Sign in to use this feature.

Years

Between: -

Subjects

remove_circle_outline
remove_circle_outline
remove_circle_outline
remove_circle_outline
remove_circle_outline
remove_circle_outline
remove_circle_outline
remove_circle_outline
remove_circle_outline

Journals

remove_circle_outline
remove_circle_outline
remove_circle_outline
remove_circle_outline
remove_circle_outline
remove_circle_outline
remove_circle_outline

Article Types

Countries / Regions

remove_circle_outline
remove_circle_outline
remove_circle_outline
remove_circle_outline
remove_circle_outline
remove_circle_outline

Search Results (1,098)

Search Parameters:
Keywords = forest farming

Order results
Result details
Results per page
Select all
Export citation of selected articles as:
19 pages, 2356 KB  
Article
Rooting for Words: An Analysis of Agroforestry Terminology in U.S. Forest Action Plans
by Kianie B. David and Lord Ameyaw
Land 2026, 15(3), 507; https://doi.org/10.3390/land15030507 (registering DOI) - 21 Mar 2026
Abstract
Forest Action Plans (FAPs) are strategic documents guiding forest management across the United States (U.S.), yet agroforestry terminology is used inconsistently within these plans. This study analyzed 50 state FAPs to assess how agroforestry practices are communicated. Using a predetermined list of 29 [...] Read more.
Forest Action Plans (FAPs) are strategic documents guiding forest management across the United States (U.S.), yet agroforestry terminology is used inconsistently within these plans. This study analyzed 50 state FAPs to assess how agroforestry practices are communicated. Using a predetermined list of 29 terms, including the five main agroforestry practices in the U.S. (alley cropping, forest farming, riparian forest buffers, silvopasture, and windbreaks), a descriptive content analysis was conducted, examining the frequency of agroforestry terms and their associated terms across all states. Results revealed wide variation in FAP document page length and regional differences in terminology usage. FAPs ranged from about 15–681 pages and the Midwestern (Great Plains) states demonstrated the highest frequency of agroforestry term mentions. Among the five main agroforestry practices, riparian forest buffers were mentioned most frequently (437 times across 44 states), while alley cropping and forest farming appeared in only two states. Notably, some states with established agroforestry traditions and practices showed minimal explicit agroforestry term usage in their FAPs. These findings highlight the need for clearer guidance within FAPs to improve the consistency and visibility of agroforestry terminology in the U.S. This analysis establishes a benchmark for understanding how agroforestry is communicated in FAPs and offers guidance for future research and FAP writing cycles beyond the current 2025–2026 updates. Full article
19 pages, 1890 KB  
Article
PolSAR Forest Height Inversion Based on Multi-Class Feature Fusion
by Bing Zhang, Jinze Li, Jichao Zhang, Dongfeng Ren, Weidong Song, Jianjun Zhu and Cui Zhou
Remote Sens. 2026, 18(6), 946; https://doi.org/10.3390/rs18060946 (registering DOI) - 20 Mar 2026
Abstract
Forest height is a key structural parameter for characterizing forest architecture and estimating carbon storage. However, under complex terrain and heterogeneous forest conditions, Polarimetric synthetic aperture radar (PolSAR)-based forest height inversion using multi-category features still faces several challenges, including feature redundancy, insufficient characterization [...] Read more.
Forest height is a key structural parameter for characterizing forest architecture and estimating carbon storage. However, under complex terrain and heterogeneous forest conditions, Polarimetric synthetic aperture radar (PolSAR)-based forest height inversion using multi-category features still faces several challenges, including feature redundancy, insufficient characterization of the nonlinear couplings among high-dimensional features by deep learning models, and the difficulty of jointly achieving model stability and interpretability. In this paper, to address these issues, we propose a method for SHapley Additive exPlanations (SHAP) interpretability-driven PolSAR forest height inversion based on deep learning and multi-category feature fusion. Firstly, a deep neural network (DNN) is constructed, and SHAP is introduced to interpret the model decision process, enabling the identification of key feature interactions with clear physical significance and guiding the iterative model optimization in an explainability-driven manner. Furthermore, a SHAP-guided feature attention DNN is developed, in which the feature contribution scores are incorporated as prior knowledge for attention weight initialization, thereby establishing a closed-loop modeling framework from “interpretation” to “optimization”. Experiments were conducted at the site of the Huangfengqiao forest farm, Youxian County, Hunan province, China, using ALOS-2 L-band fully polarimetric SAR imagery. The experimental results demonstrated that the proposed method can significantly outperform the conventional machine learning approaches and various deep learning architectures for forest height inversion. The final model achieved a coefficient of determination (R2) score of 0.75 and a root-mean-square error (RMSE) of 1.35 m on the test dataset. These findings indicate that the combination of SHAP-driven multi-category feature fusion and deep learning can effectively enhance both the inversion accuracy and physical interpretability, providing a reliable solution for PolSAR-based forest structural parameter retrieval at the Huangfengqiao study site, with potential applicability to complex terrain conditions. Full article
Show Figures

Figure 1

21 pages, 6278 KB  
Article
Vegetation Restoration Significantly Improved Soil Aggregate Stability in the East Qinling Mountains
by Xiaoming Xu, Yutong Xiao, Tao Huang, Xiaogang Li, Jiarong Zhang, Mingxu Gan and Yunpeng Xu
Agronomy 2026, 16(6), 657; https://doi.org/10.3390/agronomy16060657 - 20 Mar 2026
Abstract
Although plant restoration is essential for improving soil structure and stability, there are still few systematic assessments of its impacts across various restored vegetation species, especially in environmentally sensitive areas like the East Qinling Mountains. In order to provide a scientific foundation for [...] Read more.
Although plant restoration is essential for improving soil structure and stability, there are still few systematic assessments of its impacts across various restored vegetation species, especially in environmentally sensitive areas like the East Qinling Mountains. In order to provide a scientific foundation for optimizing restoration tactics and enhancing soil erosion control and ecosystem services in the area, this study attempts to assess the impacts of different recovered plant types on soil aggregate stability and to clarify the underlying mechanisms. The Pinus tabuliformis Carrière, Quercus variabilis Blume, Robinia pseudoacacia L., Pinus tabulaeformis-Quercus variabilis mixed forest, Platycladus orientalis (L.) Franco and abandoned grassland were the six vegetation types represented by the sixteen plots. Farmland was used as a control. Soil samples were taken from three depths (0–5 cm, 5–20 cm, and 20–40 cm) and evaluated for root biomass, soil organic matter (SOM), and water-stable aggregate dispersion. Mean weight diameter (MWD), fractal dimension (D), macroaggregate content of diameter > 0.25 mm (R0.25), and percentage of aggregate disruption (PAD) were used to evaluate aggregate stability. One-way ANOVA, LSD multiple comparisons, and Spearman correlation analysis were among the statistical analyses. In comparison to grassland and farming, forested regions, particularly mixed forests, showed considerably higher proportions of macroaggregates (>0.25 mm) and superior aggregate stability (higher MWD and R0.25, lower D and PAD). Increased litter and coarse root inputs, which encouraged big water-stable aggregates (WSAs) and reinforced their positive connection with SOM, were the driving forces behind this development. Robinia pseudoacacia L. and Platycladus orientalis (L.) Franco displayed the highest SOM concentration and root biomass (1201.45 and 679.66 g/m2, respectively). At all depths, mixed forests showed the most stable soil structure. In contrast to agriculture, vegetation restoration dramatically changed the mechanical composition of the soil, increasing the differentiation of particle-size fractions across soil layers and decreasing the amount of surface clay. Soil aggregate stability is greatly enhanced by vegetation restoration, with mixed forests offering the greatest advantages because of their varied root systems and increased input of organic matter. These results emphasize how crucial it is to choose the right vegetation types for restoration efforts in order to improve soil structure, reduce erosion, and promote ecological sustainability in the East Qinling Mountains. Full article
(This article belongs to the Special Issue Advances in Soil Management and Ecological Restoration)
Show Figures

Figure 1

28 pages, 9709 KB  
Article
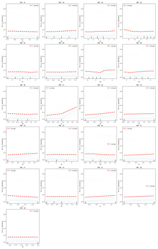
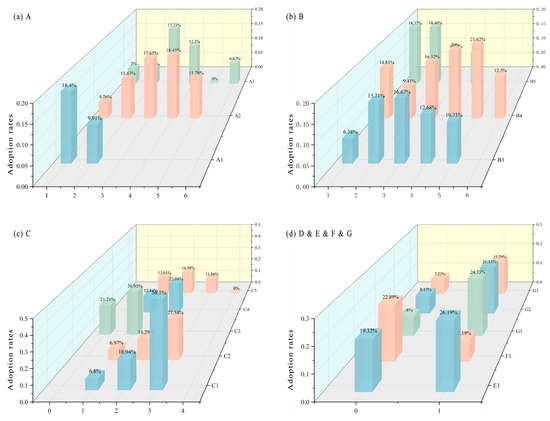
A Study on Nonlinear Characteristics and Interaction Effects in Farmers’ Adoption of Agricultural Technologies Based on an Improved Technology Acceptance Model and Explainable Artificial Intelligence
by Ke Huang, Caoxin Chen, Hongyu Wu, Yi Su, Xiaoting Wu, Bo Huang and Jiangjun Wan
Agriculture 2026, 16(6), 678; https://doi.org/10.3390/agriculture16060678 - 17 Mar 2026
Viewed by 112
Abstract
Against the backdrop of China’s rural revitalization, understanding the factors influencing farmers’ agricultural technology adoption behavior is crucial for enhancing such adoption. Therefore, exploring the decision-making logic behind farmers’ agricultural technology adoption behavior is of paramount importance. This study, conducted among 482 typical [...] Read more.
Against the backdrop of China’s rural revitalization, understanding the factors influencing farmers’ agricultural technology adoption behavior is crucial for enhancing such adoption. Therefore, exploring the decision-making logic behind farmers’ agricultural technology adoption behavior is of paramount importance. This study, conducted among 482 typical farming households in the Chengdu Plain of Sichuan Province, China, introduced the Random Forest (RF) algorithm into an Improved TAM. Combined with SHAP and PDP techniques, it identified 21 influencing factors and their nonlinear interaction mechanisms. Key findings include the following: (1) Adoption rates stood at only 14.3%, exhibiting a pronounced “advantage-oriented” pattern favoring male farmers, middle-aged/young adults, and higher-income groups; (2) Level of agricultural production tools and technology (C1) and Agricultural product sales channels (C2) emerged as core drivers, with C1 presenting a significant “technology threshold effect”—adoption probability surged from 0.1 to over 0.35 during intelligent technology transitions; (3) Monthly household income level (B4) effectively mitigates risk aversion among elderly farmers, revealing the critical role of Age (A2) in decision-making and enabling a complementary relationship between experience and technology; (4) Self-learning and training proficiency in agricultural technology (F1) reflects that excessive technological complexity triggers resistance and blocks adoption, while Highest educational attainment in the household (B1) and Number of educated family members (B2) exhibit nonlinear peak characteristics influenced by “brain drain” due to labor migration. These findings not only expand the theoretical application of machine learning in studying farmer behavior but also provide granular insights for overcoming the “last mile” bottleneck in agricultural technology dissemination. Full article
Show Figures

Figure 1

24 pages, 6619 KB  
Article
Spatial Correlation Between Invasive Plant Distribution and Land Use Dynamics in Forest-Dominated Mountain Landscapes of Southwestern China
by Zhongjian Deng, Shengyue Sun, Ende Liu, Haohua Jia and Xiangdong Feng
Agriculture 2026, 16(6), 667; https://doi.org/10.3390/agriculture16060667 - 14 Mar 2026
Viewed by 171
Abstract
Global high-mountain ecosystems are increasingly subjected to intensified anthropogenic disturbances, which facilitate the spread of invasive alien plants and threaten agricultural sustainability and ecological security. Using Laojun Mountain in Yunnan as the study area, this research investigates the relationship between the distribution patterns [...] Read more.
Global high-mountain ecosystems are increasingly subjected to intensified anthropogenic disturbances, which facilitate the spread of invasive alien plants and threaten agricultural sustainability and ecological security. Using Laojun Mountain in Yunnan as the study area, this research investigates the relationship between the distribution patterns of invasive plants and land-use changes, based on data from 38 transect surveys conducted in 2023 and 30-m-resolution land-use data spanning 2003–2023. The analysis incorporates a random forest model and a land-use transition matrix. The key findings are as follows: (1) Variable importance analysis revealed elevation as the most critical factor influencing invasion occurrence (mean decrease in Gini index: 8.0), followed by slope, aspect, and land-use type. (2) Cultivated land exhibited the highest probability of invasion, with high-risk areas (>0.8) concentrated in agricultural zones in the central-southern and northeastern regions. (3) From 2003 to 2023, cultivated land increased by a net area of 20.85 km2, primarily due to conversion from forests (19.57 km2) and grasslands, while grassland area decreased by 24.70 km2. This study concludes that agricultural expansion has intensified habitat fragmentation and anthropogenic disturbances, creating favorable conditions for invasive plant establishment. It is recommended that invasive species monitoring and ecological restoration efforts be strengthened in agroforestry transition zones to enhance landscape resilience against biological invasions. Full article
(This article belongs to the Section Ecosystem, Environment and Climate Change in Agriculture)
Show Figures

Figure 1

21 pages, 1866 KB  
Article
Landowner Awareness, Participation, and Satisfaction in Watershed Stewardship Programs: A Diffusion of Innovations Lens
by Anusha Lamsal, René H. Germain, Eddie Bevilacqua and Kristopher Brown
Forests 2026, 17(3), 361; https://doi.org/10.3390/f17030361 - 13 Mar 2026
Viewed by 121
Abstract
Watershed stewardship programs succeed when intended users progress from awareness to participation. This study applies diffusion of innovations theory to five forestry, agricultural, and economic viability programs administered by the Watershed Agricultural Council in the New York City watershed. These five programs are [...] Read more.
Watershed stewardship programs succeed when intended users progress from awareness to participation. This study applies diffusion of innovations theory to five forestry, agricultural, and economic viability programs administered by the Watershed Agricultural Council in the New York City watershed. These five programs are voluntary and intended to support water quality and community vitality on working lands. A survey of nonindustrial private farm and forest landowners measured awareness, participation, and satisfaction across the watershed programs. Awareness was limited and participation was rare, yet nearly all participants reported high satisfaction, indicating an entry bottleneck at the awareness-to-participation stage. Logistic regression and generalized estimating equations models showed higher participation among landowners with larger acreage. The study recommends strengthening existing extension and outreach to better communicate programs’ relative advantages and increase observability through peer examples and targeted messaging to improve enrollment among eligible landowners. Full article
(This article belongs to the Section Forest Economics, Policy, and Social Science)
Show Figures

Figure 1

19 pages, 1527 KB  
Article
Recovery of the White-Tailed Eagle Population in the Republic of Moldova: A Step Forward in Biodiversity Conservation
by Mihail Ghilan, Vitalie Ajder, Silvia Ursul and Emanuel Ștefan Baltag
Sustainability 2026, 18(6), 2722; https://doi.org/10.3390/su18062722 - 11 Mar 2026
Viewed by 624
Abstract
In healthy ecosystems, large raptors such as the White-tailed Eagle perform the essential roles of predators, bioindicators, and umbrella species. Despite their importance, many species of raptors are globally endangered, and similarly, in the Republic of Moldova, 13 species of diurnal birds of [...] Read more.
In healthy ecosystems, large raptors such as the White-tailed Eagle perform the essential roles of predators, bioindicators, and umbrella species. Despite their importance, many species of raptors are globally endangered, and similarly, in the Republic of Moldova, 13 species of diurnal birds of prey went extinct in the last 7 decades. The White-tailed Eagle (Haliaeetus albicilla) is the only example of a raptor that has regionally made a demographic and distributional comeback after decades of absence. Following this comeback, a national monitoring scheme during 2014–2025, including a nest counting survey in 2022–2024, has been implemented to understand what the current national situation of the species is and its ecological preferences and threats, together with the fundamental ecological context that allowed the breeding population to adapt to an ever-changing landscape. Field research conducted over 12 years confirmed the breeding of eight pairs, with data indicating a minimum of 19–23 nesting pairs. Pairs generally avoid human-dominated landscapes, preferring higher coverage of wetlands and forests, but current data suggests frequent occupancy of suboptimal territories and increasing tolerance towards human activity and infrastructure. Although currently small, the breeding population experiences high breeding success with no negative outcomes recorded. However, droughts and forestry activities in the proximity of the nests potentially reduced and delayed breeding success. Current forestry and fish farming practices increase the vulnerability of the few known breeding pairs to habitat degradation, poaching, and deforestation. To improve the conservation status of this endangered raptor in the Republic of Moldova, as close as possible to Least Concern status, it is crucial to implement multi-purpose buffer zones around active nests during the breeding season and to further survey the breeding population and assess any demographic trends. Full article
Show Figures

Figure 1

21 pages, 1792 KB  
Article
Nitrogen and Sulfur Cycling in Diverse Farm Ages and Ecological Zones Under Agricultural Expansion
by Dora Neina, Eunice Agyarko-Mintah and Sibylle Faust
Agriculture 2026, 16(6), 637; https://doi.org/10.3390/agriculture16060637 - 10 Mar 2026
Viewed by 241
Abstract
Background: Agriculture degrades soils, affects the delivery of ecosystem services, and contributes to climate change. Methods: This research examined nitrogen and sulfur recycling in soils under cropland expansion in Ghana at (a) reconnaissance scale in northern Guinea savannah (NGS), southern Guinea [...] Read more.
Background: Agriculture degrades soils, affects the delivery of ecosystem services, and contributes to climate change. Methods: This research examined nitrogen and sulfur recycling in soils under cropland expansion in Ghana at (a) reconnaissance scale in northern Guinea savannah (NGS), southern Guinea savannah (SGS), forest–savannah transition (FST), and semi-deciduous forest (SDF) agro-ecological zones (AEZs), and (b) farm level in rain Forest and the FST AEZs based on “duration of cultivation”. Fresh soils (20 cm depth) were incubated for 28 days at 28 °C, followed by the determination of mineralized nitrogen and sulfur at 14 and 28 days using standard methods. Results: Low nitrogen and sulfur contents led to predominant nitrogen and minor sulfur immobilizations, particularly in FST and savannah AEZs. Microbial biomass and pedogenic Fe controlled much of the nitrogen immobilization. At the farm level, dithionite Al and soil pH controlled nitrogen immobilization, particularly in relatively older farms, being pronounced in forest-related AEZs. Conclusions: Although the study is laboratory-based, it highlights the severe nature of soil degradation (SD) under cropland expansion in regions prone to poor nutrient budgets. Therefore, it calls for drastic measures to halt SD by adopting ecozone- and climate-driven sustainable soil management and agricultural systems. Full article
Show Figures

Figure 1

31 pages, 9020 KB  
Article
Abnormal Data Identification and Cleaning Techniques for Wind Turbine Systems
by Qianneng Zhang, Zhiya Xiao, Haidong Zhang, Xiao Yang, Hamidreza Arasteh, Linjie Zhu, Josep M. Guerrero and Daogui Tang
Energies 2026, 19(5), 1283; https://doi.org/10.3390/en19051283 - 4 Mar 2026
Viewed by 213
Abstract
The quality of wind power output data directly impacts the assessment of wind farm operational status and the accuracy of power forecasting models. However, due to factors such as sensor precision, communication interference, and the complex harbor environment, raw data collected from port-area [...] Read more.
The quality of wind power output data directly impacts the assessment of wind farm operational status and the accuracy of power forecasting models. However, due to factors such as sensor precision, communication interference, and the complex harbor environment, raw data collected from port-area wind turbines often contain noise, outliers, and missing values. Without effective cleaning, the resulting power curves can be distorted, reducing the generalization capability of predictive models. To overcome the limitations of traditional outlier detection methods in terms of adaptability and robustness, this study proposes a two-stage port-area wind power data cleaning approach based on dynamic interquartile range and an improved Sigmoid function fitting. In the first stage, an adaptive binning and density-weighting mechanism dynamically expands the interquartile range to identify and remove local outliers across different wind speed intervals. In the second stage, the cleaned wind speed–power data are subjected to secondary fitting and residual analysis using an improved Sigmoid model to detect hidden anomalies and boundary-type outliers. Using measured data from the #1 WT in the Chuanshan Port area as a case study, the experimental results demonstrate that the proposed method achieves high data retention while outperforming the conventional interquartile range, density-based spatial clustering of applications with noise and isolation forest algorithms in terms of the Pearson correlation coefficient (r = 0.93) and the coefficient of determination (R2 = 0.89), with mean squared error and root mean squared error reduced to 446.39 kW and 545.58 kW, respectively. The findings verify the efficiency, stability, and practical feasibility of the method for port-area wind power data cleaning, providing a reliable data foundation for wind power forecasting and operational optimization in port environments. Full article
(This article belongs to the Section A3: Wind, Wave and Tidal Energy)
Show Figures

Figure 1

39 pages, 3138 KB  
Article
Sustainability at Crossroads: The Interplay of Ethnic Diversity, Livelihoods, and Natural Resource Management in Enclave Villages of Lake Malawi National Park
by Yasuko Kusakari, Placid Mpeketula, James Banda, Talandila Kasapila, John Matewere and Tetsu Sato
Sustainability 2026, 18(5), 2405; https://doi.org/10.3390/su18052405 - 2 Mar 2026
Viewed by 702
Abstract
The enclave villages of Lake Malawi National Park (LMNP) are human settlements within a World Natural Heritage landscape. While social heterogeneity has been widely discussed in social–ecological systems (SES) scholarship, ethnic diversity has often remained analytically implicit. This study makes ethnic diversity central [...] Read more.
The enclave villages of Lake Malawi National Park (LMNP) are human settlements within a World Natural Heritage landscape. While social heterogeneity has been widely discussed in social–ecological systems (SES) scholarship, ethnic diversity has often remained analytically implicit. This study makes ethnic diversity central to analysis by examining how it shapes livelihoods, resource use, and governance across enclave villages. Drawing on an integrated household survey, key informant interviews, and extended field observations, and informed by collaboration theory, the SES framework, and scholarship on social differentiation, the analysis shows that ethnic diversity facilitates exchanges of fishing techniques, farming skills, ecological knowledge, and market linkages, producing plural and seasonally adaptive livelihood portfolios. Households routinely combine fishing, agriculture, tourism, petty trade, and forest use, contributing to diversified resource use. However, pressures on fish stocks, forest resources, and agricultural land highlight the need for more inclusive co-management. Emerging community-based institutions and collaborative initiatives increasingly facilitate coordination, rule-making, and shared stewardship. Overall, the findings identify practical and conceptual entry points through which ethnic diversity, ecological knowledge, and adaptive livelihoods can jointly support more resilient and inclusive pathways for sustainability at the crossroads of resource-dependent livelihoods and conservation, offering insights for socially diverse human–nature landscapes. Full article
Show Figures

Figure 1

10 pages, 847 KB  
Proceeding Paper
Enhancing Precision Farming Security Through IoT-Driven Adaptive Anomaly Detection Using a Hybrid CNN–PSO–GA Framework
by Faruk Salihu Umar and Nurudeen Mahmud Ibrahim
Biol. Life Sci. Forum 2025, 54(1), 29; https://doi.org/10.3390/blsf2025054029 - 28 Feb 2026
Viewed by 253
Abstract
The adoption of Internet of Things (IoT) technologies has significantly enhanced precision farming by enabling continuous environmental monitoring and data-driven agricultural management. However, the increasing reliance on distributed sensor networks introduces critical challenges, including sensor faults, data anomalies, and cyber-physical security threats, which [...] Read more.
The adoption of Internet of Things (IoT) technologies has significantly enhanced precision farming by enabling continuous environmental monitoring and data-driven agricultural management. However, the increasing reliance on distributed sensor networks introduces critical challenges, including sensor faults, data anomalies, and cyber-physical security threats, which can undermine system reliability and decision accuracy. This study proposes an IoT-driven anomaly detection framework for smart agriculture that integrates a Convolutional Neural Network (CNN) optimized using a hybrid Particle Swarm Optimization and Genetic Algorithm (PSO–GA). The CNN learns complex spatio-temporal patterns from multivariate sensor data, while the PSO–GA strategy automatically tunes CNN hyperparameters to improve detection accuracy and model stability. To enhance adaptability under dynamic agricultural conditions, the proposed framework incorporates an online learning mechanism that incrementally updates the CNN model using newly arriving sensor data, enabling continuous adaptation to environmental changes and concept drift without full model retraining. Experiments conducted on a publicly available smart agriculture dataset demonstrate that the proposed CNN–PSO–GA framework achieves an accuracy of 74%, precision of 74%, recall of 100%, and an F1-score of 85%, outperforming baseline methods such as One-Class Support Vector Machine and Isolation Forest, particularly in reducing missed anomaly events. The results confirm the robustness, adaptability, and reliability of the proposed approach. Overall, the framework provides a practical and scalable solution for enhancing security, resilience, and operational effectiveness in precision farming systems. Full article
(This article belongs to the Proceedings of The 3rd International Online Conference on Agriculture)
Show Figures

Figure 1

25 pages, 6042 KB  
Article
Three Decades of Land Use and Land Cover Changes in the Bucharest-Ilfov Development Region: From Post-Communist Transition to EU Accession
by Ana Navarro, George-Călin Baltariu and João Catalão
Remote Sens. 2026, 18(5), 711; https://doi.org/10.3390/rs18050711 - 27 Feb 2026
Viewed by 262
Abstract
Following Romania’s regime change in 1989 and its accession to the European Union (EU) in 2007, the country experienced substantial land-use and land cover (LULC) changes driven by political, economic, and demographic processes. Early post-socialist property restitution led to land fragmentation, agricultural abandonment, [...] Read more.
Following Romania’s regime change in 1989 and its accession to the European Union (EU) in 2007, the country experienced substantial land-use and land cover (LULC) changes driven by political, economic, and demographic processes. Early post-socialist property restitution led to land fragmentation, agricultural abandonment, and the expansion of pastures and semi-natural vegetation, while rural areas became dominated by small, semi-subsistence farms. After EU accession, the implementation of the Common Agricultural Policy (CAP), combined with foreign direct investment and market consolidation, reshaped agricultural practices and intensified urbanization, particularly in suburban municipalities, with growth following radial and linear patterns along major transportation corridors. This study analyses LULC dynamics in the Bucharest-Ilfov Development Region across three distinct phases—post-communist transition (1993–2000), EU pre-accession (2000–2015), and post-accession (2015–2022)—combining regional- and municipality-level analyses and using Landsat imagery, GIS, and landscape metrics. Four LULC maps (1993, 2000, 2015, and 2022) were produced with a Random Forest classifier, achieving macro F1-scores above 0.86. Population data from the National Institute of Statistics suggest contrasting patterns between urban expansion and demographic trends, with Bucharest showing population decline despite modest urban growth, and Ilfov County exhibiting parallel increases in population and urbanized areas. Results highlight rapid urban sprawl, sustained agricultural decline, and increasing landscape fragmentation. Discrepancies with earlier studies partly reflect temporal effects related to post-socialist industrial restructuring and differences in data sources and spatial resolution. These findings highlight the need for integrated urban planning strategies to balance development pressures with the preservation of agricultural land and ecological resources. Full article
Show Figures

Figure 1

21 pages, 3826 KB  
Article
Drivers of Input and Stabilisation Control Subsoil Organic Carbon Content in Perennial Pasture Grazing Systems
by Evanna McGuinness, Abraham J. Gibson, Joanne Oakes, Mark Farrell and Naomi S. Wells
Soil Syst. 2026, 10(2), 33; https://doi.org/10.3390/soilsystems10020033 - 20 Feb 2026
Viewed by 303
Abstract
Subsoil (30–100 cm) soil organic carbon (SOC) is a poorly constrained but potentially significant component of terrestrial carbon budgets. While controls on subsoil SOC are likely to differ from those affecting topsoil, few studies have quantified them. This study quantified subsoil (30–100 cm) [...] Read more.
Subsoil (30–100 cm) soil organic carbon (SOC) is a poorly constrained but potentially significant component of terrestrial carbon budgets. While controls on subsoil SOC are likely to differ from those affecting topsoil, few studies have quantified them. This study quantified subsoil (30–100 cm) SOC stocks and identified the controls on its spatial distribution across perennial grazing systems in northeast New South Wales, Australia. SOC was measured to 1 m depth across 54 long-term perennial pasture grazing paddocks on nine farms. A Random Forest regression model was then used to determine the relationship between subsoil SOC and drivers represented by the scorpan model of soil formation. Subsoil SOC contributed ~50% of total SOC stocks in the top metre of soil, with a median of 65.8 t ha−1 stored in subsoil. Our study found that drivers of SOC input and turnover (subsoil total nitrogen, 10–30 cm SOC content, and climate), as well as pedogenic processes influencing SOC stabilisation (weathering index), were the most important factors in the determination of subsoil SOC content. This contrasts with previous findings where abiotic factors linked to parent material and soil properties were the major controls on subsoil SOC distribution and highlights links between both input and stabilisation in perennial grazing systems. Full article
Show Figures

Figure 1

29 pages, 2818 KB  
Article
Beyond the Footprint: Empirical Land Use and Environmental Patterns of Wind Energy in Mountainous Landscapes
by Andreas Vlamakis, Ioanna Eleftheriou, Sevie Dima, Efi Karra and Panagiotis Papastamatiou
Land 2026, 15(2), 344; https://doi.org/10.3390/land15020344 - 19 Feb 2026
Viewed by 763
Abstract
In a world of over 8.2 billion people, the land footprint of any infrastructure has become a critical factor in sustainable spatial planning. In the case of wind energy deployment, land use primarily involves hardstands, access roads, and interconnection infrastructure. This study focuses [...] Read more.
In a world of over 8.2 billion people, the land footprint of any infrastructure has become a critical factor in sustainable spatial planning. In the case of wind energy deployment, land use primarily involves hardstands, access roads, and interconnection infrastructure. This study focuses on Greece, a country with complex mountainous terrain, where Wind Power Stations are predominantly installed along ridgelines and slopes. Using GIS analysis based on digitization of actual on-site infrastructure, we measured the land coverage of wind energy facilities with a total installed capacity of nearly 2.6 GW. We found an average land-use intensity of 0.33 hectares per megawatt (ha/MW), placing it near the lower end of the range reported in international literature. For the subset of projects with available energy yield data, the value was 1.58 square meters per megawatt-hour (m2/MWh). This approach provides one of the largest, nationally representative, infrastructure-based estimates of actual wind energy land use in complex terrain. Applying these findings to the onshore wind deployment targets of Greece’s National Energy and Climate Plan (NECP) for 2030 and 2050, we estimate that only 0.02–0.03% of the country’s land area will be occupied by wind energy infrastructure. By comparison, lignite mining has already transformed approximately 0.13% of the national territory—almost four times more land than projected for wind energy use in 2050. Further spatial analysis was conducted to identify the land use categories associated with wind energy infrastructure, while for the subset of projects located within Natura 2000 protected areas, the types of affected habitats were also examined. Treating land coverage as a standalone proxy for environmental impact should be avoided; the study demonstrates the need for a context-sensitive interpretation of land use, accounting for ecological context, land-use compatibility, and positive co-benefits, such as improved forest accessibility, fire prevention works and recreation parks. Repowering maximizes land efficiency by extending wind farm lifetimes without expanding their footprint. Full article
Show Figures

Figure 1

25 pages, 7450 KB  
Article
Estimation of Topsoil Moisture on Bare Agricultural Soils at the Intra-Plot Spatial Scale Using a Statistical Algorithm and X- and C-Bands SAR Satellite Data
by Remy Fieuzal and Frédéric Baup
Remote Sens. 2026, 18(4), 639; https://doi.org/10.3390/rs18040639 - 19 Feb 2026
Viewed by 240
Abstract
Accurate estimation of topsoil moisture (TSM) is essential for optimizing agricultural practices, particularly in the context of precision farming. This study evaluates the use of high-resolution synthetic aperture radar (SAR) imagery from TerraSAR-X (X-band) and Radarsat-2 (C-band) for estimating TSM over bare agricultural [...] Read more.
Accurate estimation of topsoil moisture (TSM) is essential for optimizing agricultural practices, particularly in the context of precision farming. This study evaluates the use of high-resolution synthetic aperture radar (SAR) imagery from TerraSAR-X (X-band) and Radarsat-2 (C-band) for estimating TSM over bare agricultural soils, at both plot and intra-plot spatial scales. The experiment was conducted over a 420 km2 area in southwest France, comprising 29 agricultural plots with varying topography, soil texture, and land management practices. Extensive in situ measurements of TSM, soil texture, and surface roughness were collected over multiple dates. A random forest regression model was developed to estimate soil moisture, using radar backscatter coefficients, incidence angles, soil texture components (clay, silt, sand), and roughness parameters (Hrms, correlation length) as input features. The modeling approach was applied at multiple spatial scales by extracting satellite signals within circular buffers of varying radius (5 to 30 m), as well as at the plot scale. Results indicate that estimation performance improves with increasing buffer size, with the best results achieved at the 30 m intra-plot scale (R2 > 0.8, RMSE < 4 m3·m−3), outperforming plot-scale estimates. Both C-band and X-band data provided reliable results, with a slight advantage when combining data from multiple incidence angles. The inclusion of surface roughness and soil texture significantly improved model accuracy, underlining the importance of accounting for local soil properties in radar-based moisture retrieval. The intra-plot variability of TSM was found to be substantial, often exceeding inter-plot differences, highlighting the necessity for high spatial resolution in moisture monitoring. This study demonstrates the value of combining ground observations with multi-frequency SAR data and machine learning for high-resolution soil moisture mapping. The approach supports more precise water management strategies and contributes to sustainable agricultural development through informed decision-making. Full article
Show Figures

Figure 1

Back to TopTop