Next Article in Journal
Directed Douglas–Rachford Splitting Method with Application to Feature Selection
Previous Article in Journal
Numerical Elucidation on the Dynamic Behaviour of Non-Premixed Flame in Meso-Scale Combustors
 
 
Font Type:
Arial Georgia Verdana
Font Size:
Aa Aa Aa
Line Spacing:
Column Width:
Background:
Article

Numerical Investigation of Water Wave Impacting a Structure Using Fluid–Structure Interaction Simulation

1
Unité de Mécanique de Lille-Joseph Boussinesq (UML), University of Lille, 59650 Villeneuve-d’Ascq, France
2
School of Information Engineering, Huzhou University, Huzhou 313000, China
3
Association of Intelligent Systems and Robotics, 75014 Paris, France
4
School of Computer Science and Technology, Zhejiang Normal University, Jinhua 321004, China
*
Author to whom correspondence should be addressed.
Modelling 2025, 6(3), 95; https://doi.org/10.3390/modelling6030095
Submission received: 19 July 2025 / Revised: 23 August 2025 / Accepted: 26 August 2025 / Published: 2 September 2025

Abstract

Unmanned surface vehicles (USVs) have great application prospects in defense, environmental surveillance and offshore energy due to their cost-effectiveness and long-duration mission ability. The structural safety issues induced by the prolonged cyclic wave loading on such small-sized marine structures, such as fatigue failure mechanism, represent an important research topic. In order to characterize the loading process, a piston-type numerical wave flume with wave absorption setting is constructed using the Arbitrary Lagrangian Eulerian (ALE) formulation, and the fluid–structure interaction (FSI) simulations are performed. Simulated wave profiles are measured and compared with corresponding analytical wave solutions to verify the accuracy of target waves. The wave absorption effect is verified by comparing the velocities of water particles in different water regions. Then, different impact scenarios are performed by applying a range of the applicable target waves. Simulated wave forms, impact scenes along with the computed wave load data are presented, and the impact process is analyzed. As a result, the FSI simulations demonstrate cyclic loading characteristics of small-sized floating structures subjected to wave impacts, and the constructed ALE numerical wave flume possesses the extensibility for the simulation of nonlinear water wave impact scenarios.

1. Introduction

Wave load analysis is an essential part of the design for marine structures, as a result of the fact that the static and dynamic loads induced by waves are important and main factors affecting the structural safety and durability in the marine environment [1]. USVs such as Wave glider, AutoNaut, Saildrone and SailBuoy usually adopt sandwich-structured composite hulls, which can suffer irreversible material damage due to material fatigue under cyclic loads caused by wave impacts. Singh and Davidson conducted a study on the effects of different factors on the flexural strength, stiffness, and life of sandwich composites, of which the impact damage had little effect on the static results, but caused a significant loss in fatigue life [2]. Kanny and Mahfuz investigated the effect of frequency on the fatigue behavior of sandwich composites and found that the crack growth rate decreased with increase in loading frequency [3]. It is important to comprehend the wave impacts, the characteristics of cyclic wave loads to which a type of USV utilizing wave motion energy are subjected during their normal operating conditions, are of interest in this investigation.
Water wave modeling and the calculation of wave loads can be carried out through analytical method, empirical method, physical experiment and numerical simulation [4].
The analytical method uses mathematical equations to build simplified models of different water waves phenomena in nature. These equations are used to describe the most important characteristics of waves and to predict wave behaviors. Famous theories of water waves include linear water wave theory (also called Small-amplitude theory or Airy wave theory), nonlinear finite amplitude wave theory (Stokes wave theory), Boussinesq wave theory, cnoidal wave theory, Solitary wave theory, Fenton’s theory and others for phenomena more complex such as wave breaking, hydraulic jump and bore.
Regarding the empirical method, the Morison equation with its improved formulation is a common semi-empirical equation used to predict the wave loads acting on offshore structures when the characteristic dimension is small compared to the wave length [5]. For example, Yang and Li successfully calculated the inner and outer water hydrodynamic pressure of hollow piers using the expanded Morison equation [6]. Lee et al. compared the experimentally measured wave forces and those calculated by the Morison equation, and thus proposed a non-dimensional wave force function which improves the accuracy of secondary load cycle computation on cylindrical structures [7].
Physical water wave experiments are also common. They consist in constructing a basin, wave flume or wave tank for physically generating waves. Experimental models are usually scaled down, and the scaling laws should be applied for estimating real water wave effects. Waves are generated by the movement of wavemakers that may be roughly categorized into piston-type and flap-type. A single such structure can be used to generate both linear and nonlinear waves, while grouped such structures can be used to generate irregular wave surfaces by simultaneous motions with different phases. In physical experiments, stable waveforms are generated and disturbing factors like wave reflections may be eliminated by controlling the motions of the wavemaker. A physical model can be applied to the study of water waves phenomena and related FSI problems. One can refer to these related research articles [8,9,10,11,12].
With the increase in computing power and the development of related software, numerical simulation has become an economical and convenient method to study water waves and related FSI problems. A variety of analytical theories can be applied and numerical models of physical wave tanks can be constructed for investigating the generation of waves as well as the interaction between waves and structures. Anbarsooz et al. constructed both piston-type and flap-type numerical wave tanks to generate linear and nonlinear waves in intermediate and deep-water conditions, and the models were validated by referring to experimental data [13]. Park et al. constructed a piston-type wave tank based on Boussinesq equation for generating the cnoidal waves and solitary waves, and verified the mean power characteristic range of the related theories [14]. Francis et al. constructed a piston-type numerical wave tank for generating stable solitary waves [15]. Ohyama and Nadaoka constructed a numerical wave tank with open boundary condition using a sponge layer and Sommerfeld’s radiation condition to eliminate wave reflections and analyzed the generation of nonlinear and irregular waves [16]. Miquel et al. analyzed the performance of different wave generations and absorption methods in CFD (computational fluid dynamics)-based numerical wave tanks [17]. Westphalen et al. constructed a numerical wave tank to study the interactions between focused waves and the structure, and verified the numerical wave tank model by referring to the experimental data [18]. Hu et al. built a numerical wave tank to study the fluid–structure interaction problem, and simulated, respectively, first- and second-order Stokes waves and the extreme wave cases [19].
Wave impact on a structure is an FSI problem involving multiple materials (air, water and structure). Waves propagate and reach the structure, then the impact process is completed in a very short time. A finite element-based FSI model contains both fluid and solid materials. With the Lagrangian method, the interface between different materials can be easily tracked based on the mesh deformation. However, in FSI problems, large material deformation may occur which can lead to mesh distortion and computational instability. In contrast, the mesh distortion problem does not exist when applying the Eulerian method because the mesh remains unchanged during the computation. Facing this problem, the Arbitrary Lagrangian Eulerian method successfully combines the advantages of the Lagrangian and Eulerian methods. The method allows the presence of both Eulerian elements of fluid materials and Lagrangian elements of solid materials in the same model, and the large deformation issue can be solved by the advection process. Furthermore, the ALE-based multi-material formulation enables the simultaneous presence of more than one fluid material in a single element, which makes it possible to achieve precise interface tracking between different materials.
The Arbitrary Lagrangian Eulerian method has become an important and efficient approach to solve FSI problems. The models implanted with ALE formulation have been successfully applied to different FSI scenarios, such as sloshing tanks, bird impact, airbag inflation, slamming phenomena, soil–structure interaction and underwater explosive simulations. Hughes et al. firstly gave a finite element formulation for incompressible viscous flows based on the ALE method to solve the free surface and the FSI problem therein [20]. Souli et al. introduced the essential ideas of the ALE method for FSI problems and proposed a method to control the distortion of the mesh [21]. Rider et al. improved the ALE code ALEGRA, the new methodology enhanced the second-order accurate numerical method to a third-order accurate in one dimension [22]. Souli and Gabrys numerically simulated the problem of bird impact into an aircraft radome using ALE formulation and validated the model through experimental approaches [23]. Souli and Shahrour analyzed the effect of blast loading on a coupled soil–structure system using the ALE method [24]. Ozdemir et al. simulated the Sloshing tank problem affected by earthquake conditions using the ALE method. The coupling forces were calculated and their experimental results were verified to be accurate by referring to the existing analytical results [25]. Aquelet et al. introduced a damping force based on the relative velocity of the fluid in the ALE method to simulate the slamming phenomena in the shipbuilding industry [26]. Gong conducted an underwater explosion scenario using the ALE formulation, in order to simulate the response of a submersible hull build of glass–epoxy composite due to explosive shock and bubble [27].
The reliability of the ALE method for modeling free surface problems has been demonstrated by existing research cases such as the Sloshing tank problem mentioned above. In the study of Souli and Zolesio, the free surface motions of viscous and incompressible flows were solved by the ALE method with the Galerkin/least-square (GLS) finite element formulation [28]. Thus, the ALE method can be equally applied to the free surface problem of simulated wave generation.
This article starts from the linear wave and the related wavemaker theory. The wave absorption method using the damping effect is considered. The ALE formulation based on the Navier–Stokes (NS) equation, the interface tracking and reconstruction method for free surface and the coupling based on the penalty method are then described. For studying the cyclic loading process on a floating structure under wave impacts, an ALE wave flume model is established, regular linear waves are generated and their accuracy is verified referring to analytical solutions. Then, the system is coupled with a structure for FSI simulations, the coupling forces between the interface of the fluid and the structure are computed and the impact process and load data are analyzed.

2. Linear Water Wave Theory and Wavemaker Theory

Water waves in nature can be described as an unsteady free surface flow that is subjected to gravitational force, which means it is a kind of surface wave and also gravity wave [29]. The present study focuses on wind-induced, short-period waves, which should have a period of less than 25 s in the coastal areas, according to the statistics of ocean observations [30].

2.1. Linear Wave Theory

The basic wave theory is linear wave theory, developed from the Airy wave theory proposed by Airy in 1845. Due to the assumptions that the ratio of the wave height H (or amplitude a with a = H 2 ) to the wavelength L is a small quantity a L 1 and the small free surface motions, it is also known as the small-amplitude wave theory.
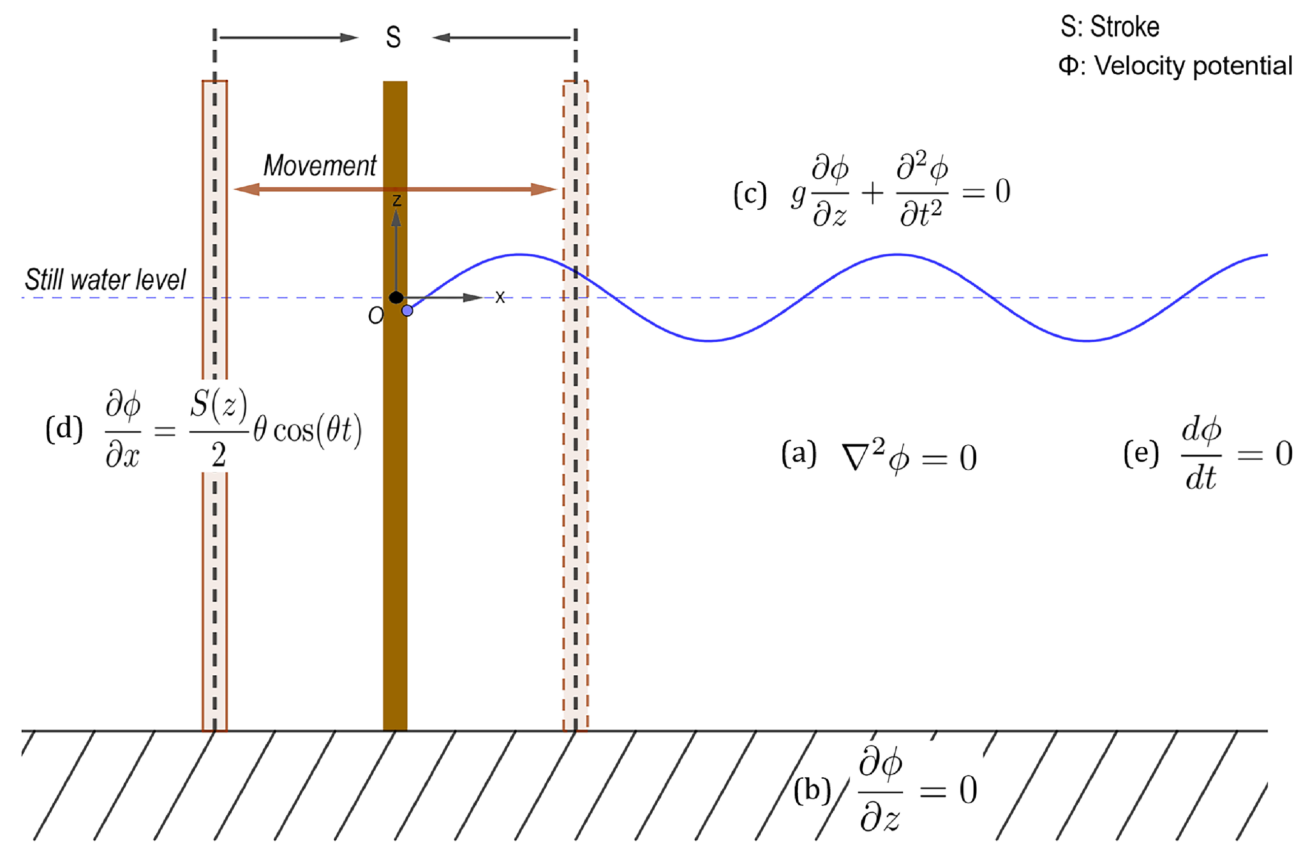
For an incompressible, inviscid and irrotational fluid propagating along the x direction in the x O z plane, and based on the Potential flow theory, the velocity potential ϕ of the flow should satisfy the continuity equation, thus deriving the governing differential equation, the Laplace’s equation, as follows:
2 ϕ = 2 ϕ x 2 + ϕ 2 z 2 = 0 .
Along with the free surface boundary conditions, bottom boundary condition and lateral boundary condition, a simplified description of water waves can be established. The lateral boundary condition describes the periodic inflow water wave on the left border as ϕ ( x , z , t ) = ϕ ( x c t , z ) . The bottom boundary condition describes that the material at the bottom of the water is considered to be impermeable, expressed as follows:
ϕ z = 0 on z = d ,
where d represents the water depth.
Then, the assumption of small amplitude allows the nonlinear terms in the kinematic free surface boundary condition and the dynamic free surface boundary condition to be neglected and thus the equations are linearized. The linearized free surface boundary condition can be expressed as follows:
g ϕ z + 2 ϕ t 2 = 0 ,
where g stands for the gravitational acceleration.
Figure 1 shows the governing equation and the boundary conditions for the linear water wave problem, with the origin O located at the still water level.

2.2. Wavemaker Theory

The generation of waves through disturbances produced by the mechanical movements of controlled paddles at the boundary of a water basin is the main method of wave generation in laboratory research of water waves and FSI problems. Piston-type and flap-type wavemakers are commonly used to generate regular waves, while a snake-type wavemaker can generate irregular wave surface by the movement of paddles with different phases. The very first wave generation theory can be traced back to Havelock’s studies in 1929 on forced surface waves. The theory is applicable to waves generated by small oscillations of a solid body, and the study was acted out in the case of deep water and finite depth conditions [31]. In 1951 and their subsequent research, Biésel and Suquet firstly investigated and analyzed the problem of piston-type, flap-type generators and some variants for wave generation. An expression is introduced to describe the relation between the generator’s stroke and the amplitude of the generated wave profiles, known as the Biésel transfer function [32,33,34]. With regard to the characteristics of waves generated by different wavemakers, it has been noted that the piston-type is more suitable for intermediate and shallow water depths, whereas the flap-type can be used for deep-water condition [35,36,37].
For the piston-type wavemaker, the theory assumes that the waves are generated by the harmonic oscillations of a paddle located at the left boundary of a wave flume. The horizontal displacement of the paddle can be described as follows:
x = S ( z ) 2 sin ( θ t ) ,
where S ( z ) represents the stroke of the paddle, θ is the frequency of paddle’s motion and θ = 2 π / T with T representing the period of paddle’s motion.
The paddle should also be considered as an impermeable boundary and the kinematic boundary condition needs to be satisfied on its surface, expressed as follows:
ϕ x = S ( z ) 2 · θ · cos ( θ t ) on P ( x , z , t ) = 0 .
In addition, there is another lateral boundary condition used to describe water waves propagating into the distance, expressed as follows:
d ϕ d t = 0 .
Figure 2 shows the governing equation and the boundary conditions for the piston-type wavemaker problem.
Then, the Biésel transfer function can be derived in resolving the expression of the velocity potential satisfying the governing equation as well as the four boundary conditions. The function can be expressed as follows:
H S = 2 ( cosh ( 2 k d ) 1 ) sinh ( 2 k d ) + 2 k d ,
where k represents the wave number. It is worth noting that the transfer function describes the wave height at a distance away as a stabilized wave profile a certain distance from the paddle.

2.3. Wave Absorption

Whether for a physical or numerical wave flume, the reflection of water waves propagating in a bounded area is unavoidable. Without any means of wave absorption, waves will be reflected after reaching the boundary, forming standing waves and leading to distortions for simulated wave profile. In numerical simulations, the use of passive wave absorption methods is much more common. Waves traveling to a sloping beach will result in wave breaking and energy dissipation, and similarly, the use of porous materials such as sand, rubble and sponge can also absorb wave energy and suppress reflections [38,39]. Considering the economy of the numerical computation, the elimination of wave reflections by applying a damping effect to a fixed water domain or water layer is an alternative.
In an ALE wave flume model, the Rayleigh mass damping effect can be easily implanted without complicating the model. The mass weighted damping effect is introduced for suppressing low-frequency oscillatory motions of water particles. In the relaxation zone where wave absorption is required, the acceleration of water particles subjected to the damping effect is expressed as follows:
α n = M 1 ( P n F n F d a m p n ) ,
with M representing the diagonal mass matrix while P n and F n are, respectively, the external and internal load vectors.
F d a m p n is the damping force vector which expresses as follows:
F d a m p n = D s · m · v ,
where m represents the water particle mass matrix and v is the velocity vector.
The damping factor D s is in our interests. And for each generated wave, a transient analysis of the undamped water wave motions must be conducted in order to obtain the fundamental mode frequency. Then, the value of the damping factor can be determined as follows:
D s = 2 ω m i n ,
where ω m i n is the fundamental frequency derived from the transient analysis.

3. ALE Formulation for Wave Generation and FSI

The Lagrangian and Eulerian formulations are, respectively, the classical methods for processing numerical simulations of structural analysis and fluid dynamics. For the Lagrange formulation, the elements deform with the material. Whereas for the Eulerian formulation, the nodes are fixed in space and the material travels through the mesh. In the face of FSI problems with potentially large deformations and interface tracking requirement, using one of these formulations in isolation is not an effective approach. However, the ALE formulation represents a combination of two different finite element modeling techniques.

3.1. ALE Description

In the ALE description, a referential domain is introduced in addition to the classical material domain (Lagrangian configuration) and spatial domain (Eulerian configuration). In other words, the ALE description considers two superimposed meshes, including a deformable Lagrangian mesh for structures and a fixed Eulerian or ALE mesh for fluids. When large deformations are present, the mesh distortion can be reduced by realizing the motion of the internal nodes through the referential domain.
Consider three domains, the material domain Ω 0 , the spatial domain Ω t and the referential domain Ω ^ shown in Figure 3. The material domain represents the initial configuration of a finite continuum body at t = 0 , with its boundary being Γ 0 . The spatial domain represents the configuration of this continuum body at time t, and its boundary is Γ t . Then, the referential domain represents an arbitrary grid domain whose boundary is Γ ^ . For the material domain, the coordinates of all the material points of which the continuum body is composed are expressed in terms of X . And at time t, the coordinates of all material points comprising the spatial domain are expressed by x . The coordinates of all material points of the referential domain are then expressed by ξ . Then, the transformation of their coordinates can be achieved through injective functions Φ and Φ ^ .
For a variable f, the partial derivative with respect to time in the referential domain can be related to the material derivative with respect to time, expressed as follows:
D f ( X , t ) D t = f ( ξ , t ) t + ( v v ^ ) f ( ξ , t ) ξ ,
where the term v v ^ can be be defined as the convective velocity w ; that is, w = ( v v ^ ) . Thus, the convective velocity represents the difference in velocity between the fluid and the grid of the referential domain.

3.2. ALE Formulation of Navier–Stokes Equations

In most CFD solvers, the governing equations implanted to describe the fluids are the Navier-Stokes equations. NS equations take into account the viscosity of the fluid, which is considerably more realistic and can be applied to a wider range of fluid analysis. However, the NS governing equations can still be applied to the linear waves. This is because, when considering incompressible non-viscous fluids, the momentum equation in the NS equations can be reduced to Euler’s equation, which in combination with the continuity equation can still lead to the governing equation of the linear water wave, the Laplace’s equation.
Subsequently, the NS governing equations under the ALE description in the considered case can be obtained. The mass conservation equation can be expressed as follows,
ρ t ( ξ , t ) + ( v v ^ ) · ρ + ρ · · v = 0 in Ω t ,
where ρ represents the density of the fluid.
The momentum conservation equation can be expressed as follows:
ρ v t ( ξ , t ) + ρ · ( v v ^ ) · v = · Σ + ρ b in Ω t ,
where Σ represents the stress tensor, and b represents a force per unit mass from the body force generally being the gravity.
And the energy conservation equation can be expressed as follows:
ρ e t ( ξ , t ) + ρ · ( v v ^ ) · e = · ( Σ · v ) + ρ b v ,
where e represents the internal energy.
While facing the computational difficulties posed by the presence of advection terms, there are two commonly used techniques that can be employed to solve the Navier–Stokes equations in ALE formulation. The first technique is to solve the fully coupled equations, but it is determined that this technique can only deal with the case of a single material in an element, as for example in the study of Longatte et al. [40]. The second technique is called the “split” method and this method divides the Lagrangian and advection terms in the NS equations at each time step and solves them in two sequential computational cycles, namely the Lagrangian phase and the advection phase [21].
In the Lagrangian phase, the explicit finite element method (FEM) is applied and the mesh moves following with the fluid particles. Since in this phase the mass conservation equation reduces to an algebraic equation, only the momentum conservation and the energy conservation need to be treated, which are expressed as follows:
ρ v t · Σ ρ b = 0 ρ e t · ( Σ · v ) ρ b v = 0 .
In the advection phase, the transportation of mass, momentum and energy across element boundaries is computed. Depending on convective velocity, it involves either the remapping of the displaced mesh at the Lagrangian phase back to its initial position, or onto a new arbitrary ALE mesh. The conservative equations in the advection phase are written as follows:
ρ t ( ξ , t ) + w · ρ = 0 ρ v t ( ξ , t ) + ρ · w · v = 0 ρ e t ( ξ , t ) + ρ · w · e = 0 .
In fact, the transport of variables lies in a hyperbolic equation system that needs to be considered. The problem can be solved using a finite volume method (FVM). The second-order advection algorithm, the Van Leer algorithm described by Benson, is adopted in this study [41].

3.3. Interface Tracking and Reconstruction

The method of interface tracking and reconstruction implanted in this study is based on Young’s method [42]. The method determines the position of the interface and defines the materials distribution based on the volume fractions of different materials in each element cell. Then, in every element cell, the interface segments are approximated by a straight line, reconstructing the entire free surface.
For the calculation of volume fractions, a function based on the volume fraction is used similarly to the Volume-of-Fluid method (VOF) proposed by Hirt and Nichols [43]. This function satisfies the equation expressed as follows:
V f t + ( u · V f ) = 0 ,
where V f represents the volume fraction and u is the fluid particle velocity.
Depending on the value of the volume fraction, it is easy to determine whether a specific fluid exists in the current element cell.
With regard to the reconstruction of the interface, Young’s method has a better accuracy than the Simple Line Interface Calculation (SLIC) method. In a two-dimensional scheme, the slope of the straight line that comes to approximate the interface segment for a central element is determined by its eight surrounding element cells. Figure 4 shows the determination of the slope by volume fraction. And similar for the three-dimensional case, the process is sequentially carried out following the elements in two directions to reconstruct the free surface.
Once the slope is determined, the approximate interface portion adjusts its position to match the actual free surface based on the current volume fraction of the element cell. The reconstructed interface will be continuous, since the free surface motion region is much larger than element size. Yet, even if there is a complex interface between multiple materials in an element cell, Young’s method can equally handle the situation by repetition of the same interface reconstruction logic.

3.4. Euler–Lagrange Penalty Coupling

When dealing with contact in FSI studies, the same problem will be encountered in numerical simulations, that is, the rapid motion and large deformation of the fluid will result in a mesh distortion at the fluid–structure interface. For the solution of this problem, it is possible to continue the idea of the ALE method by using a contact algorithm based on the penalty method. It may handle the coupling of the Eulerian fluid part and the Lagrangian structure part, so as to calculate the coupling force at the interface. In the contact algorithm based on the penalty method, a master–slave property is used to define the fluid surface and the structure surface (or penetrating and reference surfaces) that will come into contact. And similarly, the nodes or segments on the surface follow this same rule. In a FSI model, the Eulerian fluid is usually defined as the master part, while the structure of the Lagrangian formulation is the slave part [44]. The key concept of the penalty method is the implantation of a spring-like system where normal interface springs are placed between the master nodes and slave nodes, as shown in Figure 5. Similar to the classical contact algorithm where the contact force is computed via a proportional function based on the penetration vector, the calculation of the contact force in the penalty method is based on the penetration depth and the spring stiffness [23].
The calculation of the coupling force for the penalty method is as follows:
F = k s · d p ,
where k s is the spring stiffness and d p is the penetration depth. In fact, in the time integration calculation, the penetration depth as well as the coupling forces are alternately updated at each time step, and the penetration depth depends on the relative velocity between the fluid and the structure nodes, expressed as follows:
d p n + 1 = d p n + ( v s ( n + 1 ) 2 v f ( n + 1 ) 2 ) · Δ t .
It should be pointed out that the penalty method exerts a resisting force on the slave nodes. A pair of forces in Equation (18) is respectively imposed on the master and slave nodes in opposite directions, forming an equilibrium state at the coupling interface (Figure 5). This is for the conformity with the fluid–structure interface condition in actual coupling based on the action–reaction principle. This symmetry of the coupling forces in the penalty method made it almost immune to mesh hourglassing phenomena and also simplified the implementation of the method.
Then, at the structure nodes of the contact surface,
F s = F .
The determination of the spring stiffness value in Equation (18) is an important and difficult challenge in the coupling problem. This stiffness value depends on the problem to be studied and it needs to be obtained through a large number of experimental tests. A proper value of stiffness for the problem can reduce the energy interface for the total energy conservation and prevent the fluid from penetrating in the structure. The stiffness value in this study will be taken using the following expression:
k s = ρ f · V r e f 2 · S s G a p ,
where ρ f represents the maximum value of the fluid density in the case of multi-materials, V r e f is relative velocity between the fluid material and the structure material, S s represents the average surface area of the Lagrangian elements at the contact interface and G a p describes the interface gap based on the element size of the model.

4. Description of the Numerical Wave Flume

The objective of this study is to generate accurate and stable waves by a piston-type wavemaker, and then use these waves to conduct impact scenarios on a floating structure simulating the hull of an USV. These waves of different wave heights and wavelengths are used to simulate normal operating sea states of an USV, such as the wave glider. Through the FSI simulations, wave loads are computed in order to characterize cyclic loading characteristics.

4.1. Numerical Wave Flume Model

A two-phase fluid domain with a piston-type paddle is first modeled. The constructed numerical wave flume is 30 m long and 6 m high. The fluid domain adopts the brick element, and an individual element is 0.1 m long, and 0.1 m high. The fluid domain consists of a water layer of 3 m in depth and an air layer of 3 m. The piston-type wavemaker is modeled as a paddle being positioned 5 m from the left boundary. The wavemaker adopts the shell element and the element size is consistent with the lateral dimension of the fluid element for the sake of computational convenience. And two damping zones are set on both sides of the wave flume. For the numerical wave flume model, the boundary conditions are set as described in the previous part on the wavemaker theory. After verifying the accuracy of the generated waves, a structure of 2 m in length and 1.2 m in height is placed at a distance of 20 m from the initial position of the paddle. The structure adopts the brick element with the same size of fluid elements. Figure 6 shows the wave flume model for wave generation validation and the FSI model with coupled structure.

4.2. Material Models and Equations of State Settings

Like the setting of boundary conditions and wavemaker location, the selection of material models also determines the stability and quality of the simulation results. Adopting the linear wave theory, water is considered as an incompressible, inviscid, irrotational fluid. And it is still necessary to employ an equation of state in order to acquire the pressure information. In this study, Stiffness Gas equation of state is used for water and Ideal Gas equation of state is used for air. The density of water is set to 1024 kg/m3, and the density of air is set to 1.22 kg/m3. For the structure, it is modeled as an elastic cubic hull with density set to 1980 kg/m3 as a reference, like a common glass/epoxy composite material.

5. Simulation Results

The numerical flume model and FSI model are solved using OpenRadioss, an open-source Finite Element Analysis (FEA) software specializing in simulating impacts and dynamic events. Then, the simulation results are post-processed using Paraview.
Regarding the size and water depth characteristics of the numerical wave flume, the approximate period range for generating effective waves from the model is determined as 2 s < T < 12 s . All simulations last 20 s, with increments of 0.1 s. In order to observe the complete wave profile over the entire wavelength and to accurately measure the wave parameters, four sets of target waves with different periods were selected. These waves have a wavelength not exceeding the length of the wave flume. For each set of waves, different stroke settings of the wavemaker are assigned to generate waves with different wave heights. The same waves are used in FSI simulations after validation, with contact pressure history data along the fluid–structure interface are obtained.

5.1. Generated Waves

The period and stroke parameters for the four selected sets of waves, as well as their corresponding analytical wavelength and wave height solutions, are given in Table 1.
In the study of water wave problems, the relative depth ( d / L ), wave steepness ( H / L ) and relative wave height ( H / d ) are three important dimensionless parameters used for characterization of waves. The relative depth, wave steepness and relative wave height parameters of the target waves are given in Table 2.
The wave steepness of target waves shown in Table 2 is a small quantity, just as the ratio of the wave height to the wavelength in linear wave theory is assumed to be small. And for relative depth, they settle into a range of 1/20–1/2, which allows the target waves to be classified as an intermediate water depth condition.
The four sets of target waves are, respectively, presented in Figure 7, Figure 8, Figure 9 and Figure 10. The measured parameters are compared, and it can be observed that the wavelength of the four sets of waves gradually increases. And within each group, a larger stroke increases the wave height.
The effect of introducing the damping zone to reduce the influence of wave reflection is verified prior to validation of the target waves. Four nodes are selected and their velocity history data are compared to verify the damping effect. Nodes A and B are a pair of neighbor nodes, while A is in the left damping zone and B is off the left damping zone. Same for nodes C and D, they are another pair of neighbor nodes, while C is located at the entering side of the right damping zone, and D represents the water particle that has just entered the right damping zone. Figure 11 shows the velocity of the selected nodes, and the velocities of normal and damping nodes are compared.
Nodes B and C represent normally propagating water particles that have almost similar velocity data. As for node A and node D, which are in the damping zone, the damping effect dissipates the energy of the water wave, resulting in a drastic reduction in the velocity in the Z-direction. And no significant standing wave phenomenon is observed. The incorporation of the damping zone effectively suppresses the effect of wave reflection on the target waves.
The parameters of the generated target waves were measured and compared with the analytical solutions. The errors of the numerical wave flume model in generating effective waves with respect to the theoretical values were derived as follows in Table 3. During the measurement process, parameters at several time spots are measured and their average value is taken as the reference value.
The error rate in the wavelength of the target waves is basically maintained at a level of less than 3.3%. The errors in wave height were more noteworthy, fluctuating between 4.3 and 6.5%. In this study, the simulated target waves are considered acceptable and have met the theoretical expectations.

5.2. Impact Wave Loads

The coupled structure is a cubic body. This geometry is chosen for computational economy. A part of the structure is submerged in water, this submerged depth coincides with the depth of the draft caused by the weight of the structure. Thus, at the beginning of the simulation, the structure is stationary in the water without causing disturbing water waves. And the height of the part above still water level is 0.8 m. This simulation scenario can be considered as the impact of waves on a floating object such as boats and surface vehicles. The following figures, Figure 12, Figure 13, Figure 14 and Figure 15, present different wave impact scenarios on the structure.
The normal contact pressure (Pa, pascal) in the X-direction and Z-direction is computed at the impact interface. Figure 16 presents the historical data generated by the target wave E 1 . The pressure calculation is about nodes on the impact face of the target. Due to geometric symmetry, the figure shows the pressure data only on one side. It is important to note that the nodes 31347, 31368, 31389 and 31410 are initially submerged in water, and the nodes above node 31431 can be considered to be above the still water level.
Taking the example of the bottom node and a node that is initially in a position above the free surface, we can easily distinguish between the different phases of the impact based on the load data. The bottom node, as it is submerged in water, undergoes a rapid initial hydrostatic pressure phase at the beginning of the simulation, with pressure values that correspond to the draft depth of the structure. Then, the wavemaker starts the movement and the generated waves become gradually stabilized, which is the wave generation and stabilization phase. Next, the impacts follow. The structure experienced a total of four impacts in the simulated time. In contrast, hydrostatic pressure initialization is not required for the node located above the free surface, which undergoes the same four impacts after the wave has stabilized. The different impact phases of these two nodes are indicated in Figure 17.
According to the mechanical characteristics of the structure, the peak value of the impact pressure in the X-direction is 4783.337 Pa on node 31368. And in the Z-direction, only the bottom node 31347 is subjected to high pressure loads, the peak value is 5741.385 Pa. This is due to the posture changes of the structure. In contrast to the average wave height of 0.496 m for wave E 1 , the measured average wave height for wave E 2 is 0.880 m. Therefore, the peak value of the impact pressure in the X-direction of the wave E 2 is 6091.363 Pa on node 31368, and the peak value of the impact pressure in the Z-direction is 9122.550 Pa, always on the bottom node 31347. Figure 18 presents the data related to wave E 2 .
The measured parameters of target waves and the corresponding X-direction and Z-direction impact pressure data are given in Table 4.
Cross-comparing these data, in this case of a floating and movable structure, the wave loads are not only affected by the wave height. A longer wavelength does not result in higher waves loads due to smaller water flows in a longer period. Of course, the effect of the wave height is obvious, as a major factor affecting the wave loads compared to the wavelength.
The load calculation in this model is based on the contact algorithm of the penalty method, so it is crucial for the stiffness factor between the target structure and the fluids to be appropriate. Two criteria are used to determine the stiffness factor value: least possible penetration of the fluid into the structure, the conformity between the hydrostatic pressure on the bottom node of the structure and its draft depth. These two criteria are respected by all impact simulations.

6. Discussion

In this study, the ALE formulation is used to conduct modeling of a numerical wave flume. Linear waves are generated using a piston-type wavemaker, and damping zones are integrated to minimize the effect of reflected waves on the target wave profile. A number of wave generations are performed and the error rate of the wave heights is within acceptable limits, thus validating the potential of the ALE method for realizing different water wave phenomena. The ALE method is an effective means to study the FSI problems, an elastic structure is coupled and placed in the numerical wave flume for wave impact simulations. Two criteria for the determination of the stiffness factor are proposed. The corresponding wave loads are first computed, and the posture changes of the structure are presented. The load data and the dependence on the corresponding wave parameters are discussed, noting that wavelength affects the wave loads and that wave height acts as a major parameter affecting the impact calculation. Based on wave impact simulation, the intensity as well as the frequency of cyclic loading on the structure under different sea states can be determined in order to perform fatigue behavior studies on materials.
In comparison with other related ALE simulations, the constructed models provide a more realistic representation of physical scenarios, such as the consideration of buoyancy and initial position of the structure. The position of the wavemaker is set not too close to the left boundary, which may result in computational instability. The selection of material models is based on a comparison of different equations of state after simulation. The sizes of fluid elements, structure elements and wavemaker elements are all chosen appropriately to minimize computational resources while taking into account the quality of the simulated waves.
Although this study starts with the simulation of the basic linear waves, the model based on ALE formulation adopts the Navier–Stokes equations as the governing equations of the fluid, so that the studied water wave problem can be easily extended to a viscous, rotational flow. Implantation of different types of wavemakers in the model is simple and it allows for extending the study to that in deep or shallow water conditions. The model is also applicable for studying nonlinear waves and can be used to generate common Stokes waves, cnoidal waves and Solitary waves. Dimensioning the numerical wave flume based on the characteristics of the target wave will enhance the applicability and accuracy of the model. Similarly, it is possible to apply the model for a structure with elastoplastic properties, or with failure criteria. In addition to load calculations on structures, it can also be employed to study the structure’s motion behaviors.

Author Contributions

Conceptualization, Y.P., J.-M.N. and Z.W.; methodology, Y.P.; software, Y.P.; validation, Y.P., J.-M.N. and Z.W.; formal analysis, Y.P.; investigation, Y.P.; resources, J.-M.N., Z.W. and Y.J.; data curation, Y.P.; writing—original draft preparation, Y.P.; writing—review and editing, Y.P., J.-M.N. and Z.W.; visualization, Y.P.; supervision, J.-M.N., Z.W. and Y.J.; project administration, J.-M.N., Z.W. and Y.J.; funding acquisition, J.-M.N., Z.W. and Y.J. All authors have read and agreed to the published version of the manuscript.

Funding

This research received no external funding.

Data Availability Statement

Data are contained within this article.

Acknowledgments

This work was supported by the Zhejiang-French Digital Monitoring Lab for Aquatic Resources and Environment, Department of Science and Technology of Zhejiang Province, and the Huzhou Key Laboratory of Waters Robotics Technology (2022-3), Huzhou Science and Technology Bureau.

Conflicts of Interest

The authors declare no conflicts of interest.

Abbreviations

The following abbreviations are used in this manuscript:
USVUnmanned surface vehicle
ALEArbitrary Lagrangian Eulerian
FSIFluid–structure interaction
CFDComputational fluid dynamics
GLSGalerkin/Least-Square
NSNavier–Stokes
VOFVolume-of-Fluid
SLICSimple line interface calculation
FEAFinite element analysis

References

  1. Reuben, R.L. The Marine Environment, Marine Structures and the Role of Materials Technology. In Materials in Marine Technology; Reuben, R.L., Ed.; Springer: London, UK, 1994; pp. 1–17. [Google Scholar] [CrossRef]
  2. Singh, A.K.; Davidson, B.D. Effects of temperature, seawater and impact on the strength, stiffness, and life of sandwich composites. J. Reinf. Plast. Compos. 2011, 30, 269–277. [Google Scholar] [CrossRef]
  3. Kanny, K.; Mahfuz, H. Flexural fatigue characteristics of sandwich structures at different loading frequencies. Compos. Struct. 2005, 67, 403–410. [Google Scholar] [CrossRef]
  4. Lin, P. Numerical Modeling of Water Waves; CRC Press: London, UK, 2008. [Google Scholar] [CrossRef]
  5. Chung, J.S. Morison Equation in Practice and Hydrodynamic Validity. Int. J. Offshore Polar Eng. 2018, 28, 11–18. [Google Scholar] [CrossRef]
  6. Yang, W.; Li, Q. The expanded Morison equation considering inner and outer water hydrodynamic pressure of hollow piers. Ocean. Eng. 2013, 69, 79–87. [Google Scholar] [CrossRef]
  7. Lee, S.; Kim, M.; Ko, K.; Hong, J.W. Nondimensionalized semi-empirical equation to predict secondary load cycles on vertical cylinders of different diameters. Ocean. Eng. 2021, 230, 108968. [Google Scholar] [CrossRef]
  8. Canard, M.; Ducrozet, G.; Bouscasse, B. Generation of controlled irregular wave crest statistics in experimental and numerical wave tanks. Ocean. Eng. 2024, 310, 118676. [Google Scholar] [CrossRef]
  9. Canard, M.; Ducrozet, G.; Bouscasse, B. Varying ocean wave statistics emerging from a single energy spectrum in an experimental wave tank. Ocean. Eng. 2022, 246, 110375. [Google Scholar] [CrossRef]
  10. Clauss, G.F.; Klein, M. The New Year Wave in a seakeeping basin: Generation, propagation, kinematics and dynamics. Ocean. Eng. 2011, 38, 1624–1639. [Google Scholar] [CrossRef]
  11. Yang, P.; Li, J.; Zhang, W.; Wu, D.; Gu, X.; Ma, Q. Analysis on statistical uncertainties of wave loads and structural fatigue reliability for a semi-submersible platform. Ocean. Eng. 2021, 237, 109609. [Google Scholar] [CrossRef]
  12. Ren, Z.; Han, X.; Yu, X.; Skjetne, R.; Leira, B.J.; Sævik, S.; Zhu, M. Data-driven simultaneous identification of the 6DOF dynamic model and wave load for a ship in waves. Mech. Syst. Signal Process. 2023, 184, 109422. [Google Scholar] [CrossRef]
  13. Anbarsooz, M.; Passandideh-Fard, M.; Moghiman, M. Fully nonlinear viscous wave generation in numerical wave tanks. Ocean. Eng. 2013, 59, 73–85. [Google Scholar] [CrossRef]
  14. Park, J.; Cho, D.; Jang, T. A numerical experiment on a new piston-type wavemaker: Shallow water approximation. Int. J. Nav. Archit. Ocean. 2023, 15, 100535. [Google Scholar] [CrossRef]
  15. Francis, V.; Ramakrishnan, B.; Rudman, M.; Valizadeh, A. Generating stable solitary waves with a piston-type wavemaker. Coast. Eng. 2020, 157, 103633. [Google Scholar] [CrossRef]
  16. Ohyama, T.; Nadaoka, K. Development of a numerical wave tank for analysis of nonlinear and irregular wave field. Fluid Dyn. Res. 1991, 8, 231–251. [Google Scholar] [CrossRef]
  17. Miquel, A.M.; Kamath, A.; Alagan Chella, M.; Archetti, R.; Bihs, H. Analysis of Different Methods for Wave Generation and Absorption in a CFD-Based Numerical Wave Tank. J. Mar. Sci. Eng. 2018, 6, 73. [Google Scholar] [CrossRef]
  18. Westphalen, J.; Greaves, D.M.; Williams, C.J.K.; Hunt-Raby, A.C.; Zang, J. Focused waves and wave-structure interaction in a numerical wave tank. Ocean. Eng. 2012, 45, 9–21. [Google Scholar] [CrossRef]
  19. Hu, Z.Z.; Greaves, D.; Raby, A. Numerical wave tank study of extreme waves and wave-structure interaction using OpenFoam®. Ocean. Eng. 2016, 126, 329–342. [Google Scholar] [CrossRef]
  20. Hughes, T.J.R.; Liu, W.K.; Zimmermann, T.K. Lagrangian-Eulerian finite element formulation for incompressible viscous flows. Comput. Methods Appl. Mech. Eng. 1981, 29, 329–349. [Google Scholar] [CrossRef]
  21. Souli, M.; Ouahsine, A.; Lewin, L. ALE formulation for fluid–structure interaction problems. Comput. Methods Appl. Mech. Eng. 2000, 190, 659–675. [Google Scholar] [CrossRef]
  22. Rider, W.J.; Love, E.; Wong, M.K.; Strack, O.E.; Petney, S.V.; Labreche, D.A. Adaptive methods for multi-material ALE hydrodynamics. Int. J. Numer. Methods Fluids 2011, 65, 1325–1337. [Google Scholar] [CrossRef]
  23. Souli, M.; Gabrys, J. Fluid Structure Interaction for Bird Impact Problem: Experimental and Numerical Investigation. Comput. Model. Eng. Sci. 1970, 85, 177–192. [Google Scholar] [CrossRef]
  24. Souli, M.; Shahrour, I. A coupling method for soil structure interaction problems. Int. J. Numer. Anal. Methods Geomech. 2013, 37, 1140–1153. [Google Scholar] [CrossRef]
  25. Ozdemir, Z.; Moatammedi, M.; Fahjan, Y.; Souli, M. ALE and Fluid Structure Interaction for Sloshing Analysis. Int. J. Multiphys. 2009, 3, 307–336. [Google Scholar] [CrossRef]
  26. Aquelet, N.; Souli, M.; Olovsson, L. Euler—Lagrange coupling with damping effects: Application to slamming problems. Comput. Methods Appl. Mech. Eng. 2006, 195, 110–132. [Google Scholar] [CrossRef]
  27. Gong, S.W. Transient response of stiffened composite submersible hull to underwater shock and bubble. Compos. Struct. 2019, 213, 243–251. [Google Scholar] [CrossRef]
  28. Souli, M.; Zolesio, J.P. Arbitrary Lagrangian—Eulerian and free surface methods in fluid mechanics. Comput. Methods Appl. Mech. Eng. 2001, 191, 451–466. [Google Scholar] [CrossRef]
  29. Le Méhauté, B. An Introduction to Water Waves. In An Introduction to Hydrodynamics and Water Waves; Le Méhauté, B., Ed.; Springer: Berlin/Heidelberg, Germany, 1976; pp. 197–211. [Google Scholar] [CrossRef]
  30. Andersen, T.L.; Frigaard, P. Lecture Notes for the Course in Water Wave Mechanics; Technical Report DCE Lecture notes No. 16; Department of Civil Engineering, Aalborg University: Aalborg, Denmark, 2007. [Google Scholar]
  31. Havelock, T. LIX. Forced surface-waves on water. Lond. Edinb. Dublin Philos. Mag. J. Sci. 1929, 8, 569–576. [Google Scholar] [CrossRef]
  32. Biésel, F.; Suquet, F. Les Appareils Générateurs de Houle en Laboratoire. Houille Blanche 1951, 37, 147–165. [Google Scholar] [CrossRef]
  33. Biésel, F.; Suquet, F. Les Appareils Générateurs de Houle en Laboratoire. Houille Blanche 1952, 38, 779–801. [Google Scholar] [CrossRef][Green Version]
  34. Pilch, M. Laboratory Wave-Generating Apparatus; Technical report; St. Anthony Falls Hydraulic Laboratory: Minneapolis, MN, USA, 1953; Available online: https://hdl.handle.net/11299/108277 (accessed on 18 July 2025).
  35. Altomare, C.; Domínguez, J.M.; Crespo, A.J.C.; González-Cao, J.; Suzuki, T.; Gómez-Gesteira, M.; Troch, P. Long-crested wave generation and absorption for SPH-based DualSPHysics model. Coast. Eng. 2017, 127, 37–54. [Google Scholar] [CrossRef]
  36. Dean, R.G.; Dalrymple, R.A. Water Wave Mechanics for Engineers and Scientists; World Scientific Publishing Company: Singapore, 1991; Volume 2. [Google Scholar]
  37. Pelfrene, J. Study of the SPH Method for Simulation of Regular and Breaking Waves. Master’s Thesis, Ghent University, Gent, Belgium, 2011. [Google Scholar]
  38. Urrego-Pabón, J.; Mercado, J.; Obando-Vega, F.; Rubio-Clemente, A.; Chica, E. Numerical and experimental study of several passive wave absorber behavior in a wave channel. Results Eng. 2024, 23, 102455. [Google Scholar] [CrossRef]
  39. Perić, R.; Abdel-Maksoud, M. Reliable damping of free-surface waves in numerical simulations. Ship Technol. Res. 2016, 63, 1–13. [Google Scholar] [CrossRef]
  40. Longatte, E.; Verreman, V.; Souli, M. Time marching for simulation of fluid–structure interaction problems. J. Fluids Struct. 2009, 25, 95–111. [Google Scholar] [CrossRef]
  41. Benson, D.J. Computational methods in Lagrangian and Eulerian hydrocodes. Comput. Methods Appl. Mech. Eng. 1992, 99, 235–394. [Google Scholar] [CrossRef]
  42. Morton, K.W.; Baines, M.J. Numerical Methods for Fluid Dynamics; Academic Press: London, UK, 1982; pp. 273–285. [Google Scholar]
  43. Hirt, C.W.; Nichols, B.D. Volume of fluid (VOF) method for the dynamics of free boundaries. J. Comput. Phys. 1981, 39, 201–225. [Google Scholar] [CrossRef]
  44. Souli, M.; Benson, D.J. Arbitrary Lagrangian Eulerian and Fluid-Structure Interaction: Numerical Simulation; John Wiley & Sons: Hoboken, NJ, USA, 2013. [Google Scholar]
Figure 1. Governing equation and boundary conditions for linear wave.
Figure 1. Governing equation and boundary conditions for linear wave.
Modelling 06 00095 g001
Figure 2. Governing equation and boundary conditions for piston-type wave generation.
Figure 2. Governing equation and boundary conditions for piston-type wave generation.
Modelling 06 00095 g002
Figure 3. Material domain, spatial domain and referential domain.
Figure 3. Material domain, spatial domain and referential domain.
Modelling 06 00095 g003
Figure 4. Young’s method for interface reconstruction, real interface (a) and approximate interface (b).
Figure 4. Young’s method for interface reconstruction, real interface (a) and approximate interface (b).
Modelling 06 00095 g004
Figure 5. Schema of the coupling algorithm by penalty method, initial configuration at (a) t = t 0 and (b) coupling force calculated at t = t 0 + Δ t .
Figure 5. Schema of the coupling algorithm by penalty method, initial configuration at (a) t = t 0 and (b) coupling force calculated at t = t 0 + Δ t .
Modelling 06 00095 g005
Figure 6. Wave flume model (a) and FSI mode (b).
Figure 6. Wave flume model (a) and FSI mode (b).
Modelling 06 00095 g006
Figure 7. Simulated target waves E 1 (a), E 2 (b) at t = 12.5 s.
Figure 7. Simulated target waves E 1 (a), E 2 (b) at t = 12.5 s.
Modelling 06 00095 g007
Figure 8. Simulated target waves E 3 (a), E 4 (b) at t = 17.5 s.
Figure 8. Simulated target waves E 3 (a), E 4 (b) at t = 17.5 s.
Modelling 06 00095 g008
Figure 9. Simulated target waves E 5 (a), E 6 (b) at t = 15.7 s.
Figure 9. Simulated target waves E 5 (a), E 6 (b) at t = 15.7 s.
Modelling 06 00095 g009
Figure 10. Simulated target waves E 7 (a), E 8 (b) at t = 6.3 s.
Figure 10. Simulated target waves E 7 (a), E 8 (b) at t = 6.3 s.
Modelling 06 00095 g010
Figure 11. Comparison of normal and damping nodal velocities, for the left damping zone (the figure above), node A is in the damping zone and node B is a neighbor node off the damping, for the right damping zone (the figure below), node C is off the damping zone and node D is a neighbor node in the damping zone.
Figure 11. Comparison of normal and damping nodal velocities, for the left damping zone (the figure above), node A is in the damping zone and node B is a neighbor node off the damping, for the right damping zone (the figure below), node C is off the damping zone and node D is a neighbor node in the damping zone.
Modelling 06 00095 g011
Figure 12. Impact simulation through target waves E 1 (a), E 2 (b) at t = 12.7 s.
Figure 12. Impact simulation through target waves E 1 (a), E 2 (b) at t = 12.7 s.
Modelling 06 00095 g012
Figure 13. Impact simulation through target waves E 3 (a), E 4 (b) at t = 10.6 s.
Figure 13. Impact simulation through target waves E 3 (a), E 4 (b) at t = 10.6 s.
Modelling 06 00095 g013
Figure 14. Impact simulation through target waves E 5 (a), E 6 (b) at t = 10.9 s.
Figure 14. Impact simulation through target waves E 5 (a), E 6 (b) at t = 10.9 s.
Modelling 06 00095 g014
Figure 15. Impact simulation through target waves E 7 (a), E 8 (b) at t = 7.9 s.
Figure 15. Impact simulation through target waves E 7 (a), E 8 (b) at t = 7.9 s.
Modelling 06 00095 g015
Figure 16. Normal pressure data from target wave E 1 , the X-direction pressure (the figure above), the Z-direction pressure (the figure below), and presentation of node positions on the impact face of the structure (the figure beside).
Figure 16. Normal pressure data from target wave E 1 , the X-direction pressure (the figure above), the Z-direction pressure (the figure below), and presentation of node positions on the impact face of the structure (the figure beside).
Modelling 06 00095 g016
Figure 17. Impact phases analysis, the bottom node 31347 (the figure above) goes through the hydrostatic pressure initialization phase, wave generation and stabilization phase, impact phases, the node above the still water level 31452 goes through the wave generation and stabilization phase, impact phases.
Figure 17. Impact phases analysis, the bottom node 31347 (the figure above) goes through the hydrostatic pressure initialization phase, wave generation and stabilization phase, impact phases, the node above the still water level 31452 goes through the wave generation and stabilization phase, impact phases.
Modelling 06 00095 g017
Figure 18. Normal pressure data from target wave E 2 , the X-direction pressure (the figure above), the Z-direction pressure (the figure below).
Figure 18. Normal pressure data from target wave E 2 , the X-direction pressure (the figure above), the Z-direction pressure (the figure below).
Modelling 06 00095 g018
Table 1. Target wave parameters and analytical solutions.
Table 1. Target wave parameters and analytical solutions.
Target WavePeriod (s)Stroke (m)Analytical Wavelength (m)Analytical Wave Height (m)
E12.50.39.5550.501
E22.50.59.5550.835
E33.00.313.1220.404
E43.00.513.1220.674
E53.50.316.6240.331
E63.50.516.6240.551
E74.00.319.9510.279
E84.00.519.9510.465
Table 2. Relative depth, wave steepness and relative wave height of target waves.
Table 2. Relative depth, wave steepness and relative wave height of target waves.
Target WaveRelative DepthWave SteepnessRelative Wave Height
E10.3140.05240.167
E20.3140.08730.278
E30.2290.03080.134
E40.2290.05130.224
E50.1800.01990.111
E60.1800.03310.184
E70.1500.01400.093
E80.1500.02330.155
Table 3. Simulated wave parameters and errors.
Table 3. Simulated wave parameters and errors.
Target WaveMeasured Wavelength 1 (m)Error Rate 2 (%)Measured Wave Height 1 (m)Error Rate 2 (%)
E19.5252.3790.4965.456
E29.3372.2820.8805.389
E312.8853.2520.3874.332
E412.9131.5950.6455.638
E516.3351.7380.3485.740
E616.5310.5590.5244.900
E719.7271.1230.2986.631
E819.7381.0680.4956.452
1 The value of measured wavelength and measured wave height are averaged over three measurements after the wave has stabilized. 2 The error rate is an average value over three measurements.
Table 4. Normal pressure data on fluid–structure interface nodes.
Table 4. Normal pressure data on fluid–structure interface nodes.
Target WaveNode IDX-Direction Max Pressure (Pa)Node IDZ-Direction Max Pressure (Pa)
E1313684783.337313475741.385
E2313686091.363313479122.550
E3313684240.591313474682.842
E4313684455.750313477751.569
E5313684367.170313474651.974
E6313684252.086313474611.549
E7313684278.448313474070.435
E8313684313.105313474608.937
Disclaimer/Publisher’s Note: The statements, opinions and data contained in all publications are solely those of the individual author(s) and contributor(s) and not of MDPI and/or the editor(s). MDPI and/or the editor(s) disclaim responsibility for any injury to people or property resulting from any ideas, methods, instructions or products referred to in the content.

Share and Cite

MDPI and ACS Style

Peng, Y.; Nianga, J.-M.; Wang, Z.; Jiang, Y. Numerical Investigation of Water Wave Impacting a Structure Using Fluid–Structure Interaction Simulation. Modelling 2025, 6, 95. https://doi.org/10.3390/modelling6030095

AMA Style

Peng Y, Nianga J-M, Wang Z, Jiang Y. Numerical Investigation of Water Wave Impacting a Structure Using Fluid–Structure Interaction Simulation. Modelling. 2025; 6(3):95. https://doi.org/10.3390/modelling6030095

Chicago/Turabian Style

Peng, Yifei, Jean-Marie Nianga, Zefeng Wang, and Yunliang Jiang. 2025. "Numerical Investigation of Water Wave Impacting a Structure Using Fluid–Structure Interaction Simulation" Modelling 6, no. 3: 95. https://doi.org/10.3390/modelling6030095

APA Style

Peng, Y., Nianga, J.-M., Wang, Z., & Jiang, Y. (2025). Numerical Investigation of Water Wave Impacting a Structure Using Fluid–Structure Interaction Simulation. Modelling, 6(3), 95. https://doi.org/10.3390/modelling6030095

Article Metrics

Back to TopTop