Flower Color and Seed Coat Color as a Phenotypic Marker: Correlations with Fatty Acid Composition, Antioxidant Properties, and Metabolite Profiles in Safflower (Carthamus tinctorius L.)
Abstract
1. Introduction
2. Results
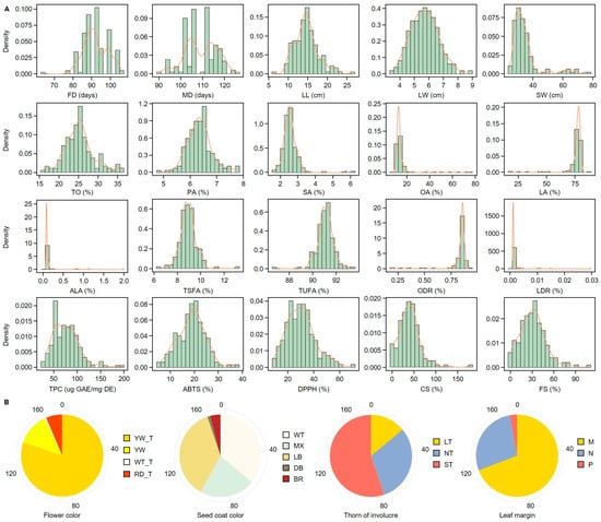
2.1. Agriculture Traits, Metabolite Content, Antioxidant Capacities Frequency Distribution in Safflower
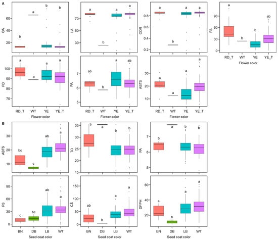
2.2. The Effect of FC on Agronomic Traits, Metabolite Content, and Antioxidant Capacities
2.3. PCA and Network Analysis by FC and SCC
2.4. Network Analysis Between FC and Qualitative Traits
3. Discussion
3.1. Impact of FC on Quantitative Traits
3.2. PCA and Trait Interactions
3.3. Network Analysis of Quantitative Traits
3.4. Associations Between FC and Qualitative Traits
4. Materials and Methods
4.1. Reagents and Chemicals
4.2. Safflower Cultivation and Sample Preparation
4.3. Safflower Agronomic Traits Investigation
4.4. Seed Crude Extract Preparation
4.5. Determination of TPC
4.6. Analysis of Serotonin Derivative Contents
4.7. Antioxidant Capacity Assay
4.8. Determination of Total Oil Content
4.9. Analysis of Fatty Acids
4.10. Statistical Analysis
5. Conclusions
Supplementary Materials
Author Contributions
Funding
Institutional Review Board Statement
Informed Consent Statement
Data Availability Statement
Conflicts of Interest
References
- Zanetti, F.; Angelini, L.G.; Berzuini, S.; Foschi, L.; Clemente, C.; Ferioli, F.; Vecchi, A.; Rossi, A.; Monti, A.; Tavarini, S. Safflower (Carthamus tinctorius L.) a winter multipurpose oilseed crop for the mediterranean region: Lesson learnt from on-farm trials. Ind. Crops Prod. 2022, 184, 115042. [Google Scholar] [CrossRef]
- Dereń, K.; Kapusta-Duch, J.; Leszczyńska, T.; Borczak, B.; Kotuła, M. Pro-health potential of selected uncommon oilseed plants. Appl. Sci. 2024, 14, 8843. [Google Scholar] [CrossRef]
- Khalid, N.; Khan, R.S.; Hussain, M.I.; Farooq, M.; Ahmad, A.; Ahmed, I. A Comprehensive characterisation of safflower oil for its potential applications as a bioactive food ingredient-a review. Trends Food Sci. Technol. 2017, 66, 176–186. [Google Scholar] [CrossRef]
- Bakhshi, B.; Nazari, M.; Valipour, M.B. Trait-guided selection for superior safflower genotypes: Towards enhanced oil yield and composition. Genet. Resour. Crop Evol. 2024, 72, 1921–1935. [Google Scholar] [CrossRef]
- Qureshi, M.; Kordrostami, M.; Uzun, B.; Yol, E. Modulating growth and oil profile of sesame (Sesamum indicum L.): Paclobutrazol and mepiquat chloride impacts. J. Plant Growth Regul. 2024, 43, 2905–2921. [Google Scholar] [CrossRef]
- Gaoua, O.; Arslan, M.; Obedgiu, S. Speed breeding advancements in safflower (Carthamus tinctorius L.): A simplified and efficient approach for accelerating breeding programs. Mol. Breed. 2025, 45, 13. [Google Scholar] [CrossRef] [PubMed]
- Santhakumar, A.B.; Battino, M.; Alvarez-Suarez, J.M. Dietary polyphenols: Structures, bioavailability and protective effects against atherosclerosis. Food Chem. Toxicol. 2018, 113, 49–65. [Google Scholar] [CrossRef] [PubMed]
- Hügel, H.M.; Jackson, N. Polyphenols for the prevention and treatment of dementia diseases. Neural Regen. Res. 2015, 10, 1756–1758. [Google Scholar] [CrossRef] [PubMed]
- Pietta, P.G. Flavonoids as antioxidants. J. Nat. Prod. 2000, 63, 1035–1042. [Google Scholar] [CrossRef] [PubMed]
- Koyama, N.; Kuribayashi, K.; Seki, T.; Kobayashi, K.; Furuhata, Y.; Suzuki, K.; Arisaka, H.; Nakano, T.; Amino, Y.; Ishii, K. Serotonin derivatives, major safflower (Carthamus tinctorius L.) seed antioxidants, inhibit low-density lipoprotein (LDL) oxidation and atherosclerosis in apolipoprotein E-deficient mice. J. Agric. Food Chem. 2006, 54, 4970–4976. [Google Scholar] [CrossRef] [PubMed]
- Rahnama, A.; Salehi, F.; Meskarbashee, M.; Mehdi Khanlou, K.; Ghorbanpour, M.; Harrison, M.T. High temperature perturbs physicochemical parameters and fatty acids composition of safflower (Carthamus tinctorius L.). BMC Plant Biol. 2024, 24, 1080. [Google Scholar] [CrossRef] [PubMed]
- Erbaş, S.; Mutlucan, M. Investigation of flower yield and quality in different color safflower genotypes. Agronomy 2023, 13, 956. [Google Scholar] [CrossRef]
- Li, Z.; Yu, L.; Umar, A.W.; Wang, J.; Zhang, J.; Wang, N.; Zhang, M.; Yao, N.; Ahmad, N.; Liu, X. Safflower CtFT genes orchestrating flowering time and flavonoid biosynthesis. BMC Plant Biol. 2024, 24, 1232. [Google Scholar] [CrossRef]
- Worku, N.; Heslop-Harrison, J.S.; Adugna, W. Diversity in 198 ethiopian linseed (Linum usitatissimum L.) accessions based on morphological characterization and seed oil characteristics. Genet. Resour. Crop Evol. 2015, 62, 1037–1053. [Google Scholar] [CrossRef]
- Li, W.; Yoo, E.; Sung, J.; Lee, S.; Hwang, S.; Lee, G.A. Distinct effects of seed coat and flower colors on metabolite contents and antioxidant activities in safflower seeds. Antioxidants 2023, 12, 961. [Google Scholar] [CrossRef] [PubMed]
- Waterhouse, A.L. Determination of total phenolics. Curr. Protoc. Food Anal. Chem. 2002, 6, I1.1.1–I1.1.8. [Google Scholar]
- Assefa, A.D.; Jeong, Y.J.; Kim, D.J.; Jeon, Y.A.; Lee, J.R.; Ko, H.C.; Baek, H.J.; Sung, J.S. Assessing phenolic content and antioxidant potential diversity in allium plants using multivariate data analysis. Hortic. Environ. Biotechnol. 2018, 59, 759–773. [Google Scholar] [CrossRef]
- Assefa, A.D.; Sung, J.S.; Lee, M.C.; Hahn, B.S.; Noh, H.J.; Hur, O.S.; Ro, N.Y.; Hwang, A.J.; Kim, B.S.; Lee, J.E. Agro-morphological characters, total phenolic content, and fatty acid compositions of safflower genetic resources. Korean J. Med. Crop Sci. 2021, 29, 17–27. [Google Scholar] [CrossRef]
- Piao, X.-M.; Jang, E.-K.; Chung, J.-W.; Lee, G.-A.; Lee, H.-S.; Sung, J.-S.; Jeon, Y.-A.; Lee, J.-R.; Kim, Y.-G.; Lee, S.-Y. Variation in antioxidant activity and polyphenol content in tomato stems and leaves. Plant Breed. Biotechnol. 2013, 1, 366–373. [Google Scholar] [CrossRef]
- Rahim, M.A.; Ayub, H.; Sehrish, A.; Ambreen, S.; Khan, F.A.; Itrat, N.; Nazir, A.; Shoukat, A.; Shoukat, A.; Ejaz, A.; et al. Essential components from plant source oils: A review on extraction, detection, identification, and quantification. Molecules 2023, 28, 6881. [Google Scholar] [CrossRef] [PubMed]




| Abbreviation | Full Term |
|---|---|
| FC | Flower color |
| SCC | Seed coat color |
| FD | Flowering date (days) |
| MD | Maturing date (days) |
| LL | Leaf length (cm) |
| LW | Leaf width (cm) |
| SW | 1000-seed weight (g) |
| TI | Thorn of involucre |
| TO | Total oil (%) |
| PA | Palmitic acid (%) |
| SA | Stearic acid (%) |
| OA | Oleic acid (%) |
| LA | Linoleic acid (%) |
| ALA | Alpha-linolenic acid (%) |
| TSFA | Total saturated fatty acid (%) |
| TUFA | Total unsaturated fatty acid (%) |
| ODR | Oleic de-saturation ratio (%) |
| LDR | Linoleic de-saturation ratio (%) |
| TPC | Total phenolic content (µg·GAE/mg·DE) |
| ABTS | 2,2′-azino-bis (3-ethylbenzothiazoline-6-sulfonic acid) (%) |
| DPPH | 2,2-diphenyl-1-picrylhydrazyl (%) |
| CS | N-(p-coumaroyl)serotonin (%) |
| FS | N-feruloylserotonin (%) |
| Parameter | Trait z | Eta Squared (η2) | Effect Size Interpretation | p-Value |
|---|---|---|---|---|
| FC | FD | 0.06 | Medium | 0.016 * |
| MD | 0.04 | Small | 0.061 | |
| LL | 0.02 | Small | 0.331 | |
| LW | 0.05 | Small | 0.038 * | |
| SW | 0.01 | Small | 0.509 | |
| TO | 0.04 | Small | 0.066 | |
| PA | 0.07 | Medium | 0.009 ** | |
| SA | 0.01 | Small | 0.483 | |
| OA | 0.22 | Large | 0.000 ** | |
| LA | 0.22 | Large | 0.000 ** | |
| ALA | 0.04 | Small | 0.084 | |
| TSFA | 0.03 | Small | 0.137 | |
| TUFA | 0.03 | Small | 0.138 | |
| ODR | 0.22 | Large | 0.000 ** | |
| LDR | 0.04 | Small | 0.068 | |
| TPC | <0.01 | Negligible | 0.779 | |
| ABTS | 0.11 | Medium | 0.000 ** | |
| DPPH | 0.03 | Small | 0.145 | |
| CS | 0.03 | Small | 0.156 | |
| FS | 0.17 | Large | 0.000 ** | |
| SCC | FD | 0.03 | Small | 0.227 |
| MD | 0.03 | Small | 0.204 | |
| LL | 0.03 | Small | 0.325 | |
| LW | <0.01 | Negligible | 0.905 | |
| SW | 0.04 | Small | 0.115 | |
| TO | 0.18 | Large | 0.000 ** | |
| PA | 0.16 | Large | 0.000 ** | |
| SA | 0.01 | Small | 0.675 | |
| OA | 0.02 | Small | 0.350 | |
| LA | 0.03 | Small | 0.317 | |
| ALA | 0.02 | Small | 0.516 | |
| TSFA | 0.05 | Small | 0.063 | |
| TUFA | 0.05 | Small | 0.063 | |
| ODR | 0.03 | Small | 0.345 | |
| LDR | 0.02 | Small | 0.453 | |
| TPC | 0.04 | Small | 0.133 | |
| ABTS | 0.24 | Large | 0.000 ** | |
| DPPH | 0.08 | Medium | 0.012 * | |
| CS | 0.09 | Medium | 0.005 ** | |
| FS | 0.11 | Medium | 0.001 ** |
| Trait z | Chi-Square (X2) | df | p-Value | Cramer’s V | Interpretation |
|---|---|---|---|---|---|
| SCC | 28.606 | 12 | 0.005 ** | 0.2354541 | Moderate |
| TI | 23.234 | 6 | 0.001 ** | 0.259888 | Moderately Strong |
| LM | 6.7822 | 6 | 0.342 | 0.1404129 | Very Weak |
Disclaimer/Publisher’s Note: The statements, opinions and data contained in all publications are solely those of the individual author(s) and contributor(s) and not of MDPI and/or the editor(s). MDPI and/or the editor(s) disclaim responsibility for any injury to people or property resulting from any ideas, methods, instructions or products referred to in the content. |
© 2025 by the authors. Licensee MDPI, Basel, Switzerland. This article is an open access article distributed under the terms and conditions of the Creative Commons Attribution (CC BY) license (https://creativecommons.org/licenses/by/4.0/).
Share and Cite
Li, W.; Kim, E.-G.; Lee, D.; Choi, Y.-M.; Lee, J.-E.; Lee, S.; Lee, G.-A.; Yoo, E. Flower Color and Seed Coat Color as a Phenotypic Marker: Correlations with Fatty Acid Composition, Antioxidant Properties, and Metabolite Profiles in Safflower (Carthamus tinctorius L.). Int. J. Mol. Sci. 2025, 26, 3105. https://doi.org/10.3390/ijms26073105
Li W, Kim E-G, Lee D, Choi Y-M, Lee J-E, Lee S, Lee G-A, Yoo E. Flower Color and Seed Coat Color as a Phenotypic Marker: Correlations with Fatty Acid Composition, Antioxidant Properties, and Metabolite Profiles in Safflower (Carthamus tinctorius L.). International Journal of Molecular Sciences. 2025; 26(7):3105. https://doi.org/10.3390/ijms26073105
Chicago/Turabian StyleLi, Weilan, Eun-Gyeong Kim, Dongho Lee, Young-Min Choi, Jae-Eun Lee, Sookyeong Lee, Gi-An Lee, and Eunae Yoo. 2025. "Flower Color and Seed Coat Color as a Phenotypic Marker: Correlations with Fatty Acid Composition, Antioxidant Properties, and Metabolite Profiles in Safflower (Carthamus tinctorius L.)" International Journal of Molecular Sciences 26, no. 7: 3105. https://doi.org/10.3390/ijms26073105
APA StyleLi, W., Kim, E.-G., Lee, D., Choi, Y.-M., Lee, J.-E., Lee, S., Lee, G.-A., & Yoo, E. (2025). Flower Color and Seed Coat Color as a Phenotypic Marker: Correlations with Fatty Acid Composition, Antioxidant Properties, and Metabolite Profiles in Safflower (Carthamus tinctorius L.). International Journal of Molecular Sciences, 26(7), 3105. https://doi.org/10.3390/ijms26073105

