A Large Eddy Simulation-Based Power Forecast Approach for Offshore Wind Farms
Abstract
1. Introduction
2. Methodology
2.1. Hierarchical Modeling System
2.2. LES Model
2.3. Boundary Conditions and Turbulent-Inflow Generation
2.4. Model Validation
2.4.1. Single-Turbine Case
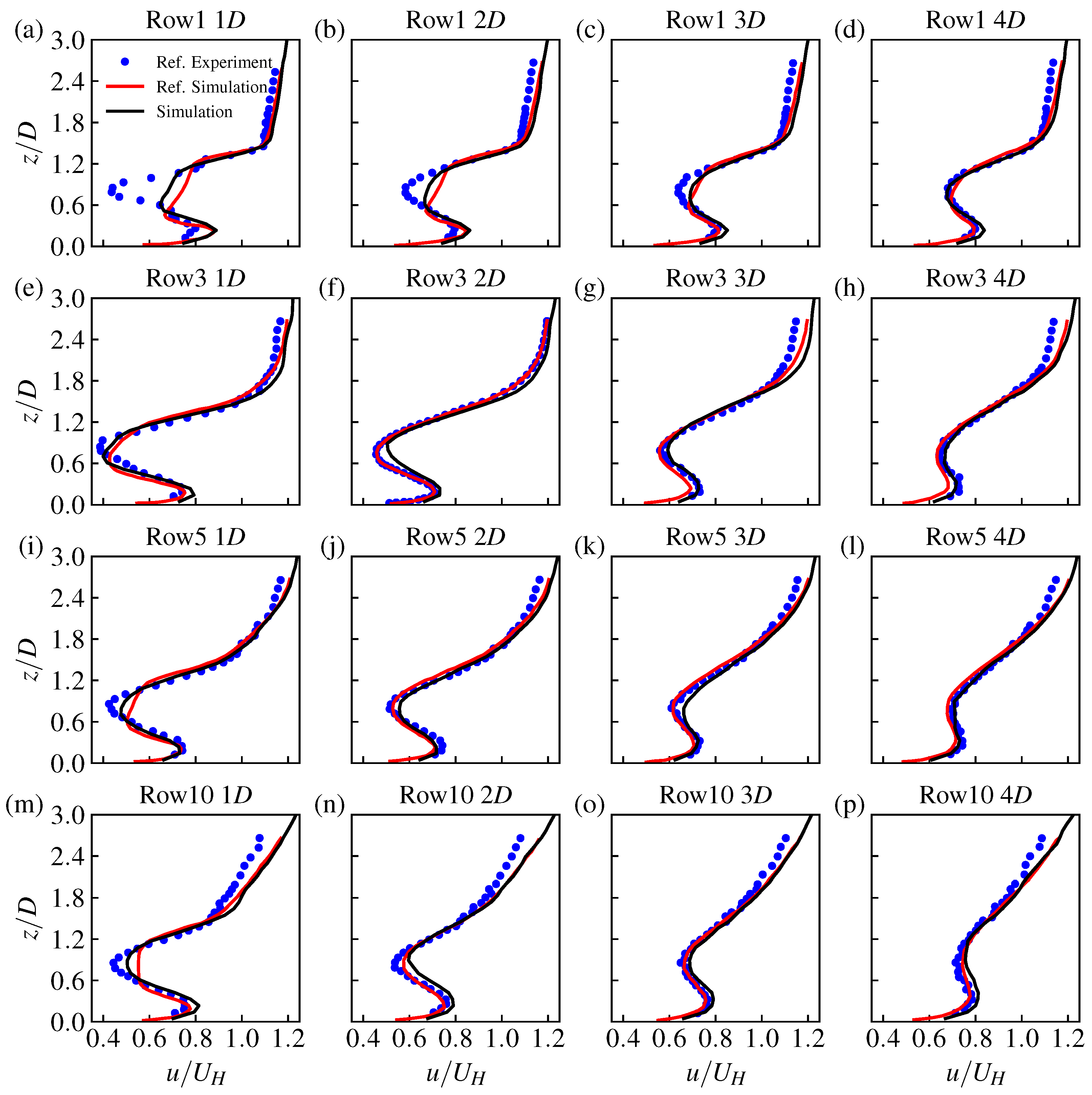
2.4.2. Multiple-Turbine Case
2.5. Offshore Wind-Farm Model Configuration
3. Results
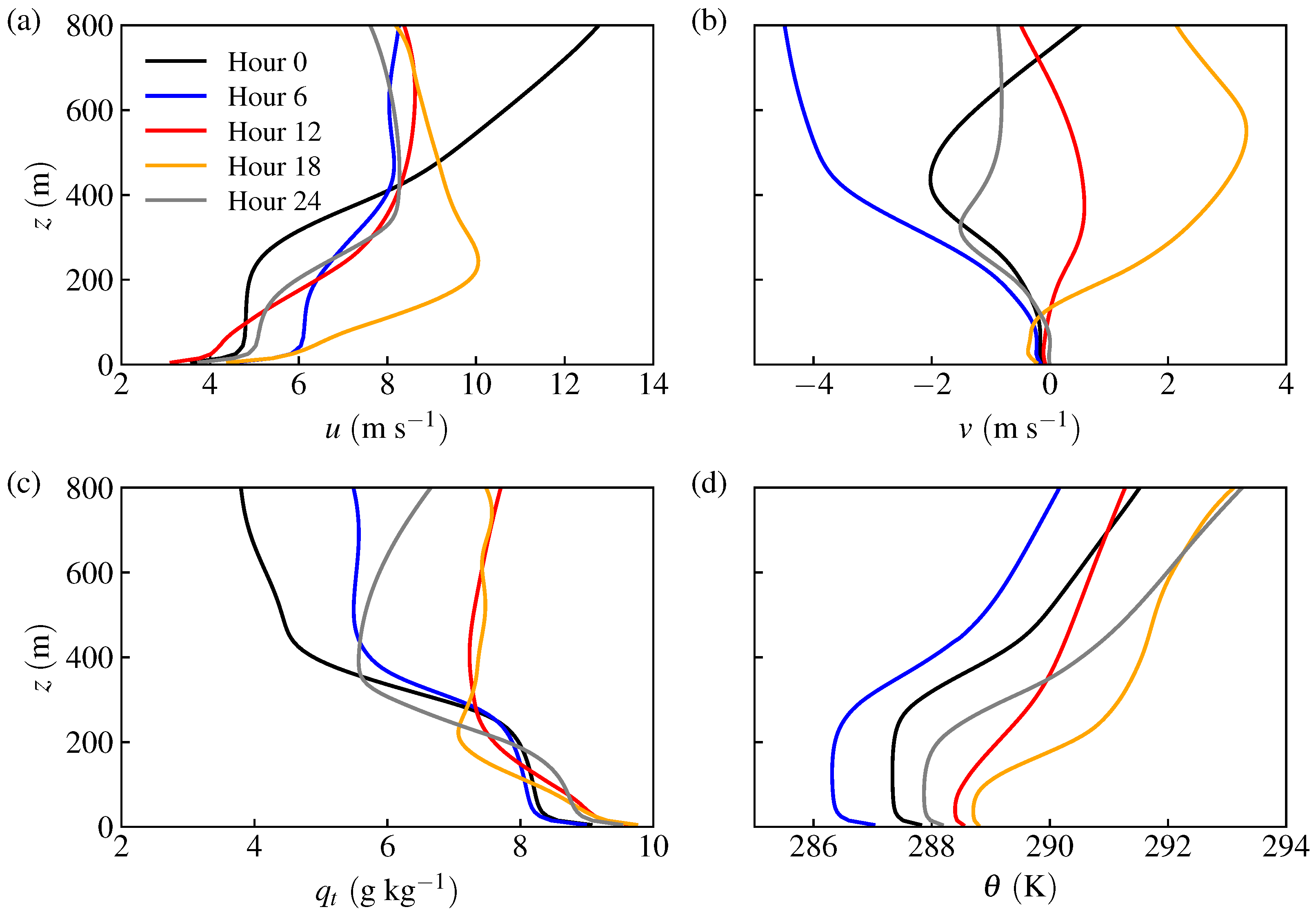
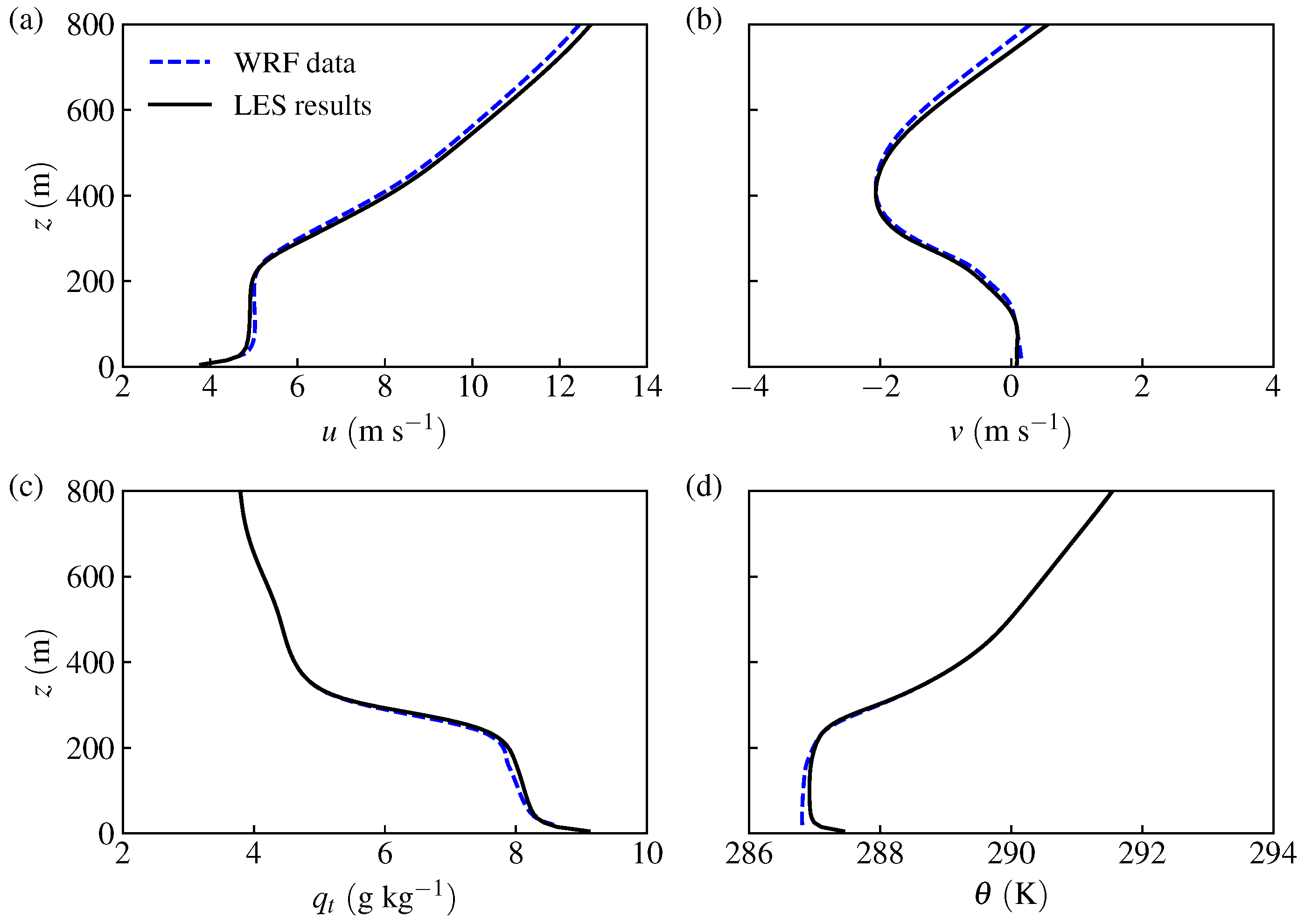
3.1. Inflow Profiles
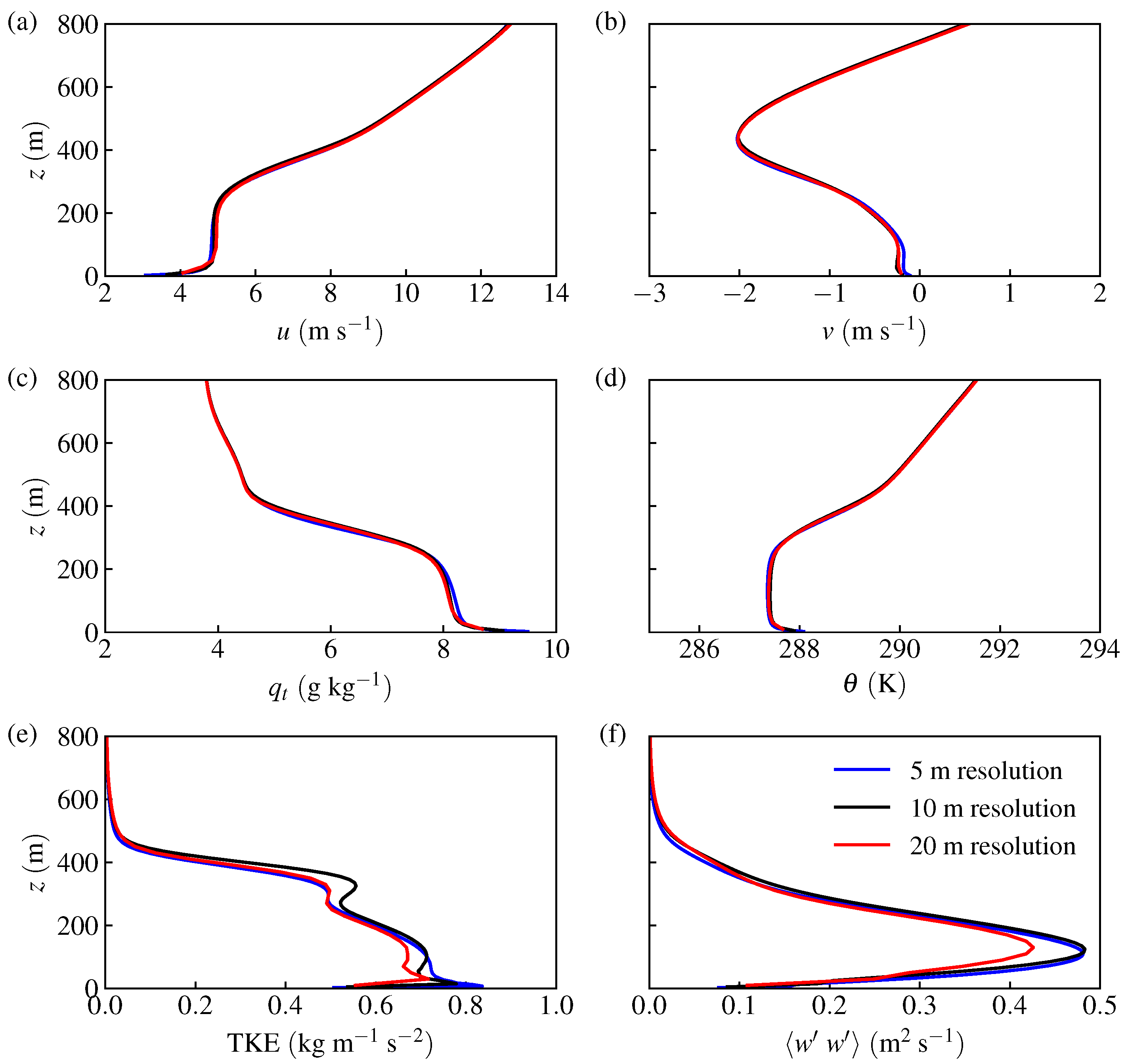
3.2. Flow Fields and Grid-Size Sensitivity
3.3. Power Output
3.4. Time-Variable Conditions
4. Conclusions
Author Contributions
Funding
Data Availability Statement
Acknowledgments
Conflicts of Interest
References
- International Renewable Energy Agency (IRENA). Renewable Energy Statistics 2023; Technical report; International Renewable Energy Agency: Abu Dhabi, United Arab Emirates, 2023. [Google Scholar]
- Tuncar, E.A.; Sağlam, Ş.; Oral, B. A review of short-term wind power generation forecasting methods in recent technological trends. Energy Rep. 2024, 197, 197–209. [Google Scholar] [CrossRef]
- Soman, S.; Zareipour, H.; Malik, O.; Mandal, P. A review of wind power and wind speed forecasting methods with different time horizons. Energy Convers. Manag. 2010, 52, 1659–1672. [Google Scholar] [CrossRef]
- Foley, A.M.; Leahy, P.G.; Marvuglia, A.; McKeogh, E.J. Current methods and advances in forecasting of wind power generation. Renew. Energy 2012, 37, 1–8. [Google Scholar] [CrossRef]
- Pinson, P. Very short-term probabilistic forecasting of wind power with generalized logit–normal distributions. Int. J. Forecast. 2012, 28, 792–803. [Google Scholar] [CrossRef]
- Daenens, S.; Vervlimmeren, I.; Verstraeten, T.; Daems, P.J.; Nowé, A.; Helsen, J. Power prediction using high-resolution SCADA data with a farm-wide deep neural network approach. J. Phys. Conf. Ser. 2024, 2767, 092014. [Google Scholar] [CrossRef]
- Jimenez, A.; Crespo, A.; Migoya, E.; Garcia, J. Advances in large-eddy simulation of a wind turbine wake. J. Phys. Conf. Ser. 2007, 75, 012041. [Google Scholar] [CrossRef]
- Yang, X.; Kang, S.; Sotiropoulos, F. Computational study and modeling of turbine spacing effects in infinite aligned wind farms. Phys. Fluids 2012, 24, 115107. [Google Scholar] [CrossRef]
- Meyers, J.; Meneveau, C. Large Eddy Simulations of Large Wind-Turbine Arrays in the Atmospheric Boundary Layer. In Proceedings of the 48th AIAA Aerospace Sciences Meeting Including the New Horizons Forum and Aerospace Exposition, Orlando, FL, USA, 4–7 January 2010; Aerospace Sciences Meetings. American Institute of Aeronautics and Astronautics: Reston, VA, USA, 2010. [Google Scholar] [CrossRef]
- Calaf, M.; Meneveau, C.; Meyers, J. Large eddy simulation study of fully developed wind-turbine array boundary layers. Phys. Fluids 2010, 22, 015110. [Google Scholar] [CrossRef]
- Churchfield, M.; Lee, S.; Moriarty, P.; Martinez, L.; Leonardi, S.; Vijayakumar, G.; Brasseur, J. A Large-Eddy Simulation of Wind-Plant Aerodynamics. In Proceedings of the 50th AIAA Aerospace Sciences Meeting including the New Horizons Forum and Aerospace Exposition, Nashville, TN, USA, 9–12 January 2012; American Institute of Aeronautics and Astronautics: Reston, VA, USA, 2012. [Google Scholar] [CrossRef]
- Wu, Y.T.; Porté-Agel, F. Large-Eddy Simulation of Wind-Turbine Wakes: Evaluation of Turbine Parametrisations. Bound.-Layer Meteorol. 2011, 138, 345–366. [Google Scholar] [CrossRef]
- Mirocha, J.D.; Lundquist, J.K.; Kosović, B. Implementation of a generalized actuator disk wind turbine model into the Weather Research and Forecasting model for large-eddy simulation applications. J. Phys. Conf. Ser. 2014, 524, 012092. [Google Scholar] [CrossRef]
- Muñoz-Esparza, D.; Sauer, J.A.; Kosović, B.; John Roget, B. Toward low-cost large-eddy simulations of wind farms for real-time forecasting applications. Wind Energy 2018, 21, 940–953. [Google Scholar] [CrossRef]
- Baas, P.; Verzijlbergh, R.; van Dorp, P.; Jonker, H. Investigating energy production and wake losses of multi-gigawatt offshore wind farms with atmospheric large-eddy simulation. Wind Energy Sci. 2023, 8, 787–805. [Google Scholar] [CrossRef]
- Stipa, S.; Ajay, A.; Brinkerhoff, J. The actuator farm model for large eddy simulation (LES) of wind-farm-induced atmospheric gravity waves and farm–farm interaction. Wind Energy Sci. 2024, 9, 2301–2332. [Google Scholar] [CrossRef]
- Archer, C.L.; Xie, S.P.; Zhang, L.; Wu, S.; Fitch, A.C. Coupling of large-eddy simulations with mesoscale models for offshore wind farm applications. Atmosphere 2020, 11, 178. [Google Scholar] [CrossRef]
- García-Santiago, O.; Hahmann, A.N.; Badger, J.; Peña, A. Evaluation of wind farm parameterizations in the WRF model under different atmospheric stability conditions with high-resolution wake simulations. Wind Energy Sci. 2024, 9, 963–979. [Google Scholar] [CrossRef]
- Janssens, N.; Meyers, J. Towards real-time optimal control of wind farms using large-eddy simulations. Wind Energy Sci. 2024, 9, 65–95. [Google Scholar] [CrossRef]
- Taschner, E.; Folkersma, M.; Martínez-Tossas, L.A.; Verzijlbergh, R.; van Wingerden, J.W. A New Coupling of a GPU-Resident Large-Eddy Simulation Code with a Multiphysics Wind Turbine Simulation Tool. Wind Energy 2024, 27, 1152–1172. [Google Scholar] [CrossRef]
- Skamarock, W.C.; Klemp, J.B.; Dudhia, J.; Gill, D.O.; Liu, Z.; Berner, J.; Wang, W.; Powers, J.G.; Duda, M.G.; Barker, D.M.; et al. A Description of the Advanced Research WRF Model Version 4; Technical report, UCAR/NCAR: Boulder, CO, USA, 2019. [Google Scholar] [CrossRef]
- Ainslie, J.F. Calculating the flowfield in the wake of wind turbines. J. Wind Eng. Ind. Aerodyn. 1988, 27, 213–224. [Google Scholar] [CrossRef]
- Fitch, A.C.; Olson, J.B.; Lundquist, J.K.; Dudhia, J.; Gupta, A.K.; Michalakes, J.; Barstad, I. Local and Mesoscale Impacts of Wind Farms as Parameterized in a Mesoscale NWP Model. Mon. Weather Rev. 2012, 140, 3017–3038. [Google Scholar] [CrossRef]
- Jiménez, P.A.; Navarro, J.; Palomares, A.M.; Dudhia, J. Mesoscale modeling of offshore wind turbine wakes at the wind farm resolving scale: A composite-based analysis with the Weather Research and Forecasting model over Horns Rev. Wind Energy 2015, 18, 559–566. [Google Scholar] [CrossRef]
- Volker, P.J.H.; Badger, J.; Hahmann, A.N.; Ott, S. The Explicit Wake Parametrisation V1.0: A wind farm parametrisation in the mesoscale model WRF. Geosci. Model Dev. 2015, 8, 3715–3731. [Google Scholar] [CrossRef]
- Wise, A.S.; Arthur, R.; Abraham, A.; Wharton, S.; Krishnamurthy, R.; Newsom, R.; Hirth, B.; Schroeder, J.; Moriarty, P.; Chow, F. Large-eddy simulation of an atmospheric bore and associated gravity wave effects on wind farm performance in the Southern Great Plains. Wind Energy Sci. 2025, 10, 1007–1032. [Google Scholar] [CrossRef]
- Chung, D.; Matheou, G. Large-Eddy Simulation of Stratified Turbulence. Part I: A Vortex-Based Subgrid-Scale Model. J. Atmos. Sci. 2014, 71, 1863–1879. [Google Scholar] [CrossRef]
- Matheou, G.; Chung, D. Large-Eddy Simulation of Stratified Turbulence. Part II: Application of the Stretched-Vortex Model to the Atmospheric Boundary Layer. J. Atmos. Sci. 2014, 71, 4439–4460. [Google Scholar] [CrossRef]
- Matheou, G.; Chung, D.; Nuijens, L.; Stevens, B.; Teixeira, J. On the fidelity of large-eddy simulation of shallow precipitating cumulus convection. Mon. Weather Rev. 2011, 139, 2918–2939. [Google Scholar] [CrossRef]
- Inoue, M.; Matheou, G.; Teixeira, J. LES of a Spatially Developing Atmospheric Boundary Layer: Application of a Fringe Method for the Stratocumulus to Shallow Cumulus Cloud Transition. Mon. Weather Rev. 2014, 142, 3418–3424. [Google Scholar] [CrossRef]
- Matheou, G.; Bowman, K.W. A recycling method for the large-eddy simulation of plumes in the atmospheric boundary layer. Environ. Fluid Mech. 2016, 16, 69–85. [Google Scholar] [CrossRef]
- Matheou, G. Numerical discretization and subgrid-scale model effects on large-eddy simulations of a stable boundary layer. Q. J. R. Meteorol. Soc. 2016, 142, 3050–3062. [Google Scholar] [CrossRef]
- Matheou, G.; Lamaakel, O. Galilean invariance of shallow cumulus convection large-eddy simulation. J. Comput. Phys. 2021, 427, 11012. [Google Scholar] [CrossRef]
- Lamaakel, O.; Matheou, G. Organization development in precipitating shallow cumulus convection: Evolution of turbulence characteristics. J. Atmos. Sci. 2022, 79, 2419–2433. [Google Scholar] [CrossRef]
- Banhos, J.; Matheou, G. Effects of Discretization of Smagorinsky–Lilly Subgrid Scale Model on Large-Eddy Simulation of Stable Boundary Layers. Atmosphere 2025, 16, 310. [Google Scholar] [CrossRef]
- Morinishi, Y.; Lund, T.S.; Vasilyev, O.V.; Moin, P. Fully Conservative Higher Order Finite Difference Schemes for Incompressible Flow. J. Comput. Phys. 1998, 143, 90–124. [Google Scholar] [CrossRef]
- Spalart, P.R.; Moser, R.D.; Rogers, M.M. Spectral methods for the Navier-Stokes equations with one infinite and two periodic directions. J. Comput. Phys. 1991, 96, 297–324. [Google Scholar] [CrossRef]
- Cleijne, J.W. Results of Sexbierum Wind Farm: Single Wake Measurements; TNO: Apeldoorn, The Netherlands, 1993; Volume 93-082. [Google Scholar]
- Crespo, A.; Hernández, J. Turbulence characteristics in wind-turbine wakes. J. Wind Eng. Ind. Aerodyn. 1996, 61, 71–85. [Google Scholar] [CrossRef]
- Gómez-Elvira, R.; Crespo, A.; Migoya, E.; Manuel, F.; Hernández, J. Anisotropy of turbulence in wind turbine wakes. J. Wind Eng. Ind. Aerodyn. 2005, 93, 797–814. [Google Scholar] [CrossRef]
- Churchfield, M.J.; Schreck, S.J.; Martinez, L.A.; Meneveau, C.; Spalart, P.R. An Advanced Actuator Line Method for Wind Energy Applications and Beyond. In Proceedings of the 35th Wind Energy Symposium, Grapevine, TX, USA, 9–13 January 2017. [Google Scholar] [CrossRef]
- Stevens, R.J.; Martínez-Tossas, L.A.; Meneveau, C. Comparison of wind farm large eddy simulations using actuator disk and actuator line models with wind tunnel experiments. Renew. Energy 2018, 116, 470–478. [Google Scholar] [CrossRef]
- Stevens, R.J.; Graham, J.; Meneveau, C. A concurrent precursor inflow method for Large Eddy Simulations and applications to finite length wind farms. Renew. Energy 2014, 68, 46–50. [Google Scholar] [CrossRef]
- Zaman, T.; Juliano, T.W.; Hawbecker, P.; Astitha, M. On Predicting Offshore Hub Height Wind Speed and Wind Power Density in the Northeast US Coast Using High-Resolution WRF Model Configurations during Anticyclones Coinciding with Wind Drought. Energies 2024, 17, 2618. [Google Scholar] [CrossRef]
- Chamorro, L.P.; Porté-Agel, F. Effects of Thermal Stability and Incoming Boundary-Layer Flow Characteristics on Wind-Turbine Wakes: A Wind-Tunnel Study. Bound.-Layer Meteorol. 2010, 136, 515–533. [Google Scholar] [CrossRef]
- Stevens, R.J.A.M.; Gayme, D.F.; Meneveau, C. Large eddy simulation studies of the effects of alignment and wind farm length. J. Renew. Sustain. Energy 2014, 6, 023105. [Google Scholar] [CrossRef]
- Hunter, J.D. Matplotlib: A 2D graphics environment. Comput. Sci. Eng. 2007, 9, 90–95. [Google Scholar] [CrossRef]













| Case | Row 1 | Row 2 | Row 3 | Row 4 | Row 5 |
| 0.7041 | 0.8099 | 1.0015 | 0.9286 | 0.8799 | |
| Case | Row 6 | Row 7 | Row 8 | Row 9 | Row 10 |
| 0.9496 | 0.9269 | 0.8768 | 0.8821 | 0.8899 |
| WRF Date | Domain A | Domain B | (m) | Period for Statistics (h) | |
|---|---|---|---|---|---|
| 05:00 UTC, 16 June | 20 | 0.70–1.15 | 0.22–2.67 | ||
| 05:00 UTC, 16 June | 10 | 0.03–0.04 | 0.22–2.85 | ||
| 05:00 UTC, 16 June | 5 | ∼0.01 | 0.08–1.25 |
| Hour 0 | Hour 6 | Hour 12 | Hour 18 | Hour 24 | |
|---|---|---|---|---|---|
| u at 40 m () | 4.90 | 6.31 | 3.67 | 6.94 | 4.90 |
| u at 140 m () | 5.01 | 6.83 | 5.94 | 9.87 | 6.14 |
| u at 240 m () | 5.18 | 7.70 | 6.93 | 10.15 | 7.62 |
| Wind direction | (NE) | (NNE) | (ENE) | (E) | (ENE) |
| WRF Date | Period for Power Calculation (h) | SST (K) | Average LHF (W m−2) | Average SHF (W m−2) |
|---|---|---|---|---|
| 05:00 UTC, 16 June | 0.5–1.8 | 289.4 | 351.2 | 82.2 |
| 11:00 UTC, 16 June | 0.5–1.8 | 289.0 | 403.7 | 135.0 |
| 17:00 UTC, 16 June | 0.5–1.8 | 289.1 | 196.9 | 22.8 |
| 23:00 UTC, 16 June | 0.5–1.8 | 289.1 | 249.4 | 16.3 |
| 05:00 UTC, 17 June | 0.5–1.8 | 289.1 | 250.2 | 45.5 |
Disclaimer/Publisher’s Note: The statements, opinions and data contained in all publications are solely those of the individual author(s) and contributor(s) and not of MDPI and/or the editor(s). MDPI and/or the editor(s) disclaim responsibility for any injury to people or property resulting from any ideas, methods, instructions or products referred to in the content. |
© 2025 by the authors. Licensee MDPI, Basel, Switzerland. This article is an open access article distributed under the terms and conditions of the Creative Commons Attribution (CC BY) license (https://creativecommons.org/licenses/by/4.0/).
Share and Cite
Lu, Y.; Zaman, T.; Ma, B.; Astitha, M.; Matheou, G. A Large Eddy Simulation-Based Power Forecast Approach for Offshore Wind Farms. Energies 2025, 18, 6386. https://doi.org/10.3390/en18246386
Lu Y, Zaman T, Ma B, Astitha M, Matheou G. A Large Eddy Simulation-Based Power Forecast Approach for Offshore Wind Farms. Energies. 2025; 18(24):6386. https://doi.org/10.3390/en18246386
Chicago/Turabian StyleLu, Yongjie, Tasnim Zaman, Bin Ma, Marina Astitha, and Georgios Matheou. 2025. "A Large Eddy Simulation-Based Power Forecast Approach for Offshore Wind Farms" Energies 18, no. 24: 6386. https://doi.org/10.3390/en18246386
APA StyleLu, Y., Zaman, T., Ma, B., Astitha, M., & Matheou, G. (2025). A Large Eddy Simulation-Based Power Forecast Approach for Offshore Wind Farms. Energies, 18(24), 6386. https://doi.org/10.3390/en18246386

