An Experimental and Modeling Study on Commercial Lithium Titanate Batteries with Different Cathode Materials
Abstract
1. Introduction
2. Experimental Setup
3. Related Work on Modeling
4. Results & Discussions
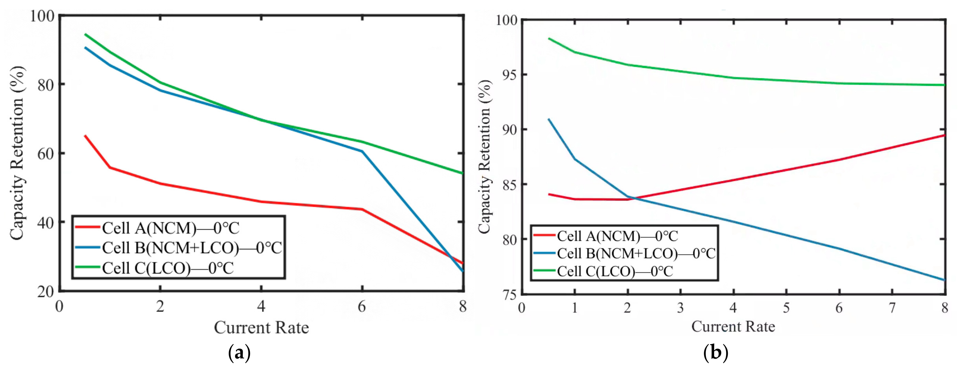
4.1. Electrochemical Performance
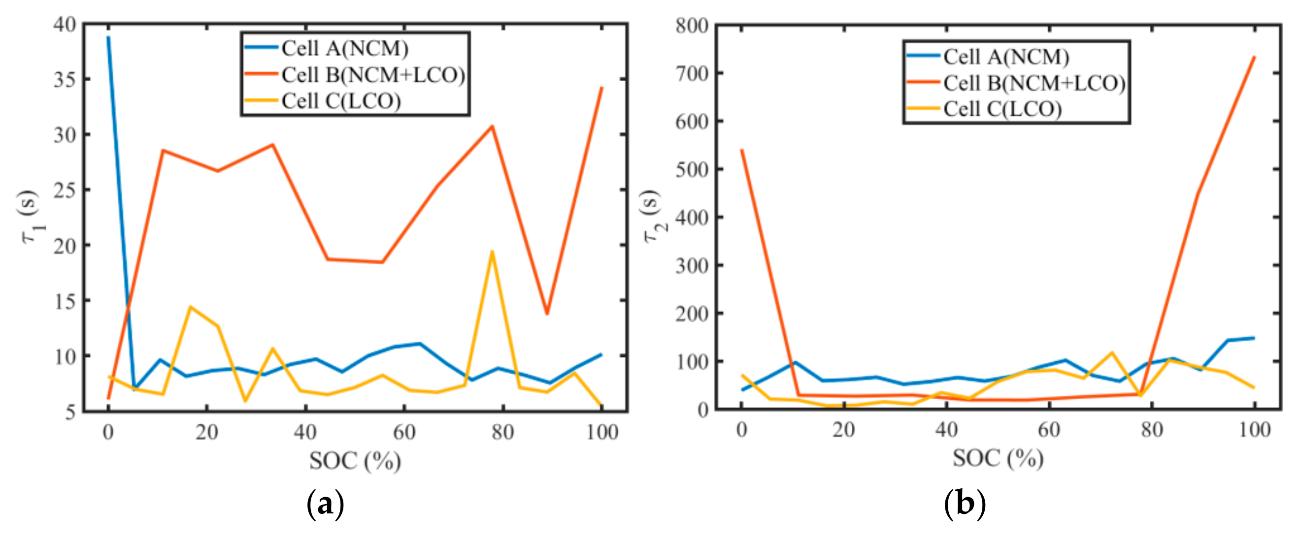
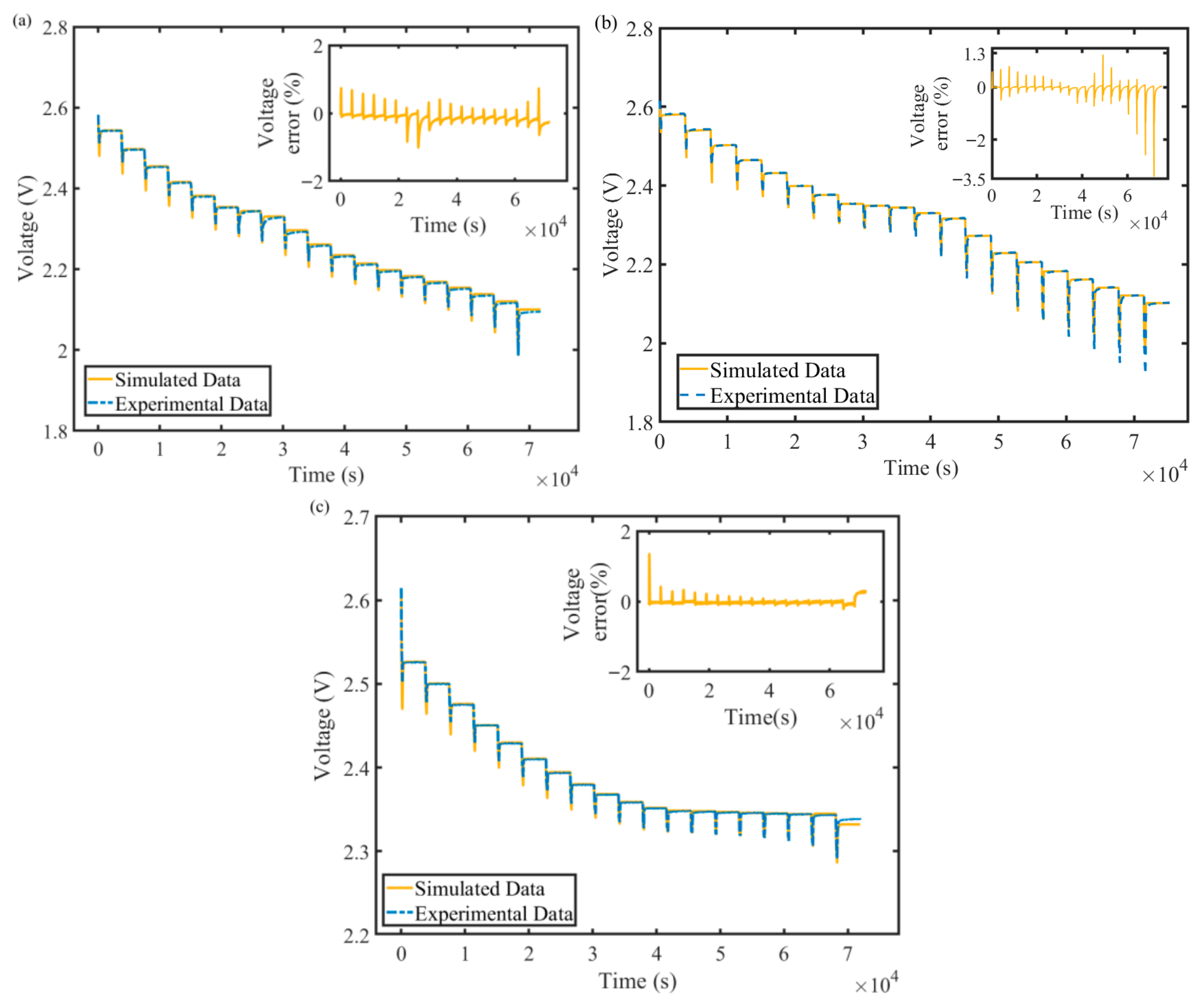
4.2. Equivalent Circuit Model Parameters
5. Conclusions
Funding
Data Availability Statement
Conflicts of Interest
References
- Khan, F.M.N.U.; Rasul, M.G.; Sayem, A.S.M.; Mandal, N.K. Design and optimization of lithium-ion battery as an efficient energy storage device for electric vehicles: A comprehensive review. J. Energy Storage 2023, 71, 108033. [Google Scholar] [CrossRef]
- Wu, C.; Lu, S.; Xue, F.; Jiang, L.; Chen, M. Optimal sizing of onboard energy storage devices for electrified railway systems. IEEE Trans. Transp. Electrif. 2020, 6, 1301–1311. [Google Scholar] [CrossRef]
- Larcher, D.; Tarascon, J.M. Towards greener and more sustainable batteries for electrical energy storage. Nat. Chem. 2015, 7, 19–29. [Google Scholar] [CrossRef]
- Ciccarelli, F.; Del Pizzo, A.; Iannuzzi, D. Improvement of energy efficiency in light railway vehicles based on power management control of wayside lithium-ion capacitor storage. IEEE Trans. Power Electron. 2014, 29, 275–286. [Google Scholar] [CrossRef]
- Namkoong, B.; Park, N.Y.; Park, G.T.; Shin, J.Y.; Beierling, T.; Yoon, C.S.; Sun, Y.K. High-energy Ni-rich cathode materials for long-range and long-life electric vehicles. Adv. Energy Mater. 2022, 12, 1. [Google Scholar] [CrossRef]
- Liu, W.; Placke, T.; Chau, K.T. Overview of batteries and battery management for electric vehicles. Energy Rep. 2022, 8, 4058–4084. [Google Scholar] [CrossRef]
- Han, X.; Ouyang, M.; Lu, L.; Li, J.; Zheng, Y.; Li, Z. A comparative study of commercial lithium ion battery cycle life in electrical vehicle: Aging mechanism identification. J. Power Sources 2014, 251, 38–54. [Google Scholar] [CrossRef]
- Weng, A.; Dufek, E.; Stefanopoulou, A. Battery passports for promoting electric vehicle resale and repurposing. Joule 2023, 7, 837. [Google Scholar] [CrossRef]
- Chen, H.; Chahbaz, A.; Yang, S.; Zhang, W.; Sauer, D.U.; Li, W. Thermodynamic and kinetic degradation of LTO batteries: Impact of different SOC intervals and discharge voltages in electric train applications. eTransportation 2024, 21, 100340. [Google Scholar] [CrossRef]
- Wang, X.; Liu, B.; Hou, X.; Wang, Q.; Li, W.; Chen, D.; Shen, G. Ultralong-life and high-rate web-like Li4Ti5O12 anode for high-performance flexible lithium-ion batteries. Nano Res. 2014, 7, 1073–1082. [Google Scholar] [CrossRef]
- Schröer, P.; Van Faassen, H.; Nemeth, T.; Kuipers, M.; Sauer, D.U. Challenges in modeling high power lithium titanate oxide cells in battery management systems. J. Energy Storage 2020, 28, 101189. [Google Scholar] [CrossRef]
- Yan, H.; Zhang, D.; Qilu; Duo, X.; Sheng, X. A review of spinel lithium titanate (Li4Ti5O12) as electrode material for advanced energy storage devices. Ceram. Int. 2021, 47, 5870–5895. [Google Scholar] [CrossRef]
- Wang, S.; Quan, W.; Zhu, Z.; Yang, Y.; Liu, Q.; Ren, Y.; Zhang, X.; Xu, R.; Hong, Y.; Zhang, Z.; et al. Lithium titanate hydrates with superfast and stable cycling in lithium ion batteries. Nat. Commun. 2017, 8, 627. [Google Scholar] [CrossRef] [PubMed]
- Liu, Y.; Li, W.; Xia, Y. Recent Progress in Polyanionic Anode Materials for Li (Na)-Ion Batteries. Electrochem. Energ. Rev. 2021, 4, 447–472. [Google Scholar] [CrossRef]
- Einhorn, M.; Conte, F.V.; Kral, C.; Fleig, J. Comparison, selection, and parameterization of electrical battery models for automotive applications. IEEE Trans. Power Electron. 2012, 28, 1429–1437. [Google Scholar] [CrossRef]
- Yang, S.; Zhang, C.; Jiang, J.; Zhang, W.; Zhang, L.; Wang, Y. Review on state-of-health of lithium-ion batteries: Characterizations, estimations and applications. J. Clean. Prod. 2021, 314, 128015. [Google Scholar] [CrossRef]
- Nikolian, A.; Jaguemont, J.; de Hoog, J.; Goutam, S.; Omar, N.; Van Den Bossche, P.; Van Mierlo, J. Complete cell-level lithium-ion electrical ECM model for different chemistries (NMC, LFP, LTO) and temperatures (−5 C to 45 C)–Optimized modelling techniques. Int. J. Electr. Power Energy Syst. 2018, 98, 133–146. [Google Scholar] [CrossRef]
- Sharma, S.; Panwar, A.K.; Tripathi, M.M. Thermal-Electrochemical Modeling and Analysis of Different Cathode-Anode Pairs for Lithium-ion Battery. Adv. Electr. Comp. Eng. 2021, 21, 57. [Google Scholar] [CrossRef]
- Heydarzadeh, M.; Tehrani, M.G.; Tahir, A.; Immonen, E.; Haghbayan, H.; Plosila, J. Analysis of ecm battery modeling techniques for different battery types. In Proceedings of the 2024 13th International Workshop on Robot Motion and Control (RoMoCo), Poznań, Poland, 2–4 July 2024; IEEE: Piscataway, NJ, USA; pp. 174–180. [Google Scholar]
- Dubarry, M.; Berecibar, M.; Devie, A.; Anseán, D.; Omar, N.; Villarreal, I. State of health battery estimator enabling degradation diagnosis: Model and algorithm description. J. Power Sources 2017, 360, 59–69. [Google Scholar] [CrossRef]
- Castaing, R.; Reynier, Y.; Dupré, N.; Schleich, D.; Larbi, S.J.S.; Guyomard, D.; Moreau, P. Degradation diagnosis of aged Li4Ti5O12/LiFePO4 batteries. J. Power Sources 2014, 267, 744–752. [Google Scholar] [CrossRef]
- Chen, H.; Yang, S.; Zhang, W.; Zhang, C.; Sun, B.; Chen, D. An aging-aware modified open-circuit potential electrode model for degradation modes diagnosis of lithium titanate oxide batteries. J. Power Sources 2024, 614, 234921. [Google Scholar] [CrossRef]
- Chahbaz, A.; Meishner, F.; Li, W.; Ünlübayir, C.; Sauer, D.U. Non-invasive identification of calendar and cyclic ageing mechanisms for lithium-titanate-oxide batteries. Energy Storage Mater. 2021, 42, 794–805. [Google Scholar] [CrossRef]
- Tomaszewska, A.; Chu, Z.; Feng, X.; O’Kane, S.; Liu, X.; Chen, J.; Ji, C.; Endler, E.; Li, R.; Liu, L.; et al. Lithium-ion battery fast charging: A review. eTransportation 2019, 1, 100011. [Google Scholar] [CrossRef]
- Hu, X.; Li, S.; Peng, H. A comparative study of equivalent circuit models for Li-ion batteries. J. Power Sources 2012, 198, 359–367. [Google Scholar] [CrossRef]
- Chatzogiannakis, D.; Arcelus, O.; Ayerbe, E.; Ghorbanzade, P.; Ricci, B.; de Meatza, I.; Casas-Cabanas, M.; Palacin, M.R. Key design considerations for blended electrodes in Li-ion batteries. Solid State Ion. 2025, 428, 116942. [Google Scholar] [CrossRef]










| Cell A | Cell B | Cell C | |
|---|---|---|---|
| Cathode material | NCM (LiNi0.5Co0.2Mn0.3O2) | NCM + LCO (3:7) | LCO |
| Anode material | LTO | LTO | LTO |
| Capacity | 20 Ah | 10 Ah | 25 Ah |
| Nominal voltage | 2.2 V | 2.3 V | 2.3 V |
| Packaging Type | Prismatic | Pouch | Pouch |
| Manufacturer | TOSHIBA (Tokyo, Japan) | Microvast (Huzhou, China) | RiseSun MGL (Beijing, China) |
Disclaimer/Publisher’s Note: The statements, opinions and data contained in all publications are solely those of the individual author(s) and contributor(s) and not of MDPI and/or the editor(s). MDPI and/or the editor(s) disclaim responsibility for any injury to people or property resulting from any ideas, methods, instructions or products referred to in the content. |
© 2025 by the author. Licensee MDPI, Basel, Switzerland. This article is an open access article distributed under the terms and conditions of the Creative Commons Attribution (CC BY) license.
Share and Cite
Li, H. An Experimental and Modeling Study on Commercial Lithium Titanate Batteries with Different Cathode Materials. Batteries 2026, 12, 3. https://doi.org/10.3390/batteries12010003
Li H. An Experimental and Modeling Study on Commercial Lithium Titanate Batteries with Different Cathode Materials. Batteries. 2026; 12(1):3. https://doi.org/10.3390/batteries12010003
Chicago/Turabian StyleLi, Hao. 2026. "An Experimental and Modeling Study on Commercial Lithium Titanate Batteries with Different Cathode Materials" Batteries 12, no. 1: 3. https://doi.org/10.3390/batteries12010003
APA StyleLi, H. (2026). An Experimental and Modeling Study on Commercial Lithium Titanate Batteries with Different Cathode Materials. Batteries, 12(1), 3. https://doi.org/10.3390/batteries12010003

