Sign in to use this feature.

Years

Between: -

Subjects

remove_circle_outline
remove_circle_outline
remove_circle_outline
remove_circle_outline
remove_circle_outline
remove_circle_outline
remove_circle_outline
remove_circle_outline
remove_circle_outline

Journals

remove_circle_outline
remove_circle_outline
remove_circle_outline
remove_circle_outline
remove_circle_outline
remove_circle_outline

Article Types

Countries / Regions

remove_circle_outline
remove_circle_outline
remove_circle_outline
remove_circle_outline

Search Results (556)

Search Parameters:
Keywords = freeze–thaw durability

Order results
Result details
Results per page
Select all
Export citation of selected articles as:
16 pages, 3313 KB  
Article
Comparative Analysis of Freeze–Thaw Effects on the Parallel-to-Grain Compressive Properties of Bamboo and Chinese Fir
by Kang Zhao and Yang Wei
Buildings 2026, 16(2), 291; https://doi.org/10.3390/buildings16020291 - 9 Jan 2026
Viewed by 67
Abstract
To evaluate the application potential of bamboo in cold regions, this study systematically compared the differences in the effects of freeze–thaw cycles on the longitudinal compressive properties of moso bamboo (Phyllostachys edulis) and Chinese fir (Cunninghamia lanceolata). By subjecting [...] Read more.
To evaluate the application potential of bamboo in cold regions, this study systematically compared the differences in the effects of freeze–thaw cycles on the longitudinal compressive properties of moso bamboo (Phyllostachys edulis) and Chinese fir (Cunninghamia lanceolata). By subjecting the materials to 0, 5, and 10 standard freeze–thaw cycles, the evolution patterns were analyzed from three aspects: mechanical properties, failure modes, and apparent color. The results show that bamboo exhibits significantly superior freeze–thaw resistance: after 10 cycles, bamboo retained 95.4% of its compressive strength (decreasing from 50.2 MPa to 47.9 MPa), whereas the strength of Chinese fir decreased by 14.2% (from 46.7 MPa to 40.0 MPa). The elastic modulus of bamboo remained stable, while that of Chinese fir decreased by 30.86%. Load–displacement curves revealed that bamboo displayed a ductile plateau after failure, whereas Chinese fir exhibited a linear drop-off. Analysis of failure modes further highlighted the intrinsic differences between the materials: bamboo primarily underwent progressive buckling of fiber bundles, forming typical accordion-like folds; Chinese fir mainly showed brittle failures such as end crushing and longitudinal splitting. Color characterization indicated that the lightness index L of the bamboo outer skin (bamboo green) decreased by 26.1%, while the chromaticity indices a (red) and b* (yellow) increased significantly, showing the most notable changes; the color of Chinese fir and the bamboo inner skin (bamboo yellow) remained relatively stable. This study demonstrates that natural bamboo outperforms Chinese fir in terms of frost resistance, toughness, and strength retention in the short term. The findings provide important experimental evidence and design references for promoting the application of bamboo in engineering projects in cold regions. Full article
17 pages, 2799 KB  
Article
Development and Multi-Scale Evaluation of a Novel Polyfluorosilicone Triple-Layer Anti-Seepage Coating for Hydraulic Concrete
by Nazim Hussain, Guoxin Zhang, Songhui Li, Xunan Liu, Xiangyu Luo and Junhua Hu
Coatings 2026, 16(1), 85; https://doi.org/10.3390/coatings16010085 - 9 Jan 2026
Viewed by 150
Abstract
The deterioration of concrete hydraulic structures caused by chemical factors, seepage, and environmental stress necessitates advanced protective coatings that enhance durability, flexibility, and environmental sustainability. Conventional protective systems often exhibit limited durability under combined hydraulic, thermal, and chemical stress. In this study, a [...] Read more.
The deterioration of concrete hydraulic structures caused by chemical factors, seepage, and environmental stress necessitates advanced protective coatings that enhance durability, flexibility, and environmental sustainability. Conventional protective systems often exhibit limited durability under combined hydraulic, thermal, and chemical stress. In this study, a novel polyfluorosilicone-based coating system is presented, which integrates a deep-penetrating nano-primer for substrate reinforcement, a crack-bridging polymer intermediate layer for impermeability, and a polyfluorosilicone topcoat providing UV and weather resistance. The multilayer architecture addresses the inherent trade-offs between adhesion, flexibility, and durability observed in conventional waterproofing systems. Informed by a mechanistic study of interfacial adhesion and failure modes, the coating exhibits outstanding high mechanical and performance characteristics, including a mean pull-off bond strength of 4.56 ± 0.14 MPa for the fully cured triple-layer coating system, with cohesive failure occurring within the concrete substrate, signifying a bond stronger than the material it protects. The system withstood 2.2 MPa water pressure and 200 freeze–thaw cycles with 87.2% modulus retention, demonstrating stable mechanical and environmental durability. The coating demonstrated excellent resilience, showing no evidence of degradation after 1000 h of UV aging, 200 freeze–thaw cycles, and exposure to alkaline solutions. This water-based formulation meets green-material standards, with low volatile organic compound (VOC) levels and minimal harmful chemicals. The results validate that a multi-scale, layered design strategy effectively decouples and addresses the distinct failure mechanisms in hydraulic environments, providing a robust and sustainable solution. Full article
(This article belongs to the Section Functional Polymer Coatings and Films)
Show Figures

Figure 1

19 pages, 1487 KB  
Article
Valorizing Food Waste into Functional Bio-Composite Façade Cladding: A Circular Approach to Sustainable Construction Materials
by Olga Ioannou and Fieke Konijnenberg
Clean Technol. 2026, 8(1), 11; https://doi.org/10.3390/cleantechnol8010011 - 9 Jan 2026
Viewed by 111
Abstract
Façades account for approximately 15–20% of a building’s embodied carbon, making them a key target for material decarbonization. While bio-composites are increasingly explored for façade insulation, cladding systems remain dominated by carbon-intensive materials such as aluminum and fiber-reinforced polymers (FRPs). This paper presents [...] Read more.
Façades account for approximately 15–20% of a building’s embodied carbon, making them a key target for material decarbonization. While bio-composites are increasingly explored for façade insulation, cladding systems remain dominated by carbon-intensive materials such as aluminum and fiber-reinforced polymers (FRPs). This paper presents findings from a study investigating the use of food-waste-derived bulk fillers in bio-composite materials for façade cladding applications. Several food-waste streams, including hazelnut and pistachio shells, date seeds, avocado and mango pits, tea leaves, and brewing waste, were processed into fine powders (<0.125 μm) and combined with a furan-based biobased thermoset resin to produce flat composite sheets. The samples were evaluated through mechanical testing (flexural strength, stiffness, and impact resistance), water absorption, freeze–thaw durability, and optical microscopy to assess microstructural characteristics before and after testing. The results reveal substantial performance differences between waste streams. In particular, hazelnut and pistachio shell fillers produced bio-composites suitable for façade cladding, achieving flexural strengths of 62.6 MPa and 53.6 MPa and impact strengths of 3.42 kJ/m2 and 1.39 kJ/m2, respectively. These findings demonstrate the potential of food-waste-based bio-composites as low-carbon façade cladding materials and highlight future opportunities for optimization of processing, supply chains, and material design. Full article
(This article belongs to the Special Issue Selected Papers from Circular Materials Conference 2025)
Show Figures

Figure 1

13 pages, 2134 KB  
Article
Performance of Repair Mortars Composed of Calcium Sulfoaluminate and Amorphous Calcium Aluminate
by Seungtae Lee and Seho Park
Materials 2026, 19(2), 261; https://doi.org/10.3390/ma19020261 - 8 Jan 2026
Viewed by 87
Abstract
Extensive research has addressed concrete deterioration and its countermeasures; however, studies on responsive repair methods and materials remain comparatively limited and less systematic. In this study, six mixtures of repair mortars (RMs) were formulated using aluminate-based binders, specifically calcium sulfoaluminate (CSA) and amorphous [...] Read more.
Extensive research has addressed concrete deterioration and its countermeasures; however, studies on responsive repair methods and materials remain comparatively limited and less systematic. In this study, six mixtures of repair mortars (RMs) were formulated using aluminate-based binders, specifically calcium sulfoaluminate (CSA) and amorphous calcium aluminate (ACA) cements. The experiment evaluated the mechanical properties and freeze–thaw resistance of these mortars. To accelerate hydration, a controlled amount of anhydrite gypsum was incorporated into each mixture. The fluidity and setting time of fresh RMs were measured, whereas the compressive strength, flexural strength, and ultrasonic pulse velocity (UPV) of hardened RMs were evaluated at 1, 7, and 28 days. In addition, freeze–thaw resistance was assessed as per ASTM C666 by determining the relative dynamic modulus of elasticity. Additionally, the hydration products and microstructural characteristics of paste specimens were qualitatively analyzed. The mechanical performance, including strength and UPV, and freeze–thaw resistance of RMs containing ACA were superior to those of RMs containing CSA. In particular, compared to the CSA-containing specimens exposed to freeze–thaw action were significantly deteriorated, the ACA-containing specimens showed excellent resistance with relatively less cracking and spalling. This may imply that ACA is effective as rapid repair materials for concrete structures in cold regions. Microstructural observations revealed variations in hydration products depending on the aluminate binder employed, which significantly influenced the mechanical and durability properties of the RMs. These results may aid the selection of optimal repair materials for deteriorated concrete structures. Full article
(This article belongs to the Special Issue Eco-Friendly Intelligent Infrastructures Materials)
Show Figures

Figure 1

16 pages, 3968 KB  
Article
Flexural Performance of Pre-Cracked UHPC with Varying Fiber Contents and Fiber Types Exposed to Freeze–Thaw Cycles
by Dip Banik, Omar Yadak and Royce Floyd
J. Compos. Sci. 2026, 10(1), 5; https://doi.org/10.3390/jcs10010005 - 1 Jan 2026
Viewed by 294
Abstract
Ultra-high-performance concrete (UHPC) is an advanced cementitious composite material with high durability and the strength properties exceeding those of conventional concrete. This paper presents the results of experimental testing assessing the freeze–thaw durability of UHPC specimens with varying fiber types (13 mm straight [...] Read more.
Ultra-high-performance concrete (UHPC) is an advanced cementitious composite material with high durability and the strength properties exceeding those of conventional concrete. This paper presents the results of experimental testing assessing the freeze–thaw durability of UHPC specimens with varying fiber types (13 mm straight microfibers and 30 mm hooked-end fibers) and fiber percentages, as well as pre-existing cracks. The performance of all specimens was evaluated by measuring resonant frequency at intervals during testing and residual flexural strength after the completion of 350 freeze–thaw cycles. All specimens showed no degradation of resonant frequency over time. However, the pre-cracked specimens showed an increase in resonant frequency over the course of testing. The uncracked straight fibers specimens exposed to freeze–thaw cycles had the highest flexural strength, but the flexural resistance of the pre-cracked straight fibers specimens increased compared to the control specimens after 350 freeze–thaw cycles. The pre-cracked hooked fiber specimens showed higher first cracking strength and similar ultimate strength to the uncracked specimens after freeze–thaw exposure. Full article
Show Figures

Figure 1

23 pages, 4877 KB  
Article
Durability and Microstructural Evolution of PVA-Fiber-Reinforced Concrete Under Coupled Sulfate Attack and Freeze–Thaw Conditions
by Hairong Wu, Changhao Shen, Chenjie Lv, Yuzhou Sun, Songzhao Qu and Xiangming Zhou
Materials 2026, 19(1), 98; https://doi.org/10.3390/ma19010098 - 27 Dec 2025
Viewed by 338
Abstract
To address the engineering challenge of durability deterioration in concrete structures in the cold and saline regions in northern China, this study investigated PVA fiber-reinforced concrete under combined sulfate attack and freeze–thaw cycles using PVA fiber volume fractions (0%, 0.1%, 0.3%, 0.5%) and [...] Read more.
To address the engineering challenge of durability deterioration in concrete structures in the cold and saline regions in northern China, this study investigated PVA fiber-reinforced concrete under combined sulfate attack and freeze–thaw cycles using PVA fiber volume fractions (0%, 0.1%, 0.3%, 0.5%) and salt-freeze cycles (0, 25, 50, 75, 100, 125, 150 cycles) as key variables. By testing the mechanical and microscopic properties of the specimens after salt-freeze, the degradation law of macroscopic performance and the evolution mechanism of microscopic structure of PVA fiber concrete under different volume fractions are analyzed, and the salt-freeze damage evolution equation is established based on the loss rate of relative dynamic elastic modulus. The results show that the addition of PVA fibers has no significant inhibitory effect on the surface erosion of concrete, and the degree of surface spalling of concrete still increases with the increase in the number of salt-freeze cycles. With the increase in the number of salt-freezing cycles, the mass, relative dynamic elastic modulus and cube compressive strength of the specimens first increase and then decrease, while the splitting tensile strength continuously decreases. The volume fraction of 0.3% PVA fibers has the most significant effect on improving the cube compressive strength and splitting tensile strength of concrete, and at the same time, it allows concrete to reach its best salt-freezing resistance. PVA fibers contribute to a denser microstructure, inhibit the development of micro-cracks, delay the formation of erosion products, and enhance the salt-freezing resistance of concrete. The damage degree D of relative dynamic elastic modulus for PVA fiber concrete exhibits a cubic functional relationship with the number of salt-freeze cycles N, and the correlation coefficient R2 is greater than 0.88. The equation can accurately describe the damage and deterioration law of PVA fiber concrete in the salt-freeze coupling environment. In contrast to numerous studies on single-factor exposures, this work provides new insights into the degradation mechanisms and optimal fiber dose for PVA fiber concrete under the synergistic effect of combined sulfate and freeze-thaw attacks, a critical scenario for infrastructure in cold saline regions. This study can provide theoretical guidance for the durability assessment and engineering application of PVA fiber concrete in cold and saline regions. Full article
(This article belongs to the Section Construction and Building Materials)
Show Figures

Figure 1

42 pages, 15205 KB  
Article
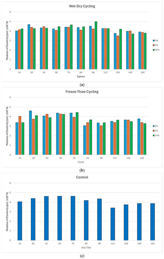
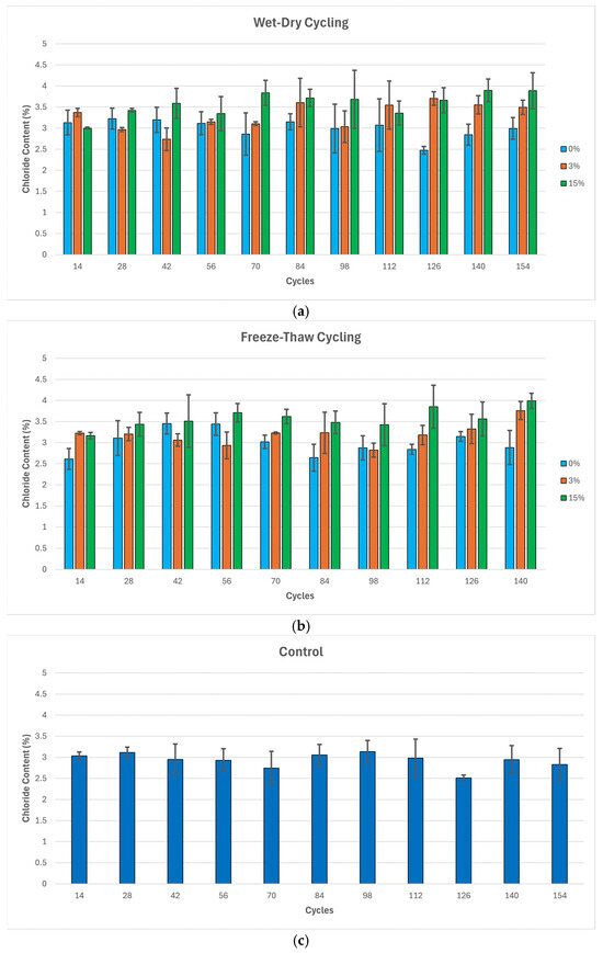
Deterioration Envelopes for Predicting Concrete Bridge-Deck Deterioration Due to Chloride Exposure
by Kenneth Olsen, Monique H. Head and Alemu M. Legese
Buildings 2026, 16(1), 132; https://doi.org/10.3390/buildings16010132 - 26 Dec 2025
Viewed by 224
Abstract
Bridge decks are exposed to chloride ingress from deicing salts, freeze–thaw cycling, and repeated wetting and drying, which gradually degrades the concrete over time. Many existing models treat concrete conditions as static and do not capture time-varying chloride exposure. This study develops deterioration [...] Read more.
Bridge decks are exposed to chloride ingress from deicing salts, freeze–thaw cycling, and repeated wetting and drying, which gradually degrades the concrete over time. Many existing models treat concrete conditions as static and do not capture time-varying chloride exposure. This study develops deterioration envelopes for concrete bridge decks to predict long-term loss of compressive strength and internal integrity by integrating accelerated laboratory wet–dry and freeze–thaw testing with in-service bridge-deck core measurements from Delaware bridges. The model is supported by three data sources: accelerated laboratory tests, cores from in-service bridges provided by the Delaware Department of Transportation (DelDOT), and climate and asset datasets from the National Oceanic and Atmospheric Administration (NOAA) and the Federal Highway Administration’s (FHWA) InfoBridge™ database. Laboratory specimens (n = 300) were reproduced based on Delaware mix designs from the 1970s and 1980s and were tested in accordance with ASTM and ACI protocols. Environmental conditioning applied wet–dry and freeze–thaw cycles at chloride contents of 0, 3, and 15 percent to replicate field exposure within a shortened test period. Measured properties included compressive strength, modulus of elasticity, resonance frequency, and chloride penetration. The results show a gradual, near-linear reduction in compressive strength and resonance frequency with increasing chloride content over 160 cycles, which corresponds to about 2 to 5 years of service exposure. Resonance frequency was the most sensitive indicator of internal damage across the tested chloride contents. By combining test results, core data, and bridge inspection history into a single durability index, the deterioration envelopes forecast long-term degradation under different chloride exposures, providing a basis for prediction that extends beyond visual inspection. Full article
(This article belongs to the Section Building Structures)
Show Figures

Figure 1

15 pages, 5732 KB  
Article
The Influence of Sand Ratio on the Freeze–Thaw Performance of Full Solid Waste Geopolymer Concrete
by Tong Qiu, Yuan Wen, Xinzhuo Yang, Jian Zhou, Xuan Gao and Xi Liu
Buildings 2026, 16(1), 76; https://doi.org/10.3390/buildings16010076 - 24 Dec 2025
Viewed by 216
Abstract
To clarify the effect of sand ratio on the freeze–thaw performance of full solid waste geopolymer concrete (FSWGC) and establish a constitutive model for its post-freeze–thaw mechanical behavior, FSWGC was prepared via alkali activation—using fly ash, slag, silica fume as cementitious materials, and [...] Read more.
To clarify the effect of sand ratio on the freeze–thaw performance of full solid waste geopolymer concrete (FSWGC) and establish a constitutive model for its post-freeze–thaw mechanical behavior, FSWGC was prepared via alkali activation—using fly ash, slag, silica fume as cementitious materials, and cold-bonded geopolymer lightweight aggregates (CBGLAs) and recycled sand as aggregates. With sand ratios (0.45, 0.55, 0.65) as the core variable, rapid freeze–thaw tests were conducted to measure mass loss, relative dynamic elastic modulus, mechanical properties, and axial compressive stress–strain characteristics of FSWGC. Results show that higher sand ratios significantly aggravate freeze–thaw damage: after 100 cycles, the 0.65 sand ratio specimen has a mass loss rate of 4.61% and a relative dynamic elastic modulus retaining only 34.4% of its initial value, with accelerated strength degradation. This is due to yjr weakened wrapping of recycled sand by cementitious materials, forming a weak interfacial transition zone. The modified Guo constitutive model for FSWGC, and the further established model considering freeze–thaw cycles, accurately describe the stress–strain curve of FSWGC before and after freeze–thaw. This study provides theoretical and experimental support for FSWGC mix optimization, durability design, and mechanical response calculation in cold regions. Full article
(This article belongs to the Section Building Materials, and Repair & Renovation)
Show Figures

Figure 1

20 pages, 6334 KB  
Article
g-C3N4/CeO2/Bi2O3 Dual Type-II Heterojunction Photocatalysis Self-Cleaning Coatings: From Spectral Absorption Modulation to Engineering Application Characterization
by Shengchao Cui, Run Cheng, Feng Sun, Huishuang Zhao, Hang Yuan, Qing Si, Mengzhe Ai, Weiming Du, Kan Zhou, Yantao Duan and Wenke Zhou
Nanomaterials 2026, 16(1), 16; https://doi.org/10.3390/nano16010016 - 22 Dec 2025
Viewed by 325
Abstract
To enhance the purification of exhaust gas, a g-C3N4/CeO2/Bi2O3 dual type-II heterojunction photocatalysis was designed and prepared to suppress the recombination of electron–hole pairs and improve light energy utilization. The dual type-II heterojunction structure [...] Read more.
To enhance the purification of exhaust gas, a g-C3N4/CeO2/Bi2O3 dual type-II heterojunction photocatalysis was designed and prepared to suppress the recombination of electron–hole pairs and improve light energy utilization. The dual type-II heterojunction structure effectively reduced the bandgap (Eg) from 2.5 eV to 2.04 eV, thereby extending the light absorption of photocatalysis into the visible region. Following the design of the heterojunction, a self-cleaning process was developed and applied to asphalt pavement rut plates to evaluate its efficiency in degrading vehicle exhaust under real-road conditions. The coating was systematically characterized in terms of exhaust degradation efficiency, hardness, adhesion, water resistance, freeze–thaw durability, and skid resistance. Under 60 min of natural light irradiation, the purification efficiencies for HC, CO, CO2, and NOx reached 22.60%, 19.27%, 14.83%, and 50.01%, respectively. After three-repetition tests, the efficiencies remained high at 21.75%, 19.04%, 14.66%, and 49.83%, demonstrating excellent photocatalytic stability. All other road-performance indicators met the relevant China national standards. The application of this self-cleaning coating in road infrastructure presents a viable strategy for environmental remediation in transportation systems. Full article
(This article belongs to the Special Issue Nanomaterials and Nanotechnology in Civil Engineering)
Show Figures

Figure 1

26 pages, 4342 KB  
Article
Experimental Study on the Damage Mechanism of Hybrid-Fiber-Reinforced Desert Sand Recycled Concrete Under Freeze–Thaw Cycles
by Yanlin Guan, Yaqiang Yang, Mohamed F. M. Fahmy, Yizhong Tan, Daochuan Zhou, Jianzhe Shi, Shanshan Yu and Chaoming Shen
Buildings 2025, 15(24), 4560; https://doi.org/10.3390/buildings15244560 - 17 Dec 2025
Viewed by 401
Abstract
With the continuous growth of the demand for concrete in infrastructure construction, natural aggregate resources have become increasingly scarce. The preparation of concrete using desert sand and recycled aggregates has emerged as an effective approach to achieving the sustainable development of building materials. [...] Read more.
With the continuous growth of the demand for concrete in infrastructure construction, natural aggregate resources have become increasingly scarce. The preparation of concrete using desert sand and recycled aggregates has emerged as an effective approach to achieving the sustainable development of building materials. However, desert sand recycled concrete still confronts critical durability-related challenges when exposed to freeze–thaw conditions. We examined how hybrid fibers (steel fibers and hybrid PP fibers) affect the mechanical performance and freeze–thaw durability of desert sand recycled aggregate concrete, along with the underlying mechanisms. Mechanical properties (compressive, splitting tensile, flexural strength) and freeze–thaw damage indicators (mass loss, dynamic elastic modulus) were tested. The findings indicated that at a 30% desert sand replacement ratio, the concrete achieved optimal initial mechanical properties. For the hybrid fibers group (F0.15-S0.5) with 0.15% hybrid PP fibers and 0.5% steel fibers incorporated, relative to the control group, its compressive strength rose by 31.6%, while mechanical property loss was notably mitigated after 125 freeze–thaw cycles. Freeze–thaw damage models based on the exponential function and the Aas-Jakobsen function were established. Microscopic analysis indicated that the fibers effectively suppressed crack propagation and interfacial transition zone (ITZ) damage. This research offers critical experimental evidence and theoretical frameworks for the application of fiber-reinforced desert sand recycled concrete in cold-climate regions. Full article
(This article belongs to the Special Issue The Latest Research on Building Materials and Structures)
Show Figures

Figure 1

13 pages, 787 KB  
Article
Comprehensive Investigation of the Mechanical and Durability Properties of High-Performance Concretes Containing CSA Cement
by Roman Jaskulski, Daria Jóźwiak-Niedźwiedzka and Maciej Banach
Appl. Sci. 2025, 15(24), 13227; https://doi.org/10.3390/app152413227 - 17 Dec 2025
Viewed by 283
Abstract
This study presents a comprehensive experimental evaluation of high-performance concretes incorporating calcium sulfoaluminate (CSA) cement as a partial replacement for ordinary Portland cement (OPC). Five CSA replacement levels (0, 15, 30, 45, and 60%) and two water-to-cement ratios (0.40 and 0.45) were examined [...] Read more.
This study presents a comprehensive experimental evaluation of high-performance concretes incorporating calcium sulfoaluminate (CSA) cement as a partial replacement for ordinary Portland cement (OPC). Five CSA replacement levels (0, 15, 30, 45, and 60%) and two water-to-cement ratios (0.40 and 0.45) were examined to assess their effects on mechanical performance and key durability parameters. The experimental program simultaneously investigated compressive strength, tensile splitting strength, water absorption, sorptivity, gas permeability, and freeze–thaw resistance, offering an integrated assessment rarely addressed in previous studies, which typically focus on selected parameters or narrower replacement ranges. The results show that CSA addition enhances microstructural densification, substantially reducing sorptivity and gas permeability and markedly improving freeze–thaw performance even without air entrainment. High CSA contents (45–60%) yielded superior transport-related durability while maintaining competitive 28-day strengths, especially for w/c = 0.40. These findings clarify the interplay between CSA content, transport properties, and frost resistance, highlighting CSA–OPC hybrid binders as a durable and sustainable solution for high-performance concrete applications. Full article
Show Figures

Figure 1

33 pages, 22741 KB  
Review
Microscopic Deterioration Mechanism and Different Reinforcement Methods of Concrete Under Freeze–Thaw Environment: A Review
by Wenlong Niu, Tiesheng Dou, Meng Li and Shifa Xia
Processes 2025, 13(12), 4064; https://doi.org/10.3390/pr13124064 - 16 Dec 2025
Viewed by 307
Abstract
In cold regions, concrete is inevitably subjected to freeze–thaw (F–T) damage, where repeated water–ice phase transitions progressively erode its microstructure and shorten its service life. Compared with the abundant research focusing on macroscopic performance degradation, systematic summaries addressing the microstructural evolution of pores, [...] Read more.
In cold regions, concrete is inevitably subjected to freeze–thaw (F–T) damage, where repeated water–ice phase transitions progressively erode its microstructure and shorten its service life. Compared with the abundant research focusing on macroscopic performance degradation, systematic summaries addressing the microstructural evolution of pores, cracks, and the interfacial transition zone (ITZ), as well as corresponding prevention measures, remain limited. This paper reviews studies from 2013 to 2025, outlining key deterioration mechanisms under F–T action, including pore coarsening, ITZ weakening, and microcrack propagation. Four frost resistance enhancement strategies are compared: introducing stable microbubbles, refining the pore structure with pozzolanic or nano admixtures, bridging cracks with fibers, and applying hydrophobic treatments to block water ingress. The findings indicate that combining multiple measures yields superior frost resistance. By integrating microstructural observations with engineering improvement approaches, this review provides a holistic perspective for the design of durable concrete in cold regions and highlights the need for further research on multi-factor coupling mechanisms, optimization of composite admixture systems, and the functional mechanisms of novel nanomaterials. Full article
(This article belongs to the Section Materials Processes)
Show Figures

Figure 1

44 pages, 16029 KB  
Review
Research Progress on the Preparation and Performance of Recycled Mortars Using Solid Waste-Based Cementitious Materials
by Yanjiao Gao, Jiale Chen, Qing Li, Tian Su, Meng Li, Bangxiang Li and Xuefeng Mei
Coatings 2025, 15(12), 1483; https://doi.org/10.3390/coatings15121483 - 16 Dec 2025
Viewed by 444
Abstract
Solid waste-based cementitious materials (SWCMs) represent an innovative class of binders derived mainly from construction and demolition waste as well as industrial byproducts. Their application in recycled mortar offers a promising pathway to partially replace conventional cement, thereby advancing resource recycling and facilitating [...] Read more.
Solid waste-based cementitious materials (SWCMs) represent an innovative class of binders derived mainly from construction and demolition waste as well as industrial byproducts. Their application in recycled mortar offers a promising pathway to partially replace conventional cement, thereby advancing resource recycling and facilitating a low-carbon transition in the cement industry. This review systematically examines the properties, activation techniques, strength development, and corrosion resistance of recycled mortar prepared with SWCMs. Recycled powder (RP) and industrial solid waste have gelation potential, but their low reactivity requires activation treatment to enhance utilization efficiency. Activation methods, including thermal activation, carbonation, and alkali activation, effectively enhance reactivity and promote the formation of dense gel structures (e.g., C-(A)-S-H, N-A-S-H). While low replacement ratios optimize pore structure via the microfiller effect, higher ratios introduce excessive inert components, impairing mechanical properties. SWCMs demonstrate superior resistance to sulfate and chloride attacks, but their acid resistance is relatively limited. They also have excellent freeze–thaw resistance. SWCMs represent a viable and sustainable alternative to conventional cement, exhibiting commendable mechanical and durability properties when properly activated and formulated, thereby contributing to resource recycling and environmental sustainability in the cement industry. Full article
Show Figures

Figure 1

38 pages, 967 KB  
Review
Environmentally Sustainable and Climate-Adapted Bitumen–Composite Materials for Road Construction in Central Asia
by Gulbarshin K. Shambilova, Rinat M. Iskakov, Nurgul K. Shazhdekeyeva, Bayan U. Kuanbayeva, Mikhail S. Kuzin, Ivan Yu. Skvortsov and Igor S. Makarov
Infrastructures 2025, 10(12), 345; https://doi.org/10.3390/infrastructures10120345 - 12 Dec 2025
Viewed by 605
Abstract
This review examines scientific and engineering strategies for adapting bituminous and asphalt concrete materials to the highly diverse climates of Central Asia. The region’s sharp gradients—from arid lowlands to cold mountainous zones—expose pavements to thermal fatigue, photo-oxidative aging, freeze–thaw cycles, and wind abrasion. [...] Read more.
This review examines scientific and engineering strategies for adapting bituminous and asphalt concrete materials to the highly diverse climates of Central Asia. The region’s sharp gradients—from arid lowlands to cold mountainous zones—expose pavements to thermal fatigue, photo-oxidative aging, freeze–thaw cycles, and wind abrasion. Existing climatic classifications and principles for designing thermally and radiatively resilient pavements are summarized. Special emphasis is placed on linking binder morphology, rheology, and climate-induced transformations in composite bituminous systems. Advanced characterization methods—including dynamic shear rheometry (DSR), multiple stress creep recovery (MSCR), bending beam rheometry (BBR), and linear amplitude sweep (LAS), supported by FTIR, SEM, and AFM—enable quantitative correlations between phase composition, oxidative chemistry, and mechanical performance. The influence of polymeric, nanostructured, and biopolymeric modifiers on stability and durability is critically assessed. The review promotes region-specific material design and the use of integrated accelerated aging protocols (RTFOT, PAV, UV, freeze–thaw) that replicate local climatic stresses. A climatic rheological profile is proposed as a unified framework combining climate mapping with microstructural and rheological data to guide the development of sustainable and durable pavements for Central Asia. Key rheological indicators—complex modulus (G*), non-recoverable creep compliance (Jnr), and the BBR m-value—are incorporated into this profile. Full article
Show Figures

Figure 1

36 pages, 9055 KB  
Article
Assessing the Eco-Efficiency of High Recycled Content Pavement Solutions: An Evaluation of the Mechanical, Durability, and Environmental Impacts
by Anber Abraheem Shlash Mohammad, Suleiman Ibrahim Mohammad, Badrea Al Oraini, Sultan Alaswad Alenazi, Asokan Vasudevan and Omid Hassanshahi
J. Compos. Sci. 2025, 9(12), 692; https://doi.org/10.3390/jcs9120692 - 12 Dec 2025
Viewed by 360
Abstract
The growing demand for sustainable pavement materials has increased interest in using recycled concrete aggregate (RCA) as a substitute for natural aggregates. However, the mechanical, durability, and environmental performance of roller-compacted concrete pavement (RCCP) incorporating very high RCA contents (≥75%) remains poorly understood, [...] Read more.
The growing demand for sustainable pavement materials has increased interest in using recycled concrete aggregate (RCA) as a substitute for natural aggregates. However, the mechanical, durability, and environmental performance of roller-compacted concrete pavement (RCCP) incorporating very high RCA contents (≥75%) remains poorly understood, particularly when combined with hybrid steel fiber reinforcement. This knowledge gap limits the practical adoption of high-RCA RCCP in infrastructure applications. To address this gap, this study investigates the eco-efficiency of RCCP produced with 75% RCA and different steel fiber systems, including industrial (ISF), recycled (RSF), and hybrid (HSF) combinations. Mechanical performance was evaluated through compressive, tensile, and flexural testing, while freeze–thaw durability was assessed under extended cyclic exposure. Environmental impacts were quantified through a cradle-to-gate life cycle assessment (LCA), and a multi-criteria decision analysis (MCDA) was applied to integrate mechanical, durability, and environmental indicators. The findings show that although high-RCA mixtures exhibit reduced mechanical performance due to weaker interfacial bonding, HSF reinforcement effectively mitigates these drawbacks, enhancing toughness and improving freeze–thaw resistance. The LCA results indicate that replacing natural aggregates and industrial fibers with RCA and RSF substantially reduces environmental burdens. MCDA rankings further identify HSF-reinforced high-RCA mixtures as the most balanced and eco-efficient configurations. Overall, the study demonstrates that hybrid steel fibers enable the development of durable, low-carbon, and high-RCA RCCP, providing a viable pathway toward circular and sustainable pavement construction. Full article
(This article belongs to the Section Composites Applications)
Show Figures

Figure 1

Back to TopTop