Sign in to use this feature.

Years

Between: -

Subjects

remove_circle_outline
remove_circle_outline
remove_circle_outline
remove_circle_outline
remove_circle_outline
remove_circle_outline
remove_circle_outline
remove_circle_outline
remove_circle_outline

Journals

remove_circle_outline
remove_circle_outline
remove_circle_outline
remove_circle_outline
remove_circle_outline
remove_circle_outline
remove_circle_outline
remove_circle_outline
remove_circle_outline
remove_circle_outline
remove_circle_outline
remove_circle_outline
remove_circle_outline
remove_circle_outline
remove_circle_outline

Article Types

Countries / Regions

remove_circle_outline
remove_circle_outline
remove_circle_outline
remove_circle_outline
remove_circle_outline
remove_circle_outline

Search Results (887)

Search Parameters:
Keywords = flow augmentation

Order results
Result details
Results per page
Select all
Export citation of selected articles as:
21 pages, 3813 KB  
Article
HMRM: A Hybrid Motion and Region-Fused Mamba Network for Micro-Expression Recognition
by Zhe Guo, Yi Liu, Rui Luo, Jiayi Liu and Lan Wei
Sensors 2025, 25(24), 7672; https://doi.org/10.3390/s25247672 - 18 Dec 2025
Abstract
Micro-expression recognition (MER), as an important branch of intelligent visual sensing, enables the analysis of subtle facial movements for applications in emotion understanding, human–computer interaction and security monitoring. However, existing methods struggle to capture fine-grained spatiotemporal dynamics under limited data and computational resources, [...] Read more.
Micro-expression recognition (MER), as an important branch of intelligent visual sensing, enables the analysis of subtle facial movements for applications in emotion understanding, human–computer interaction and security monitoring. However, existing methods struggle to capture fine-grained spatiotemporal dynamics under limited data and computational resources, making them difficult to deploy in real-world sensing systems. To address this limitation, we propose HMRM, a hybrid motion and region-fused Mamba network designed for efficient and accurate MER. HMRM enhances motion representation through a hybrid feature augmentation module that integrates gated recurrent unit (GRU)-attention optical flow estimation with a regional MotionMix enhancement strategy to increase motion diversity. Furthermore, it employs a grained Mamba encoder to achieve lightweight and effective long-range temporal modeling. Additionally, a regions feature fusion strategy is introduced to strengthen the representation of localized expression dynamics. Experiments on multiple MER benchmark datasets demonstrate that HMRM achieves state-of-the-art performance with strong generalization and low computational cost, highlighting its potential for integration into compact, real-time visual sensing and emotion analysis systems. Full article
(This article belongs to the Special Issue Emotion Recognition and Cognitive Behavior Analysis Based on Sensors)
Show Figures

Figure 1

48 pages, 1170 KB  
Review
Magnesium Ions as Modulators of Voltage-Gated and Ligand-Gated Ion Channels in Central Neurons
by Svetolik Spasic, Marko Biorac, Nikola Jovanovic, Srdjan Lopicic, Sanjin Kovacevic, Jelena Nesovic Ostojic and Marija Stanojević
Int. J. Mol. Sci. 2025, 26(24), 12152; https://doi.org/10.3390/ijms262412152 - 17 Dec 2025
Abstract
Magnesium ions regulate synaptic and nonsynaptic neuronal excitability from intracellular (Mg2+i) and extracellular (Mg2+o) domains, modulating voltage- and ligand-gated ion channels. K+ inward rectifier (Kir) channel inward rectification arises from Mg2+i blocking the pore and [...] Read more.
Magnesium ions regulate synaptic and nonsynaptic neuronal excitability from intracellular (Mg2+i) and extracellular (Mg2+o) domains, modulating voltage- and ligand-gated ion channels. K+ inward rectifier (Kir) channel inward rectification arises from Mg2+i blocking the pore and outward K+ current, while Mg2+o targets external sites. Mg2+i causes voltage-dependent Ca2+ voltage-gated (CaV) and Na+ voltage-gated (NaV) channel block while phosphorylation modulates channel activity. Mg2+o elicits direct voltage-dependent CaV channel block, and screens surface charge, and in NaV channels reduces conduction and may cause depolarization by quantum tunneling across closed channels. Mg2+i is an allosteric large conductance Ca2+-activated K+ (BK) channel activator, binding to low-affinity sites to alter Ca2+ and voltage sensitivity but reduces small conductance Ca2+-activated K+ (SK) channels’ outward K+ current and induces inward rectification. N-Methyl-D-aspartate receptor (NMDAR) channels are inhibited by Mg2+i binding within the pore, while Mg2+o stabilizes excitability through voltage-dependent block, Mg2+o forms Mg-ATP complex modifying purinergic P2X receptor (P2XR) channel affinity and gating and directly blocks the pore. Mg2+o reduces gamma-aminobutyric acid type A receptor (GABAAR) channel Cl current amplitude and augments susceptibility to blockers. Mg2+o and Mg2+i block nicotinic acetylcholine receptor (nAChR) channels through voltage-dependent pore binding and surface charge screening, impeding current flow and altering gating. Full article
(This article belongs to the Special Issue The Role of Mg Homeostasis in Disease: 2nd Edition)
Show Figures

Figure 1

18 pages, 578 KB  
Article
Physics-Constrained Graph Attention Networks for Distribution System State Estimation Under Sparse and Noisy Measurements
by Zijian Hu, Zeyu Zhang, Honghua Xu, Ye Ji and Suyang Zhou
Processes 2025, 13(12), 4055; https://doi.org/10.3390/pr13124055 - 15 Dec 2025
Viewed by 145
Abstract
Accurate state estimation is essential for the real-time operation and control of modern distribution systems characterized by high renewable energy penetration, bidirectional power flows, and volatile loads. Conventional model-driven approaches such as the Weighted Least Squares (WLS) exhibit limited robustness under noisy and [...] Read more.
Accurate state estimation is essential for the real-time operation and control of modern distribution systems characterized by high renewable energy penetration, bidirectional power flows, and volatile loads. Conventional model-driven approaches such as the Weighted Least Squares (WLS) exhibit limited robustness under noisy and sparse measurements, while existing data-driven methods often neglect critical physical constraints inherent to power systems. To address these limitations, this paper proposes a physics-constrained Graph Attention Network (GAT) framework for distribution system state estimation (DSSE) that synergistically integrates data-driven learning with physical domain knowledge. The proposed method comprises three key components: (1) a Gaussian Mixture Model (GMM)-based data augmentation strategy that captures the stochastic characteristics of loads and distributed generation to generate synthetic samples consistent with actual operating distributions; (2) a GAT-based feature extractor with topology-aware admittance matrix embedding that effectively learns spatial dependencies and structural relationships among network nodes; and (3) a physics-constrained loss function that incorporates nodal power and voltage limit penalties to enforce operational feasibility. Comprehensive evaluations on the real-world 141-bus test system demonstrate that the proposed method achieves mean absolute error (MAE) reductions of 52.4% and 45.5% for voltage magnitude and angle estimation, respectively, compared to conventional Graph Convolutional Network (GCN)-based approaches. These results validate the superior accuracy, robustness, and adaptability of the proposed framework under challenging measurement conditions. Full article
Show Figures

Figure 1

12 pages, 913 KB  
Review
Metabolic Dysfunction-Associated Steatotic Liver Disease (MASLD): New Perspectives on an Evolving Epidemic
by Gerond Lake-Bakaar
J. Clin. Med. 2025, 14(24), 8872; https://doi.org/10.3390/jcm14248872 - 15 Dec 2025
Viewed by 143
Abstract
The absence of a unifying pathogenetic mechanism in metabolic dysfunction-associated steatotic liver disease (MASLD), formerly known as non-alcoholic fatty liver disease (NAFLD), has significantly hindered therapeutic progress. Appreciation that the delivery of excessive amounts of calories to the liver via the portal circulation [...] Read more.
The absence of a unifying pathogenetic mechanism in metabolic dysfunction-associated steatotic liver disease (MASLD), formerly known as non-alcoholic fatty liver disease (NAFLD), has significantly hindered therapeutic progress. Appreciation that the delivery of excessive amounts of calories to the liver via the portal circulation might be a key parallel between MASLD and the twin steatotic liver disease, alcohol-related liver disease (ALD), establishes a consolidated framework that could guide rational drug design and precise therapeutic approaches. This review contends that, in both ALD and MASLD, the unique dual blood supply to the liver, from both portal vein and hepatic artery as well as the distinctive blood flow control physiology, prevents hepatic arterial oxygen delivery from adequately compensating for the increased metabolic demands induced by excess caloric intake—alcohol in ALD and food in MASLD—resulting in hepatocellular injury. Over four decades ago, Lautt postulated that this ‘oxygen-nutrient mismatch’ could play a role in ALD. We have extended this paradigm to MASLD, theorizing that analogous mechanisms may be involved in both conditions. Evidence that comorbidities, which are associated with recurrent episodes of hypoxemia, such as obstructive sleep apnea (OSA), exacerbate MASLD progression, supports this. ALD is less strongly linked to metabolic syndrome than MASLD. This may be due to inherent differences in hepatic substrate processing. Carbohydrates, lipids, and proteins undergo diverse and flexible cytosolic metabolic pathways, especially under metabolic stress. In contrast, hepatic ethanol metabolism is predominantly linear and obligately oxidative, providing limited metabolic adaptability. Future perspectives could focus on rectifying the imbalance between hepatic oxygen delivery and nutrient availability. This might be accomplished by attenuating hepatic caloric excess using emerging pharmacotherapies for weight reduction, augmenting hepatic oxygenation through hyperbaric oxygen therapy, or increasing hepatic arterial blood flow with agents such as obeticholic acid. Furthermore, enhancement of hepatic basal metabolic activity with thyroid hormone receptor-β agonists, like resmiritom may confer similar therapeutic effects. Full article
Show Figures

Figure 1

24 pages, 4981 KB  
Article
Propulsive Force Characterization of a Bio-Robotic Sea Lion Foreflipper: A Kinematic Basis for Agile Propulsion
by Anthony Drago, Nicholas Marcouiller, Shraman Kadapa, Frank E. Fish and James L. Tangorra
Biomimetics 2025, 10(12), 831; https://doi.org/10.3390/biomimetics10120831 - 12 Dec 2025
Viewed by 182
Abstract
Unmanned underwater vehicles (UUVs) capable of agile, high-speed maneuvering in complex environments require propulsion systems that can dynamically modulate three-dimensional forces. The California sea lion (Zalophus californianus) provides an exceptional biological model, using its foreflippers to achieve rapid turns and powerful [...] Read more.
Unmanned underwater vehicles (UUVs) capable of agile, high-speed maneuvering in complex environments require propulsion systems that can dynamically modulate three-dimensional forces. The California sea lion (Zalophus californianus) provides an exceptional biological model, using its foreflippers to achieve rapid turns and powerful propulsion. However, the specific kinematic mechanisms that govern instantaneous force generation from its powerful foreflippers remain poorly quantified. This study experimentally characterizes the time-varying thrust and lift produced by a bio-robotic sea lion foreflipper to determine how flipper twist, sweep, and phase overlap modulate propulsive forces. A three-degree-of-freedom bio-robotic flipper with a simplified, low-aspect-ratio planform and single compliant hinge was tested in a circulating flow tank, executing parameterized power and paddle strokes in both isolated and combined-phase trials. The time-resolved force data reveal that the propulsive stroke functions as a tunable hybrid system. The power phase acts as a force-vectoring mechanism, where the flipper’s twist angle reorients the resultant vector: thrust is maximized in a broad, robust range peaking near 45°, while lift increases monotonically to 90°. The paddle phase operates as a flow-insensitive, geometrically driven thruster, where twist angle (0° optimal) regulates thrust by altering the presented surface area. In the full stroke, a temporal-phase overlap governs thrust augmentation, while the power-phase twist provides robust steering control. Within the tested inertial flow regime (Re ≈ 104–105), this control map is highly consistent with propulsion dominated by geometric momentum redirection and impulse timing, rather than circulation-based lift. These findings establish a practical, experimentally derived control map linking kinematic inputs to propulsive force vectors, providing a foundation for the design and control of agile, bio-inspired underwater vehicles. Full article
Show Figures

Graphical abstract

18 pages, 2208 KB  
Article
Numerical and Experimental Investigation of Parameters in Cement Delivery Through Spinal Implants
by Damian Obidowski, Lechosław F. Ciupik, Agnieszka Kierzkowska, Piotr Reorowicz, Artur Bonik, Zbigniew Tyfa, Krzysztof Sobczak, Edward Słoński and Krzysztof Jóźwik
Materials 2025, 18(24), 5566; https://doi.org/10.3390/ma18245566 - 11 Dec 2025
Viewed by 223
Abstract
Bone cement is used in spinal procedures and can be used alone or in combination with an implant to stabilize spine and relieve pain. Despite benefits, complications remain a concern. This study investigates how the internal geometry of a spinal implant device affects [...] Read more.
Bone cement is used in spinal procedures and can be used alone or in combination with an implant to stabilize spine and relieve pain. Despite benefits, complications remain a concern. This study investigates how the internal geometry of a spinal implant device affects injection pressure and cement distribution. Two design groups (G1 and G2), differing in lateral channel angle, were analyzed across three functional variants using CFD (Computational Fluid Dynamics) simulations. CFD modeling employed a two-phase (air–cement) flow. Experimental tests confirmed simulation tests and revealed that angled channels (G2) promoted more uniform cement flow. CFD analysis showed reduced pressure on the syringe plunger, especially when the central channel was blocked. Threaded configurations increased the needed pressure but had minimal impact on flow distribution. G2 required a higher force exerted on the syringe plunger than G1. The study concludes that channel geometry significantly affects the required cement delivery pressure and implant fixation, which translates into the implant–bone interface. While certain configurations improve flow uniformity, elevated injection pressure may pose risks. These findings support optimizing implant design and cement delivery techniques, contributing to safer and more effective implant-based spinal surgeries with bone cement augmentation. Full article
(This article belongs to the Section Biomaterials)
Show Figures

Figure 1

28 pages, 4585 KB  
Article
Uncertainty-Aware Adaptive Intrusion Detection Using Hybrid CNN-LSTM with cWGAN-GP Augmentation and Human-in-the-Loop Feedback
by Clinton Manuel de Nascimento and Jin Hou
Safety 2025, 11(4), 120; https://doi.org/10.3390/safety11040120 - 5 Dec 2025
Viewed by 327
Abstract
Intrusion detection systems (IDSs) must operate under severe class imbalance, evolving attack behavior, and the need for calibrated decisions that integrate smoothly with security operations. We propose a human-in-the-loop IDS that combines a convolutional neural network and a long short-term memory network (CNN–LSTM) [...] Read more.
Intrusion detection systems (IDSs) must operate under severe class imbalance, evolving attack behavior, and the need for calibrated decisions that integrate smoothly with security operations. We propose a human-in-the-loop IDS that combines a convolutional neural network and a long short-term memory network (CNN–LSTM) classifier with a variational autoencoder (VAE)-seeded conditional Wasserstein generative adversarial network with gradient penalty (cWGAN-GP) augmentation and entropy-based abstention. Minority classes are reinforced offline via conditional generative adversarial (GAN) sampling, whereas high-entropy predictions are escalated for analysts and are incorporated into a curated retraining set. On CIC-IDS2017, the resulting framework delivered well-calibrated binary performance (ACC = 98.0%, DR = 96.6%, precision = 92.1%, F1 = 94.3%; baseline ECE ≈ 0.04, Brier ≈ 0.11) and substantially improved minority recall (e.g., Infiltration from 0% to >80%, Web Attack–XSS +25 pp, and DoS Slowhttptest +15 pp, for an overall +11 pp macro-recall gain). The deployed model remained lightweight (~42 MB, <10 ms per batch; ≈32 k flows/s on RTX-3050 Ti), and only approximately 1% of the flows were routed for human review. Extensive evaluation, including ROC/PR sweeps, reliability diagrams, cross-domain tests on CIC-IoT2023, and FGSM/PGD adversarial stress, highlights both the strengths and remaining limitations, notably residual errors on rare web attacks and limited IoT transfer. Overall, the framework provides a practical, calibrated, and extensible machine learning (ML) tier for modern IDS deployment and motivates future research on domain alignment and adversarial defense. Full article
Show Figures

Graphical abstract

19 pages, 11470 KB  
Article
A Large Eddy Simulation-Based Power Forecast Approach for Offshore Wind Farms
by Yongjie Lu, Tasnim Zaman, Bin Ma, Marina Astitha and Georgios Matheou
Energies 2025, 18(24), 6386; https://doi.org/10.3390/en18246386 - 5 Dec 2025
Cited by 1 | Viewed by 284
Abstract
Reliable power forecasts are essential for the grid integration of offshore wind. This work presents a physics-based forecasting framework that couples mesoscale numerical weather prediction with large-eddy simulation (LES) and an actuator-disk turbine representation to predict farm-scale flows and power under realistic atmospheric [...] Read more.
Reliable power forecasts are essential for the grid integration of offshore wind. This work presents a physics-based forecasting framework that couples mesoscale numerical weather prediction with large-eddy simulation (LES) and an actuator-disk turbine representation to predict farm-scale flows and power under realistic atmospheric conditions. Mean meteorological profiles from the Weather Research and Forecasting model drive a concurrent–precursor LES generating turbulent inflow consistent with the evolving boundary layer, while a main LES resolves turbulence and wake formation within the wind farm. The LES configuration and turbine-forcing implementation are validated against canonical single- and multi-turbine benchmarks, showing close agreement in wake deficits and recovery trends. The framework is then demonstrated for the South Fork Wind project (12 turbines, ∼132 MW) using a set of time-varying cases over a 24 h period. Simulations reproduce hub-height wind variability, row-to-row power differences associated with wake interactions, and turbine-level power fluctuations (order 1 MW) that converge with appropriate averaging windows. The results illustrate how an LES-augmented hierarchical modeling system can complement conventional forecasting by providing physically interpretable flow fields and power estimates at operational scales. Full article
Show Figures

Figure 1

17 pages, 2628 KB  
Article
Deep Physics-Informed Neural Networks for Stratified Forced Convection Heat Transfer in Plane Couette Flow: Toward Sustainable Climate Projections in Atmospheric and Oceanic Boundary Layers
by Youssef Haddout and Soufiane Haddout
Fluids 2025, 10(12), 322; https://doi.org/10.3390/fluids10120322 - 4 Dec 2025
Viewed by 228
Abstract
We use deep Physics-Informed Neural Networks (PINNs) to simulate stratified forced convection in plane Couette flow. This process is critical for atmospheric boundary layers (ABLs) and oceanic thermoclines under global warming. The buoyancy-augmented energy equation is solved under two boundary conditions: Isolated-Flux (single-wall [...] Read more.
We use deep Physics-Informed Neural Networks (PINNs) to simulate stratified forced convection in plane Couette flow. This process is critical for atmospheric boundary layers (ABLs) and oceanic thermoclines under global warming. The buoyancy-augmented energy equation is solved under two boundary conditions: Isolated-Flux (single-wall heating) and Flux–Flux (symmetric dual-wall heating). Stratification is parameterized by the Richardson number (Ri [1,1]), representing ±2 °C thermal perturbations. We employ a decoupled model (linear velocity profile) valid for low-Re, shear-dominated flow. Consequently, this approach does not capture the full coupled dynamics where buoyancy modifies the velocity field, limiting the results to the laminar regime. Novel contribution: This is the first deep PINN to robustly converge in stiff, buoyancy-coupled flows (Ri1) using residual connections, adaptive collocation, and curriculum learning—overcoming standard PINN divergence (errors >28%). The model is validated against analytical (Ri=0) and RK4 numerical (Ri0) solutions, achieving L2 errors 0.009% and L errors 0.023%. Results show that stable stratification (Ri>0) suppresses convective transport, significantly reduces local Nusselt number (Nu) by up to 100% (driving Nu towards zero at both boundaries), and induces sign reversals and gradient inversions in thermally developing regions. Conversely, destabilizing buoyancy (Ri<0) enhances vertical mixing, resulting in an asymmetric response: Nu increases markedly (by up to 140%) at the lower wall but decreases at the upper wall compared to neutral forced convection. At 510× lower computational cost than DNS or RK4, this mesh-free PINN framework offers a scalable and energy-efficient tool for subgrid-scale parameterization in general circulation models (GCMs), supporting SDG 13 (Climate Action). Full article
Show Figures

Figure 1

24 pages, 12417 KB  
Article
Conjugate Heat Transfer and Thermal Stress Analysis of a Gas Turbine Double-Wall Cooling System with a Diamond-Type TPMS Effusion
by Kirttayoth Yeranee, Chao Xu, Yuli Cheng and Yu Rao
Energies 2025, 18(23), 6322; https://doi.org/10.3390/en18236322 - 1 Dec 2025
Viewed by 273
Abstract
This research numerically investigates the cooling performance of Diamond-type triply periodic minimal surface (TPMS) networks as a gas turbine effusion cooling layer, augmented with various jet impingement configurations. The study analyzes the internal and external flow characteristics, pressure loss, and overall cooling effectiveness [...] Read more.
This research numerically investigates the cooling performance of Diamond-type triply periodic minimal surface (TPMS) networks as a gas turbine effusion cooling layer, augmented with various jet impingement configurations. The study analyzes the internal and external flow characteristics, pressure loss, and overall cooling effectiveness using conjugate heat transfer simulations. The Diamond design is compared to conventional film cooling and micro-hole models within a blowing ratio range of 0.5 to 2.0. The jet hole diameter and jet-to-plate distance are varied to identify an optimal double-wall cooling configuration. The results reveal that the Diamond hole mitigates the strong discharge of coolant, resulting in a more adherent cooling film, which provides excellent surface coverage. While jet impingement enhances internal heat transfer, its contribution to cooling effectiveness is minor compared to the benefit of film coverage. At an equivalent total pressure loss coefficient, the Diamond with impinging jets demonstrates 101% higher cooling effectiveness than the film hole. The thermal-mechanical analysis indicates that the Diamond model exhibits a more uniform distribution of thermal stress and displacement. The average stress is reduced by 44.7% compared to the film hole. This work confirms the TPMS-based effusion as an advanced cooling solution for next-generation gas turbines. Full article
Show Figures

Figure 1

18 pages, 8220 KB  
Article
Energy Dissipation in Chute Spillway with Labyrinth Roughness Appurtenances
by James Yang, Shicheng Li, Umar Farooq and Anna Helgesson
Water 2025, 17(23), 3417; https://doi.org/10.3390/w17233417 - 1 Dec 2025
Viewed by 369
Abstract
The updated flood guidelines in Sweden have led to higher design discharges for many existing dams. While the primary function of a spillway chute is to convey floodwater, roughness appurtenances are proposed for installation along the chute. The aim is to dissipate an [...] Read more.
The updated flood guidelines in Sweden have led to higher design discharges for many existing dams. While the primary function of a spillway chute is to convey floodwater, roughness appurtenances are proposed for installation along the chute. The aim is to dissipate an extra portion of the flow’s energy before release into the tailwater. One straight and three labyrinth roughness configurations are designed and manufactured. Their effectiveness is assessed through model tests. The roughness leads to an increase in water depth and induces an undulating streamwise water-surface profile. Due to their lateral interaction with the flow, the labyrinth shapes exhibit less distinct contours of surface unevenness than the straight one. With an increasing water depth, the free surface becomes gradually smeared out. For all the shapes, the roughness effect on the surface flow almost disappears if the water depth exceeds 6.5–7.0 times the roughness height. Compared to the smooth chute, the straight elements augment the energy loss by a factor of 1.9–3.8; the labyrinth configurations outperform the straight ones by 16–35% more energy dissipation. The differences among the triangular, trapezoidal, and rectangular shapes are, however, minor. Introducing chute roughness is a complementary measure. If the chute is sufficiently long, an adequate number of roughness rows could replace the function of a stilling basin. Full article
(This article belongs to the Section Hydraulics and Hydrodynamics)
Show Figures

Figure 1

19 pages, 5590 KB  
Article
Out of Distribution Adaptation in Offline RL via Causal Normalizing Flows
by Minjae Cho and Chuangchuang Sun
Mathematics 2025, 13(23), 3835; https://doi.org/10.3390/math13233835 - 30 Nov 2025
Viewed by 418
Abstract
Despite the success of reinforcement learning (RL), the common assumption of online interaction prevents its widespread adoption. Offline RL has emerged as an alternative that learns a policy from precollected data. However, this learning paradigm introduces a new challenge called “distributional shift”, degrading [...] Read more.
Despite the success of reinforcement learning (RL), the common assumption of online interaction prevents its widespread adoption. Offline RL has emerged as an alternative that learns a policy from precollected data. However, this learning paradigm introduces a new challenge called “distributional shift”, degrading the performance of the policy when evaluated on out-of-distribution (OOD) scenarios (i.e., outside of the training data). Most existing works resolve this by policy regularization to optimize a policy within the support of the data. However, this overlooks the potential for high-reward regions outside of the data. This motivates offline policy optimization that is capable of finding high-reward regions outside of the data. In this paper, we devise a causality-based model architecture to accurately capture the OOD scenarios wherein the policy can be optimized without performance degradation. Specifically, we adapt causal normalizing flows (CNFs) to learn the transition dynamics and reward function for data generation and augmentation in offline policy learning. Based on the physics-based qualitative causal graph and precollected data, we develop a model-based offline OOD-adapting causal RL (MOOD-CRL) algorithm to learn the quantitative structural causal model. Consequently, MOOD-CRL can exercise counterfactual reasoning for sequential decision-making, revealing a high potential for OOD adaptation. The effectiveness is validated through extensive empirical evaluations with ablations including data quality and algorithmic sensitivity. Our results show that MOOD-CRL achieves comparable results with its online counterparts and consistently outperforms state-of-the-art model-free and model-based baselines by a significant margin. Full article
(This article belongs to the Section D: Statistics and Operational Research)
Show Figures

Figure 1

34 pages, 5399 KB  
Article
Improving Individual and Regional Rainfall–Runoff Modeling in North American Watersheds Through Feature Selection and Hyperparameter Optimization
by Bahareh Ghanati and Joan Serra-Sagristà
Mathematics 2025, 13(23), 3828; https://doi.org/10.3390/math13233828 - 29 Nov 2025
Viewed by 250
Abstract
Precise rainfall-runoff modeling (RRM) is vital for disaster management, resource conservation, and mitigation. Recent deep learning-based methods, such as long short-term memory (LSTM) networks, often struggle with major challenges, including temporal sensitivity, feature selection, generalizability, and hyperparameter tuning. The objective of this study [...] Read more.
Precise rainfall-runoff modeling (RRM) is vital for disaster management, resource conservation, and mitigation. Recent deep learning-based methods, such as long short-term memory (LSTM) networks, often struggle with major challenges, including temporal sensitivity, feature selection, generalizability, and hyperparameter tuning. The objective of this study is to develop an accurate and generalizable rainfall–runoff modeling framework that addresses the four aforementioned challenges. We propose a novel RRM framework that integrates transductive LSTM (TLSTM) to capture fine-grained temporal changes, off-policy proximal policy optimization (PPO) combined with Shapley Additive exPlanations (SHAP)-based reward functions for feature selection, an enhanced generative adversarial network (GAN) for online data augmentation, and Bayesian optimization hyperband (BOHB) for efficient hyperparameter tuning. TLSTM uses transductive learning, where samples near the test point are given extra weight, to capture fine-grained temporal shifts. Off-policy PPO contributes to this process by selecting features sensitive to temporal patterns in RRM. Our improved GAN conducts online data augmentation by excluding some gradients, increasing diversity and relevance in synthetic data. Finally, BOHB accelerates hyperparameter tuning by merging Bayesian optimization with the scaling efficiency of Hyperband. We evaluate our model using the Comprehensive Attributes and Meteorology for Large-Sample Studies (CAMELS) dataset under individual and regional scenarios. It achieves Nash–Sutcliffe efficiency (NSE) scores of 0.588 and 0.873, surpassing the baseline scores of 0.548 and 0.830, respectively. The generalizability of our approach was assessed on the hydro-climatic datasets for North America (HYSETS), also yielding improved performance. These improvements indicate more accurate capture of flow dynamics and peak events, supporting a robust and interpretable framework for RRM. Full article
Show Figures

Figure 1

19 pages, 3287 KB  
Article
Application of Innovative Artificial Intelligence Methods to Detect Flat Feet in Children
by Justina Šeštokė, Eglė Butkevičiūtė and Birutė Sinkutė
Appl. Sci. 2025, 15(23), 12635; https://doi.org/10.3390/app152312635 - 28 Nov 2025
Viewed by 193
Abstract
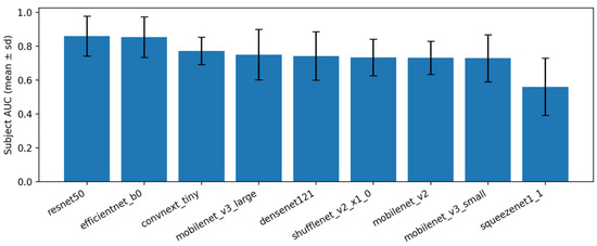
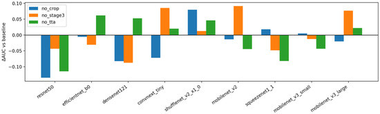
This study examined the potential of artificial intelligence tools for detecting pediatric flatfoot pathology. We would like to emphasize that there is very little research in this area and we would like to point out that this is a relevant and very important [...] Read more.
This study examined the potential of artificial intelligence tools for detecting pediatric flatfoot pathology. We would like to emphasize that there is very little research in this area and we would like to point out that this is a relevant and very important topic in medicine. First, the base flow was used: a pre-trained “backbone” on the ImageNet platform. In this study, this term is used to describe the feature extraction part of a convolutional network. A standardized pre-processing with pruning and augmentation was performed, and a three-stage training schedule (stages 1, 2 and 3), average and maximum aggregation at the subject level and the addition of light test time were proposed. Eight different model architectures were used. From stage 2 onwards, all models were trained on feet. Three-dimensional photographs with real flatfoot shapes, from flatfoot stages I to III, were used. The most validated model was displayed in accurate AUROC plots with estimated average and maximum aggregation values with standard deviation. The research and calculations conducted demonstrate the possibility of applying artificial intelligence in the field of orthopedics. Full article
(This article belongs to the Section Biomedical Engineering)
Show Figures

Figure 1

29 pages, 6120 KB  
Article
Intensification of Thermal Performance of a Heat Exchanger Tube with Knitted Wire Coil Turbulators Installed
by K. Wongcharee, T. Shoon Wai, N. Maruyama, M. Hirota, V. Chuwattanakul, P. Promthaisong and S. Eiamsa-ard
Eng 2025, 6(12), 337; https://doi.org/10.3390/eng6120337 - 26 Nov 2025
Viewed by 252
Abstract
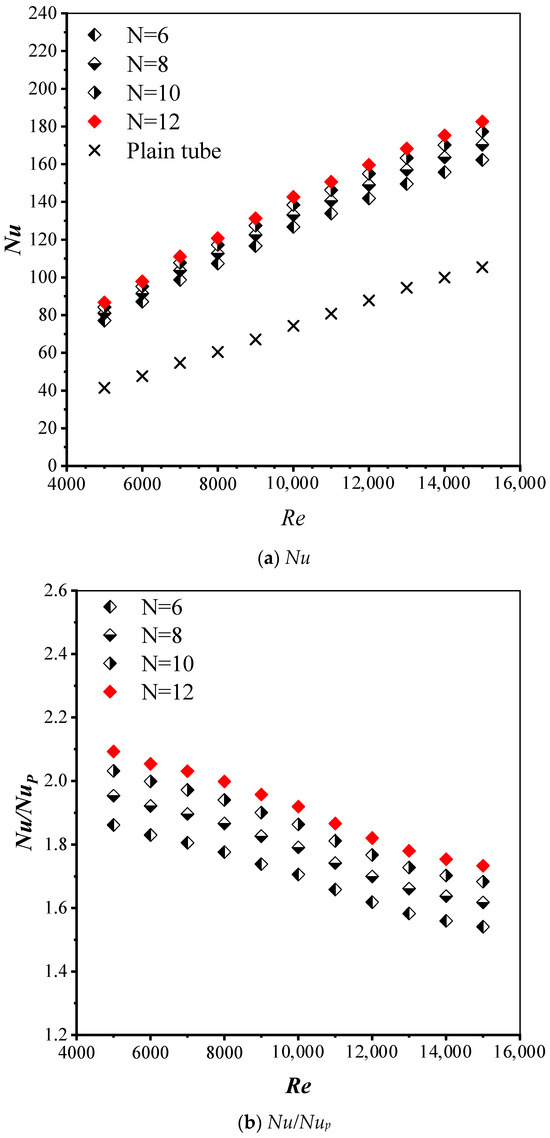
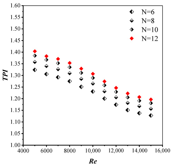
This study reports on heat transfer augmentation by knitted wire coil turbulators in a fully developed turbulent regime. Four knitted wire coil turbulators with different wire loop number densities (N = 6, 8, 10, and 12 loops per pitch, with 1.0 pitch [...] Read more.
This study reports on heat transfer augmentation by knitted wire coil turbulators in a fully developed turbulent regime. Four knitted wire coil turbulators with different wire loop number densities (N = 6, 8, 10, and 12 loops per pitch, with 1.0 pitch = 6.8 mm) were tested. Each was made by winding a 0.7 mm copper wire around a 1.0 mm core rod. Experiments were conducted under a constant 600 W/m2 wall heat flux. The flow behaviors observed through a dye injection technique revealed that the wire coil induced secondary flows and developed shear layers, contributing to enhanced heat transfer. Heat transfer improved with increasing wire loop number density. Application of knitted wire coil turbulators increased the Nusselt number (Nu) by 86, 95.4, 103.2, and 109.3% for N = 6, 8, 10, and 12, respectively. This corresponded to increased friction factors (f) by 1.77, 1.97, 2.15, and 2.31 times, respectively. The tube with coils having N = 12 yielded the highest thermal performance index (TPI), 1.4, at a Reynolds number of 5000. The empirical correlations for Nu, f, and TPI showed deviations within ±2.1, ±0.68, and ±2.28%, respectively. Full article
(This article belongs to the Section Chemical, Civil and Environmental Engineering)
Show Figures

Figure 1

Back to TopTop