Mutagenicity and Repair of Acrolein Adduct to Cytosine
Abstract
1. Introduction
2. Results and Discussion
2.1. In Vivo Repair of HPC by E. coli AlkA Glycosylase and AlkB Dioxygenase
2.1.1. The Transformation Efficiency
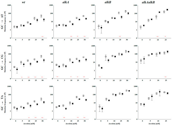
2.1.2. The Mutation Frequency
Spontaneous Mutation Frequency
HPC-Induced Mutations
2.2. HPC Is Not Excised by AlkA Glycosylase In Vitro
2.3. Molecular Modeling of HPC Poses in the Substrate-Binding Pocket of AlkA Glycosylase
3. Materials and Methods
3.1. Bacterial Strains
3.2. Plasmid Modification
3.3. Mutagenicity Assay
3.4. Statistics
3.5. Purification of AlkA Glycosylase
3.6. Preparation of HPC-Containing Oligodeoxynucleotide
3.7. Annealing
3.8. Enzymatic Excision of HPC
3.9. Obtaining the HPC Standard
3.10. HPLC Analysis
3.11. Molecular Modeling of AlkA in Complex with dsDNA Containing T(HPC)T
4. Conclusions and Perspectives
Supplementary Materials
Author Contributions
Funding
Institutional Review Board Statement
Informed Consent Statement
Data Availability Statement
Acknowledgments
Conflicts of Interest
Abbreviations
| Ada | adaptive response |
| ACR | acrolein |
| CAA | chloroacetaldehyde |
| ε | etheno |
| HPA | 1,N6-α-hydroxypropanoadenine |
| HPC | 3,N4-α-hydroxypropanocytosine |
| MMS | methyl methanesulfonate |
| m | methyl |
| MF | mutation frequency |
| SMF | Spontaneous mutation frequency |
| wt | wild-type |
References
- Kehrer, J.P.; Biswal, S.S. The molecular effects of acrolein. Toxicol. Sci. 2000, 57, 6–15. [Google Scholar] [CrossRef] [PubMed]
- Sebela, M.; Raskova, M. Polyamine-Derived Aminoaldehydes and Acrolein: Cytotoxicity, Reactivity and Analysis of the Induced Protein Modifications. Molecules 2023, 28, 7429. [Google Scholar] [CrossRef] [PubMed]
- Chung, F.L.; Chen, H.J.; Nath, R.G. Lipid peroxidation as a potential endogenous source for the formation of exocyclic DNA adducts. Carcinogenesis 1996, 17, 2105–2111. [Google Scholar] [CrossRef] [PubMed]
- Hikisz, P.; Jacenik, D. The Tobacco Smoke Component, Acrolein, as a Major Culprit in Lung Diseases and Respiratory Cancers: Molecular Mechanisms of Acrolein Cytotoxic Activity. Cells 2023, 12, 879. [Google Scholar] [CrossRef]
- Feng, Z.; Hu, W.; Hu, Y.; Tang, M.S. Acrolein is a major cigarette-related lung cancer agent: Preferential binding at p53 mutational hotspots and inhibition of DNA repair. Proc. Natl. Acad. Sci. USA 2006, 103, 15404–15409. [Google Scholar] [CrossRef]
- Jiang, K.Y.; Huang, C.H.; Liu, F.; Zheng, J.; Ou, J.Y.; Zhao, D.Y.; Ou, S.Y. Origin and Fate of Acrolein in Foods. Foods 2022, 11, 1976. [Google Scholar] [CrossRef]
- Burcham, P.C. Acrolein and Human Disease: Untangling the Knotty Exposure Scenarios Accompanying Several Diverse Disorders. Chem. Res. Toxicol. 2017, 30, 145–161. [Google Scholar] [CrossRef]
- Hang, B. Repair of exocyclic DNA adducts: Rings of complexity. Bioessays 2004, 26, 1195–1208. [Google Scholar] [CrossRef]
- Curren, R.D.; Yang, L.L.; Conklin, P.M.; Grafstrom, R.C.; Harris, C.C. Mutagenesis of xeroderma pigmentosum fibroblasts by acrolein. Mutat. Res. 1988, 209, 17–22. [Google Scholar] [CrossRef]
- Zhang, S.; Villalta, P.W.; Wang, M.; Hecht, S.S. Detection and quantitation of acrolein-derived 1,N2-propanodeoxyguanosine adducts in human lung by liquid chromatography-electrospray ionization-tandem mass spectrometry. Chem. Res. Toxicol. 2007, 20, 565–571. [Google Scholar] [CrossRef]
- Wang, H.T.; Tang, M.S. Acrolein-DNA Adducts Are Mutagenic. Chem. Res. Toxicol. 2009, 22, 753–754. [Google Scholar] [CrossRef]
- Wang, H.T.; Zhang, S.; Hu, Y.; Tang, M.S. Mutagenicity and sequence specificity of acrolein-DNA adducts. Chem. Res. Toxicol. 2009, 22, 511–517. [Google Scholar] [CrossRef] [PubMed]
- Smith, R.A.; Williamson, D.S.; Cohen, S.M. Identification of 3,N4-propanodeoxycytidine 5′-monophosphate formed by the reaction of acrolein with deoxycytidine 5′-monophosphate. Chem. Res. Toxicol. 1989, 2, 267–271. [Google Scholar] [CrossRef] [PubMed]
- Pawlowicz, A.J.; Klika, K.D.; Kronberg, L. The structural identification and conformational analysis of the products from the reaction of acrolein with 2′-deoxycytidine, 1-methylcytosine and calf thymus DNA. Eur. J. Org. Chem. 2007, 2007, 1429–1437. [Google Scholar] [CrossRef]
- Pawlowicz, A.J.; Munter, T.; Zhao, Y.; Kronberg, L. Formation of acrolein adducts with 2′-deoxyadenosine in calf thymus DNA. Chem. Res. Toxicol. 2006, 19, 571–576. [Google Scholar] [CrossRef]
- Kawai, Y.; Furuhata, A.; Toyokuni, S.; Aratani, Y.; Uchida, K. Formation of acrolein-derived 2′-deoxyadenosine adduct in an iron-induced carcinogenesis model. J. Biol. Chem. 2003, 278, 50346–50354. [Google Scholar] [CrossRef]
- Sodum, R.S.; Shapiro, R. Reaction of Acrolein with Cytosine and Adenine-Derivatives. Bioorg. Chem. 1988, 16, 272–282. [Google Scholar] [CrossRef]
- Kawanishi, M.; Matsuda, T.; Nakayama, A.; Takebe, H.; Matsui, S.; Yagi, T. Molecular analysis of mutations induced by acrolein in human fibroblast cells using supF shuttle vector plasmids. Mutat. Res. 1998, 417, 65–73. [Google Scholar] [CrossRef]
- Maciejewska, A.M.; Poznanski, J.; Kaczmarska, Z.; Krowisz, B.; Nieminuszczy, J.; Polkowska-Nowakowska, A.; Grzesiuk, E.; Kusmierek, J.T. AlkB dioxygenase preferentially repairs protonated substrates: Specificity against exocyclic adducts and molecular mechanism of action. J. Biol. Chem. 2013, 288, 432–441. [Google Scholar] [CrossRef]
- Dylewska, M.; Kusmierek, J.T.; Pilzys, T.; Poznanski, J.; Maciejewska, A.M. 1,N-6-alpha-hydroxypropanoadenine, the acrolein adduct to adenine, is a substrate for AlkB dioxygenase. Biochem. J. 2017, 474, 1837–1852. [Google Scholar] [CrossRef]
- Dylewska, M.; Dabrowska, I.; Cwiek, K.; Padol, K.; Mielecki, D.; Sokolowska, B.; Poznanski, J.; Maciejewska, A.M. AlkA Glycosylase and AlkB Dioxygenase Constitute an Effective Protective System for Endogenously Arising Acrolein. J. Mol. Biol. 2025, 437, 168912. [Google Scholar] [CrossRef] [PubMed]
- Mielecki, D.; Grzesiuk, E. Ada response—A strategy for repair of alkylated DNA in bacteria. FEMS Microbiol. Lett. 2014, 355, 1–11. [Google Scholar] [CrossRef] [PubMed]
- Mielecki, D.; Wrzesinski, M.; Grzesiuk, E. Inducible repair of alkylated DNA in microorganisms. Mutat. Res. Rev. Mutat. Res. 2015, 763, 294–305. [Google Scholar] [CrossRef] [PubMed]
- Sedgwick, B.; Lindahl, T. Recent progress on the Ada response for inducible repair of DNA alkylation damage. Oncogene 2002, 21, 8886–8894. [Google Scholar] [CrossRef]
- O’Brien, P.J.; Ellenberger, T. The Escherichia coli 3-methyladenine DNA glycosylase AlkA has a remarkably versatile active site. J. Biol. Chem. 2004, 279, 26876–26884. [Google Scholar] [CrossRef]
- Maciejewska, A.M.; Ruszel, K.P.; Nieminuszczy, J.; Lewicka, J.; Sokolowska, B.; Grzesiuk, E.; Kusmierek, J.T. Chloroacetaldehyde-induced mutagenesis in Escherichia coli: The role of AlkB protein in repair of 3,N(4)-ethenocytosine and 3,N(4)-alpha-hydroxyethanocytosine. Mutat. Res. 2010, 684, 24–34. [Google Scholar] [CrossRef]
- Maciejewska, A.M.; Sokolowska, B.; Nowicki, A.; Kusmierek, J.T. The role of AlkB protein in repair of 1,N6-ethenoadenine in Escherichia coli cells. Mutagenesis 2011, 26, 401–406. [Google Scholar] [CrossRef]
- O’Brien, P.J.; Ellenberger, T. Human alkyladenine DNA glycosylase uses acid-base catalysis for selective excision of damaged purines. Biochemistry 2003, 42, 12418–12429. [Google Scholar] [CrossRef]
- Hollis, T.; Ichikawa, Y.; Ellenberger, T. DNA bending and a flip-out mechanism for base excision by the helix-hairpin-helix DNA glycosylase, Escherichia coli AlkA. EMBO J. 2000, 19, 758–766. [Google Scholar] [CrossRef]
- Hollis, T.; Lau, A.; Ellenberger, T. Structural studies of human alkyladenine glycosylase and E. coli 3-methyladenine glycosylase. Mutat. Res. 2000, 460, 201–210. [Google Scholar] [CrossRef]
- Lawley, P.D.; Brookes, P. Further studies on alkylation of nucleic acids and their constituent nucleotides. Biochem. J. 1963, 89, 127–138. [Google Scholar] [CrossRef]
- Berdal, K.G.; Johansen, R.F.; Seeberg, E. Release of normal bases from intact DNA by a native DNA repair enzyme. EMBO J. 1998, 17, 363–367. [Google Scholar] [CrossRef] [PubMed]
- Saparbaev, M.; Kleibl, K.; Laval, J. Escherichia coli, Saccharomyces cerevisiae, rat and human 3-methyladenine DNA glycosylases repair 1,N6-ethenoadenine when present in DNA. Nucleic Acids Res. 1995, 23, 3750–3755. [Google Scholar] [CrossRef] [PubMed]
- Saparbaev, M.; Laval, J. 3,N4-ethenocytosine, a highly mutagenic adduct, is a primary substrate for Escherichia coli double-stranded uracil-DNA glycosylase and human mismatch-specific thymine-DNA glycosylase. Proc. Natl. Acad. Sci. USA 1998, 95, 8508–8513. [Google Scholar] [CrossRef] [PubMed]
- Hang, B.; Singer, B.; Margison, G.P.; Elder, R.H. Targeted deletion of alkylpurine-DNA-N-glycosylase in mice eliminates repair of 1,N6-ethenoadenine and hypoxanthine but not of 3,N4-ethenocytosine or 8-oxoguanine. Proc. Natl. Acad. Sci. USA 1997, 94, 12869–12874. [Google Scholar] [CrossRef]
- Aravind, L.; Koonin, E.V. The DNA-repair protein AlkB, EGL-9, and leprecan define new families of 2-oxoglutarate- and iron-dependent dioxygenases. Genome Biol. 2001, 2, research0007.1. [Google Scholar] [CrossRef]
- Kurowski, M.A.; Bhagwat, A.S.; Papaj, G.; Bujnicki, J.M. Phylogenomic identification of five new human homologs of the DNA repair enzyme AlkB. BMC Genom. 2003, 4, 48. [Google Scholar] [CrossRef]
- Mielecki, D.; Zugaj, D.L.; Muszewska, A.; Piwowarski, J.; Chojnacka, A.; Mielecki, M.; Nieminuszczy, J.; Grynberg, M.; Grzesiuk, E. Novel AlkB dioxygenases--alternative models for in silico and in vivo studies. PLoS ONE 2012, 7, e30588. [Google Scholar] [CrossRef]
- Falnes, P.O.; Johansen, R.F.; Seeberg, E. AlkB-mediated oxidative demethylation reverses DNA damage in Escherichia coli. Nature 2002, 419, 178–182. [Google Scholar] [CrossRef]
- Trewick, S.C.; Henshaw, T.F.; Hausinger, R.P.; Lindahl, T.; Sedgwick, B. Oxidative demethylation by Escherichia coli AlkB directly reverts DNA base damage. Nature 2002, 419, 174–178. [Google Scholar] [CrossRef]
- Delaney, J.C.; Essigmann, J.M. Mutagenesis, genotoxicity, and repair of 1-methyladenine, 3-alkylcytosines, 1-methylguanine, and 3-methylthymine in alkB Escherichia coli. Proc. Natl. Acad. Sci. USA 2004, 101, 14051–14056. [Google Scholar] [CrossRef] [PubMed]
- Koivisto, P.; Robins, P.; Lindahl, T.; Sedgwick, B. Demethylation of 3-methylthymine in DNA by bacterial and human DNA dioxygenases. J. Biol. Chem. 2004, 279, 40470–40474. [Google Scholar] [CrossRef] [PubMed]
- Falnes, P.O. Repair of 3-methylthymine and 1-methylguanine lesions by bacterial and human AlkB proteins. Nucleic Acids Res. 2004, 32, 6260–6267. [Google Scholar] [CrossRef] [PubMed]
- Singh, V.; Fedeles, B.I.; Li, D.; Delaney, J.C.; Kozekov, I.D.; Kozekova, A.; Marnett, L.J.; Rizzo, C.J.; Essigmann, J.M. Mechanism of Repair of Acrolein- and Malondialdehyde-Derived Exocyclic Guanine Adducts by the alpha-Ketoglutarate/Fe(II) Dioxygenase AlkB. Chem. Res. Toxicol. 2014, 27, 1619–1631. [Google Scholar] [CrossRef]
- Melayikandy, S.; Krishnan, A.; Varghese, A.; Rifayee, S.B.J.S.; Waheed, S.O.; Ramanan, R.; Li, D.Y.; Christov, C.Z.; Karabencheva-Christova, T.G. Catalytic Mechanism of the Bacterial Non-Heme Fe(II) and 2-Oxoglutarate Dependent Enzyme AlkB with Single-Stranded DNA Containing Complex Guanine Adducts. Inorg. Chem. 2025, 64, 15650–15666. [Google Scholar] [CrossRef]
- Yi, C.; Jia, G.; Hou, G.; Dai, Q.; Zhang, W.; Zheng, G.; Jian, X.; Yang, C.G.; Cui, Q.; He, C. Iron-catalysed oxidation intermediates captured in a DNA repair dioxygenase. Nature 2010, 468, 330–333. [Google Scholar] [CrossRef]
- Mielecki, D.; Saumaa, S.; Wrzesinski, M.; Maciejewska, A.M.; Zuchniewicz, K.; Sikora, A.; Piwowarski, J.; Nieminuszczy, J.; Kivisaar, M.; Grzesiuk, E. Pseudomonas putida AlkA and AlkB proteins comprise different defense systems for the repair of alkylation damage to DNA—In vivo, in vitro, and in silico studies. PLoS ONE 2013, 8, e76198. [Google Scholar] [CrossRef]
- Sikora, A.; Maciejewska, A.M.; Poznanski, J.; Pilzys, T.; Marcinkowski, M.; Dylewska, M.; Piwowarski, J.; Jakubczak, W.; Pawlak, K.; Grzesiuk, E. Effects of changes in intracellular iron pool on AlkB-dependent and AlkB-independent mechanisms protecting E.coli cells against mutagenic action of alkylating agent. Mutat. Res. 2015, 778, 52–60. [Google Scholar] [CrossRef]
- Borys-Brzywczy, E.; Arczewska, K.D.; Saparbaev, M.; Hardeland, U.; Schar, P.; Kusmierek, J.T. Mismatch dependent uracil/thymine-DNA glycosylases excise exocyclic hydroxyethano and hydroxypropano cytosine adducts. Acta Biochim. Pol. 2005, 52, 149–165. [Google Scholar] [CrossRef]
- Fijalkowska, I.J.; Jonczyk, P.; Tkaczyk, M.M.; Bialoskorska, M.; Schaaper, R.M. Unequal fidelity of leading strand and lagging strand DNA replication on the Escherichia coli chromosome. Proc. Natl. Acad. Sci. USA 1998, 95, 10020–10025. [Google Scholar] [CrossRef]
- Cupples, C.G.; Miller, J.H. A set of lacZ mutations in Escherichia coli that allow rapid detection of each of the six base substitutions. Proc. Natl. Acad. Sci. USA 1989, 86, 5345–5349. [Google Scholar] [CrossRef] [PubMed]
- Chenna, A.; Rieger, R.A.; Iden, C.R. Characterization of thymidine adducts formed by acrolein and 2-bromoacrolein. Carcinogenesis 1992, 13, 2361–2365. [Google Scholar] [CrossRef] [PubMed]
- Delaney, J.C.; Smeester, L.; Wong, C.; Frick, L.E.; Taghizadeh, K.; Wishnok, J.S.; Drennan, C.L.; Samson, L.D.; Essigmann, J.M. AlkB reverses etheno DNA lesions caused by lipid oxidation in vitro and in vivo. Nat. Struct. Mol. Biol. 2005, 12, 855–860. [Google Scholar] [CrossRef] [PubMed]
- Yu, B.; Hunt, J.F. Enzymological and structural studies of the mechanism of promiscuous substrate recognition by the oxidative DNA repair enzyme AlkB. Proc. Natl. Acad. Sci. USA 2009, 106, 14315–14320. [Google Scholar] [CrossRef]
- Borys, E.; Kusmierek, J.T. Endogenous and exogenous DNA lesions recognized by N-alkylpurine-DNA glycosylases. Acta Biochim. Pol. 1998, 45, 579–586. [Google Scholar] [CrossRef]
- Zhu, C.; Yi, C. Switching demethylation activities between AlkB family RNA/DNA demethylases through exchange of active-site residues. Angew. Chem. Int. Ed. Engl. 2014, 53, 3659–3662. [Google Scholar] [CrossRef]
- Delgado, J.; Radusky, L.G.; Cianferoni, D.; Serrano, L. FoldX 5.0: Working with RNA, small molecules and a new graphical interface. Bioinformatics 2019, 35, 4168–4169. [Google Scholar] [CrossRef]
- IUPAC-IUB Joint Commission on Biochemical Nomenclature (JCBN). Abbreviations and symbols for the description of conformations of polynucleotide chains. Recommendations 1982. Eur. J. Biochem. 1983, 131, 9–15. [Google Scholar] [CrossRef]
- Parkinson, G.; Vojtechovsky, J.; Clowney, L.; Brunger, A.T.; Berman, H.M. New parameters for the refinement of nucleic acid-containing structures. Acta Crystallogr. D Biol. Crystallogr. 1996, 52, 57–64. [Google Scholar] [CrossRef]
- Foloppe, N.; Hartmann, B.; Nilsson, L.; MacKerell, A.D., Jr. Intrinsic conformational energetics associated with the glycosyl torsion in DNA: A quantum mechanical study. Biophys. J. 2002, 82, 1554–1569. [Google Scholar] [CrossRef][Green Version]
- Rios, A.C.; Yu, H.T.; Tor, Y. Hydrolytic Fitness of N-glycosyl Bonds: Comparing the Deglycosylation Kinetics of Modified, Alternative and Native Nucleosides. J. Phys. Org. Chem. 2015, 28, 173–180. [Google Scholar] [CrossRef]
- Schmidt, M.W.; Baldridge, K.K.; Boatz, J.A.; Elbert, S.T.; Gordon, M.S.; Jensen, J.J.; Koseki, S.; Matsunaga, N.; Nguyen, K.A.; Su, S.; et al. General atomic and molecular electronic structure system. J. Comput. Chem. 1993, 14, 1347–1363. [Google Scholar] [CrossRef]
- Poznanski, J.; Najda, A.; Bretner, M.; Shugar, D. Experimental (13C NMR) and theoretical (ab initio molecular orbital calculations) studies on the prototropic tautomerism of benzotriazole and some derivatives symmetrically substituted on the benzene ring. J. Phys. Chem. A 2007, 111, 6501–6509. [Google Scholar] [CrossRef]
- Wasik, R.; Lebska, M.; Felczak, K.; Poznanski, J.; Shugar, D. Relative role of halogen bonds and hydrophobic interactions in inhibition of human protein kinase CK2alpha by tetrabromobenzotriazole and some C5-substituted analogues. J. Phys. Chem. B 2010, 114, 10601–10611. [Google Scholar] [CrossRef]
- Krieger, E.; Joo, K.; Lee, J.; Lee, J.; Raman, S.; Thompson, J.; Tyka, M.; Baker, D.; Karplus, K. Improving physical realism, stereochemistry, and side-chain accuracy in homology modeling: Four approaches that performed well in CASP8. Proteins 2009, 77, 114–122. [Google Scholar] [CrossRef]






Disclaimer/Publisher’s Note: The statements, opinions and data contained in all publications are solely those of the individual author(s) and contributor(s) and not of MDPI and/or the editor(s). MDPI and/or the editor(s) disclaim responsibility for any injury to people or property resulting from any ideas, methods, instructions or products referred to in the content. |
© 2025 by the authors. Licensee MDPI, Basel, Switzerland. This article is an open access article distributed under the terms and conditions of the Creative Commons Attribution (CC BY) license.
Share and Cite
Dylewska, M.; Kasperowicz, S.; Sokołowska, B.; Maciejewska, A.M. Mutagenicity and Repair of Acrolein Adduct to Cytosine. Int. J. Mol. Sci. 2026, 27, 71. https://doi.org/10.3390/ijms27010071
Dylewska M, Kasperowicz S, Sokołowska B, Maciejewska AM. Mutagenicity and Repair of Acrolein Adduct to Cytosine. International Journal of Molecular Sciences. 2026; 27(1):71. https://doi.org/10.3390/ijms27010071
Chicago/Turabian StyleDylewska, Małgorzata, Sławomir Kasperowicz, Beata Sokołowska, and Agnieszka M. Maciejewska. 2026. "Mutagenicity and Repair of Acrolein Adduct to Cytosine" International Journal of Molecular Sciences 27, no. 1: 71. https://doi.org/10.3390/ijms27010071
APA StyleDylewska, M., Kasperowicz, S., Sokołowska, B., & Maciejewska, A. M. (2026). Mutagenicity and Repair of Acrolein Adduct to Cytosine. International Journal of Molecular Sciences, 27(1), 71. https://doi.org/10.3390/ijms27010071

