Sign in to use this feature.

Years

Between: -

Subjects

remove_circle_outline
remove_circle_outline
remove_circle_outline
remove_circle_outline
remove_circle_outline
remove_circle_outline
remove_circle_outline
remove_circle_outline
remove_circle_outline

Journals

remove_circle_outline
remove_circle_outline
remove_circle_outline
remove_circle_outline
remove_circle_outline
remove_circle_outline
remove_circle_outline
remove_circle_outline
remove_circle_outline

Article Types

Countries / Regions

remove_circle_outline
remove_circle_outline
remove_circle_outline
remove_circle_outline

Search Results (801)

Search Parameters:
Keywords = eulerian

Order results
Result details
Results per page
Select all
Export citation of selected articles as:
17 pages, 299 KB  
Article
Entropy and Variational Formulation of Relativistic Fluid Dynamics
by Asher Yahalom
Entropy 2025, 27(12), 1260; https://doi.org/10.3390/e27121260 - 16 Dec 2025
Abstract
In this work, the earlier variational analysis of classical non-barotropic flows is extended to the special relativistic non-barotropic case. Specifically, we present a new Eulerian variational formulation for relativistic non-barotropic flows, based on six functions. This allows the canonical derivation of the energy–momentum [...] Read more.
In this work, the earlier variational analysis of classical non-barotropic flows is extended to the special relativistic non-barotropic case. Specifically, we present a new Eulerian variational formulation for relativistic non-barotropic flows, based on six functions. This allows the canonical derivation of the energy–momentum tensor. Full article
39 pages, 15016 KB  
Review
Technical Analyses of Particle Impact Simulation Methods for Modern and Prospective Coating Spraying Processes
by Yi Wang and Sergii Markovych
Coatings 2025, 15(12), 1480; https://doi.org/10.3390/coatings15121480 - 15 Dec 2025
Abstract
With the growing requirements for multi-particle process simulation, improving computational accuracy, efficiency, and scalability has become a critical challenge. This study generally focused on comprehensive analyses of existing numerical methods for simulating particle–substrate interactions in gas–thermal spraying (including gas–dynamic spraying processes), covering both [...] Read more.
With the growing requirements for multi-particle process simulation, improving computational accuracy, efficiency, and scalability has become a critical challenge. This study generally focused on comprehensive analyses of existing numerical methods for simulating particle–substrate interactions in gas–thermal spraying (including gas–dynamic spraying processes), covering both single-particle and multi-particle models to develop practical recommendations for the optimization of modern coating spraying processes. First of all, this paper systematically analyzes the key limitations of current approaches, including their inability to handle high deformations effectively or high computational complexity and their insufficient accuracy in dynamic scenarios. A comparative evaluation of four numerical methods (Lagrangian, Arbitrary Lagrangian–Eulerian (ALE), Coupled Eulerian–Lagrangian (CEL), and Smoothed Particle Hydrodynamics (SPH)) revealed their strengths and weaknesses in modeling of real gas–thermal spraying processes. Furthermore, this study identifies the limitations of the widely used Johnson–Cook (JC) constitutive model under extreme conditions. The authors considered the Zerilli–Armstrong (ZA), Mechanical Threshold Stress (MTS), and Preston–Tonks–Wallace (PTW) models as more realistic alternatives to the Jonson–Cook model. Finally, comparative analyses of theoretical and realistic deformation and defect-generation processes in gas–thermal coatings emphasize the critical need for fundamental changes in the simulation strategy for modern gas–thermal spraying processes. Full article
(This article belongs to the Section Surface Characterization, Deposition and Modification)
Show Figures

Figure 1

18 pages, 4834 KB  
Article
Synergistic Dust Removal Mechanisms in a Wet String Grid: Insights from Eulerian–Lagrangian Simulations of Turbulent Gas–Droplet–Particle Flow
by Hua Guo, Jinchen Yang, Wushen Qi and Nan He
Coatings 2025, 15(12), 1440; https://doi.org/10.3390/coatings15121440 - 7 Dec 2025
Viewed by 207
Abstract
This study proposes a model for a wet string grid dust removal system based on gas–droplet–particle turbulent Eulerian–Lagrangian simulation, providing in-depth insights into the dust removal mechanism of droplet groups and its impact on dust collection efficiency. Through numerical simulations and theoretical derivation, [...] Read more.
This study proposes a model for a wet string grid dust removal system based on gas–droplet–particle turbulent Eulerian–Lagrangian simulation, providing in-depth insights into the dust removal mechanism of droplet groups and its impact on dust collection efficiency. Through numerical simulations and theoretical derivation, we systematically introduce the mathematical expression of the droplet group dust removal efficiency and validate its applicability in wet string grid dust removal processes. The study reveals that the dust removal efficiency of the wet string grid system is influenced by multiple factors, including airflow velocity, droplet distribution, and the interaction between droplets and dust particles. By adjusting spray volume, wind speed, and the geometric parameters of the water mist zone, the dust removal process was optimized. The results show that increasing the wind speed enhances dust removal efficiency, but excessive wind speed reduces the dust capture efficiency of droplets. Additionally, based on simulation results of the flow field, the study identifies key factors influencing the dust removal efficiency of droplet groups and provides valuable insights for optimizing wet string grid dust removal systems in practical engineering. Full article
(This article belongs to the Special Issue Surface Chemistry in Science and Industry)
Show Figures

Figure 1

30 pages, 5550 KB  
Article
Numerical Simulation Investigation of Cuttings Transport Patterns in Horizontal Branch Wells for the Intelligent Drilling Simulation Experimental System
by Bin He, Xingming Wang, Qiaozhu Wang and Zhipeng Xu
Appl. Sci. 2025, 15(24), 12877; https://doi.org/10.3390/app152412877 - 5 Dec 2025
Viewed by 297
Abstract
Branched horizontal wells are widely applied in oil and gas development. However, their complex structures make cuttings transport and deposition problems more pronounced. In this study, a three-dimensional branched wellbore model was established based on an intelligent drilling and completion simulation system. A [...] Read more.
Branched horizontal wells are widely applied in oil and gas development. However, their complex structures make cuttings transport and deposition problems more pronounced. In this study, a three-dimensional branched wellbore model was established based on an intelligent drilling and completion simulation system. A computational fluid dynamics (CFD) approach, incorporating the Eulerian–Eulerian two-fluid model and the kinetic theory of granular flow, was employed to investigate the effects of wellbore diameter, eccentricity, curvature, flow rate, and rheological parameters on cuttings transport behavior. Results from the steady-state simulations indicate that increasing the wellbore diameter and eccentricity intensifies cuttings deposition at the connection section, with the lower-region concentration rising significantly as the eccentricity increases from 0% to 60%. A larger curvature enhances local flow disturbance but reduces the overall cuttings transport efficiency. Increasing the flow rate improves hole cleaning but may promote cuttings accumulation near the bottom of the main wellbore. As the flow behavior index increases from 0.4 to 0.8, the average cuttings concentration rises from 0.0996 to 0.1008, and the pressure drop increases from 1,010,894 Pa to 1,042,880 Pa, indicating improved transport capacity but higher energy consumption. Experimental results are consistent with the numerical simulation trends, confirming the model’s reliability. This study provides both theoretical and experimental support for optimizing complex wellbore structures and drilling fluid parameters. Full article
Show Figures

Figure 1

17 pages, 10712 KB  
Article
An Euler Graph-Based Path Planning Method for Additive Manufacturing Thin-Walled Cellular Structures of Continuous Fiber-Reinforced Thermoplastic Composites
by Guocheng Liu, Fei Wang, Qiyong Tu, Ning Hu, Zhen Ouyang, Wenting Wei, Lei Yang and Chunze Yan
Polymers 2025, 17(23), 3236; https://doi.org/10.3390/polym17233236 - 4 Dec 2025
Viewed by 407
Abstract
Thin-walled cellular structures of continuous fiber-reinforced thermoplastic composites (CFRTPCs) have received much attention from both academics and industry due to their superior properties. Additive manufacturing provides an efficient solution for fabricating these thin-walled cellular structures of CFRTPCs. However, the process often requires cutting [...] Read more.
Thin-walled cellular structures of continuous fiber-reinforced thermoplastic composites (CFRTPCs) have received much attention from both academics and industry due to their superior properties. Additive manufacturing provides an efficient solution for fabricating these thin-walled cellular structures of CFRTPCs. However, the process often requires cutting fiber filaments at jumping points during printing. Furthermore, the filament may twist, fold, and break due to sharp turns in the printing path. These issues adversely affect the mechanical properties of the additive manufactured part. In this paper, a Euler graph-based path planning method for additive manufacturing of CFRTPCs is proposed to avoid jumping and sharp turns. Euler graphs are constructed from non-Eulerian graphs using the method of doubled edges. An optimized Hierholzer’s algorithm with pseudo-intersections is proposed to generate printing paths that satisfy the continuity, non-crossing, and avoid most of the sharp turns. The average turning angle was reduced by up to 20.88% and the number of turning angles less than or equal to 120° increased by up to 26.67% using optimized Hierholzer’s algorithm. In addition, the generated paths were verified by house-made robot-assisted additive manufacturing equipment. Full article
Show Figures

Graphical abstract

25 pages, 9706 KB  
Article
The Eulerian–Lagrangian Model for Simulating the Moisture Content Effect on the Characteristics of MSW Combustion in a 50 T/D Grate Incinerator
by Jiacheng Dai, Yingnan Du, Yuanbo Xie, Dongkuan Zhang, Li Liu, Yang Gui and Guozhao Ji
Processes 2025, 13(12), 3928; https://doi.org/10.3390/pr13123928 - 4 Dec 2025
Viewed by 210
Abstract
Municipal solid waste (MSW) composition and properties play a critical role in determining the efficiency and environmental impact of waste incineration processes. However, the effects of moisture variation in MSW on combustion performance in full-scale grate systems remain insufficiently understood. To reveal how [...] Read more.
Municipal solid waste (MSW) composition and properties play a critical role in determining the efficiency and environmental impact of waste incineration processes. However, the effects of moisture variation in MSW on combustion performance in full-scale grate systems remain insufficiently understood. To reveal how the moisture variation in municipal solid waste (MSW) properties affects the combustion process in full-scale grate systems, a 50 t/d mechanical grate incinerator was modeled. The influence of MSW inlet moisture content (42.85%, 35.71%, and 28.57%) was investigated. When the moisture content is 35.71%, the horizontal and vertical temperature gradient of the incinerator was least pronounced, and the high-temperature zone in the incinerator would not be locally concentrated. The moderate ignition position could reduce the corrosion of the front and rear arches of the grate incinerator. In the combustion process of three moisture contents, the complete evaporation positions were located at X = 4.23 m in the combustion section, X = 3.15 m in the drying section and X = 2.63 m in the drying section, the corresponding ignition points were X = 6 m, X = 4.47 m, and X = 3.74 m in the combustion section, respectively. After the moisture content was reduced to 35.71% and 28.57%, the drying process was advanced by 25.5% and 37.8%, respectively; the ignition points were advanced by 25.5% and 37.7%, respectively. It is recommended that the moisture content of MSW be maintained within the range of 33.8% to 41.6% under practical operating conditions. With the decrease in the moisture content of the MSW, the O2 content at the incinerator outlet decreased; the CO2 content increased. The findings offer quantitative guidance on feed pre-treatment for MSW incineration plants. Full article
Show Figures

Figure 1

30 pages, 11915 KB  
Article
Structural Response of a Two-Side-Supported Square Slab Under Varying Blast Positions from Center to Free Edge and Beyond in a Touch-Off Explosion Scenario
by S. M. Anas, Rayeh Nasr Al-Dala’ien, Mohammed Benzerara and Mohammed Jalal Al-Ezzi
Buildings 2025, 15(23), 4371; https://doi.org/10.3390/buildings15234371 - 2 Dec 2025
Viewed by 174
Abstract
A touch-off explosion on concrete slabs is considered one of the simplest yet most destructive forms of adversarial loading on building elements. It causes far greater damage than explosions occurring at a distance. The impact is usually concentrated in a small area, leading [...] Read more.
A touch-off explosion on concrete slabs is considered one of the simplest yet most destructive forms of adversarial loading on building elements. It causes far greater damage than explosions occurring at a distance. The impact is usually concentrated in a small area, leading to surface cratering, scabbing of concrete, and even tearing or rupture of the reinforcement. Studies available on the behavior of reinforced concrete (RC) slabs under touch-off (contact) and standoff explosions commonly indicate that the maximum damage occurs when the blast is applied to the center of the slab. This observation raises an important question about how the position of an explosive charge, especially relative to the free edge of the slab, affects the overall damage pattern in slabs supported on only two sides with clamped supports. This study uses a modeling strategy combining Eulerian and Lagrangian domains using the finite element tools of Abaqus Explicit v2020 to examine the behavior of a square slab supported on two sides with clamped ends subjected to blast loads at different positions, ranging from the center to the free edge and beyond, under touch-off explosion conditions. The behavior of concrete was captured using the Concrete Damage Plasticity model, while the reinforcement was represented with the Johnson–Cook model. Effects of strain rate were included by applying calibrated dynamic increase factors. The developed numerical model is validated first with experimental data available in the published literature for the case where the explosive charge is positioned at the slab’s center, showing a very close agreement with the reported results. Along with the central blast position, five additional cases were considered for further investigation as they have not been investigated in the existing literature and were found to be worthy of study. The selected locations of the explosive charge included an intermediate zone (between the slab center and free edge), an in-slab region (partly embedded at the free edge), a partial edge (partially outside the slab), an external edge (fully outside the free edge), and an offset position (250 mm beyond the free edge along the central axis). Results indicated a noticeable transition in damage patterns as the detonation point shifted from the slab’s center toward and beyond the free edge. The failure mode changed from a balanced perforation under confined conditions to an asymmetric response near the free edge, dominated by weaker surface coupling but more pronounced tensile cracking and bottom-face perforation. The reinforcement experienced significantly varying tensile and compressive stresses depending on blast position, with the highest tensile demand occurring near free-edge detonations due to intensified local bending and uneven shock reflection. Full article
(This article belongs to the Section Building Structures)
Show Figures

Figure 1

18 pages, 10388 KB  
Article
A Novel Flexible Multibody System Dynamic Analysis Platform of Tower Crane
by Zuqing Yu and Hongjing Li
Machines 2025, 13(12), 1103; https://doi.org/10.3390/machines13121103 - 28 Nov 2025
Viewed by 291
Abstract
Current research on tower crane control lacks high-fidelity models and fails to account for the coupling effects between the tower crane structure and the hoisting and luffing systems. A new dynamic analysis platform based on the flexible multibody system theory is proposed in [...] Read more.
Current research on tower crane control lacks high-fidelity models and fails to account for the coupling effects between the tower crane structure and the hoisting and luffing systems. A new dynamic analysis platform based on the flexible multibody system theory is proposed in this investigation for the tower crane which contains a large-scale steel structure and hoisting mechanisms undergoing large displacements and large deformations. The Arbitrary Lagrangian–Eulerian–Absolute Nodal Coordinate Formulation (ALE–ANCF) cable element was employed to model the varying length of the steel rope in the hoisting mechanisms. Nonlinear kinetic equations were used to describe the motion of a luffing trolley. The solving strategy of the system’s dynamical equations are presented. Two different trajectories were tested. Simulation results demonstrate the feasibility and rationality of the proposed dynamic analysis platform. The primary conclusion is that this platform serves as a reliable and high-fidelity testbed for developing and evaluating advanced control algorithms under realistic dynamic conditions, thereby providing a dependable tool for both research and engineering applications. Full article
(This article belongs to the Section Machine Design and Theory)
Show Figures

Figure 1

37 pages, 7884 KB  
Article
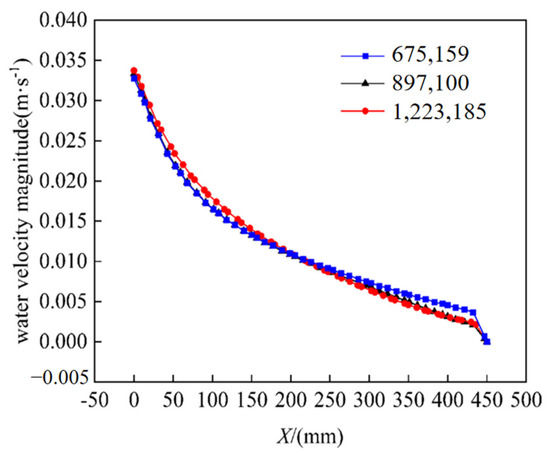
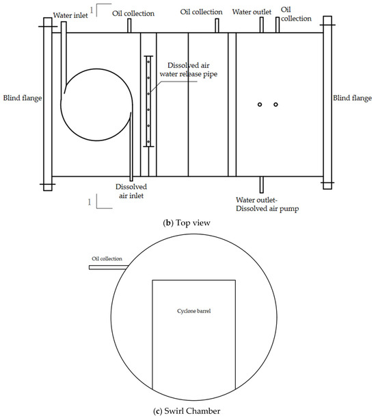
Numerical Simulation Study of Air Flotation Zone of Horizontal Compact Swirling Flow Air Flotation Device
by Lei Zhang, Xiaolong Xiao, Mingxiu Yao, Leiyou Hai, Huiyun Men, Wenming Jiang and Yang Liu
Processes 2025, 13(12), 3848; https://doi.org/10.3390/pr13123848 - 28 Nov 2025
Viewed by 298
Abstract
Air flotation separation technology has emerged as one of the core techniques for oily wastewater treatment in oilfields, owing to its advantages of high throughput, high separation efficiency, and short retention time. Originally applied in mineral processing, this technology was first introduced to [...] Read more.
Air flotation separation technology has emerged as one of the core techniques for oily wastewater treatment in oilfields, owing to its advantages of high throughput, high separation efficiency, and short retention time. Originally applied in mineral processing, this technology was first introduced to oilfield produced water treatment by Shell in 1960. With the optimization of microbubble generators, advances in microbubble generation technology—characterized by small size, high stability, and uniformity—have further expanded its applications across various wastewater treatment scenarios. To optimize the separation performance of a horizontal compact closed-loop cyclonic air flotation unit, this study employs CFD numerical simulation to investigate two key aspects: First, for the flotation zone, the effects of structural parameters (deflector height, inclination angle) and operational parameters (gas–oil ratio, bubble size, inlet velocity) on flow patterns and gas distribution were systematically examined. Device performance was evaluated using metrics such as gas–oil ratio distribution curves and flow field characteristics, enabling the identification of operating conditions for stratified flow formation and the determination of optimal deflector structural parameters. Second, based on the Eulerian multiphase flow model and RSM turbulence model, a numerical simulation model for the oil–gas–water three-phase flow field was established. The influences of key parameters (bubble size, throughput, gas–oil ratio) on oil–water separation efficiency were investigated, and the optimal operating conditions for the unit were determined by integrating oil-phase/gas-phase distribution characteristics with oil removal rate data. This research provides theoretical support for the structural optimization and engineering application of horizontal compact closed-loop cyclonic flotation units. Full article
(This article belongs to the Section Separation Processes)
Show Figures

Figure 1

19 pages, 5251 KB  
Article
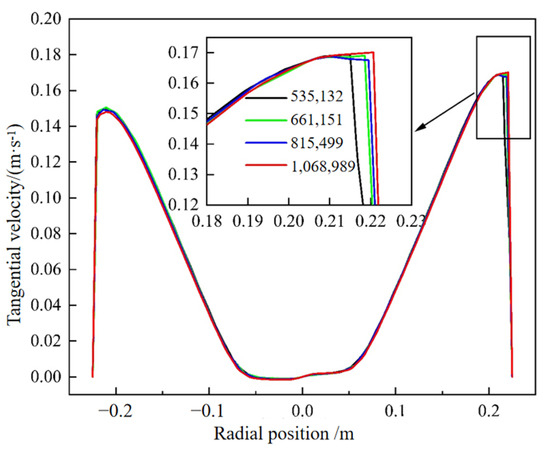
Influence of Cross-Sectional Curve Equation on Flow Field Evolution and Particle Separation in the Spiral Concentrator of the First Turn
by Shuling Gao, Chunyu Liu, Xiaohong Zhou, Xintong Zhang, Qian Wang and Cong Han
Separations 2025, 12(12), 327; https://doi.org/10.3390/separations12120327 - 25 Nov 2025
Viewed by 260
Abstract
The flow field evolution in the first turn of the spiral concentrator is decisive for the separation efficiency of solid particles. A laboratory-scale Φ300 mm spiral concentrator was employed as the study subject. The fluid phase was simulated using the RNG k-ε (Renormalization [...] Read more.
The flow field evolution in the first turn of the spiral concentrator is decisive for the separation efficiency of solid particles. A laboratory-scale Φ300 mm spiral concentrator was employed as the study subject. The fluid phase was simulated using the RNG k-ε (Renormalization Group) turbulence model and the VOF (Volume of Fluid) multiphase model, while the particles were calculated with an Eulerian multi-fluid VOF model that incorporates the Bagnold effect. The influence of the cross-sectional curve equation on the evolution of flow field parameters in the first turn and on the separation behavior of hematite and quartz particles was systematically investigated. The results indicated that the evolution characteristics of fluid parameters, such as the depth of flow film, the tangential velocity of surface flow, the velocity of secondary circulation, and radial flux, were similar. All parameters were observed to undergo an initial decrease or increase, eventually stabilizing as the longitudinal travel progressed. A negative correlation was identified between the index of the cross-sectional curve equation and both the depth of flow film and the tangential velocity of surface flow in the inner half of the trough, whereas an inverse relationship was noted in the outer half. With an increase in the index of the cross-sectional curve equation, the outward circulation velocity in the initial stage and its radial flux in the outer zone were enhanced, while the fluctuations in the evolution of local fluid parameters were suppressed, with more active fluid radial migration observed at the indices of the cross-sectional curve equation of 2.5 and 3. As the flow field evolved, axial separation between hematite and quartz particles was progressively achieved by gravity due to their density difference. In the middle and inner-outer zones, the migration directions of hematite and quartz were observed to become opposite in the later stage of evolution, while the difference in their migration magnitudes was also found to be widened. With an increase in the index of the cross-sectional curve equation, the disparity in the axial separation and movement between hematite and quartz was enhanced, albeit with a diminishing rate of increase. The maximum separation efficiency between hematite and quartz particles was significantly improved with increased longitudinal travel, reaching over 60% by the end of the first turn; higher indices were determined to be more favorable for achieving this performance. Based on the previous research, the variation in separation indices in the third turn was investigated under both independent adjustment of the index of the cross-sectional curve equation and its combined adjustment with the downward bevel angle. Relatively high and stable separation performance was achieved with the indices of the cross-sectional curve equation of 2.5 and 3, where a maximum separation efficiency of 82.02% was obtained, thereby validating the high efficiency and suitability of the selected spiral concentrator profile. This research elucidated the decisive role of the flow field evolution through the first turn in particle separation behavior from the perspective of quantitative description of hydrodynamic parameters, providing beneficial references for the cross-sectional structure design of spirals and the prediction of the separation index of specific feed. Full article
Show Figures

Figure 1

38 pages, 9567 KB  
Article
A Phase Map for Vertical Upflow of Slightly Cohesive Geldart A Powders Focused on High Solids Mass Flux
by Prabu Balasubramanian, Andrew Cowell and Don McGlinchey
Appl. Sci. 2025, 15(23), 12503; https://doi.org/10.3390/app152312503 - 25 Nov 2025
Viewed by 276
Abstract
Flow regimes of vertical upflow for slightly cohesive Geldart A powders at high solids mass flux (Gs 500 kg/m2s) are not fully resolved. In particular, Dense Suspension Upflow (DSU) as a distinct flow regime and its transition boundaries [...] Read more.
Flow regimes of vertical upflow for slightly cohesive Geldart A powders at high solids mass flux (Gs 500 kg/m2s) are not fully resolved. In particular, Dense Suspension Upflow (DSU) as a distinct flow regime and its transition boundaries are not broadly accepted. Furthermore, the locus of the pressure gradient minimum, which is the broadly accepted dense–dilute transition at low Gs, requires validation at high Gs. In our recent work, by adapting the phase map of Wirth and by Eulerian modeling, DSU was defined as a distinct flow regime with gross upflow of solids and with granular temperature at the wall greater than that in the bulk. This study has further validated the definition of DSU and its transition boundaries by extending the modeling to areas not fully explored in the earlier work. Furthermore, this study has identified (a) the possibility of a phase of DSU between fast fluidization and turbulent regime at all Gs; and (b) the need to review the suitability of the locus of the pressure gradient minimum as the dense–dilute transition at high Gs. Additionally, our work has demonstrated (a) a new provisional correlation that the upper transport velocity for Geldart A powders is significantly greater than hitherto predicted; and (b) the slip velocity in the transport regimes increases with Gs to peak within fast fluidization and falls thereafter to attain low multiples of the terminal settling velocity within DSU. Full article
Show Figures

Figure 1

16 pages, 4463 KB  
Article
Anatomy of Coherent Vortical Structures in Droplet-Laden Turbulent Airflow over a Wavy Water Surface
by Guan-Hung Lu, Wu-Ting Tsai and Oleg A. Druzhinin
J. Mar. Sci. Eng. 2025, 13(11), 2192; https://doi.org/10.3390/jmse13112192 - 18 Nov 2025
Viewed by 231
Abstract
This study investigates the effects of spume droplets on coherent vortical structures (CVSs) in turbulent airflow over a wavy water surface, focusing on the role of wave steepness and droplet injection velocity in modulating these interactions. Direct numerical simulations are performed using a [...] Read more.
This study investigates the effects of spume droplets on coherent vortical structures (CVSs) in turbulent airflow over a wavy water surface, focusing on the role of wave steepness and droplet injection velocity in modulating these interactions. Direct numerical simulations are performed using a droplet-laden Couette turbulent airflow over progressive surface waves as an idealized model. A Eulerian-Lagrangian approach is employed, considering low- and high-steepness wave conditions (ak =0.1 and 0.2, where a is wave amplitude and k is wavenumber) and two droplet injection velocities (surface and airflow velocities near wave crest). Results from droplet-free simulations reveal strong phase dependence in CVS formation, with forward and reversed horseshoe vortices near wave troughs and quasi-streamwise vortices aligning along the windward surface. Droplets injected at the surface velocity remain near wave crests, where CVS formation is weak, leading to minimal interaction. In contrast, droplets injected at the airflow velocity disperse broadly, increasing the likelihood of interactions with CVSs. For low-steepness waves, these droplets stay within the surface layer, attenuating CVSs and suppressing ejection and sweep events. However, as wave steepness increases, more droplets escape the near-surface layer, reducing their influence on CVSs. Full article
(This article belongs to the Section Physical Oceanography)
Show Figures

Figure 1

17 pages, 4599 KB  
Article
Reproducible Thermo-Fluid–Solid-Coupled Modeling of Wet Milling of Al6061: Parametric Influence and Surface Integrity Assessment
by Yanping Xiao, Xuanzhong Wu, Xin Tong, Enqing Chen and Cheng Zhang
Metals 2025, 15(11), 1256; https://doi.org/10.3390/met15111256 - 17 Nov 2025
Viewed by 346
Abstract
Wet milling of aluminum alloys involves complex interactions among thermal, fluid, and mechanical fields that strongly affect cutting temperature, stress distribution, and surface integrity. To achieve reproducible and physics-based predictions of these coupled phenomena, this study develops a three-dimensional thermo–fluid–solid-coupled Eulerian–Lagrangian (CEL) framework [...] Read more.
Wet milling of aluminum alloys involves complex interactions among thermal, fluid, and mechanical fields that strongly affect cutting temperature, stress distribution, and surface integrity. To achieve reproducible and physics-based predictions of these coupled phenomena, this study develops a three-dimensional thermo–fluid–solid-coupled Eulerian–Lagrangian (CEL) framework for the wet milling of Al6061. The model system in this study evaluated the effects of milling cutter feed rate and spindle speed, feed per tooth of the milling cutter, axial cutting depth, and coolant flow rate on equivalent stress and peak milling temperature., as well as their correlation with surface roughness metrics (Ra, Sa). Simulation results reveal that higher feed rates significantly raise Tpeak (+12.9%) while reducing σeq (−22.7%) and deteriorating surface quality (Ra +104.2%, Sa +29.9%). Increasing spindle speed lowers both Tpeak (−2.2%) and σeq (−8.5%) and improves surface finish (Ra −39.3%, Sa −16.6%). A greater depth of cut amplifies mechanical and thermal loads, increasing Tpeak (+10.3%) and σeq (+17%). Enhanced coolant flow reduces Tpeak (−23.5%) and σeq (−6.1%) and markedly improves surface quality (Ra −88.8%, Sa −51.3%). Research findings indicate that coolant coverage is the dominant factor determining surface integrity. Although experimental data for Tpeak and σeq were not directly validated, this framework clearly articulates modeling assumptions, quantifies parameter sensitivities, and provides a reproducible methodology for future experimental-numerical verification. Full article
Show Figures

Figure 1

17 pages, 4867 KB  
Article
Investigation of Blast Resistance Performance in Reinforced Concrete Slabs Using CONWEP-ALE Coupling Algorithm
by Chengrui Wang, Kai Zhang, Wei Liu and Peng Li
Appl. Sci. 2025, 15(22), 12162; https://doi.org/10.3390/app152212162 - 16 Nov 2025
Viewed by 428
Abstract
The Conventional Weapons Effects Program (CONWEP) algorithm often lacks sufficient accuracy in predicting blast responses of reinforced concrete (RC) slabs, while the Arbitrary Lagrangian–Eulerian (ALE) algorithm demands prohibitively high computational resources. To enhance the engineering applicability of blast resistance assessments for RC slabs, [...] Read more.
The Conventional Weapons Effects Program (CONWEP) algorithm often lacks sufficient accuracy in predicting blast responses of reinforced concrete (RC) slabs, while the Arbitrary Lagrangian–Eulerian (ALE) algorithm demands prohibitively high computational resources. To enhance the engineering applicability of blast resistance assessments for RC slabs, this study proposed a novel CONWEP-ALE coupling algorithm. Utilizing validated blast tests on RC slabs, a representative finite element model was established using LS-DYNA. The performance differences between the CONWEP, ALE, and CONWEP-ALE coupling algorithms were systematically compared under three distinct blast scenarios. Key response characteristics, including incident overpressure, structural deformation, and computational time, were analyzed to evaluate the predictive capabilities of each algorithm for RC slab dynamic response. The results demonstrated that the CONWEP-ALE coupling algorithm achieved the lowest average error (23.23%) in predicting incident overpressure among the three algorithms. Both the ALE and CONWEP-ALE coupling algorithms demonstrate superior accuracy over the CONWEP algorithm in predicting the displacement. Crucially, computational time was reduced by approximately 50% using the CONWEP-ALE algorithm for the specific blast scenarios. Thus, the CONWEP-ALE coupling algorithm provides an effective and efficient approach for analyzing the dynamic response and failure modes of blast-loaded RC slabs. Full article
(This article belongs to the Section Civil Engineering)
Show Figures

Figure 1

21 pages, 8278 KB  
Article
Numerical Study on the Aerodynamic and Structural Response Characteristics of a High-Altitude Wind-Capturing Umbrella
by Jian Jiang, Jiaqi Wang, Yan Wang, Chang Cai and Tengyuan Wang
Appl. Sci. 2025, 15(22), 12161; https://doi.org/10.3390/app152212161 - 16 Nov 2025
Viewed by 423
Abstract
As global demand for renewable energy continues to grow, high-altitude wind energy, characterized by high speed, wide distribution, and strong stability, has emerged as a promising alternative to low-altitude wind energy. Airborne Wind Energy systems (AWEs) are key to harnessing high-altitude wind, and [...] Read more.
As global demand for renewable energy continues to grow, high-altitude wind energy, characterized by high speed, wide distribution, and strong stability, has emerged as a promising alternative to low-altitude wind energy. Airborne Wind Energy systems (AWEs) are key to harnessing high-altitude wind, and Ground-Generator (Ground-Gen) AWEs are favored for their lower costs and simpler deployment. This study focuses on the umbrella–ladder-type Ground-Gen AWEs, aiming to address the research gap by exploring the influence of canopy permeability on the aerodynamic and structural response characteristics of flexible wind-capturing umbrellas. A single-umbrella model of the high-altitude wind-capturing umbrella was established, and bidirectional fluid–structure interaction (FSI) numerical simulations were conducted using the Arbitrary Lagrangian–Eulerian (ALE) method. Simulations were performed under a 30° angle of attack with two canopy thicknesses (5 × 10−5 m and 1 × 10−4 m) and varying permeability (adjusted via viscosity coefficient a and inertial coefficient b). Results showed that higher permeability (smaller a and b) hindered upper canopy inflation, while lower permeability promoted full inflation and more uniform stress distribution. The max/min in-plane shear stress for the model with the lowest permeability (Model F) was approximately 85% lower than that of the model with the highest permeability (Model A). The tension coefficient increased with decreasing permeability. Full inflation resulted in a slightly higher axial load in the upper suspension lines due to the lift force, with a difference of up to 92.3% during slight collapse. This difference becomes significantly more pronounced during severe collapse. Asymmetric flow fields at a 30° attack angle generated a lift force, resulting in higher tension coefficients than those at a 0° attack angle. These findings provide valuable references for the design and optimization of high-altitude wind-capturing umbrellas. Full article
(This article belongs to the Section Aerospace Science and Engineering)
Show Figures

Figure 1

Back to TopTop