Sign in to use this feature.

Years

Between: -

Subjects

remove_circle_outline
remove_circle_outline
remove_circle_outline
remove_circle_outline
remove_circle_outline
remove_circle_outline
remove_circle_outline
remove_circle_outline
remove_circle_outline

Journals

remove_circle_outline
remove_circle_outline
remove_circle_outline
remove_circle_outline
remove_circle_outline
remove_circle_outline
remove_circle_outline
remove_circle_outline
remove_circle_outline
remove_circle_outline
remove_circle_outline
remove_circle_outline
remove_circle_outline
remove_circle_outline
remove_circle_outline
remove_circle_outline
remove_circle_outline
remove_circle_outline
remove_circle_outline
remove_circle_outline
remove_circle_outline
remove_circle_outline
remove_circle_outline
remove_circle_outline
remove_circle_outline
remove_circle_outline

Article Types

Countries / Regions

remove_circle_outline
remove_circle_outline
remove_circle_outline
remove_circle_outline
remove_circle_outline
remove_circle_outline
remove_circle_outline
remove_circle_outline
remove_circle_outline
remove_circle_outline
remove_circle_outline

Search Results (4,737)

Search Parameters:
Keywords = energy diffusion

Order results
Result details
Results per page
Select all
Export citation of selected articles as:
32 pages, 10026 KB  
Article
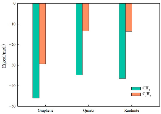
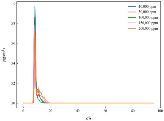
Molecular Dynamics Investigation of Mineral Surface Wettability in Oil–Water Systems: Implications for Hydrocarbon Reservoir Development
by Honggang Xin, Xuan Zuo, Liwen Zhu and Bao Jia
Minerals 2025, 15(11), 1194; https://doi.org/10.3390/min15111194 - 13 Nov 2025
Abstract
Wettability significantly influences fluid distribution and flow behavior in hydrocarbon reservoirs, yet traditional macroscopic measurements fail to capture the micro- and nanoscale interfacial interactions that govern these processes. This study addresses a critical knowledge gap by employing molecular dynamics simulations to systematically investigate [...] Read more.
Wettability significantly influences fluid distribution and flow behavior in hydrocarbon reservoirs, yet traditional macroscopic measurements fail to capture the micro- and nanoscale interfacial interactions that govern these processes. This study addresses a critical knowledge gap by employing molecular dynamics simulations to systematically investigate how salinity and mineral composition control wettability at the atomic scale—insights that are experimentally inaccessible yet essential for optimizing enhanced oil recovery strategies. We examined five typical reservoir minerals—kaolinite, montmorillonite, chlorite, quartz, and calcite—along with graphene as a model organic surface. Our findings reveal that while all minerals exhibit hydrophilicity (contact angles below 75°), increasing salinity weakens water wettability, with Ca2+ ions exerting the strongest effect due to their high charge density, which enhances electrostatic attraction with negatively charged mineral surfaces and promotes specific adsorption at the mineral–water interface, thereby displacing water molecules and reducing surface hydrophilicity. In oil–water–mineral systems, we discovered that graphene displays exceptional oleophilicity, with hydrocarbon interaction energies reaching −7043.61 kcal/mol for C18H38, whereas calcite and quartz maintain strong hydrophilicity. Temperature and pressure conditions modulate interfacial behavior distinctly: elevated pressure enhances molecular aggregation, while higher temperature promotes diffusion. Notably, mixed alkane simulations reveal that heavy hydrocarbons preferentially adsorb on mineral surfaces and form highly ordered structures on graphene, with diffusion rates inversely correlating with molecular size. These atomic-scale insights into wettability mechanisms provide fundamental understanding for designing salinity management and wettability alteration strategies in enhanced oil recovery operations. Full article
Show Figures

Figure 1

15 pages, 2089 KB  
Article
Brownian Particles and Matter Waves
by Nicos Makris
Quantum Rep. 2025, 7(4), 54; https://doi.org/10.3390/quantum7040054 - 13 Nov 2025
Abstract
In view of the remarkable progress in microrheology to monitor the random motion of Brownian particles with a size as small as a few nanometers, and given that de Broglie matter waves have been experimentally observed for large molecules of comparable nanometer size, [...] Read more.
In view of the remarkable progress in microrheology to monitor the random motion of Brownian particles with a size as small as a few nanometers, and given that de Broglie matter waves have been experimentally observed for large molecules of comparable nanometer size, we examine whether Brownian particles can manifest a particle-wave duality without employing a priori arguments from quantum decoherence. First, we examine the case where Brownian particles are immersed in a memoryless viscous fluid with a time-independent diffusion coefficient, and the requirement for the Brownian particles to manifest a particle-wave duality leads to the untenable result that the diffusion coefficient has to be proportional to the inverse time, therefore, diverging at early times. This finding agrees with past conclusions published in the literature, that quantum mechanics is not equivalent to a Markovian diffusion process. Next, we examine the case where the Brownian particle is trapped in a harmonic potential well with and without dissipation. Both solutions of the Fokker–Planck equation for the case with dissipation, and of the Schrödinger equation for the case without dissipation, lead to the same physically acceptable result—that for the Brownian particle to manifest a particle-wave duality, its mean kinetic energy kBT/2 needs to be ½ the ground-state energy, E0=12ω of the quantum harmonic oscillator. Our one-dimensional calculations show that for this to happen, the trapping needs to be very strong so that a Brownian particle with mass m and radius R needs to be embedded in an extremely stiff solid with shear modulus, G proportional to m/RkBT/2. Full article
Show Figures

Figure 1

12 pages, 2529 KB  
Article
Reaction Kinetics of Nitrocellulose Denitration: Model Comparison and Mechanistic Insights
by Yang Li, Xinyu Wang, Jiaqiang Zhu, Honglei Fan, Shiying Li, Chunlin Chen and Xiaoqing Wu
Processes 2025, 13(11), 3668; https://doi.org/10.3390/pr13113668 - 13 Nov 2025
Abstract
A comprehensive understanding of the denitration kinetics of nitrocellulose-based propellants is crucial for optimizing combustion performance and achieving controllable fabrication. However, most existing studies rely on a single kinetic model, which is restricted by formulation composition and grain geometry, limiting their general applicability. [...] Read more.
A comprehensive understanding of the denitration kinetics of nitrocellulose-based propellants is crucial for optimizing combustion performance and achieving controllable fabrication. However, most existing studies rely on a single kinetic model, which is restricted by formulation composition and grain geometry, limiting their general applicability. In this work, the denitration rate was quantified using the change in explosion heat, introducing an energy-based characterization approach instead of traditional mass-loss measurements. Three kinetic models (the shrinking-core, pseudo-homogeneous, and Avrami models) were employed to identify the rate-controlling step. The shrinking-core model provided the most accurate description of the process. At moderate reagent concentrations (8 wt.% and 12 wt.%) and temperatures (65–75 °C), denitration was primarily reaction-controlled, while at higher temperatures (80 °C), internal diffusion resistance became significant. The apparent activation energy ranged from 69.8 to 73.7 kJ·mol−1, confirming that chemical reaction is the dominant mechanism. This study refines the kinetic understanding of nitrocellulose denitration and provides theoretical guidance for the controlled fabrication of gradient nitrocellulose propellants with tunable progressive-burning behavior. Full article
(This article belongs to the Section Chemical Processes and Systems)
Show Figures

Figure 1

20 pages, 1294 KB  
Article
Hybrid Drying of Apples: A Comparison of Continuous and Intermittent Process Modes
by Justyna Szadzińska, Katarzyna Waszkowiak and Dominik Mierzwa
Appl. Sci. 2025, 15(22), 12031; https://doi.org/10.3390/app152212031 - 12 Nov 2025
Abstract
In recent years, microwave and ultrasound technology has been under extensive development in drying technologies. Researchers are constantly searching for improved solutions or alternatives to hot air drying. The goal of this work was to determine the intermittent action of ultrasound and microwaves [...] Read more.
In recent years, microwave and ultrasound technology has been under extensive development in drying technologies. Researchers are constantly searching for improved solutions or alternatives to hot air drying. The goal of this work was to determine the intermittent action of ultrasound and microwaves on convective drying. An examination of five specific cases of stationary and nonstationary drying processes was conducted. The evolution of moisture content and drying rate over process time was discussed, and the average drying rate and time, drying constant, effective diffusion coefficient, and specific energy consumption were also compared. To identify the differences between the dried products, the quality characteristics such as: water activity, color, shrinkage, rehydration, polyphenol content, odor, and flavor of apples were analyzed. The results indicate that intermittent drying provides a good alternative to convective drying, including when combined with microwave and ultrasound treatments. Applying microwaves or ultrasound intermittently resulted in an increase in the effective diffusion coefficient (by 68%) and drying rate (by 117%) and a reduction in drying time (by 53%), compared to convective drying. This processing method resulted in lower energy consumption by up to 13% and well-preserved quality attributes—this could be very promising for the production of healthy, ready-to-eat apple snacks. Full article
Show Figures

Figure 1

12 pages, 1193 KB  
Article
First-Principles Study of Rare-Earth Doping Effects on Nitrogen Adsorption and Diffusion in Chromium
by Shuhui Chen, Bao Chen, Min Liu, Ji Liu, Gen Li and Ying Jin
Corros. Mater. Degrad. 2025, 6(4), 57; https://doi.org/10.3390/cmd6040057 - 12 Nov 2025
Abstract
To address the premature corrosion failure of chromium-based coatings in harsh environments (e.g., high temperatures, chloride-containing solutions), this work systematically investigates how rare-earth (RE, i.e., Ce and La) elements regulate nitrogen (N) adsorption and diffusion behavior in Cr during the early stages of [...] Read more.
To address the premature corrosion failure of chromium-based coatings in harsh environments (e.g., high temperatures, chloride-containing solutions), this work systematically investigates how rare-earth (RE, i.e., Ce and La) elements regulate nitrogen (N) adsorption and diffusion behavior in Cr during the early stages of nitriding, a critical corrosion protection strategy, using first-principles density functional theory (DFT). Results show that RE preferentially occupies Cr substitutional site, increasing the Young’s modulus from 293.5 GPa (pristine Cr) to 344.9 GPa (Ce-doped) and 348.7 GPa (La-doped). Surface RE doping on Cr(110) significantly enhances N adsorption energy from −3.23 eV to −3.559/−3.645 eV (Ce-/La-doped), whereas subsurface doping slightly weakens the adsorption. Moreover, the energy barrier for N penetration into subsurface is reduced from 2.11 eV to 2.03/1.91 eV (Ce-/La-doped), thereby facilitating nitridation. Notably, RE is found to strongly trap vacancies and N atoms, leading to increased migration barriers and thus hindering their long-range transport. These findings demonstrate that RE exhibits a dual role during nitriding: promoting N incorporation at the surface while restricting its deep diffusion into the bulk. The study provides theoretical insights into the atomistic mechanisms by which RE elements modulate nitriding efficiency in Cr-based alloys, offering guidance for the design of RE-doped surface-modified coatings with improved corrosion resistance. Full article
Show Figures

Figure 1

17 pages, 2323 KB  
Article
First-Principles Study of Irradiation Defects in γ′-U2Mo
by Yuxin Wang, Zhixiao Liu, Guangdong Liu, Dan Sun and Wenjie Li
Metals 2025, 15(11), 1239; https://doi.org/10.3390/met15111239 - 12 Nov 2025
Abstract
Understanding defect behavior and fission gas transport in uranium-molybdenum (U-Mo) fuels is key to explaining their swelling during reactor operation. In this study, we employed density functional theory (DFT) to systematically investigate the point defect structures and self-diffusion mechanisms in U2Mo, [...] Read more.
Understanding defect behavior and fission gas transport in uranium-molybdenum (U-Mo) fuels is key to explaining their swelling during reactor operation. In this study, we employed density functional theory (DFT) to systematically investigate the point defect structures and self-diffusion mechanisms in U2Mo, with particular emphasis on the diffusion behavior of fission gas atoms Xe. Among intrinsic defects, vacancies and substitutional defects are the most stable, combining low formation energies with relatively small migration barriers; as a result, they largely control defect-mediated processes. Further analysis shows that self-diffusion in U2Mo is strongly element-dependent, as U atoms migrate predominantly through vacancy-mediated mechanisms, while Mo atoms diffuse primarily via substitutional pathways. In addition, Xe atoms migrate through two distinct pathways: by combining with vacancies to form stable complexes and diffusing via vacancy-assisted migration, or by migrating as interstitial species along the Tetrahedral → Octahedral → Tetrahedral path between interstitial sites, eventually moving outward along defect channels and leading to gas release. Self-diffusion and fission gas transport in U-Mo fuels are governed by point defects, linking defect behavior to the swelling resistance of advanced nuclear materials. Full article
(This article belongs to the Section Computation and Simulation on Metals)
Show Figures

Figure 1

21 pages, 3408 KB  
Article
Entropy-Generation-Based Optimization of Elbow Suction Conduit for Mixed-Flow Pumps
by Na Yan, Xianzhu Wei, Xiaohang Wang, Guolong Fu and Rui Zhang
Water 2025, 17(22), 3223; https://doi.org/10.3390/w17223223 - 11 Nov 2025
Abstract
The elbow suction conduit plays a decisive role in determining inflow conditions, thereby influencing a pump’s efficiency and cavitation characteristics. The complex three-dimensional swirling and separating flow makes pinpointing the sources and mechanisms of energy dissipation challenging. This study aims to accurately diagnose [...] Read more.
The elbow suction conduit plays a decisive role in determining inflow conditions, thereby influencing a pump’s efficiency and cavitation characteristics. The complex three-dimensional swirling and separating flow makes pinpointing the sources and mechanisms of energy dissipation challenging. This study aims to accurately diagnose the sources of hydraulic losses within the elbow suction conduit and conduct effective geometric optimization to enhance overall pump performance. Entropy production theory was integrated with three-dimensional Reynolds-averaged Navier-Stokes simulations to quantitatively analyze the irreversible energy dissipation in different parts of the conduit. Results reveal that energy dissipation is predominantly concentrated at the inlet section, wall surfaces, outer curvature of the bend, and the inner conical diffuser. Key geometric parameters were systematically optimized. Compared to the baseline design, the optimized configuration not only reduced entropy generation induced by wall shear and turbulent fluctuations but also improved the spatio-temporal uniformity of the outflow. Consequently, this translated directly into enhanced overall pump performance: the optimized design shows a 0.34% increase in efficiency and a 3.6% reduction in the inception cavitation coefficient at the rated condition, leading to lower energy consumption and enhanced operational reliability. The effectiveness of entropy production analysis for the hydraulic optimization of pumps was demonstrated. Full article
(This article belongs to the Special Issue Hydraulics and Hydrodynamics in Fluid Machinery, 2nd Edition)
Show Figures

Figure 1

29 pages, 6379 KB  
Article
Enhancing Recovery of Low-Productivity Coalbed Methane Wells in Medium-Shallow Reservoirs by CO2 Huff-and-Puff
by Chenlong Yang, Zhiming Fang, Shaicheng Shen and Haibin Wang
Separations 2025, 12(11), 314; https://doi.org/10.3390/separations12110314 - 11 Nov 2025
Abstract
Coalbed methane (CBM) is a vital clean energy resource, yet its extraction efficiency is often hindered by rapid production decline and low production rates in medium-shallow reservoirs. This study investigates the potential of CO2 huff-and-puff technology to enhance CBM recovery and achieve [...] Read more.
Coalbed methane (CBM) is a vital clean energy resource, yet its extraction efficiency is often hindered by rapid production decline and low production rates in medium-shallow reservoirs. This study investigates the potential of CO2 huff-and-puff technology to enhance CBM recovery and achieve CO2 storage in low-productivity wells. A comprehensive model, constructed based on the geological conditions of the Qinshui Basin, was developed. Numerical simulations revealed that CO2 huff-and-puff significantly improves CH4 production by displacing adsorbed CH4 and maintaining reservoir pressure. Key findings indicate that higher CO2 injection volumes yield substantial increases in both peak CH4 production and cumulative production compared with conventional extraction. Optimal soaking times balance recovery efficiency and operational costs. Sensitivity analysis identified gas diffusion coefficients, initial permeability, and Langmuir volume constants as critical geological parameters influencing the performance. This study preliminarily demonstrates the feasibility of large-scale CO2 huff-and-puff for enhancing production in low-productivity CBM wells and provides theoretical insights for revitalizing China’s underperforming CBM wells while advancing carbon neutrality goals, although further experimental validation is still required. Full article
Show Figures

Figure 1

30 pages, 5722 KB  
Review
Beyond Innovation Niches: A Social Sciences Review of System Building Perspectives in Sustainability Transitions
by Philippe Hamman, Patricia Schneider and Céline Monicolle
Societies 2025, 15(11), 312; https://doi.org/10.3390/soc15110312 - 11 Nov 2025
Abstract
Amid mounting calls for socio-ecological transition, many social sciences studies have been exploring the processes of societal change. The well-known Science Technology Society studies (STS) approach focuses on the diffusion of innovation niches as an open-ended process ultimately leading to the stabilization of [...] Read more.
Amid mounting calls for socio-ecological transition, many social sciences studies have been exploring the processes of societal change. The well-known Science Technology Society studies (STS) approach focuses on the diffusion of innovation niches as an open-ended process ultimately leading to the stabilization of a new regime. Other works have suggested reversing the perspective, i.e., ‘thinking about transitions from the end’. This is a defining characteristic of system building perspectives, which are inherently goal- and sustainability-oriented. This paper presents the state of the art in the social sciences based on a review of international academic journals in English. We use both quantitative and qualitative approaches. Using Web of Science data collected for a period of ten years and the free software IRaMuTeQ (version 2), we have conducted statistical, similarity, and textual analyses of a corpus of 151 texts, following the PRISMA methodology. We discuss the findings of the lexicometric analysis by looking at the content of the article abstracts. While system building is not always mentioned as such, this new perspective is reflected in the literature, especially in research on the energy and food transition, in two main ways: (i) the procedural and substantive dimensions of sustainability transition are both taken into account; (ii) the issue of governance occupies a central place—involving the definition of appropriate instrument mixes and policy mixes—given the need to deal with stakeholders with diverging interests and values rather than only focusing on technological innovations. Full article
Show Figures

Figure 1

20 pages, 671 KB  
Article
Symmetry, Conservation Law, Uniqueness and Stability of Optimal Control and Inverse Problems for Burgers’ Equation
by Yifan Qin, Jiale Qin and Shichao Yi
Symmetry 2025, 17(11), 1927; https://doi.org/10.3390/sym17111927 - 10 Nov 2025
Viewed by 74
Abstract
This paper tackles the ill-posed inversion of initial conditions and diffusion coefficient for Burgers’ equation with a source term. Using optimal control theory combined with a finite difference discretization scheme and a dual-functional descent method (DFDM), it sets the unknown boundary function [...] Read more.
This paper tackles the ill-posed inversion of initial conditions and diffusion coefficient for Burgers’ equation with a source term. Using optimal control theory combined with a finite difference discretization scheme and a dual-functional descent method (DFDM), it sets the unknown boundary function g(τ) and diffusion coefficient u as control variables to build a multi-objective functional, proving the existence of the optimal solution via the variational method. Symmetry analysis reveals the intrinsic connection between the equation’s Lie group invariances and conservation laws through Noether’s theorem, providing a natural regularization framework for the inverse problem. Uniqueness and stability are demonstrated by the adjoint equation under cost function convexity. An energy-consistent discrete scheme is created to verify the energy conservation law while preserving the underlying symmetry structure. A comprehensive error analysis reveals dual error sources in inverse problems. A multi-scale adaptive inversion algorithm incorporating symmetry considerations achieves high-precision recovery under noise: boundary error <1%, energy conservation error 0.13%. The symmetry-aware approach enhances algorithmic robustness and maintains physical consistency, with the solution showing linear robustness to noise perturbations. Full article
(This article belongs to the Section Mathematics)
Show Figures

Figure 1

18 pages, 4562 KB  
Article
Defect Engineering and Na-Ion Transport in NaMnPO4: A Computational Perspective
by G. M. P. Dananjana Galappaththi, Poobalasingam Abiman, Poobalasuntharam Iyngaran and Navaratnarajah Kuganathan
Electrochem 2025, 6(4), 39; https://doi.org/10.3390/electrochem6040039 - 10 Nov 2025
Viewed by 208
Abstract
Rechargeable sodium-ion batteries (SIBs) have attracted considerable attention owing to the natural abundance and accessibility of sodium. Maricite NaMnPO4, a phosphate-based cathode material with high theoretical capacity, suffers from blocked sodium-ion diffusion channels. In this study, atomistic simulations using pair potentials [...] Read more.
Rechargeable sodium-ion batteries (SIBs) have attracted considerable attention owing to the natural abundance and accessibility of sodium. Maricite NaMnPO4, a phosphate-based cathode material with high theoretical capacity, suffers from blocked sodium-ion diffusion channels. In this study, atomistic simulations using pair potentials and density functional theory (DFT) are employed to investigate intrinsic defect mechanisms, sodium-ion migration pathways, and the role of dopant incorporation at Na, Mn, and P sites in generating Na vacancies and interstitials. Among the intrinsic defects, the Na–Mn anti-site cluster emerges as the most favorable, exhibiting a very low formation energy of 0.12 eV, while the Na Frenkel pair (1.93 eV) is the next most stable defect, indicating that sodium diffusion is primarily facilitated by vacancy formation. Nevertheless, sodium-ion mobility in NaMnPO4 remains limited, as reflected by the relatively high migration activation energy of 1.28 eV. Among the isovalent substitutions, K is predicted to be the most favorable dopant at the Na site, whereas Ca and Cu are the most favorable at the Mn site. Thallium is identified as a promising dopant at the Mn site for generating Na vacancies that facilitate Na-ion migration, while Ge substitution at the P site is predicted to enhance the sodium content in the material. Full article
Show Figures

Figure 1

12 pages, 4564 KB  
Article
Co-Doping Inducing d-Electron Delocalization in α-MnO2 for High-Performance Zinc-Ion Batteries
by Jiachen Liang, Chen Zhang, Jinli Lv, Xiaoqing Zheng, Ruisha Zhou and Jiangfeng Song
Processes 2025, 13(11), 3617; https://doi.org/10.3390/pr13113617 - 8 Nov 2025
Viewed by 239
Abstract
Element doping technology is widely recognized as an effective strategy for high-performance MnO2-based cathode materials. While this approach improves the electronic and ionic conductivity of MnO2, it is often accompanied by the introduction of oxygen vacancies. This synergistic effect [...] Read more.
Element doping technology is widely recognized as an effective strategy for high-performance MnO2-based cathode materials. While this approach improves the electronic and ionic conductivity of MnO2, it is often accompanied by the introduction of oxygen vacancies. This synergistic effect poses challenges for precisely investigating the effect of doping elements on the d-electron configuration of the Mn site and establishing atomic-level structure-activity relationships for high-energy aqueous zinc-MnO2 batteries. In this paper, the rational design of d-electron configurations in the Mn site has been achieved through simple Co doping in α-MnO2 (CMO). Experimental results confirm that the introduction of Co can delocalize the d-electrons of the Mn site and increase the ratio of eg (dz2 and dx2−y2) occupancy. Consequently, the charge transfer resistance, electrode polarization, and Zn2+ diffusion coefficient of the CMO-2 cathode have been greatly optimized. Thus, the as-prepared electrode delivers a high specific capacity of 287.4 mAh g−1 at 1 A g−1, with a capacity retention rate of 92.8% and a corresponding remaining capacity of 199.7 mAh g−1 after 700 cycles. This study paves the road for the designation and construction of high-energy MnO2 cathodes with optimized electronic structures for advanced aqueous zinc ion batteries. Full article
(This article belongs to the Special Issue Advanced Technologies for Energy Storage)
Show Figures

Figure 1

38 pages, 5467 KB  
Review
3D-Printed Carbon-Based Electrochemical Energy Storage Devices: Material Design, Structural Engineering, and Application Frontiers
by Yu Dong, Li Sun, Jiemin Dong, Wenhao Zou, Wan Rong, Jianfei Liu, Hanqi Meng and Qigao Cao
Materials 2025, 18(22), 5070; https://doi.org/10.3390/ma18225070 - 7 Nov 2025
Viewed by 255
Abstract
With the global energy structure transitioning towards clean and low-carbon alternatives, electrochemical energy storage technologies have emerged as pivotal enablers for achieving efficient renewable energy utilization and carbon neutrality objectives. However, conventional electrode materials remain constrained by inherent limitations, including low specific surface [...] Read more.
With the global energy structure transitioning towards clean and low-carbon alternatives, electrochemical energy storage technologies have emerged as pivotal enablers for achieving efficient renewable energy utilization and carbon neutrality objectives. However, conventional electrode materials remain constrained by inherent limitations, including low specific surface area, sluggish ion diffusion kinetics, and insufficient mechanical stability, which fundamentally hinder the synergistic fulfillment of high energy density, superior power density, and prolonged cycling durability. Three-dimensional printing technology offers a revolutionary paradigm for designing and fabricating carbon-based electrochemical energy storage devices. By enabling precise control over both the microstructural architecture and macro-scale morphology of electrode materials, this additive manufacturing approach significantly enhances energy/power densities, as well as cycling stability. Specifically, 3D printing facilitates biomimetic topological designs (e.g., hierarchical porous networks, vertically aligned ion channels) and functional hybridization strategies (e.g., carbon/metal oxide hybrids, carbon/biomass-derived composites), thereby achieving synergistic optimization of charge transfer kinetics and mechanical endurance. This review systematically summarizes recent advancements in 3D-printed carbon-based electrodes across major energy storage systems, including supercapacitors, lithium-ion batteries, and metal–air batteries. Particular emphasis is placed on the design principles of carbon-based inks, multiscale structural engineering strategies, and process optimization methodologies. Furthermore, we prospect future research directions focusing on smart 4D printing-enabled dynamic regulation, multi-material integrated systems, and artificial intelligence-guided design frameworks to bridge the gap between laboratory prototypes and industrial-scale applications. Through multidisciplinary convergence spanning materials science, advanced manufacturing, and device engineering, 3D-printed carbon electrodes are poised to catalyze the development of next-generation high-performance, customizable energy storage systems. Full article
(This article belongs to the Special Issue Porous Carbon Nanomaterials and Their Composites for Energy Storage)
Show Figures

Figure 1

16 pages, 10927 KB  
Article
Morphological Characterization of Fe2B Borided Layers on AISI 9254 Steel Using Reused Boron Paste: A Classical and Fractal Approach
by Lizbeth Sánchez-Fuentes, Sergio Matias-Gutierres, Edgar Israel García-Otamendi, Hugo David Sánchez-Chávez, Ernesto David García-Bustos, Marco Antonio Doñu-Ruiz and Noé López-Perrusquia
Coatings 2025, 15(11), 1301; https://doi.org/10.3390/coatings15111301 - 6 Nov 2025
Viewed by 190
Abstract
Boriding is a widely used thermochemical treatment to improve surface hardness and wear resistance in steels used in demanding mechanical applications. However, boronizing processes using new boron paste increase costs and generate waste, creating a need for more sustainable alternatives. In this context, [...] Read more.
Boriding is a widely used thermochemical treatment to improve surface hardness and wear resistance in steels used in demanding mechanical applications. However, boronizing processes using new boron paste increase costs and generate waste, creating a need for more sustainable alternatives. In this context, the reuse of dehydrated boron paste has proven effective in the formation of Fe2B layers on AISI 9254 steel. In this study, AISI 9254 steel was boronized using reused dehydrated boron paste at 1173 K, 1223 K, and 1273 K for 3600, 7200, 10,800, and 14,400 s. Optical microscopy revealed layer thicknesses ranging from 16.07 μm to 69.35 μm. X-ray diffraction confirmed the formation of single-phase Fe2B, while EDS indicated elemental redistribution within the layer. The Vickers microhardness profile characterized the mechanical behavior, and the adhesion force showed HF1-HF2 ratings. The activation energy for boron diffusion in Fe2B was calculated at 106.567 kJ mol1. Auto-affine analysis verified the fractal nature of interface growth, with a scale ω(d) according to ω(δ)δH. These results confirm that reused paste allows the formation of Fe2B layers, supporting sustainable boronization strategies with controlled interfacial evolution. Full article
(This article belongs to the Special Issue Surface Treatment and Mechanical Properties of Metallic Materials)
Show Figures

Figure 1

21 pages, 8900 KB  
Article
Photocatalytic Evaluation of Fe2O3–TiO2 Nanocomposites: Influence of TiO2 Content on Their Structure and Activity
by Israel Águila-Martínez, Pablo Eduardo Cardoso-Avila, Isaac Zarazúa, Héctor Pérez Ladrón de Guevara, José Antonio Pérez-Tavares, Efrén González-Aguiñaga and Rita Patakfalvi
Molecules 2025, 30(21), 4309; https://doi.org/10.3390/molecules30214309 - 5 Nov 2025
Viewed by 289
Abstract
In this study, Fe2O3–TiO2 nanocomposites with different TiO2 contents (1–50%) were synthesized via a solvothermal method using pre-formed α-Fe2O3 nanoparticles as cores. We systematically evaluated the influence of TiO2 loading on the nanocomposites’ [...] Read more.
In this study, Fe2O3–TiO2 nanocomposites with different TiO2 contents (1–50%) were synthesized via a solvothermal method using pre-formed α-Fe2O3 nanoparticles as cores. We systematically evaluated the influence of TiO2 loading on the nanocomposites’ structural, morphological, optical, and photocatalytic properties. X-ray diffraction revealed the coexistence of hematite and anatase phases, with an increase in TiO2 content inducing reduced crystallite size, enhanced dislocation density, and microstrain, indicating interfacial lattice distortion. Scanning electron microscopy (SEM) and energy-dispersive X-ray spectroscopy (EDS) showed a uniform elemental distribution at low TiO2 contents, evolving into irregular agglomerates at higher loadings. Fourier-transform infrared (FTIR) spectra indicated the suppression of Fe–O vibrations and the appearance of hydroxyl-related bands with TiO2 enrichment. Diffuse reflectance spectroscopy (DRS) analysis confirmed the simultaneous presence of hematite (~2.0 eV) and anatase (3.2–3.35 eV) absorption edges, with a slight blue shift in the TiO2 band gap at higher concentrations. Photocatalytic activity, assessed using methylene blue degradation under xenon lamp irradiation, demonstrated a strong dependence on the TiO2 fraction. The composite containing 33% TiO2 achieved the best performance, with 98% dye removal and a pseudo-first-order rate constant of 0.045 min−1, outperforming both pure hematite and commercial P25 TiO2. These results highlight that intermediate TiO2 content (~33%) provides an optimal balance between structural integrity and photocatalytic efficiency, making Fe2O3–TiO2 heterostructures promising candidates for water purification under simulated solar irradiation. Full article
Show Figures

Graphical abstract

Back to TopTop