Sign in to use this feature.

Years

Between: -

Subjects

remove_circle_outline
remove_circle_outline
remove_circle_outline
remove_circle_outline
remove_circle_outline
remove_circle_outline
remove_circle_outline
remove_circle_outline
remove_circle_outline

Journals

remove_circle_outline
remove_circle_outline
remove_circle_outline

Article Types

Countries / Regions

remove_circle_outline
remove_circle_outline
remove_circle_outline
remove_circle_outline

Search Results (396)

Search Parameters:
Keywords = flowering date

Order results
Result details
Results per page
Select all
Export citation of selected articles as:
19 pages, 5439 KB  
Article
Decoupling Additive and Non-Additive Genetic Effects to Optimize Breeding Strategies for Apple Phenology and Fruit Quality
by Pablo Asprelli, Guido Cipriani and Gloria De Mori
Horticulturae 2026, 12(1), 93; https://doi.org/10.3390/horticulturae12010093 - 16 Jan 2026
Viewed by 125
Abstract
Apple breeding programs focus on enhancing yield, quality, and disease resistance, with a strong emphasis on evaluating phenological traits like flowering time and pomological traits such as fruit size and flavour, which are crucial for commercial success and consumer preference. Twenty-four families were [...] Read more.
Apple breeding programs focus on enhancing yield, quality, and disease resistance, with a strong emphasis on evaluating phenological traits like flowering time and pomological traits such as fruit size and flavour, which are crucial for commercial success and consumer preference. Twenty-four families were obtained by crossing six apple varieties selected as pollen receptors and four apple genotypes resistant to scab selected as pollen donors. Data related to bud burst date, flowering date, harvest date, lengths of the periods between bud burst and flowering and from flowering to harvest (developmental period), fruit equatorial and polar diameter, fruit polar/diameter ratio, soluble solid content (SSC) and flesh firmness were analysed as a genetic partial diallel design. The study’s ANOVA on 24 fruit families across two years revealed significant genotype–environment interactions affecting flowering date, harvest date, and developmental periods, with some variables like fruit weight and soluble solids showing consistent variation. During each year, temperature influenced phenological phases, with earlier budbreak and flowering in warmer, less variable conditions in 2019. Analysis of genetic effects indicated high heritability for phenological traits and moderate heritability for fruit morphology and quality, with parental genetic contributions varying over years. Principal component and Procrustes analyses identified key variable groupings and parent profiles, highlighting genotypes such as ‘Granny Smith’, ‘McIntosh’, and ‘HM100’ with consistent additive effects, and certain families with notable heterotic performance. Overall, genetic and environmental interactions significantly shape phenological and fruit quality traits, guiding breeding strategies. Full article
(This article belongs to the Section Genetics, Genomics, Breeding, and Biotechnology (G2B2))
Show Figures

Figure 1

27 pages, 3948 KB  
Review
Evolution of Insect Pollination Before Angiosperms and Lessons for Modern Ecosystems
by Ilaria Negri and Mario E. Toledo
Insects 2026, 17(1), 103; https://doi.org/10.3390/insects17010103 - 16 Jan 2026
Viewed by 278
Abstract
Insect pollination, a critical ecological process, pre-dates the emergence of angiosperms by nearly 200 million years, with fossil evidence indicating pollination interactions between insects and non-angiosperm seed plants during the Late Paleozoic. This review examines the symbiotic relationships between insects and gymnosperms in [...] Read more.
Insect pollination, a critical ecological process, pre-dates the emergence of angiosperms by nearly 200 million years, with fossil evidence indicating pollination interactions between insects and non-angiosperm seed plants during the Late Paleozoic. This review examines the symbiotic relationships between insects and gymnosperms in pre-angiosperm ecosystems, highlighting the complexity of these interactions. Fossil records suggest that the mutualistic relationships between insects and gymnosperms, which facilitated plant reproduction, were as intricate and diverse as the modern interactions between angiosperms and their pollinators, particularly bees. These early pollination systems likely involved specialized behaviors and plant adaptations, reflecting a sophisticated evolutionary dynamic long before the advent of flowering plants. The Anthropocene presents a dichotomy: while climate change and anthropogenic pressures threaten insect biodiversity and risk disrupting angiosperm reproduction, such upheaval may simultaneously generate opportunities for novel plant–insect interactions as ecological niches are vacated. Understanding the deep evolutionary history of pollination offers critical insight into the mechanisms underlying the resilience and adaptability of these mutualisms. The evolutionary trajectory of bees—originating from predatory wasps, diversifying alongside angiosperms, and reorganizing after mass extinctions—exemplifies this dynamic, demonstrating how pollination networks persist and reorganize under environmental stress and underscoring the enduring health, resilience, and adaptability of these essential ecological systems. Full article
(This article belongs to the Section Social Insects and Apiculture)
Show Figures

Figure 1

25 pages, 4670 KB  
Article
An Efficient Remote Sensing Index for Soybean Identification: Enhanced Chlorophyll Index (NRLI)
by Dongmei Lyu, Chenlan Lai, Bingxue Zhu, Zhijun Zhen and Kaishan Song
Remote Sens. 2026, 18(2), 278; https://doi.org/10.3390/rs18020278 - 14 Jan 2026
Viewed by 108
Abstract
Soybean is a key global crop for food and oil production, playing a vital role in ensuring food security and supplying plant-based proteins and oils. Accurate information on soybean distribution is essential for yield forecasting, agricultural management, and policymaking. In this study, we [...] Read more.
Soybean is a key global crop for food and oil production, playing a vital role in ensuring food security and supplying plant-based proteins and oils. Accurate information on soybean distribution is essential for yield forecasting, agricultural management, and policymaking. In this study, we developed an Enhanced Chlorophyll Index (NRLI) to improve the separability between soybean and maize—two spectrally similar crops that often confound traditional vegetation indices. The proposed NRLI integrates red-edge, near-infrared, and green spectral information, effectively capturing variations in chlorophyll and canopy water content during key phenological stages, particularly from flowering to pod setting and maturity. Building upon this foundation, we further introduce a pixel-wise compositing strategy based on the peak phase of NRLI to enhance the temporal adaptability and spectral discriminability in crop classification. Unlike conventional approaches that rely on imagery from fixed dates, this strategy dynamically analyzes annual time-series data, enabling phenology-adaptive alignment at the pixel level. Comparative analysis reveals that NRLI consistently outperforms existing vegetation indices, such as the Normalized Difference Vegetation Index (NDVI), Enhanced Vegetation Index (EVI), and Greenness and Water Content Composite Index (GWCCI), across representative soybean-producing regions in multiple countries. It improves overall accuracy (OA) by approximately 10–20 percentage points, achieving accuracy rates exceeding 90% in large, contiguous cultivation areas. To further validate the robustness of the proposed index, benchmark comparisons were conducted against the Random Forest (RF) machine learning algorithm. The results demonstrated that the single-index NRLI approach achieved competitive performance, comparable to the multi-feature RF model, with accuracy differences generally within 1–2%. In some regions, NRLI even outperformed RF. This finding highlights NRLI as a computationally efficient alternative to complex machine learning models without compromising mapping precision. This study provides a robust, scalable, and transferable single-index approach for large-scale soybean mapping and monitoring using remote sensing. Full article
(This article belongs to the Special Issue Advances in Remote Sensing for Smart Agriculture and Digital Twins)
Show Figures

Graphical abstract

26 pages, 4221 KB  
Article
Predicting Phenological Stages for Cherry and Apple Orchards: A Comparative Study with Meteorological and Satellite Data
by Valentin Kazandjiev, Dessislava Ganeva, Eugenia Roumenina, Georgi Jelev, Veska Georgieva, Boryana Tsenova, Petia Malasheva, Marieta Nesheva, Svetoslav Malchev, Stanislava Dimitrova and Anita Stoeva
Agronomy 2026, 16(2), 200; https://doi.org/10.3390/agronomy16020200 - 14 Jan 2026
Viewed by 250
Abstract
Fruit growing is a traditional component of Bulgarian agricultural production. According to the latest statistical data, the share of areas planted with cherries is 10.5% of the total orchard area, and with apples, 7.2%, totaling 67,800 ha. This article presents the results of [...] Read more.
Fruit growing is a traditional component of Bulgarian agricultural production. According to the latest statistical data, the share of areas planted with cherries is 10.5% of the total orchard area, and with apples, 7.2%, totaling 67,800 ha. This article presents the results of ground and remote (satellite) measurements and observations of cherry and apple orchards, along with the methods for their processing and interpretation, to define the current state and forecast their expected development. This research aims to combine the capabilities of the two approaches by improving and expanding observation and forecasting activities. Ground-based measurements and observations consider the dates of a permanent transition in air temperature above 5 °C and several cardinal phenological stages, based on the idea that a certain temperature sum (CU, GDH, GDD) must accumulate to move from one phenological stage to another. The obtained data were statistically analyzed, and by means of classification with the Random Forest algorithm, the dates for the occurrence of the stages of bud break, flowering, and fruit ripening in the development of cherry and apple orchards were predicted with an accuracy of −6 to +2 days. Satellite studies include creating a database of Sentinel-2 digital images across different spectral bands for the studied orchards, investigating various post-processing approaches, and deriving indicators of developmental phenostages. Ground data from the 2021–2023 experiment in Kyustendil and Plovdiv were used to determine the phases of fruit bursting, flowering, and ripening through satellite images. An assessment of the two approaches to predicting the development of the accuracy of the models was carried out by comparing their predictions for bud swelling and bursting (BBCH 57), flowering (BBCH 65), and fruit ripening (BBCH 87/89) of the observed phenological events in the two selected orchard types, representatives of stone and pome fruit species. Full article
(This article belongs to the Section Innovative Cropping Systems)
Show Figures

Figure 1

14 pages, 3718 KB  
Article
Identification of Stable QTLs and Candidate Genes for Heading Date in Wheat Using a 55K SNP-Genotyped Doubled Haploid Population
by Qiongyao Xiang, Shaoxin Wu, Yanhao Zhao, Fei Lu, Yurong Jiang, Xin Hu, Lei Yang and Junkang Rong
Agronomy 2026, 16(2), 188; https://doi.org/10.3390/agronomy16020188 - 13 Jan 2026
Viewed by 216
Abstract
Heading date (HD) is a key adaptive trait determining wheat regional suitability, yield stability, and resilience to environmental stresses. We dissected the genetic architecture of heading date (HD) by phenotyping a doubled haploid (DH) population (178 lines, CASL7AS × ZNL12) across five environments [...] Read more.
Heading date (HD) is a key adaptive trait determining wheat regional suitability, yield stability, and resilience to environmental stresses. We dissected the genetic architecture of heading date (HD) by phenotyping a doubled haploid (DH) population (178 lines, CASL7AS × ZNL12) across five environments and constructing a high-density genetic map with the wheat 55K SNP array. A total of 38 QTLs associated with HD were identified on 12 chromosomes, among which 10 were consistently detected across multiple environments. Two major stable loci, QHD.ZAFU.2B and QHD.ZAFU.4A, explained substantial phenotypic variation and were considered key regulators of heading time. Candidate gene analysis revealed Ppd-B1 (TraesCSU02G196100) as the causal gene for QHD.ZAFU.2B. Within QHD.ZAFU.4A, a zinc finger RNA-binding protein gene (TraesCS4A02G394400) exhibiting strong flag-leaf expression at the heading stage was identified as the most promising candidate. Notably, most favorable alleles were derived from ZNL12, highlighting its potential for breeding applications aimed at manipulating heading time. These results provide valuable genomic resources and molecular targets for marker-assisted selection aimed at optimizing flowering time and improving wheat adaptation. Full article
(This article belongs to the Special Issue Advances in Crop Molecular Breeding and Genetics—2nd Edition)
Show Figures

Figure 1

14 pages, 2015 KB  
Article
Dark Septate Endophytic Fungi Improve Dry Matter Production and Fruit Yield in Ever-Bearing Strawberry (Fragaria × ananassa Duch.) Under High Temperatures
by Nanako Aomura, Ryuta Ninohei, Mana Noguchi, Midori Sakoda, Eiichi Inoue, Kazuhiko Narisawa and Yuya Mochizuki
Plants 2026, 15(1), 129; https://doi.org/10.3390/plants15010129 - 2 Jan 2026
Viewed by 307
Abstract
In Japan, strawberries are produced in the off-season (June to November) in cool regions; however, the high temperatures and strong sunlight limit fruit production. Dark septate endophytic fungi (DSEs) support growth and flower bud formation of plants grown in environments unsuitable for plant [...] Read more.
In Japan, strawberries are produced in the off-season (June to November) in cool regions; however, the high temperatures and strong sunlight limit fruit production. Dark septate endophytic fungi (DSEs) support growth and flower bud formation of plants grown in environments unsuitable for plant growth. In this study, we investigated the effects of DSE on dry matter production and flower bud formation in strawberry plants grown in the summer and autumn. The seeds were sown in soil mixed with DSE on 5 February 2024. The DSEs used were Cladophialophora chaetospira SK51 (S) and Cc. MNB12 (M), and Veronaeopsis simplex Y34 (Y). Plants were planted in a plastic house on April 18. The total dry weight was significantly increased by DSEs. This is because S and Y-cultured plants did not show a significant decrease in leaf emergence under high temperatures, unlike those grown with M; however, its leaf area was larger than that of the control. This resulted in a larger leaf area for receiving light and higher cumulative light reception and light-use efficiency. Although the DSEs increased cumulative fruit yield, the harvest period was limited to July because of the extreme summer heat. In addition, there was no difference in the budding date or flowering date between the treatments. These results suggest that DSEs improve light use efficiency, thereby increasing total dry matter weight and contributing to increased fruit yield in summer-autumn cultivation. Full article
Show Figures

Figure 1

27 pages, 1936 KB  
Review
Bioactive Chemicals and Biological Activity of Tropaeolum majus L. and the Importance of Trichoderma spp. in the Cultivation of This Species
by Sylwia Skazińska, Roman Andrzejak, Katarzyna Waszkowiak and Beata Janowska
Agriculture 2026, 16(1), 101; https://doi.org/10.3390/agriculture16010101 - 31 Dec 2025
Viewed by 273
Abstract
Tropaeolum majus L. is a popular ornamental plant. All parts of T. majus plant (flowers, leaves, and seeds) are edible and are appreciated for their pungent taste, although their chemical composition varies. T. majus is known for its many health benefits. It is [...] Read more.
Tropaeolum majus L. is a popular ornamental plant. All parts of T. majus plant (flowers, leaves, and seeds) are edible and are appreciated for their pungent taste, although their chemical composition varies. T. majus is known for its many health benefits. It is a source of trace elements and bioactive compounds that are easily absorbed by the human body. The flowers of T. majus contain flavonoids from the flavone and flavonol groups, as well as their glycosides, which exhibit antibacterial, antifungal and antiviral activity. They also inhibit the activity of certain enzymes. Among the flavonoids, the flowers and leaves of T. majus contain derivatives of kaempferol and quercetin. Flavonoids also include anthocyanins, which are responsible for the color of T. majus flowers. In red flowers, delphinidin predominates; in orange flowers, pelargonidin; and in yellow flowers, pelargonidin and delphinidin are present in similar amounts. In the flowers of T. majus, seven carotenoids have been identified: violaxanthin, antheraxanthin, lutein, zeaxanthin, α, β and γ-carotene. In the leaves, however, lutein, violaxanthin, β-carotene and neoxanthin were detected. In T. majus, the presence of two glucosinolates has been reported: glucotropaeolin and sinalbin. The flowers and leaves of T. majus also contain both macroelements (N, P, K, Ca, Mg, Na) and microelements (Fe, Mn, Cu, Zn, Mo), and essential oils which have anti-cancer, antibacterial, and antiviral properties. The quality and flowering of T. majus are enhanced by fungi of the Trichoderma genus, which is important both ecologically and in terms of increasing the yield of raw material extracted from the plant. T. aureoviride, T. hamatum, and T. harzianum stimulated the flowering of the T. majus ‘Spitfire’. The plants treated with T. harzianum after being planted in pots flowered the most abundantly. Trichoderma spp. caused the plants to grow more intensively, producing longer and more leafy shoots with a greater number of offshoots. Trichoderma spp. stimulated the uptake of macronutrients, except for P. In the case of Ca and Na, this phenomenon was only observed in plants treated with T. aureoviride and T. hamatum, and for Mg, only when T. hamatum was applied to sown seeds. As for the developed root systems, as far as the micronutrients are concerned, Trichoderma spp. stimulated the uptake of Zn and Mn. Additionally, there was a higher Fe content in the plants treated with T. harzianum on both dates and T. aureoviride after planting the plants in pots. Full article
(This article belongs to the Special Issue The Application of Trichoderma in Crop Production)
Show Figures

Figure 1

19 pages, 2303 KB  
Article
Chemical Composition and Expression Analysis of Oil-Related Genes in Upland Cottonseeds
by Pengfei Liu, Zhong Wang, Xiaoshuang Lu, Yujie Chang, Kai Zheng, Qianli Zu and Xiaojuan Deng
Agronomy 2026, 16(1), 56; https://doi.org/10.3390/agronomy16010056 - 24 Dec 2025
Viewed by 232
Abstract
Cottonseed is an important resource for edible oil and protein. Here, we evaluated cottonseed oil, protein, and gossypol contents using traditional chemical methods and near-infrared reflectance spectroscopy (NIRS) in diverse upland cotton (n = 456) and sea island cotton (n = [...] Read more.
Cottonseed is an important resource for edible oil and protein. Here, we evaluated cottonseed oil, protein, and gossypol contents using traditional chemical methods and near-infrared reflectance spectroscopy (NIRS) in diverse upland cotton (n = 456) and sea island cotton (n = 205) germplasm. In upland cotton, oil content averaged 21.23 ± 3.98% (12.74–43.56%), protein averaged 23.63 ± 4.63% (15.53–49.79%), and gossypol averaged 1.47 ± 0.21 mg/g (0.06–2.07). Correlation analysis showed a significant negative association between oil and protein (r = −0.125, p < 0.01; confirmed by NIRS: r = −0.171, p < 0.01), a significant negative association between protein and gossypol (r = −0.375, p < 0.01), and a significant positive association between oil and gossypol (r = 0.409, p < 0.01). In sea island cotton, oil, protein, and gossypol contents averaged 24.82 ± 6.15% (14.64–41.43%), 25.75 ± 2.04% (18.84–39.00%), and 1.60 ± 0.15 mg/g (1.22–2.08), respectively. The oil–protein association was strongly negative by NIRS (r = −0.744, p < 0.01), whereas correlations with gossypol were weak and not significant by the traditional method. After screening and evaluation, high oil and protein varieties were identified in upland cotton (n = 15) and sea island cotton (n = 6). Fourteen extreme-oil upland materials were further used to examine flowering-date effects on oil accumulation and physiological indicators, showing rapid oil accumulation and a flowering-date-dependent maximum. Finally, qRT-PCR analysis of lipid-metabolism-related candidate genes showed that seven genes were expressed significantly higher in high-oil than in low-oil materials (p < 0.05), peaking at the late stage of oil accumulation. GhDGAT1 and GhDGAT2 showed positive regulatory effects on oil accumulation, whereas GhFAD3 and GhKCR2 showed negative regulatory effects. Collectively, these findings provide compositional benchmarks, clarify trait relationships, and identify candidate genes useful for breeding cotton cultivars with improved seed oil/protein traits. Full article
(This article belongs to the Section Crop Breeding and Genetics)
Show Figures

Figure 1

20 pages, 3993 KB  
Review
Insights into the Biotechnology and Genetics of Sugi (Cryptomeria japonica, Japanese Cedar), a Model Conifer Tree
by Tsuyoshi E. Maruyama, Saneyoshi Ueno, Momi Tsuruta, Mitsuru Nishiguchi and Shin-Ichi Miyazawa
Forests 2026, 17(1), 5; https://doi.org/10.3390/f17010005 - 19 Dec 2025
Viewed by 442
Abstract
The Japanese cedar (Cryptomeria japonica), also known as sugi, is one of the most important trees in Japanese forests. It covers 44% of artificial forests, spanning approximately 4.5 million ha. It is cultivated in East Asia, the Azores archipelago, and some [...] Read more.
The Japanese cedar (Cryptomeria japonica), also known as sugi, is one of the most important trees in Japanese forests. It covers 44% of artificial forests, spanning approximately 4.5 million ha. It is cultivated in East Asia, the Azores archipelago, and some islands in the Indian Ocean. It is also grown worldwide as an ornamental tree in parks and gardens. The cultivation and use of sugi in Japan dates back centuries, and clonal forestry through cuttings has been practiced since the early 15th century. Its broad adaptability, genetic diversity, rapid growth, easy propagation, and precocious flowering—enabling early generational crosses—combined with their advanced genomic resources and efficient biotechnological tools, make sugi an outstanding conifer model. This review aims to provide an overview of the biotechnology and genetics of sugi for researchers and stakeholders. Full article
(This article belongs to the Section Genetics and Molecular Biology)
Show Figures

Figure 1

17 pages, 1815 KB  
Article
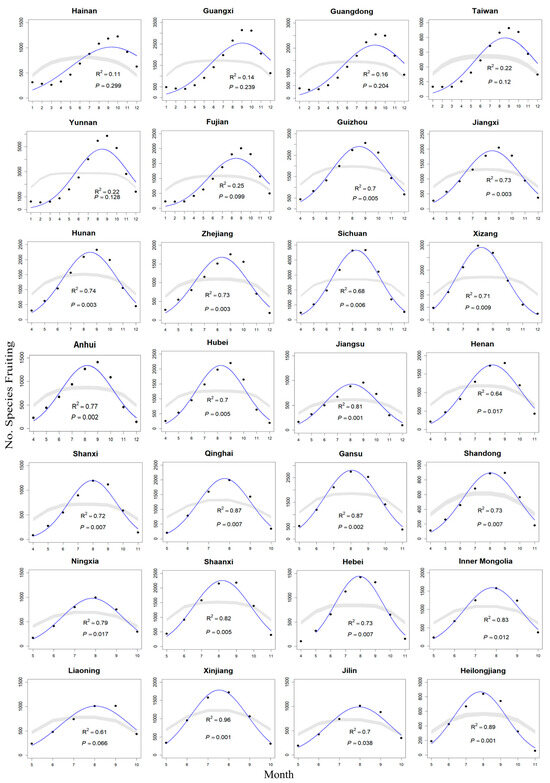
The Mid-Domain Effect Shapes a Unimodal Latitudinal Pattern in Fruiting Phenology
by Longyang Zhang, Qianhuai Xue and Yanjun Du
Plants 2025, 14(23), 3701; https://doi.org/10.3390/plants14233701 - 4 Dec 2025
Viewed by 416
Abstract
The mid-domain effect (MDE) has been used to explain spatial diversity patterns and flowering phenology, but its role in fruiting phenology has received limited attention to date. This study investigates whether the MDE shapes fruiting phenology and whether its influence varies with latitude. [...] Read more.
The mid-domain effect (MDE) has been used to explain spatial diversity patterns and flowering phenology, but its role in fruiting phenology has received limited attention to date. This study investigates whether the MDE shapes fruiting phenology and whether its influence varies with latitude. We integrated fruiting phenology data for 12,179 plant species across 28 Chinese provinces and used a null model to simulate expected fruiting richness patterns. Our results suggest that the MDE plays a significant role in explaining fruiting phenology patterns in most provinces. Crucially, the variance explained by the MDE exhibited a significant unimodal relationship with latitude across all groups, peaking at mid-latitudes (39.6° N for all species, 37.1° N for herbaceous plants, and 36.8° N for woody plants). Unlike flowering phenology—which tends to show a simple linear increase in MDE strength with latitude—fruiting exhibited a distinct peak, highlighting different ecological pressures acting on these two reproductive stages. The MDE was the primary contributor explaining fruiting richness, providing a markedly stronger fit to the data than key climate variables like temperature and precipitation, although woody plants showed a stronger secondary response to precipitation. These findings demonstrate that geometric constraints are a key driver of fruiting phenology, deepening our understanding of temporal niches and the ecological processes shaping plant reproductive phenology. Full article
(This article belongs to the Special Issue Relationships Between Plant Phenology and Climate Factors)
Show Figures

Figure 1

26 pages, 3362 KB  
Article
UAS-Based Spectral and Phenological Modeling for Sustainable Mechanization and Nutrient Management in Horticultural Crops
by Alexis Suero, Emmanuel Torres-Quezada, Lorena López, Mark Reiter, Andre Biscaia and Fernando Fuentes-Peñailillo
Horticulturae 2025, 11(12), 1451; https://doi.org/10.3390/horticulturae11121451 - 30 Nov 2025
Viewed by 464
Abstract
Potatoes are an economically important crop in Virginia, USA, where growers must balance planting dates, nitrogen (N) management, and variable crop prices. Early planting exposes crops to low temperatures that limit growth, whereas late planting increases pest pressure and nutrient inefficiency. This study [...] Read more.
Potatoes are an economically important crop in Virginia, USA, where growers must balance planting dates, nitrogen (N) management, and variable crop prices. Early planting exposes crops to low temperatures that limit growth, whereas late planting increases pest pressure and nutrient inefficiency. This study evaluated the effects of planting dates, N rates, and application timing on potato growth, yield, and pest incidence. We also assessed whether soil physicochemical properties could predict the presence of wireworms and plant-parasitic nematodes (PPNs) using complementary on-farm samples collected across Eastern Virginia between March and July 2023. Three planting dates (early-March, late-March, and early-April) were combined with five N rates (0, 146, 180, 213, and 247 kg N·ha−1) under early- and late-application regimes. We collected data on plant emergence, flowering time, soil nitrate, biomass, tuber yield, pest damage, and UAS-derived metrics. Results showed that late-March planting with 180 kg N·ha−1 achieved the highest gross profit while maintaining competitive yields (25.06 Mg·ha−1), representing 24% and 6% improvements over traditional practices, respectively. Early-April planting produced the largest tubers, with a mean tuber weight 19% higher than the other planting dates. The Normalized Difference Red Edge Index (NDRE) was strongly correlated with N content in plant tissue (R2 = 0.81; r ≈ 0.90), and UAS-derived plant area accurately predicted tuber yield 4–6 weeks before harvest (R2 = 0.75). Wireworm damage was significantly higher in early-March plantings due to delayed insecticide application, while soil nitrate concentration and percent H saturation were identified as key predictors of wireworm presence. Although less effectively modeled due to limited sample size, PPN occurrence was influenced by potassium saturation and soil pH. Aligning planting dates and nitrogen applications with crop phenology, using growing degree days (GDD), enhanced nitrogen management, and yield prediction. Full article
Show Figures

Figure 1

15 pages, 4458 KB  
Article
DHD6 Delays Flowering in Rice by Negatively Regulating the Expression of Ehd1
by Qiping Sun, Le Song, Juan Zhao, Jinxia Yun, Zhenhua Guo, Gan Sha, Lei Yang, Renjian Li, Rashmi Jain, Artur Teixeira de Araujo Junior, Zihao He, Yin Wang, Qun Yang, Jiandi Xu, Xia Li, Pamela C. Ronald and Guotian Li
Plants 2025, 14(22), 3503; https://doi.org/10.3390/plants14223503 - 17 Nov 2025
Viewed by 2275
Abstract
Heading date, also known as flowering time, plays a crucial role in determining the regional adaptability of rice (Oryza sativa L.). Heading date is regulated by numerous genes involved in various photoperiod pathways. Here, we isolated the Delayed Heading Date 6 ( [...] Read more.
Heading date, also known as flowering time, plays a crucial role in determining the regional adaptability of rice (Oryza sativa L.). Heading date is regulated by numerous genes involved in various photoperiod pathways. Here, we isolated the Delayed Heading Date 6 (DHD6) gene from a whole-genome-sequenced rice mutant population. We demonstrated that a 2 bp deletion in the coding region of DHD6 truncates the protein and confers early flowering. Genetic analysis shows that DHD6 functions upstream of Ehd1 and is synergistic with Se14 and PHYC to regulate flowering time. In addition, we identified natural alleles of DHD6 that are associated with heading date and likely contribute to the geographic adaptation of rice. In summary, DHD6 functions upstream of Ehd1, reducing the transcriptional level of Ehd1, thereby delaying flowering. Full article
(This article belongs to the Section Plant Molecular Biology)
Show Figures

Figure 1

9 pages, 197 KB  
Article
Early Results Utilizing a Novel Fibular Nail for Surgical Fixation of Ankle Fractures—A Retrospective Case Series
by Julia E. Ralph, Crystal Jing, Albert T. Anastasio and Samuel B. Adams
Complications 2025, 2(4), 28; https://doi.org/10.3390/complications2040028 - 17 Nov 2025
Viewed by 669
Abstract
Ankle fractures are extremely common and often require surgical management, historically with open reduction and internal fixation (ORIF), although fibular intramedullary nailing (IMN) has demonstrated promising results in recent years. The purpose of this study is to report on risk factors, quality of [...] Read more.
Ankle fractures are extremely common and often require surgical management, historically with open reduction and internal fixation (ORIF), although fibular intramedullary nailing (IMN) has demonstrated promising results in recent years. The purpose of this study is to report on risk factors, quality of reduction, and complications in a series of patients undergoing fibular IMN for management of ankle fractures using a novel device via a retrospective case series. Patients undergoing locked fibular IMN with the Flex-Thread nail (Conventus Flower Orthopedics, Horsham, PA, USA) by a single surgeon from January 2023 to March 2025 were included, with at least 6 months of follow-up. Demographics, comorbidities, injury characteristics, reduction quality, and post-operative complications were recorded. Descriptive analyses were reported for categorical variables. A total of 15 patients were included, with a mean age of 58.9 ± 22.0 (range 18–91) and mean BMI of 31.5 ± 5.7 kg/m2. All patients experienced a fall as their mechanism of injury, with 12 Weber B and 3 Weber C fractures. The mean time to surgery from the date of injury was 9.5 ± 5.5 days. Of 15 patients, 66.7% had good reduction quality, 26.7% had fair, and 1 patient experienced poor reduction quality requiring subsequent hardware removal. There was one patient who experienced delayed wound healing. Patients undergoing fibular fixation using the novel Flex-Thread nail experience a fair to good quality of reduction, with limited complications. Both young and elderly patients have relatively positive early post-operative outcomes. Additional research with longer-term follow-up will be required to confirm its efficacy. Full article
21 pages, 738 KB  
Review
Biological Activities of Novel Kombuchas Based on Alternative Ingredients to Replace Tea Leaves
by Noemi Hontana-Moreno and Diego Morales
Pharmaceuticals 2025, 18(11), 1722; https://doi.org/10.3390/ph18111722 - 13 Nov 2025
Viewed by 609
Abstract
Background/Objectives: Traditional kombucha is produced by fermenting a sweetened infusion of Camellia sinensis leaves with a symbiotic consortium of bacteria and yeasts (SCOBY). The growing interest in this beverage has driven the exploration of alternative substrates, including a wide range of plant-based [...] Read more.
Background/Objectives: Traditional kombucha is produced by fermenting a sweetened infusion of Camellia sinensis leaves with a symbiotic consortium of bacteria and yeasts (SCOBY). The growing interest in this beverage has driven the exploration of alternative substrates, including a wide range of plant-based raw materials, such as leaves, fruits, flowers, and seeds. Consequently, numerous products are being investigated for their differential properties, not only organoleptic but also nutritional and bioactive. This review aims to summarize recent advances in alternative kombucha research, focusing on the substrates used, their physicochemical and biochemical characteristics, and the biological activities studied. Methods: A comprehensive literature search was conducted to select articles related to alternative kombuchas. A critical analysis of their current state was carried out through the Strengths, Weaknesses, Opportunities, and Threats (SWOT) methodology. Results: The SWOT analysis led to the identification of strengths, including promising in vitro results and growing consumer interest; weaknesses, including a lack of animal studies, clinical trials, and approved health claims, and an excessive focus on antioxidant activity and phenolic compounds; opportunities, including substrate diversity, innovation, and consumer education; and threats, including elaboration risks, misinformation, competitors, and potential consumer rejection. Conclusions: Despite the promising results achieved to date, it is essential that the scientific community and the food industry continue efforts to generate robust evidence, particularly through clinical validation, in order to draw reliable conclusions regarding the benefits of alternative kombuchas for human health. Full article
Show Figures

Graphical abstract

18 pages, 10386 KB  
Article
Genome-Wide Identification of 13 miR5200 Loci in Wheat and Investigation of Their Regulatory Roles Under Stress
by Yuan Zhou, Chenyu Zhao, Huiyuan Yan, Jiahao Yang, Mingyang Chen, Xia Wang, Pingfan Xie, Yongjing Ni, Jishan Niu, Jiangping Ren, Guojun Xia, Yongchun Li and Lei Li
Genes 2025, 16(11), 1349; https://doi.org/10.3390/genes16111349 - 9 Nov 2025
Viewed by 552
Abstract
Background/Objectives: miR5200 is miRNA unique to Poaceae plants. Induced under short-day conditions, it modulates flowering time by regulating the florigen FT gene expression. However, to date, the genetic locus responsible for mature miR5200 formation remains experimentally unvalidated, and its biological function in abiotic [...] Read more.
Background/Objectives: miR5200 is miRNA unique to Poaceae plants. Induced under short-day conditions, it modulates flowering time by regulating the florigen FT gene expression. However, to date, the genetic locus responsible for mature miR5200 formation remains experimentally unvalidated, and its biological function in abiotic stress responses remains unknown. This has hindered systematic elucidation of miR5200’s physiological role and molecular mechanisms. Methods: This study utilized wheat as the research material. First, through bioinformatics analysis at the genomic level, 13 potential candidate tae-miR5200 gene loci were screened. Subsequently, the authenticity of these gene loci was systematically validated by combining tobacco transient transfection-based GUS staining assay and quantitative real-time PCR (qRT-PCR) to detect expression levels. Building upon this foundation, the expression patterns of tae-miR5200 under abiotic stresses such as low temperature, drought, and salinity, as well as SA, ABA, IAA, GA3, and MeJA treatments, were further investigated. Results: Experimental validation confirmed that 7 out of 13 potential gene loci are authentic and functional, and tae-miR5200 exhibited specific expression changes under different types of abiotic stress. Conclusions: This study confirms the authenticity of tae-miR5200 gene loci, effectively eliminating interference from bioinformatics-predicted false-positive loci in subsequent functional studies. It provides an experimental foundation for further investigation into the molecular mechanisms of tae-miR5200 in wheat responses to abiotic stress. Full article
(This article belongs to the Section Plant Genetics and Genomics)
Show Figures

Figure 1

Back to TopTop