.; Titmarsh, G.W.; Freebairn, D.M.; Radford, B.J. Non-tillage and conservation farming practices in grain growing areas of Queensland—A review of 40 years of development. Aust. J. Exp. Agric. 2007, 47, 887–898. [Google Scholar] [CrossRef]
- Tripathi, S.; Kaur, A.; Brar, A.S.; Sekhon, K.S.; Singh, S.; Kisi, O. Optimizing yield and water productivity in summer mung bean (Vigna radiata L.) through crop residue management and irrigation strategies. BMC Plant Biol. 2024, 24, 1012. [Google Scholar] [CrossRef]
- Whippo, C.W.; Saliendra, N.Z.; Liebig, M.A. Cover crop inclusion and residue retention improves soybean production and physiology in drought conditions. Heliyon 2024, 10, e29838. [Google Scholar] [CrossRef] [PubMed]
- Riedell, W.E.; Osborne, S.L.; Dagel, K.J. Maize residue removal and cover crop effects on subsequent soybean crops. Agron. J. 2017, 109, 2762–2770. [Google Scholar] [CrossRef]
- Sommer, R.; Piggin, C.; Haddad, A.; Hajdibo, A.; Hayek, P.; Khalil, Y. Simulating the effects of minimum tillage and crop residue retention on water relations and yield of wheat under rainfed semiarid Mediterranean conditions. Field Crop Res. 2012, 132, 40–52. [Google Scholar] [CrossRef]
- Swella, G.B.; Ward, P.R.; Siddique, K.H.M.; Flower, K.C. Combinations of tall standing and horizontal residues affect soil water dynamics in rainfed conservation agriculture systems. Soil Tillage Res. 2015, 147, 30–38. [Google Scholar] [CrossRef]
- GRDC. Stubble Management Fact Sheet: Strategies to Manage Winter Crop Stubbles Without Reaching for the Matches. 2011, pp. 1–8. Available online: https://grdc.com.au/resources-and-publications/all-publications/factsheets/2011/03/stubble-management (accessed on 1 June 2013).
- Collins, M.; Better Residue Management for More Sustainable Cropping. Taken from a Conference Paper Presented to the Fourth Crop Science Congress Held in Brisbane in 2004. 2004. Available online: https://www.agronomyaustraliaproceedings.org/index.php/home/26-2004-conference-information/168-2004-sustainability-conservation-and-reduced-tillage-systems (accessed on 20 March 2009).
- Flower, K.C.; Crabtree, B.; Butler, G. No-till cropping systems in Australia. In No-Till Farming Systems; Goddard, T., Zoebisch, M., Gan, Y., Ellis, W., Watson, A., Sombatpanit, S., Eds.; Special Publication No. 3; World Association of Soil and Water Conservation: Beijing, China, 2007; pp. 457–467. [Google Scholar]
- USDA. Keys to Soil Taxonomy, 5th ed.; Pocahontas Press: Blacksburg, VA, USA, 1992. [Google Scholar]
- McArthur, W.M.; Bettenay, E. Development and Distribution of Soils of the Swan Coastal Plain, Western Australia; CSIRO: Canberra, Australia, 1960. [Google Scholar]
- Pathan, S.M.; Alymore, L.A.G.; Colmer, T.D. Properties of several fly ash materials in relation to use as soil amendments. J. Environ. Qual. 2003, 32, 687–693. [Google Scholar] [CrossRef] [PubMed]
- Khalil, Y.; Flower, K.; Siddique, K.H.M.; Ward, P. Pyroxasulfone efficacy for annual ryegrass control is affected by wheat residue height, amount and orientation. Pest Manag. Sci. 2019, 76, 861–867. [Google Scholar] [CrossRef]
- Fischer, R.A. Growth and water limitation to dryland wheat yield in Australia: A physiological framework. J. Aust. Inst. Agric. Sci. 1979, 45, 83–94. [Google Scholar]
- Ward, P.R.; Hall, D.J.M.; Micin, S.F.; Whisson, K.; Willis, T.M.; Treble, K.; Tennant, D. Water use by annual crops. 1. Role of dry matter production. Aust. J. Agric. Res. 2007, 58, 1159–1166. [Google Scholar] [CrossRef]
- Flower, K.C.; Cordingley, N.; Ward, P.R.; Weeks, C. Nitrogen, weed management and economics with cover crops in conservation agriculture in a Mediterranean climate. Field Crop Res. 2012, 132, 63–75. [Google Scholar] [CrossRef]
- Shen, Y.; McLaughlin, N.; Zhang, X.; Xu, M.; Liang, A. Effect of tillage and crop residue on soil temperature following planting for a Black soil in Northeast China. Sci. Rep. 2018, 8, 4500. [Google Scholar] [CrossRef]
- Singh, B.; Humphrey, E.; Eberbach, P.L.; Katupitiyac, A.; Singh, Y.; Kukal, S.S. Growth, yield and water productivity of zero till wheat as affected by rice straw mulch and irrigation schedule. Field Crops Res. 2011, 121, 209–225. [Google Scholar] [CrossRef]
- Chakraborty, D.; Nagarajan, S.; Aggarwal, P.; Gupta, V.K.; Tomar, R.K.; Garg, R.N.; Sahoo, R.N.; Sarkar, A.; Chopra, U.K.; Sarma, K.S.S.; et al. Effect of mulching on soil and plant water status, and the growth and yield of wheat (Triticum aestivum L.) in a semi-arid environment. Agric. Water Manag. 2008, 95, 1323–1334. [Google Scholar] [CrossRef]
- Sidhu, H.S.; Manpreet, S.; Humphreys, E.; Singh, Y.; Singh, B.; Dhillon, S.S.; Blackwell, J.; Bector, V.; Malkeet, S.; Sarbjeet, S. The Happy Seeder enables direct drilling of wheat into rice stubble. Aust. J. Exp. Agric. 2007, 47, 844–854. [Google Scholar] [CrossRef]
- Singh, Y.; Humphreys, E.; Kukal, S.S.; Dhillon, S.S.; Singh, B.; Kaur, A.; Thaman, S.; Prashar, A.; Yadav, S.; Kaur, N.; et al. Crop performance in a permanent raised bed rice–wheat cropping system in Punjab, India. Field Crops Res. 2008, 111, 1–20. [Google Scholar] [CrossRef]
- Cutforth, H.W.; Angadi, S.V.; McConkey, B.G. Stubble management and microclimate, yield and water use efficiency of canola grown in the semiarid Canadian prairie. Can. J. Plant Sci. 2006, 86, 99–107. [Google Scholar] [CrossRef]
- Malhi, S.S.; Bhalla, M.K.; Piening, L.J.; Caldwell, C.D. Effect of stubble height and tillage on winter soil temperature in central Alberta. Soil Tillage Res. 1992, 22, 243–251. [Google Scholar] [CrossRef]
- Schillinger, W.F.; Wuest, S.B. Wheat stubble height effects on soil water capture and retention during long fallow. Agric. Water Manag. 2021, 256, 107117. [Google Scholar] [CrossRef]
- Zhang, S.; Lovdahl, L.; Grip, H.; Tong, Y.; Yang, X.; Wang, Q. Effects of mulching and catch cropping on soil temperature, soil moisture and wheat yield on the Loess Plateau of China. Soil Tillage Res. 2009, 102, 76–86. [Google Scholar] [CrossRef]
- Aase, J.K.; Siddoway, F.H. Stubble height effects on seasonal microclimate, water balance, and plant development of no-till winter wheat. Agric. Meteorol. 1980, 21, 1–20. [Google Scholar] [CrossRef]
- DAFWA. Frost Slashes $200m in Wheatbelt Crops. 2008. Available online: https://www.abc.net.au/news/2008-10-08/frost-slashes-200m-in-wheatbelt-crops/535084 (accessed on 31 August 2012).
- Verburg, K.; Bond, W.J.; Hunt, J.R. Fallow management in dryland agriculture: Explaining soil water accumulation using a pulse paradigm. Field Crops Res. 2012, 130, 68–79. [Google Scholar] [CrossRef]
- Ward, P.R.; Flower, K.C.; Cordingley, N.; Weeks, C.; Micin, S.F. Soil water balance with cover crops and conservation agriculture in a Mediterranean climate. Field Crop Res. 2012, 132, 33–39. [Google Scholar] [CrossRef]
- Steiner, J.L. Tillage and surface residue effects on evaporation from soils. Soil Sci. Soc. Am. J. 1989, 53, 911–916. [Google Scholar] [CrossRef]
- Steiner, J.L. Crop residue effect on water conservation. In Managing Agricultural Residues; Unger, P.W., Ed.; Lewis Publishers: Boca Raton, FL, USA, 1994; pp. 41–76. [Google Scholar]
- Steiner, J.L.; Schomberg, H.H.; Douglas, C.L.; Black, A.L. Standing stem persistence in no-tillage small-grain fields. Agron. J. 1994, 86, 76–81. [Google Scholar] [CrossRef]
- Cutforth, H.W.; McConkey, B.G. Stubble height effects on microclimate, yield and water use efficiency of spring wheat grown in a semiarid climate on the Canadian prairies. Can. J. Plant Sci. 1997, 77, 359–366. [Google Scholar] [CrossRef]
- Smika, D.E. Soil water change as related to position of wheat straw mulch on the soil surface. Soil Sci. Soc. Am. J. 1983, 47, 988–991. [Google Scholar] [CrossRef]
- Schlegel, A.; Haag, L.; Assefa, Y.; Holman, J. Wheat stubble height effects on subsequent corn and grain sorghum crops. Crop Sci. 2023, 63, 1494–1507. [Google Scholar] [CrossRef]
- Aiken, R.M.; Nielsen, D.C.; Ahuja, L.R. Scaling effects of standing crop residues on the wind profile. Agron. J. 2003, 95, 1041–1046. [Google Scholar] [CrossRef]
- Klocke, N.L.; Currie, R.S.; Aiken, R.M. Soil water evaporation and crop residues. Trans. ASABE 2009, 52, 103–110. [Google Scholar] [CrossRef]
- Hu, W.; Schoenau, J.J.; Cutforth, H.W.; Si, B.C. Effects of row-spacing and stubble height on soil water content and water use by canola and wheat in the dry prairie region of Canada. Agric. Water Manag. 2015, 153, 77–85. [Google Scholar] [CrossRef]
- Honvault, N.; Faucon, M.-P.; McLaren, T.; Houben, D.; Frossard, E.; Oberson, A. Influence of cover crop residue traits on phosphorus availability and subsequent uptake by plants. Nutr. Cycl. Agroecosyst. 2024, 128, 131–148. [Google Scholar] [CrossRef]
- Zhang, X.; Zhang, X.; Li, X.; Zhu, Y.; Lv, H.; Zhou, W. Microbial mechanism of crop residues addition in nitrogen leaching loss retention and soil ecosystem stability maintenance. Environ. Technol. Innov. 2023, 31, 103194. [Google Scholar] [CrossRef]
- Liu, L.; Knight, J.D.; Lemke, R.L.; Farrell, R.E. Quantifying the contribution of above- and below-ground residues of chickpea, faba bean, lentil, field pea and wheat to the nitrogen nutrition of a subsequent wheat crop. Field Crops Res. 2024, 313, 109412. [Google Scholar] [CrossRef]
- Warnemuende, E.A.; Patterson, J.P.; Smith, D.R.; Huang, C. Effects of tilling no-till soil on losses of atrazine and glyphosate to runoff water under variable intensity simulated rainfall. Soil Tillage Res. 2007, 95, 19–26. [Google Scholar] [CrossRef]
- Imaz, M.J.; Virto, I.; Bescansa, P.; Enrique, A.; Fernandez-Ugalde, O.; Karlen, D.L. Soil quality indicator response to tillage and residue management on semi-arid Mediterranean cropland. Soil Tillage Res. 2010, 107, 17–25. [Google Scholar] [CrossRef]
- Biscoe, P.V.; Gallagher, J.N. Weather dry matter production yield. In Environmental Effects on Crop Physiology; Landsberg, J.J., Cutting, C.V., Eds.; Academic Press: London, UK, 1977; pp. 75–100. [Google Scholar]
- French, R.J.; Schultz, J.E. Water use efficiency of wheat in a Mediterranean-type environment. II. Some limitations to efficiency. Aust. J. Agric. Res. 1984, 35, 765–775. [Google Scholar] [CrossRef]
- Palta, J.A.; Chen, X.; Milroy, S.P.; Rebetzke, G.J.; Fernanda Dreccer, M.; Watt, M. Large root systems: Are they useful in adapting wheat to dry environments? Funct. Plant Biol. 2011, 38, 347–354. [Google Scholar] [CrossRef]
- Morris, N.L.; Miller, P.C.H.; Orson, J.H. The effect of wheat straw residue on the emergence and early growth of sugar beet (Beta vulgaris) and oilseed rape (Brassica napus). Eur. J. Agron. 2009, 30, 151–162. [Google Scholar] [CrossRef]
- Altikat, S.; Celik, A.; Gozubuyuk, Z. Effects of various no-till seeders and stubble conditions on sowing performance and seed emergence of common vetch. Soil Tillage Res. 2013, 126, 72–77. [Google Scholar] [CrossRef]
- Sadras, V.O.; Lawson, C.; Hooper, P.; McDonald, G.K. Contribution of summer rainfall and nitrogen to the yield and water use efficiency of wheat in Mediterranean_type environments of South Australia. Eur. J. Agron. 2012, 36, 41–54. [Google Scholar] [CrossRef]
- Fischer, R.A. Number of kernels in wheat crops and the influence of solar radiation and temperature. J. Agric. Sci. 1985, 105, 447–461. [Google Scholar] [CrossRef]
- McCaig, T.N.; Clarke, J.M. Breeding durum wheat in western Canada: Historical trends in yield and related variables. Can. J. Plant Sci. 1995, 75, 55–60. [Google Scholar] [CrossRef]
- McCaig, T.N.; DePauw, R.M. Breeding hard red spring wheat in western Canada: Historical trends in yield and related variables. Can. J. Plant Sci. 1995, 75, 387–393. [Google Scholar] [CrossRef]
- Setter, T.; Carlton, G. Germination vegetative reproductive growth. In The Wheat Book: Principles Practice; Anderson, W.K., Garlinge, J.R., Eds.; Department of Agriculture of Western Australia: Perth, Australia, 2000. [Google Scholar]
- Kirkegaard, J.A.; Lilley, J.M.; Howe, G.N.; Graham, J.M. Impact of subsoil water use on wheat yield. Aust. J. Agric. Res. 2007, 58, 303–315. [Google Scholar] [CrossRef]
- Passioura, J.B. Roots and drought resistance. Agric. Water Manag. 1983, 7, 265–280. [Google Scholar] [CrossRef]
- French, R.J.; Shultz, J.E. Water use efficiency of wheat in a Mediterranean-type environment. I. The relation between yield, water use and climate. Aust. J. Agric. Res. 1984, 35, 743–764. [Google Scholar] [CrossRef]
- Asseng, S.; Turner, N.C.; Keating, B.A. Analysis of water_and nitrogen-use efficiency of wheat in a Mediterranean climate. Plant Soil 2001, 233, 127–143. [Google Scholar] [CrossRef]
- Angus, J.F.; Nix, H.A.; Russell, J.S.; Kruizinga, J.E. Water use, growth and yield of wheat in a subtropical environment. Aust. J. Agric. Res. 1980, 31, 873–886. [Google Scholar] [CrossRef]
- Zhang, H.; Turner, N.; Poole, M.L. Water use of wheat, barley, canola, and lucerne in the high rainfall zone of south-western Australia. Aust. J. Agric. Res. 2005, 56, 743–752. [Google Scholar] [CrossRef]
- Oliver, Y.M.; Robertson, M.J.; Stone, P.J.; Whitbread, A.M. Improving estimates of water-limited yield of wheat by accounting for soil type and within-season rainfall. Crop Pasture Sci. 2009, 60, 1137–1146. [Google Scholar] [CrossRef]








| Rotation/Sequence † | 2007 | 2008 | 2009 | 2010 | Comment |
|---|---|---|---|---|---|
| CC/S1 | Oat | Barley | Barley | Wheat | Low crop diversity (continuous cereal) with maximum residue retention |
| CC/S2 | Barley | Barley | Oat | Wheat | |
| CC/S3 | Barley | Oat | Barley | Wheat | |
| FC | Wheat | Barley | Lupin | Wheat | Current farmer practice with low residue. Rotation of cereal/cereal/legume |
| Residue | Soil Temperature (°C) | Air Temperature (°C) | |||
|---|---|---|---|---|---|
| Standing | Horizontal | Maximum | Minimum | Maximum | Minimum |
| Bare soil | 25.8a ‡ | 11.1f | 24.1d | 10.7a | |
| 0.1 m | 0 t ha−1 | 24.8a | 12.0e | 26.8c | 9.6b |
| 0.2 m | 24.5ab | 12.6d | 27.4c | 8.9b | |
| 0.3 m | 23.5bc | 13.2c | 29.3b | 8.8b | |
| 0.1 m | 1 t ha−1 | 24.6a | 13.1cd | 26.7c | 9.4b |
| 0.2 m | 23.5bc | 13.2c | 28.7b | 8.3c | |
| 0.3 m | 23.7b | 14.1b | 29.3b | 7.3de | |
| 0.1 m | 4 t ha−1 | 22.2cd | 13.3c | 29.0b | 8.8b |
| 0.2 m | 21.5d | 13.9b | 29.6b | 8.1cd | |
| 0.3 m | 20.2e | 14.9a | 30.9a | 7.0e | |
| LSD (p < 0.05) † | 1.35 | 0.57 | 1.23 | 0.91 | |
| Stubble | Seed Yield (kg ha−1) | WUE (kg ha−1 mm−1) | HI | |
|---|---|---|---|---|
| Standing | Flat | |||
| Bare soil | 3400b ‡ | 7.8b | 0.38b | |
| 0.1 m | 0 t ha−1 | 3476b | 7.9b | 0.39b |
| 0.2 m | 3515b | 7.8b | 0.39b | |
| 0.3 m | 3332b | 7.4b | 0.39b | |
| 0.1 m | 1 t ha−1 | 3334b | 7.6b | 0.41b |
| 0.2 m | 3424b | 7.7b | 0.40b | |
| 0.3 m | 3990b | 8.9b | 0.40b | |
| 0.1 m | 4 t ha−1 | 3950b | 8.8b | 0.38b |
| 0.2 m | 4097b | 9.1b | 0.35b | |
| 0.3 m | 5943a | 12.6a | 0.53a | |
| LSD (p < 0.05) † | 1046.3 | 2.18 | 0.084 | |
| Wheat Component | Crop Sequence | Row Position | Mean Sequence | ||
|---|---|---|---|---|---|
| Windrow | Intermediate | Outer | |||
| Tillers m−2 | CC/S1 † | 742b ‡ | 687b | 590b | 673 |
| CC/S2 | 1138a | 754b | 712b | 868 | |
| CC/S3 | 720b | 672b | 630b | 674 | |
| FC | 804b | 698b | 666b | 723 | |
| Mean | 851 | 703 | 650 | 735 | |
| Spikes m−2 | CC/S1 | 244b | 206b | 198b | 216 |
| CC/S2 | 367a | 234b | 217b | 273 | |
| CC/S3 | 274b | 266b | 216b | 252 | |
| FC | 243b | 228b | 211b | 227 | |
| Mean | 282 | 234 | 211 | 242 | |
| Spikelets per spike | CC/S1 | 19.3b | 18.5b | 17.9b | 18.6 |
| CC/S2 | 37.7a | 19.7b | 18.1b | 25.2 | |
| CC/S3 | 19.7b | 15.7c | 14.7c | 16.7 | |
| FC | 22.5b | 18.6b | 17.2bc | 19.4 | |
| Mean | 24.8 | 18.1 | 17.0 | 20.0 | |
| Seed yield (kg ha−1) | CC/S1 | 528b | 430b | 370c | 439 |
| CC/S2 | 850a | 424b | 408b | 561 | |
| CC/S3 | 519b | 429b | 422b | 457 | |
| FC | 522b | 444b | 398bc | 455 | |
| Mean | 605 | 432 | 400 | 479 | |
| Water use efficiency (kg ha−1 mm−1) | CC/S1 | 4.5b | 3.7b | 3.2b | 3.8 |
| CC/S2 | 7.0a | 3.6b | 3.5b | 4.7 | |
| CC/S3 | 4.4b | 3.7b | 3.6b | 3.9 | |
| FC | 4.4b | 3.8b | 3.4b | 3.9 | |
| Mean | 5.1 | 3.7 | 3.4 | 4.1 | |
Disclaimer/Publisher’s Note: The statements, opinions and data contained in all publications are solely those of the individual author(s) and contributor(s) and not of MDPI and/or the editor(s). MDPI and/or the editor(s) disclaim responsibility for any injury to people or property resulting from any ideas, methods, instructions or products referred to in the content. |
© 2025 by the authors. Licensee MDPI, Basel, Switzerland. This article is an open access article distributed under the terms and conditions of the Creative Commons Attribution (CC BY) license (https://creativecommons.org/licenses/by/4.0/).
Share and Cite
Swella, G.; Ward, P.; Siddique, K.H.M.; Flower, K.C. Crop Residue Orientation Influences Soil Water and Wheat Growth Under Rainfed Mediterranean Conditions. Agronomy 2025, 15, 1285. https://doi.org/10.3390/agronomy15061285
Swella G, Ward P, Siddique KHM, Flower KC. Crop Residue Orientation Influences Soil Water and Wheat Growth Under Rainfed Mediterranean Conditions. Agronomy. 2025; 15(6):1285. https://doi.org/10.3390/agronomy15061285
Chicago/Turabian StyleSwella, George, Phil Ward, Kadambot H. M. Siddique, and Ken C. Flower. 2025. "Crop Residue Orientation Influences Soil Water and Wheat Growth Under Rainfed Mediterranean Conditions" Agronomy 15, no. 6: 1285. https://doi.org/10.3390/agronomy15061285
APA StyleSwella, G., Ward, P., Siddique, K. H. M., & Flower, K. C. (2025). Crop Residue Orientation Influences Soil Water and Wheat Growth Under Rainfed Mediterranean Conditions. Agronomy, 15(6), 1285. https://doi.org/10.3390/agronomy15061285

