Molecular Dynamics Investigation of Mineral Surface Wettability in Oil–Water Systems: Implications for Hydrocarbon Reservoir Development
Abstract
1. Introduction
2. Materials and Methods
2.1. Simulation Software and Visualization
2.2. Mineral Substrate Models
2.2.1. Mineral Characteristics
2.2.2. Substrate Construction
2.3. Simulation Protocol
3. Results and Discussion
3.1. Pure Water Wetting Behavior on Mineral Substrates
3.2. Radial Distribution Function Analysis
3.3. Effects of Salinity on Mineral Wettability
3.3.1. Contact Angle Measurements
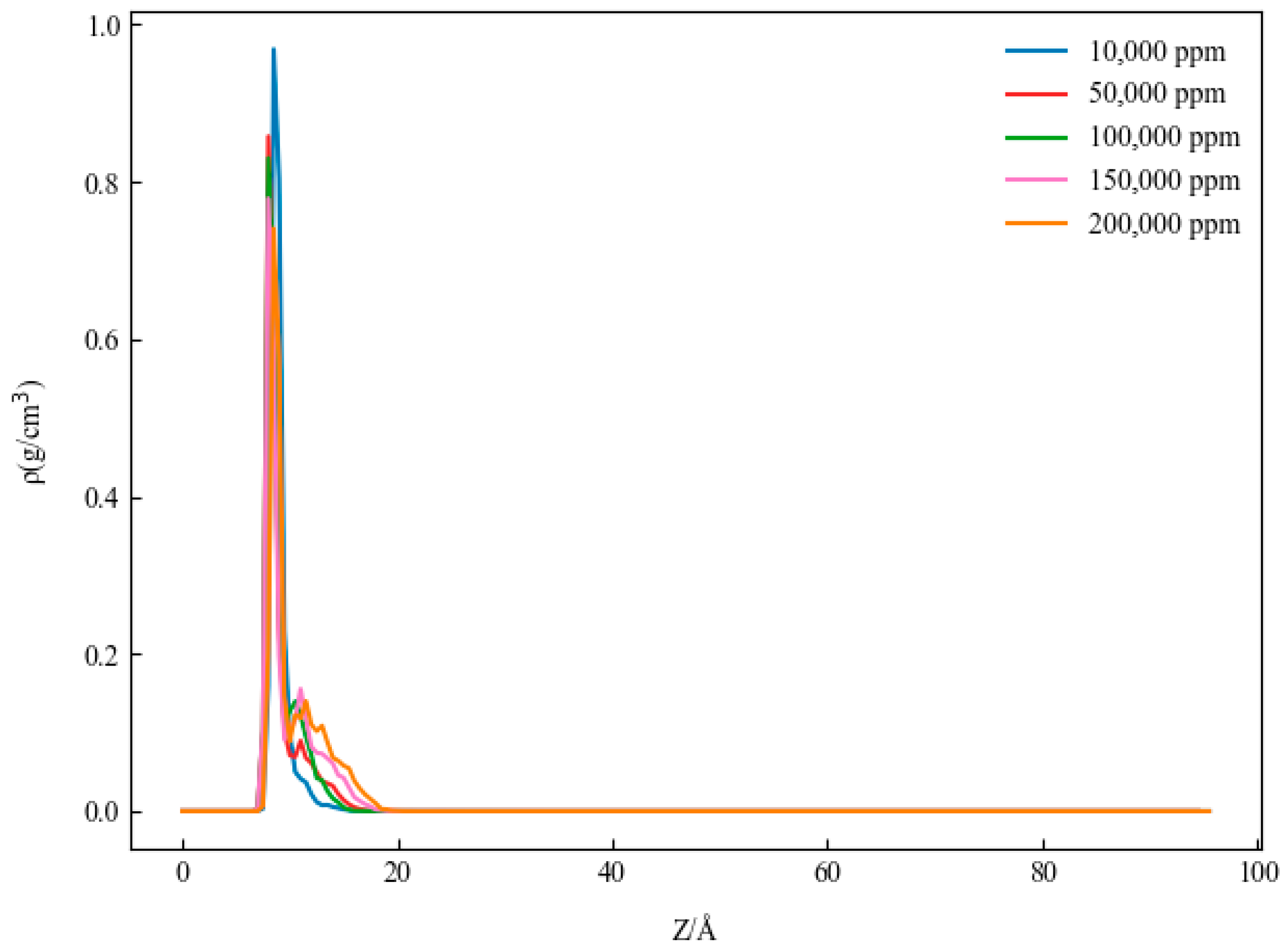
3.3.2. One-Dimensional Density Distribution
3.3.3. Effects of Different Ions
3.4. Decane–Water–Substrate System Results
3.4.1. Wetting Behavior
3.4.2. Density Distribution Analysis
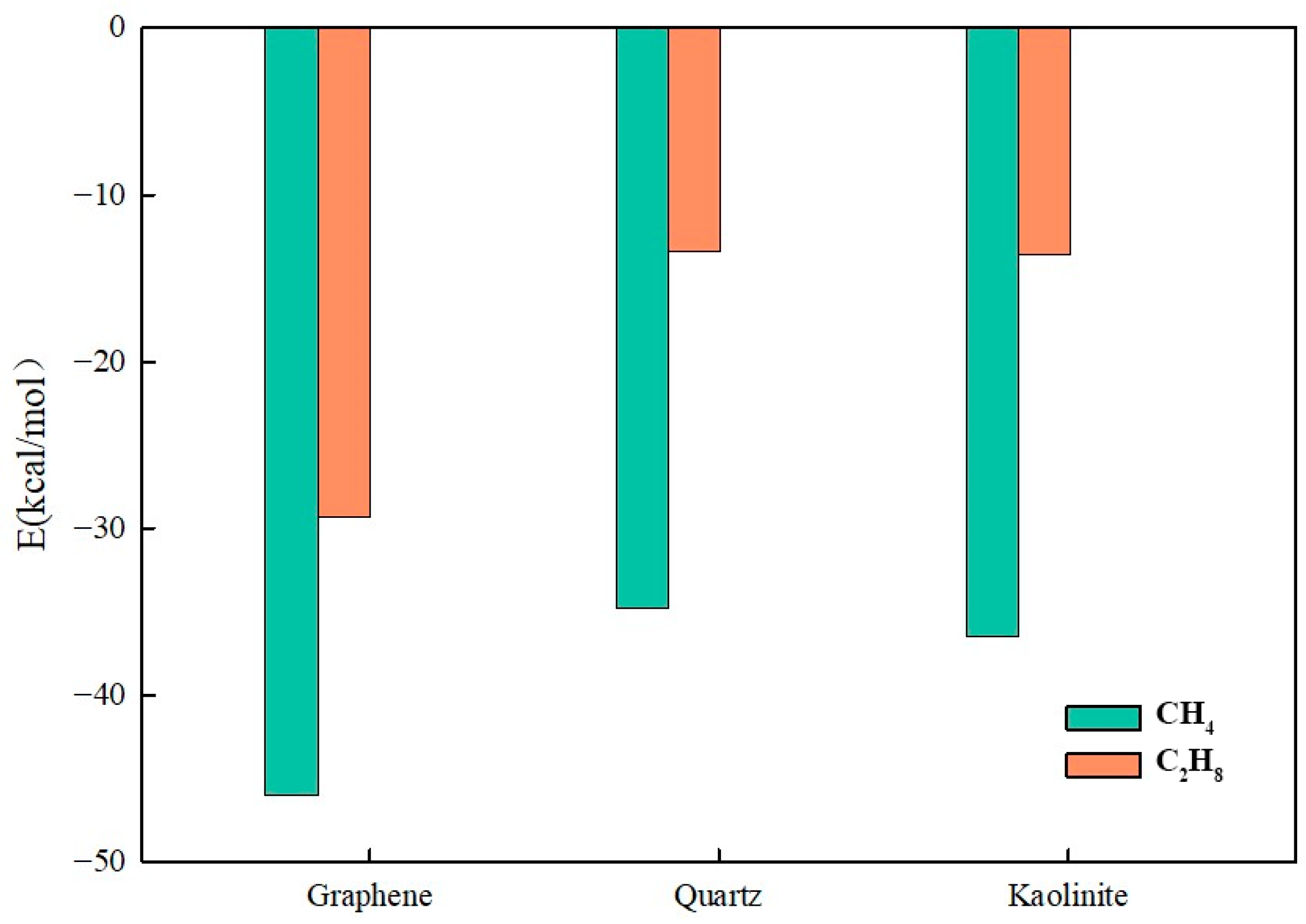
3.4.3. Interaction Energy Analysis
3.4.4. Effects of Temperature and Pressure
3.5. Mixed Alkane–Water–Substrate System Results
3.5.1. Wetting Behavior of Mixed Alkane System
3.5.2. Density Distribution Analysis
3.5.3. Interaction Energy Analysis
3.5.4. Mean Square Displacement Analysis
4. Conclusions
Author Contributions
Funding
Data Availability Statement
Conflicts of Interest
Appendix A
Appendix A.1

Appendix A.2

| Component | Mole Percentage % |
|---|---|
| CH4 | 48.071 |
| C2H6 | 11.381 |
| C3H8 | 5.7327 |
| C4H10 | 2.3764 |
| C5H12 | 1.7283 |
| C6H14 | 2.7466 |
| C7H16 | 3.0002 |
| C8H18 | 3.9965 |
| C9H20 | 3.5578 |
| C10H22 | 2.7442 |
| C11H24 | 2.1181 |
| C12H26 | 1.7419 |
| C13H28 | 1.6572 |
| C14H30 | 1.3018 |
| C15H32 | 1.2379 |
| C16H34 | 0.9658 |
| C17H36 | 0.8395 |
| C18H38 | 0.7965 |
| C19H40 | 0.7118 |
| C20H42~C32H66 | 3.2955 |
| Component | Mole Percentage/% | Molecule Number |
|---|---|---|
| CH4 | 48.07 | 315 |
| C2H6 | 11.38 | 75 |
| C8H18 | 19.58 | 135 |
| C18H38 | 20.97 | 135 |


Appendix A.3
| Molecule | Atom | Connection | q (e) | ε (kcal/mol) | δ (Å) |
|---|---|---|---|---|---|
| CH4 | C | CH4 | 0.24 | 0.066 | 3.5 |
| H | H-C | 0.06 | 0.03 | 2.5 | |
| C2H6 | C | CH3- | 0.18 | 0.066 | 3.5 |
| H | H-C | 0.12 | 0.03 | 2.5 | |
| C8H18 | C | CH3- | 0.18 | 0.066 | 3.5 |
| C | -CH2- | 0.12 | 0.066 | 3.5 | |
| H | H-C | 0.06 | 0.03 | 2.5 | |
| C18H38/C10H22 | C | CH3- | 0.18 | 0.066 | 3.5 |
| C | -CH2- | 0.12 | 0.066 | 3.5 | |
| H | H-C | 0.06 | 0.03 | 2.5 |
References
- Zhang, C.; Wang, X.; Li, L.; Miller, J.D.; Jin, J. Surface Wettability Analysis from Adsorption Energy and Surface Electrical Charge. Minerals 2024, 14, 628. [Google Scholar] [CrossRef]
- Morrow, N.R. Wettability and Its Effect on Oil Recovery. J. Pet. Technol. 1990, 42, 1476–1484. [Google Scholar] [CrossRef]
- Wang, T.; Tian, F.; Deng, Z.; Hu, H. The Characteristic Development of Micropores in Deep Coal and Its Relationship with Adsorption Capacity on the Eastern Margin of the Ordos Basin, China. Minerals 2023, 13, 302. [Google Scholar] [CrossRef]
- Wang, Y.; Deng, H.; Wang, Z.; Wang, X.; Cao, Q.; Cheng, D.; Zhu, Y.; Li, A. Characteristics and Factors Influencing Pore Structure in Shale Oil Reservoirs of Different Lithologies in the Jurassic Lianggaoshan Formation of the Yingshan Gas Field in Central Sichuan Basin. Minerals 2023, 13, 958. [Google Scholar] [CrossRef]
- Alvarez, J.O.; Schechter, D.S. Wettability Alteration and Spontaneous Imbibition in Unconventional Liquid Reservoirs by Surfactant Additives. SPE Reserv. Eval. Eng. 2017, 20, 107–117. [Google Scholar] [CrossRef]
- Faramarzi-Palangar, M.; Mirzaei-Paiaman, A.; Ghoreishi, S.A.; Ghanbarian, B. Wettability of Carbonate Reservoir Rocks: A Comparative Analysis. Appl. Sci. 2021, 12, 131. [Google Scholar] [CrossRef]
- Yang, Y.; Wang, K.; Zhang, L.; Sun, H.; Zhang, K.; Ma, J. Pore-Scale Simulation of Shale Oil Flow Based on Pore Network Model. Fuel 2019, 251, 683–692. [Google Scholar] [CrossRef]
- Liu, B.; Shi, J.; Wang, M.; Zhang, J.; Sun, B.; Shen, Y.; Sun, X. Reduction in Interfacial Tension of Water–Oil Interface by Supercritical CO2 in Enhanced Oil Recovery Processes Studied with Molecular Dynamics Simulation. J. Supercrit. Fluids 2016, 111, 171–178. [Google Scholar] [CrossRef]
- Wang, S.; Feng, Q.; Javadpour, F.; Yang, Y.-B. Breakdown of Fast Mass Transport of Methane through Calcite Nanopores. J. Phys. Chem. C 2016, 120, 14260–14269. [Google Scholar] [CrossRef]
- Zhang, W.; Feng, Q.; Wang, S.; Zhang, X.; Zhang, J.; Cao, X. Molecular Simulation Study and Analytical Model for Oil–Water Two-Phase Fluid Transport in Shale Inorganic Nanopores. Energies 2022, 15, 2521. [Google Scholar] [CrossRef]
- Fang, T.; Wang, M.; Gao, Y.; Zhang, Y.; Yan, Y.; Zhang, J. Enhanced Oil Recovery with CO2/N2 Slug in Low Permeability Reservoir: Molecular Dynamics Simulation. Chem. Eng. Sci. 2019, 197, 204–211. [Google Scholar] [CrossRef]
- Zheng, M.; Chen, Y.; Tang, T.; Wu, Y.; Chen, Y.; Chen, J.; Peng, S.; Zhang, J. Multiscale Characterization of Pore Structure and Heterogeneity in Deep Marine Qiongzhusi Shales from Southern Basin, China. Minerals 2025, 15, 515. [Google Scholar] [CrossRef]
- RezaeiDoust, A.; Puntervold, T.; Strand, S.; Austad, T. Smart Water as Wettability Modifier in Carbonate and Sandstone: A Discussion of Similarities/Differences in the Chemical Mechanisms. Energy Fuels 2009, 23, 4479–4485. [Google Scholar] [CrossRef]
- Al-Bayati, A.; Karunarathne, C.I.; Al Jehani, A.S.; Al-Yaseri, A.Z.; Keshavarz, A.; Iglauer, S. Wettability Alteration during Low-Salinity Water Flooding. Energy Fuels 2022, 36, 871–879. [Google Scholar] [CrossRef]
- Mehdiyev, F.; Erzuah, S.; Omekeh, A.; Fjelde, I. Surface Complexation Modelling of Wettability Alteration during Carbonated Water Flooding. Energies 2022, 15, 3020. [Google Scholar] [CrossRef]
- Arain, A.H.; Negash, B.M.; Farooqi, A.S.; Alshareef, R.S. Improving Oil Recovery through Low Salinity Waterflooding and Nanoparticles: A Mini Review. Energy Fuels 2024, 38, 17109–17127. [Google Scholar] [CrossRef]
- Srivastava, V.R.; Sarma, H.K.; Gupta, S.K. Low-Salinity Waterflooding for EOR in Field A of Western Offshore Basin: A Pilot Study Analysis with Laboratory and Simulation Studies—Early Observations. Energies 2024, 17, 2149. [Google Scholar] [CrossRef]
- Ghafari, M.A.; Ghasemi, M.; Niasar, V.; Babaei, M. Wetting Preference of Silica Surfaces in the Context of Underground Hydrogen Storage: A Molecular Dynamics Perspective. Langmuir 2024, 40, 20559–20575. [Google Scholar] [CrossRef]
- Fentaw, J.W.; Emadi, H.; Hussain, A.; Fernandez, D.M.; Thiyagarajan, S.R. Geochemistry in Geological CO2 Sequestration: A Comprehensive Review. Energies 2024, 17, 5000. [Google Scholar] [CrossRef]
- Mohammed, I.; Isah, A.; Al Shehri, D.; Mahmoud, M.; Arif, M.; Kamal, M.S.; Alade, O.S.; Patil, S. Effect of Sulfate-Based Scales on Calcite Mineral Surface Chemistry: Insights from Zeta-Potential Experiments and Their Implications on Wettability. ACS Omega 2022, 7, 28571–28587. [Google Scholar] [CrossRef]
- Haagh, M.E.J.; Sîretanu, I.; Duits, M.H.G.; Mugele, F. Salinity-Dependent Contact Angle Alteration in Oil/Brine/Silicate Systems: The Critical Role of Divalent Cations. Langmuir 2017, 33, 3349–3357. [Google Scholar] [CrossRef] [PubMed]
- Karimpour Khamaneh, M.; Mahani, H. Pore-Scale Insights into the Nonmonotonic Effect of Injection Water Salinity on Wettability and Oil Recovery in Low-Salinity Waterflooding. Energy Fuels 2023, 37, 14764–14777. [Google Scholar] [CrossRef]
- Araujo, I.S.; Heidari, Z. Elucidating Wettability Alteration on Clay Surface Contacting Mixed Electrolyte Solution: Implications to Low-Salinity Waterflooding. SPE J. 2025, 30, 169–179. [Google Scholar] [CrossRef]
- Chen, Y.; Shokri, J.; Niasar, V.; Mehana, M.; Wood, C.D.; Elakneswaran, Y.; Zhao, J. Fluid-Fluid Interfacial Properties during Low Salinity Waterflooding. J. Mol. Liq. 2023, 390, 123142. [Google Scholar] [CrossRef]
- Zhang, L.; Lu, X.; Liu, X.; Yang, K.; Zhou, H. Surface Wettability of Basal Surfaces of Clay Minerals: Insights from Molecular Dynamics Simulation. Energy Fuels 2016, 30, 149–160. [Google Scholar] [CrossRef]
- Yuan, Q.; Zhu, X.; Lin, K.; Zhao, Y.-P. Molecular Dynamics Simulations of the Enhanced Recovery of Confined Methane with Carbon Dioxide. Phys. Chem. Chem. Phys. 2015, 17, 31887–31893. [Google Scholar] [CrossRef]
- Wang, X.; Cheng, H.; Chai, P.; Bian, J.; Wang, X.; Liu, Y.; Yin, X.; Pan, S.; Pan, Z. Pore Characterization of Different Clay Minerals and Its Impact on Methane Adsorption Capacity. Energy Fuels 2020, 34, 12204–12214. [Google Scholar] [CrossRef]
- Zhao, J.; Jin, Z.; Jin, Z.; Wen, X.; Geng, Y. Origin of Authigenic Quartz in Organic-Rich Shales of the Wufeng and Longmaxi Formations in the Sichuan Basin, South China: Implications for Pore Evolution. J. Nat. Gas Sci. Eng. 2017, 38, 21–38. [Google Scholar] [CrossRef]
- Thompson, A.P.; Aktulga, H.M.; Berger, R.; Bolintineanu, D.S.; Brown, W.M.; Crozier, P.S.; Veld, P.J.I.; Kohlmeyer, A.; Moore, S.G.; Nguyen, T.D.; et al. LAMMPS—A Flexible Simulation Tool for Particle-Based Materials Modeling at the Atomic, Meso, and Continuum Scales. Comput. Phys. Commun. 2022, 271, 108171. [Google Scholar] [CrossRef]
- Stukowski, A. Visualization and Analysis of Atomistic Simulation Data with OVITO–the Open Visualization Tool. Model. Simul. Mater. Sci. Eng. 2009, 18, 015012. [Google Scholar] [CrossRef]
- Martínez, L.; Andrade, R.; Birgin, E.G.; Martínez, J.M. PACKMOL: A Package for Building Initial Configurations for Molecular Dynamics Simulations. J. Comput. Chem. 2009, 30, 2157–2164. [Google Scholar] [CrossRef] [PubMed]
- Jewett, A.I.; Stelter, D.; Lambert, J.; Saladi, S.M.; Roscioni, O.M.; Ricci, M.; Autin, L.; Maritan, M.; Bashusqeh, S.M.; Keyes, T.; et al. Moltemplate: A Tool for Coarse-Grained Modeling of Complex Biological Matter and Soft Condensed Matter Physics. J. Mol. Biol. 2021, 433, 166841. [Google Scholar] [CrossRef]
- Downs, R.T. The American Mineralogist Crystal Structure Database. Am. Mineral. 2006, 91, 1260–1263. [Google Scholar]
- Lu, J.; Zeng, H.; Wang, Q.; Feng, Z.; Jiang, H.; Wang, R.; Li, B.; Huo, Q.; Sun, L. Phase behavior of nanoconfined continental shale oil and reservoir fluid phases in the Gulong shale of the Songliao basin. Sci. Rep. 2025, 15, 16210. [Google Scholar] [CrossRef] [PubMed]
- Jorgensen, W.L.; Maxwell, D.S.; Tirado-Rives, J. Development and Testing of the OPLS All-Atom Force Field on Conformational Energetics and Properties of Organic Liquids. J. Am. Chem. Soc. 1996, 118, 11225–11236. [Google Scholar] [CrossRef]
- Siu, S.W.I.; Pluhackova, K.; Böckmann, R.A. Optimization of the OPLS-AA Force Field for Long Hydrocarbons. J. Chem. Theory Comput. 2012, 8, 1459–1470. [Google Scholar] [CrossRef] [PubMed]
- Fang, Y.; Li, Z.; Yang, E.; Sha, M.; Song, S. Molecular Dynamics Simulation Study on the Occurrence of Shale Oil in Hybrid Nanopores. Molecules 2024, 29, 312. [Google Scholar] [CrossRef]
- Cygan, R.T.; Liang, J.-J.; Kalinichev, A.G. Molecular Models of Hydroxide, Oxyhydroxide, and Clay Phases and the Development of a General Force Field. J. Phys. Chem. B 2004, 108, 1255–1266. [Google Scholar] [CrossRef]
- Greathouse, J.A.; Cygan, R.T. Molecular Dynamics Simulation of Uranyl(VI) Adsorption Equilibria onto an External Montmorillonite Surface. Phys. Chem. Chem. Phys. 2005, 7, 3580–3586. [Google Scholar] [CrossRef]
- Ho, T.A.; Criscenti, L.J.; Greathouse, J.A. Revealing Transition States during the Hydration of Clay Minerals. J. Phys. Chem. Lett. 2019, 10, 3704–3709. [Google Scholar] [CrossRef] [PubMed]
- Jasiok, B.; Pribylov, A.A.; Postnikov, E.B.; Friant-Michel, P.; Millot, C. Thermophysical Properties of the SPC/E Model of Water between 250 and 400 K at Pressures up to 1000 MPa. Fluid Phase Equilib. 2024, 584, 114118. [Google Scholar] [CrossRef]




























Disclaimer/Publisher’s Note: The statements, opinions and data contained in all publications are solely those of the individual author(s) and contributor(s) and not of MDPI and/or the editor(s). MDPI and/or the editor(s) disclaim responsibility for any injury to people or property resulting from any ideas, methods, instructions or products referred to in the content. |
© 2025 by the authors. Licensee MDPI, Basel, Switzerland. This article is an open access article distributed under the terms and conditions of the Creative Commons Attribution (CC BY) license (https://creativecommons.org/licenses/by/4.0/).
Share and Cite
Xin, H.; Zuo, X.; Zhu, L.; Jia, B. Molecular Dynamics Investigation of Mineral Surface Wettability in Oil–Water Systems: Implications for Hydrocarbon Reservoir Development. Minerals 2025, 15, 1194. https://doi.org/10.3390/min15111194
Xin H, Zuo X, Zhu L, Jia B. Molecular Dynamics Investigation of Mineral Surface Wettability in Oil–Water Systems: Implications for Hydrocarbon Reservoir Development. Minerals. 2025; 15(11):1194. https://doi.org/10.3390/min15111194
Chicago/Turabian StyleXin, Honggang, Xuan Zuo, Liwen Zhu, and Bao Jia. 2025. "Molecular Dynamics Investigation of Mineral Surface Wettability in Oil–Water Systems: Implications for Hydrocarbon Reservoir Development" Minerals 15, no. 11: 1194. https://doi.org/10.3390/min15111194
APA StyleXin, H., Zuo, X., Zhu, L., & Jia, B. (2025). Molecular Dynamics Investigation of Mineral Surface Wettability in Oil–Water Systems: Implications for Hydrocarbon Reservoir Development. Minerals, 15(11), 1194. https://doi.org/10.3390/min15111194

