The Effect of Sowing Date on Soybean Growth and Yield Under Changing Climate in the Southern Coastal Region of Korea
Abstract
1. Introduction
2. Materials and Methods
2.1. Study Area and Soil Chemical Properties
2.2. Climate Analysis Method
2.3. Sowing Dates and Cultivation Methods
2.4. Growth and Yield Characteristic Survey
2.5. Statistical Analysis
3. Weather Conditions
4. Result and Discussion
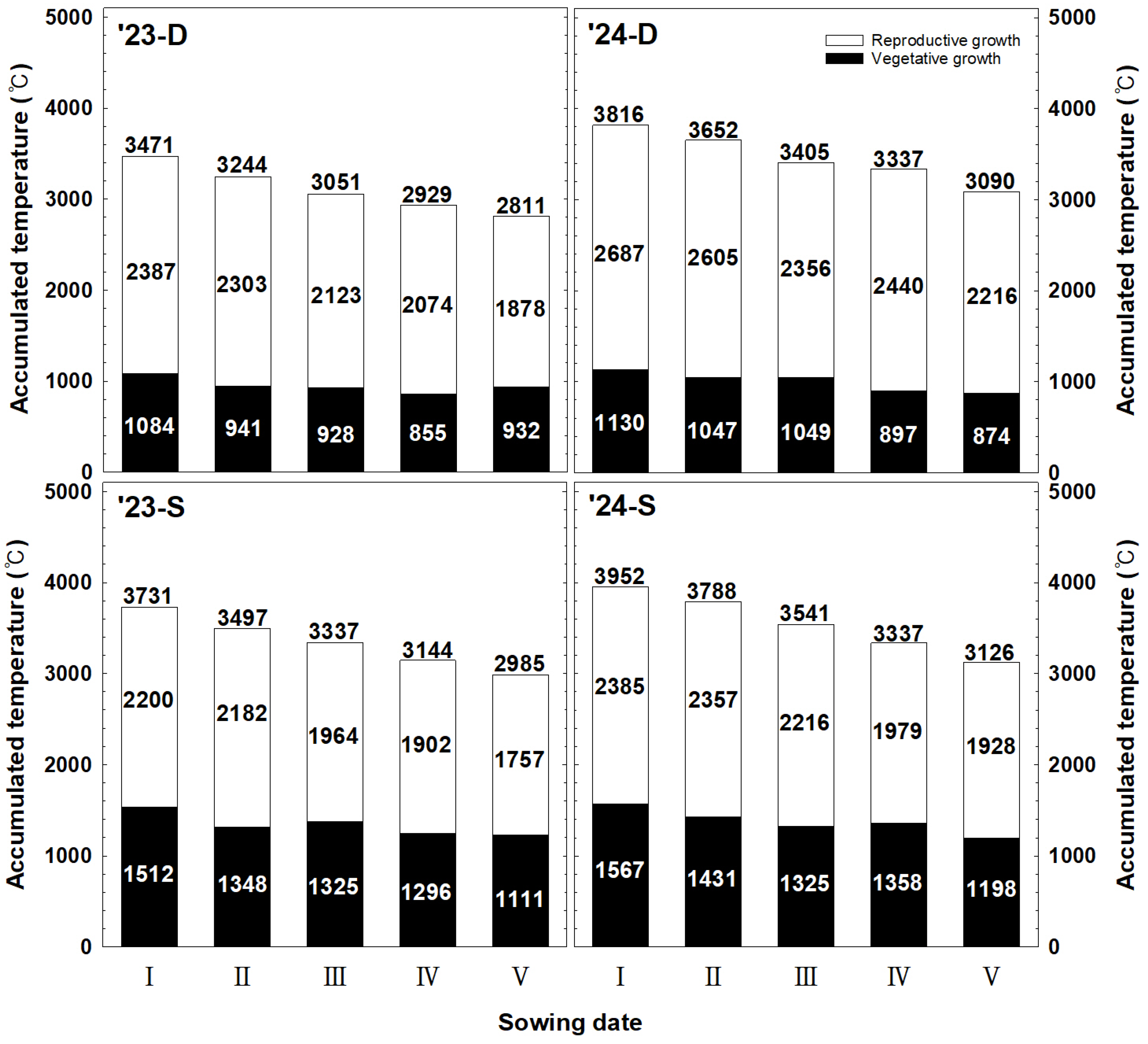
4.1. Growing Degree Days and Days Required for Major Growth Stages by Sowing Date
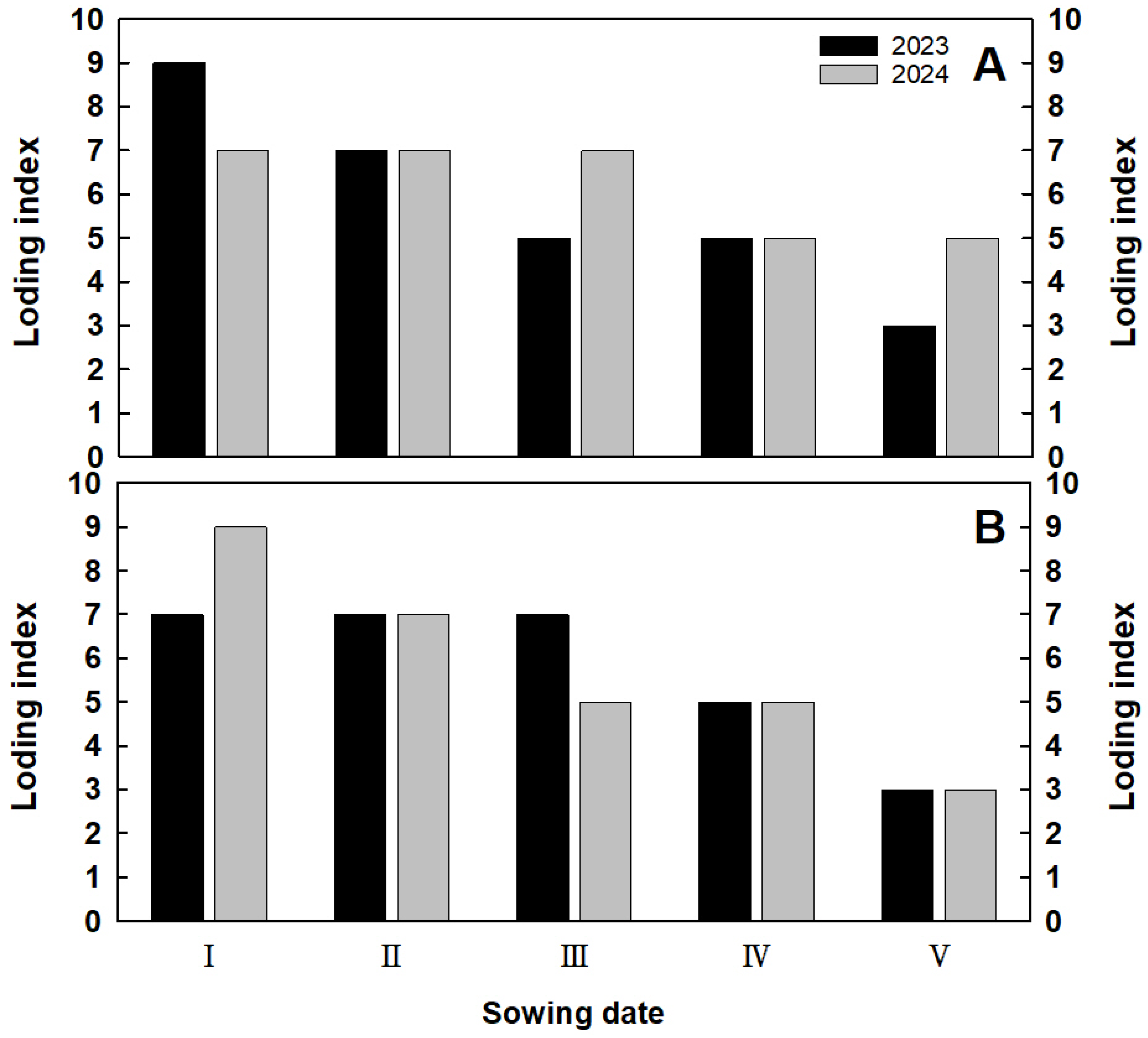
4.2. Growth Characteristics, Correlations, and Lodging Index by Sowing Date
4.3. Yield Components and Correlations by Sowing Date
4.4. Seed Quality by Sowing Date
5. Conclusions
Author Contributions
Funding
Institutional Review Board Statement
Data Availability Statement
Conflicts of Interest
References
- Oh, S.Y.; Choi, J.S.; Kim, T.H.; Oh, S.H. Influence of Sowing Date on Seed Yield and Quality of Black Soybean (Glycine max L.) Merrill cv. Cheongja-3ho) in the Southern Paddy Field. Korean J. Agric. For. Meteorol. 2023, 25, 326–336. [Google Scholar]
- Sang, W.G.; Baek, J.K.; Kwon, D.W.; Cho, J.I. Impact of Climate Change on Yield and Canopy Photosynthesis of Soybean. Korean J. Agric. For. Meteorol. 2022, 24, 275–284. [Google Scholar]
- Chung, U.R.; Cho, H.S.; Kim, J.H.; Sang, W.G.; Shin, P.; Seo, M.C.; Jung, W.S. Responses of Soybean Yield to High Temperature Stress during Growing Season: A Case Study of the Korean Soybean. Korean J. Agric. For. Meteorol. 2016, 18, 188–198. [Google Scholar] [CrossRef]
- Lee, J.E.; Jung, G.F.; Kim, S.K.; Kim, M.T.; Shin, S.H.; Jeon, W.T. Effects of Growth Period and Cumulative Temperature on Flowering, Ripening and Yield of Soybean by Sowing Times. Korean J. Crop Sci. 2019, 64, 406–413. [Google Scholar]
- IPCC. Climate Change: Synthesis Report; Intergonernmental Panel on Climate Change Geneva; IPCC: Geneva, Switzerland, 2014. [Google Scholar]
- Hatfield, J.L.; Boote, K.J.; Kimball, B.A.; Ziska, L.H.; Izaurralde, R.C. Climate impacts on agriculture: Implications for crop production. Agron. J. 2011, 103, 351–370. [Google Scholar] [CrossRef]
- Wheeler, T.; Braun, J.V. Climate Change Impacts on Global Food Security. Science 2013, 341, 508–513. [Google Scholar] [CrossRef]
- Gibson, L.R.; Mullen, R.E. Soybean seed quality reductions by high day and night temperature. Crop Sci. 1996, 36, 1615–1619. [Google Scholar] [CrossRef]
- Meotti, G.V.; Benin, G.; Silva, R.R.; Beche, E.; Mumaro, L.B. Épocas de semeadura e desempenho agronômico de cultivares de soja. Pesqui. Agropecuária Bras. 2012, 47, 14–21. [Google Scholar] [CrossRef]
- Kim, D.J.; Kim, S.O.; Moon, K.H.; Yun, J.I. An outlook on cereal grains production in South Korea based on crop growth simulation under the RCP 8.5 climate condition. Korean J. Agric. For. Meteorol. 2012, 14, 132–141. [Google Scholar] [CrossRef]
- Park, H.J.; Han, W.Y.; Oh, K.W.; Kim, H.T.; Shin, S.O.; Lee, B.W.; Ko, J.M.; Baek, I.Y. Growth and yield components responses to delayed planting of soybean in Southern region of Korea. Korean J. Crop Sci. 2014, 59, 483–491. [Google Scholar] [CrossRef]
- Kim, D.K.; Choi, J.G.; Park, H.G.; Shin, H.R.; Yoon, S.T.; Lee, K.D.; Rim, Y.S. Ecological characteristics and yield of major soybean cultivars at different sowing times in southern Korea. Korean J. Crop Sci. 2013, 58, 57–66. [Google Scholar] [CrossRef]
- Ko, J.Y.; Baek, I.Y.; Kang, B.K.; Seo, J.H.; Yun, Y.N.; Jang, Y.W.; Lee, H.J.; Yun, H.T.; Han, W.Y. Agricultural Technology Guide (Soybean); RDA: Jeonju, Republic of Korea, 2021. [Google Scholar]
- Ogunkanmi, L.; MacCarthy, D.S.; Adiku, S.G.K. Impact of Extreme Temperature and Soil Water Stress on the Growth and Yield of Soybean (Glycine max L.) Merrill). Agriculture 2022, 12, 43. [Google Scholar] [CrossRef]
- Shim, S.I.; Park, C.S.; Cho, J.W.; Woo, S.H. Food Crop Science (Upland Crops); Hyangmunsa: Seoul, Republic of Korea, 2019; p. 254. [Google Scholar]
- Alsajri, F.A.; Wijewardana, C.; Krutz, L.J.; Irby, J.T.; Golden, B.; Reddy, K.R. Quantifying and Validating Soybean Seed Emergence Model as a Function of Temperature. Am. J. Plant Sci. 2019, 10, 111–124. [Google Scholar] [CrossRef][Green Version]
- Kwon, H.H.; Khalil, A.F.; Siegfried, T. Analysis of extreme Summer rainfall using Climate Teleconnections and Typhoon Characteristics in South Korea. Am. Water Resour. Assoc. 2008, 44, 436–448.s. [Google Scholar] [CrossRef]
- Seo, J.H.; Park, J.S.; Choi, M.S.; Jung, K.Y.; Chun, H.C.; Lee, S.H.; Gong, D.H.; Chae, S.E.; Jeon, S.H.; Yoon, D.K. Growth and Yield Response of Soybean (Glycine max L.) in Relation to Sowing Date in the Southern Region of South Korea. Agronomy 2024, 14, 2624. [Google Scholar] [CrossRef]
- Williamson, R.E.; George, J.K. Response of Agricultural Crops to Flooding, Depth-Of Water Table and Soil Gaseous Composition. Trans. ASAE 1970, 13, 216–220. [Google Scholar]
- Koo, S.C.; Kim, H.T.; Kang, B.K.; Lee, Y.H.; Oh, K.W.; Kim, H.Y.; Baek, I.Y.; Yun, H.T.; Choi, M.S. Screening of Flooding Tolerance in Soybean Germplasm Collection. Korean J. Breed. Sci. 2014, 46, 129–135. [Google Scholar] [CrossRef]
- Chathurika, W.; Reddya, K.R.; Nacer, B. Soybean seed physiology, quality, and chemical composition under soil moisture stress. Food Chem. 2019, 278, 92–100. [Google Scholar]
- Desouza, P.I.; Egli, D.B.; Bruening, W.P. Water stress during seed filling and leaf senescence in soybean. Agronomy 1997, 89, 807–812. [Google Scholar] [CrossRef]
- Board, J.E.; Hall, W. Premature flowering in soybean yield reductions at non optimal planting dates as influenced by temperature and photoperiod. Agron. J. 1984, 76, 700–704. [Google Scholar] [CrossRef]
- Kantolic, A.; Slafer, G. Development and seed number in indeterminate soybean as affected by timing and duration of exposure to long photoperiods after flowering. Ann. Bot. 2007, 99, 925–933. [Google Scholar] [CrossRef] [PubMed]
- Clovis, P.J.; Jackson, K.; Marcelo, B.; Marcelo, M.L.M.; Murilo, V.D.C.; Leandro, M. Phenological and quantitative plant development change in soybean cultures caused by sowing date and their relation to yield. Afr. J. Agric. Res. 2015, 10, 515–523. [Google Scholar] [CrossRef]
- Haoyu, Z.; Li, Z.; Jun, Z.; Hongbao, S.; Datong, Z.; Axiang, Z.; Fu, C.; Matthew, T.H.; Xiaogang, Y. Optimal sowing time to adapt soybean production to global warming with different cultivars in the Huanghuaihai Farming Region of China. Field Crops Res. 2024, 312, 109386. [Google Scholar]
- Violeta, M.; Snezana, D.; Nikola, D.; Zorica, B.; Vesna, K.; Maja, P.; Milan, B. Genotype and Sowing Time Effects on Soybean Yield and Quality. Agriculture 2020, 10, 502. [Google Scholar] [CrossRef]
- Spyridon, M.; James, E.S.; Shawn, P.C. Defining Optimal Soybean Sowing Dates across the US. Sci. Rep. 2019, 9, 2800. [Google Scholar]
- Kumudini, S.V.; Pallikonda, P.K.; Steele, C. Photoperiod and e-genes influence the duration of the reproductive phase in soybean. Crop Sci. 2007, 47, 1510–1517. [Google Scholar] [CrossRef]
- Egli, D.B.; Cornelius, P.L. A regional analysis of the response of soybean yield to planting date. Agron J. 2009, 101, 330–335. [Google Scholar] [CrossRef]




| Year | pH (1:5) | EC (ds m−1) | OM (g kg−1) | P2O5 (mg kg−1) | Ex. Cation (cmol kg−1) | |||
|---|---|---|---|---|---|---|---|---|
| K | Ca | Mg | Na | |||||
| 2023 | 6.19 | 0.61 | 26.0 | 225 | 1.12 | 6.62 | 2.42 | 0.13 |
| 2024 | 6.43 | 0.37 | 31.2 | 276 | 1.16 | 9.37 | 3.65 | 0.16 |
| Year | Sowing Date | ||||
|---|---|---|---|---|---|
| I | II | III | IV | V | |
| 2023 | 12 May | 26 May | 5 June | 16 June | 24 June |
| 2024 | 16 May | 24 May | 5 June | 14 June | 24 June |
| Cultivar | Year | Sowing Date | Number of Days from Sowing to Full Bloom (R2) | Number of Days from Sowing to Full Seed (R6) | Number of Days from Sowing to Full Maturity (R8) |
|---|---|---|---|---|---|
| Daewon | 2023 | I | 51 | 96 | 138 |
| II | 44 | 85 | 126 | ||
| III | 44 | 76 | 118 | ||
| IV | 38 | 72 | 114 | ||
| V | 39 | 74 | 110 | ||
| 2024 | I | 52 | 100 | 148 | |
| II | 47 | 92 | 140 | ||
| III | 47 | 81 | 129 | ||
| IV | 38 | 79 | 127 | ||
| V | 37 | 76 | 117 | ||
| Seonpung | 2023 | I | 69 | 116 | 152 |
| II | 59 | 102 | 140 | ||
| III | 58 | 93 | 134 | ||
| IV | 53 | 82 | 127 | ||
| V | 50 | 84 | 121 | ||
| 2024 | I | 69 | 114 | 155 | |
| II | 61 | 106 | 147 | ||
| III | 56 | 98 | 136 | ||
| IV | 54 | 89 | 127 | ||
| V | 48 | 85 | 119 |
| Cultivar | Year | Sowing Date | Plant Height | Stem Diameter | No. of Branch | Node No. of Main Stem | LAI | Dry Weight |
|---|---|---|---|---|---|---|---|---|
| cm | mm | Plant−1 | g | |||||
| Daewon | 2023 | I | 63.5 a | 6.5 a | 3.7 a | 13.7 a | 4.6 a | 14.8 a |
| II | 59.1 b | 6.2 a | 3.5 a | 13.5 a | 4.6 a | 14.4 a | ||
| III | 57.8 b | 5.6 b | 3.8 a | 13.0 ab | 4.1 a | 12.3 b | ||
| IV | 52.5 c | 5.6 b | 4.1 a | 12.7 b | 2.7 b | 9.8 c | ||
| V | 41.4 d | 5.5 c | 4.1 a | 11.8 c | 2.4 b | 7.9 d | ||
| 2024 | I | 93.2 a | 9.4 a | 4.3 a | 14.3 a | 7.1 a | 26.3 a | |
| II | 88.8 b | 9.1 b | 4.0 a | 14.0 ab | 6.8 ab | 23.7 b | ||
| III | 76.0 c | 8.9 ab | 4.5 a | 13.7 b | 6.3 b | 21.3 c | ||
| IV | 75.1 c | 7.7 b | 4.2 a | 13.0 b | 4.9 c | 17.5 d | ||
| V | 44.0 d | 6.3 c | 4.3 a | 11.3 c | 4.1 c | 15.5 e | ||
| Seonpung | 2023 | I | 56.5 a | 10.6 a | 3.8 a | 17.0 a | 8.9 a | 35.6 a |
| II | 56.0 a | 9.3 b | 4.0 a | 16.0 b | 8.3 b | 30.9 b | ||
| III | 55.8 b | 9.1 b | 3.7 a | 15.8 b | 8.3 b | 30.1 b | ||
| IV | 55.2 b | 8.6 c | 4.0 a | 15.0 c | 7.6 c | 27.5 c | ||
| V | 53.8 c | 8.5 c | 4.2 a | 14.0 d | 6.8 d | 25.2 d | ||
| 2024 | I | 76.8 a | 9.8 a | 4.0 a | 16.5 a | 8.8 a | 35.2 a | |
| II | 75.8 a | 9.5 ab | 4.3 a | 16.3 ab | 8.5 ab | 32.3 b | ||
| III | 73.7 b | 8.8 b | 4.5 a | 15.3 b | 7.8 b | 28.9 c | ||
| IV | 66.2 c | 8.5 c | 4.3 a | 15.7 b | 7.2 c | 24.4 d | ||
| V | 67.2 c | 8.5 c | 4.4 a | 13.8 c | 6.1 b | 21.9 e | ||
| Treatments | Plant Height | Stem Diameter | No. of Branches | Node no. of Main Stems | LAI | Dry Weight |
|---|---|---|---|---|---|---|
| sowing time | −0.513 *** | −0.390 ** | 0.205 ns | −0.542 *** | −0.407 ** | −0.447 *** |
| cultivar | −0.053 ns | 0.653 *** | 0.212 ns | 0.750 *** | 0.760 *** | 0.779 *** |
| Year | 0.678 *** | 0.344 ** | 0.406 ** | 0.057 ns | −0.009 ns | 0.311 * |
| Cultivar | Year | Sowing Date | Pod Number | Seed Number | 100-Seed Weight |
|---|---|---|---|---|---|
| No. Plant−1 | No. Pod−1 | g | |||
| Daewon | 2023 | I | 32.5 c | 1.8 a | 21.9 a |
| II | 40.7 b | 1.9 a | 22.2 a | ||
| III | 41.5 b | 1.8 a | 22.3 a | ||
| IV | 44.7 ab | 1.8 a | 21.8 a | ||
| V | 46.8 a | 1.8 a | 21.8 a | ||
| 2024 | I | 31.7 c | 1.6 a | 21.8 a | |
| II | 35.6 b | 1.7 a | 21.7 a | ||
| III | 37.0 b | 1.7 a | 21.5 a | ||
| IV | 38.3 ab | 1.8 a | 21.5 a | ||
| V | 39.5 a | 1.8 a | 21.9 a | ||
| Seonpung | 2023 | I | 30.1 d | 1.9 a | 22.8 a |
| II | 41.5 c | 2.0 a | 22.5 a | ||
| III | 41.1 c | 2.0 a | 22.2 a | ||
| IV | 42.8 b | 2.0 a | 22.5 a | ||
| V | 43.8 a | 2.0 a | 22.6 a | ||
| 2024 | I | 26.5 d | 1.9 a | 22.6 a | |
| II | 34.6 c | 1.9 a | 22.4 a | ||
| III | 36.9 b | 1.9 a | 22.3 a | ||
| IV | 37.3 ab | 2.0 a | 22.1 a | ||
| V | 39.0 a | 1.9 a | 22.0 a |
| Treatments | Pod Number | Seed Number | 100-Seed Weight | Yield |
|---|---|---|---|---|
| Sowing time | 0.710 *** | 0.254 ns | −0.277 ns | 0.719 *** |
| Cultivar | −0.146 ns | 0.808 *** | 0.757 *** | 0.427 ns |
| Year | −0.486 * | −0.359 ns | −0.378 ns | −0.100 ns |
| Cultivar | Year | Sowing Date | <4.75 mm | 4.75~5.6 mm | 5.6~6.7 mm | 6.7~8.0 mm | >8.0 mm |
|---|---|---|---|---|---|---|---|
| % | |||||||
| Daewon | 2023 | I | 4.2 | 9.8 | 19.0 | 67.0 | 0.0 |
| II | 3.6 | 6.3 | 15.1 | 75.0 | 0.0 | ||
| III | 1.9 | 2.9 | 15.9 | 77.3 | 2.0 | ||
| IV | 0.5 | 1.0 | 18.2 | 78.4 | 1.9 | ||
| V | 0.5 | 0.3 | 14.1 | 80.9 | 4.2 | ||
| 2024 | I | 0.3 | 2.1 | 49.8 | 45.7 | 2.1 | |
| II | 0.5 | 2.0 | 46.1 | 49.7 | 1.7 | ||
| III | 0.4 | 2.9 | 44.7 | 50.0 | 2.0 | ||
| IV | 0.6 | 1.6 | 41.6 | 55.1 | 1.1 | ||
| V | 0.4 | 1.9 | 35.2 | 59.4 | 3.1 | ||
| Seonpung | 2023 | I | 1.5 | 3.3 | 38.4 | 56.8 | 0.0 |
| II | 0.6 | 3.0 | 35.1 | 60.2 | 1.1 | ||
| III | 0.8 | 1.0 | 31.7 | 64.5 | 2.0 | ||
| IV | 0.6 | 0.4 | 27.8 | 69.2 | 2.0 | ||
| V | 0.5 | 0.2 | 25.3 | 71.5 | 2.5 | ||
| 2024 | I | 0.0 | 1.0 | 47.1 | 51.1 | 0.8 | |
| II | 0.0 | 0.9 | 43.9 | 54.7 | 0.5 | ||
| III | 0.3 | 1.4 | 47.8 | 50.3 | 0.2 | ||
| IV | 0.3 | 0.7 | 39.6 | 58.6 | 0.8 | ||
| V | 0.3 | 0.3 | 37.5 | 60.9 | 1.0 | ||
Disclaimer/Publisher’s Note: The statements, opinions and data contained in all publications are solely those of the individual author(s) and contributor(s) and not of MDPI and/or the editor(s). MDPI and/or the editor(s) disclaim responsibility for any injury to people or property resulting from any ideas, methods, instructions or products referred to in the content. |
© 2025 by the authors. Licensee MDPI, Basel, Switzerland. This article is an open access article distributed under the terms and conditions of the Creative Commons Attribution (CC BY) license (https://creativecommons.org/licenses/by/4.0/).
Share and Cite
Chae, S.; Shin, P.; Youn, J.; Sung, J.; Jeon, S. The Effect of Sowing Date on Soybean Growth and Yield Under Changing Climate in the Southern Coastal Region of Korea. Agriculture 2025, 15, 1174. https://doi.org/10.3390/agriculture15111174
Chae S, Shin P, Youn J, Sung J, Jeon S. The Effect of Sowing Date on Soybean Growth and Yield Under Changing Climate in the Southern Coastal Region of Korea. Agriculture. 2025; 15(11):1174. https://doi.org/10.3390/agriculture15111174
Chicago/Turabian StyleChae, SeEun, Pyeong Shin, JongTag Youn, JwaKyung Sung, and SeungHo Jeon. 2025. "The Effect of Sowing Date on Soybean Growth and Yield Under Changing Climate in the Southern Coastal Region of Korea" Agriculture 15, no. 11: 1174. https://doi.org/10.3390/agriculture15111174
APA StyleChae, S., Shin, P., Youn, J., Sung, J., & Jeon, S. (2025). The Effect of Sowing Date on Soybean Growth and Yield Under Changing Climate in the Southern Coastal Region of Korea. Agriculture, 15(11), 1174. https://doi.org/10.3390/agriculture15111174

