Sign in to use this feature.

Years

Between: -

Subjects

remove_circle_outline
remove_circle_outline
remove_circle_outline
remove_circle_outline
remove_circle_outline
remove_circle_outline
remove_circle_outline
remove_circle_outline
remove_circle_outline

Journals

Article Types

Countries / Regions

Search Results (203)

Search Parameters:
Keywords = dual-control nonlinear system

Order results
Result details
Results per page
Select all
Export citation of selected articles as:
28 pages, 5033 KB  
Article
Simulation Method for Hydraulic Tensioning Systems in Tracked Vehicles Using Simulink–AMESim–RecurDyn
by Zian Ding, Shufa Sun, Hongxing Zhu, Zhiyong Yan and Yuan Zhou
Actuators 2025, 14(12), 615; https://doi.org/10.3390/act14120615 - 17 Dec 2025
Abstract
We developed a robust tri-platform co-simulation framework that integrates Simulink, AMESim, and RecurDyn to address the dynamic inconsistencies observed in traditional tensioning models for tracked vehicles. The proposed framework synchronizes nonlinear hydraulic dynamics, closed-loop control, and track–ground interactions within a unified time step, [...] Read more.
We developed a robust tri-platform co-simulation framework that integrates Simulink, AMESim, and RecurDyn to address the dynamic inconsistencies observed in traditional tensioning models for tracked vehicles. The proposed framework synchronizes nonlinear hydraulic dynamics, closed-loop control, and track–ground interactions within a unified time step, thereby ensuring causal consistency along the pressure–flow–force–displacement power chain. Five representative operating conditions—including steady tension tracking, random road excitation, steering/braking pulses, supply-pressure drops, and parameter perturbations—were analyzed. The results show that the tri-platform model reduces tracking error by up to 60%, shortens recovery time by 35%, and decreases energy consumption by 12–17% compared with dual-platform models. Both simulations and full-scale experiments confirm that strong cross-domain coupling enhances system stability, robustness, and energy consistency under variable supply pressure and parameter uncertainties. The framework provides a high-fidelity validation tool and a transferable modeling paradigm for electro-hydraulic actuation systems in tracked vehicles and other multi-domain machinery. Full article
(This article belongs to the Section Actuators for Surface Vehicles)
Show Figures

Figure 1

51 pages, 3324 KB  
Review
Application of Artificial Intelligence in Control Systems: Trends, Challenges, and Opportunities
by Enrique Ramón Fernández Mareco and Diego Pinto-Roa
AI 2025, 6(12), 326; https://doi.org/10.3390/ai6120326 - 14 Dec 2025
Viewed by 427
Abstract
The integration of artificial intelligence (AI) into intelligent control systems has advanced significantly, enabling improved adaptability, robustness, and performance in nonlinear and uncertain environments. This study conducts a PRISMA-2020-compliant systematic mapping of 188 peer-reviewed articles published between 2000 and 15 January 2025, identified [...] Read more.
The integration of artificial intelligence (AI) into intelligent control systems has advanced significantly, enabling improved adaptability, robustness, and performance in nonlinear and uncertain environments. This study conducts a PRISMA-2020-compliant systematic mapping of 188 peer-reviewed articles published between 2000 and 15 January 2025, identified through fully documented Boolean queries across IEEE Xplore, ScienceDirect, SpringerLink, Wiley, and Google Scholar. The screening process applied predefined inclusion–exclusion criteria, deduplication rules, and dual independent review, yielding an inter-rater agreement of κ = 0.87. The resulting synthesis reveals three dominant research directions: (i) control model strategies (36.2%), (ii) parameter optimization methods (45.2%), and (iii) adaptability mechanisms (18.6%). The most frequently adopted approaches include fuzzy logic structures, hybrid neuro-fuzzy controllers, artificial neural networks, evolutionary and swarm-based metaheuristics, model predictive control, and emerging deep reinforcement learning frameworks. Although many studies report enhanced accuracy, disturbance rejection, and energy efficiency, the analysis identifies persistent limitations, including overreliance on simulations, inconsistent reporting of hyperparameters, limited real-world validation, and heterogeneous evaluation criteria. This review consolidates current AI-enabled control technologies, compares methodological trade-offs, and highlights application-specific outcomes across renewable energy, robotics, agriculture, and industrial processes. It also delineates key research gaps related to reproducibility, scalability, computational constraints, and the need for standardized experimental benchmarks. The results aim to provide a rigorous and reproducible foundation for guiding future research and the development of next-generation intelligent control systems. Full article
Show Figures

Figure 1

29 pages, 4333 KB  
Article
Design and Sensorless Control in Dual Three-Phase PM Vernier Motors for 5 MW Ship Propulsion
by Vahid Teymoori, Nima Arish, Hossein Dastres, Maarten J. Kamper and Rong-Jie Wang
World Electr. Veh. J. 2025, 16(12), 670; https://doi.org/10.3390/wevj16120670 - 11 Dec 2025
Viewed by 173
Abstract
Advancements in ship propulsion technologies are essential for improving the efficiency and reliability of maritime transportation. This study introduces a comprehensive approach that integrates motor design with sensorless control strategies, specifically focusing on Dual Three-Phase Permanent Magnet Vernier Motors (DTP-PMVM) for ship propulsion. [...] Read more.
Advancements in ship propulsion technologies are essential for improving the efficiency and reliability of maritime transportation. This study introduces a comprehensive approach that integrates motor design with sensorless control strategies, specifically focusing on Dual Three-Phase Permanent Magnet Vernier Motors (DTP-PMVM) for ship propulsion. The initial section of the paper explores the design of a 5-MW DTP-PMVM using finite element method (FEM) analysis in dual three-phase configurations. The subsequent section presents a novel sensorless control technique employing a Prescribed-time Sliding Mode Observer (PTSMO) for accurate speed and position estimation of the DTP-PMSM, eliminating the need for physical sensors. The proposed observer convergence time is entirely independent of the initial estimation guess and observer gains, allowing for pre-adjustment of the estimation error settling time. Initially, the observer is designed for a DTP-PMVM with fully known model parameters. It is then adapted to accommodate variations and unknown parameters over time, achieving prescribed-time observation. This is accomplished by using an adaptive observer to estimate the unknown parameters of the DTP-PMVM model and a Neural Network (NN) to compensate for the nonlinear effects caused by the model’s unknown terms. The adaptation laws are innovatively modified to ensure the prescribed time convergence of the entire adaptive observer. MATLAB (R2023b) Simulink simulations demonstrate the superior speed-tracking accuracy and robustness of the speed and position observer against model parameter variations, strongly supporting the application of these strategies in real-world maritime propulsion systems. By integrating these advancements, this research not only proposes a more efficient, reliable, and robust propulsion motor design but also demonstrates an effective control strategy that significantly enhances overall system performance, particularly for maritime propulsion applications. Full article
Show Figures

Graphical abstract

23 pages, 2160 KB  
Article
Human–Robot Interaction for a Manipulator Based on a Neural Adaptive RISE Controller Using Admittance Model
by Shengli Chen, Lin Jiang, Keqiang Bai, Yuming Chen, Xiaoang Xu, Guanwu Jiang and Yueyue Liu
Electronics 2025, 14(24), 4862; https://doi.org/10.3390/electronics14244862 - 10 Dec 2025
Viewed by 174
Abstract
Human–robot cooperative tasks require physical human–robot interaction (pHRI) systems that can adapt to individual human behaviors while ensuring robustness and stability. This paper presents a dual-loop control framework combining an admittance outer loop and a neural adaptive inner loop based on the Robust [...] Read more.
Human–robot cooperative tasks require physical human–robot interaction (pHRI) systems that can adapt to individual human behaviors while ensuring robustness and stability. This paper presents a dual-loop control framework combining an admittance outer loop and a neural adaptive inner loop based on the Robust Integral of the Sign of the Error (RISE) approach. The outer loop reshapes the manipulator trajectory according to interaction forces, ensuring compliant motion and user safety. The inner-loop Adaptive RISE–RBFNN controller compensates for unknown nonlinear dynamics and bounded disturbances through online neural learning and robust sign-based correction, guaranteeing semi-global asymptotic convergence. Quantitative results demonstrate that the proposed adaptive RISE controller with neural-network error compensation (ARINNSE) achieves superior performance in the Joint-1 tracking task, reducing the root-mean-square tracking error by approximately 51.7% and 42.3% compared to conventional sliding mode control and standard RISE methods, respectively, while attaining the smallest maximum absolute error and maintaining control energy consumption comparable to that of RISE. Under human–robot interaction scenarios, the controller preserves stable, bounded control inputs and rapid error convergence even under time-varying disturbances. These results confirm that the proposed admittance-based RISE–RBFNN framework provides enhanced robustness, adaptability, and compliance, making it a promising approach for safe and efficient human–robot collaboration. Full article
(This article belongs to the Section Industrial Electronics)
Show Figures

Figure 1

17 pages, 1239 KB  
Article
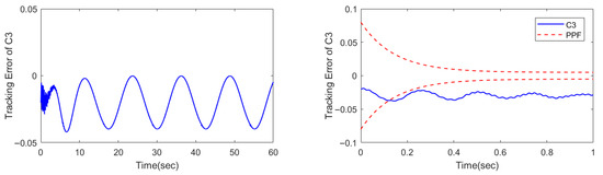
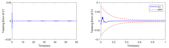
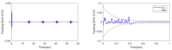
Prescribed-Performance-Function-Based RISE Control for Electrohydraulic Servo Systems with Disturbance Compensation
by Guangda Liu and Junjie Mi
Mathematics 2025, 13(24), 3923; https://doi.org/10.3390/math13243923 - 8 Dec 2025
Viewed by 96
Abstract
Considering that the electrohydraulic servo system has extremely strong nonlinear characteristics, problems such as low initial tracking accuracy and large unmodeled dynamic errors are prominent, leading to easy degradation of control performance. To achieve high-precision position tracking control, this study proposes a robust [...] Read more.
Considering that the electrohydraulic servo system has extremely strong nonlinear characteristics, problems such as low initial tracking accuracy and large unmodeled dynamic errors are prominent, leading to easy degradation of control performance. To achieve high-precision position tracking control, this study proposes a robust integral of the sign of the error (RISE) control method with prescribed performance function (PPF) and dual extended state observers (DESOs). Combined with the system dynamic model, DESOs are designed to estimate matched and mismatched uncertainties, respectively. The transformed error signal is obtained based on the prescribed performance function (PPF), while restricting the convergence rate and range of the error. A RISE controller is designed using the backstepping method to suppress both matched and unmatched uncertainties and improve the system robustness. The Lyapunov stability theory proves that the system is semi-globally stable and all signals are bounded. Simulation results show that the proposed control strategy significantly improves the tracking accuracy and error convergence rate of the electrohydraulic servo system, fully verifying the effectiveness of the control strategy. Full article
Show Figures

Figure 1

26 pages, 2983 KB  
Article
Global Dynamics and Optimal Control of a Dual-Target HIV Model with Latent Reservoirs
by Fawaz K. Alalhareth, Fahad K. Alghamdi, Mohammed H. Alharbi and Miled El Hajji
Mathematics 2025, 13(23), 3868; https://doi.org/10.3390/math13233868 - 2 Dec 2025
Viewed by 188
Abstract
In this paper, we develop a mathematical model to investigate HIV infection dynamics, where we focus on the virus’s dual-target mechanism involving both CD4+ T cells and macrophages. Our model is structured as a system of seven nonlinear ordinary differential equations [...] Read more.
In this paper, we develop a mathematical model to investigate HIV infection dynamics, where we focus on the virus’s dual-target mechanism involving both CD4+ T cells and macrophages. Our model is structured as a system of seven nonlinear ordinary differential equations describing the interactions between susceptible, latent, and infected cells, alongside free virus particles. We derive the basic reproduction number, R0, as two components, R01 and R02, which quantify the respective contributions of CD4+ T cells and macrophages to viral spread. It is deduced that the infection-free steady state is globally asymptotically stable once R01, ensuring viral eradication. For R0>1, a stable endemic steady state emerges, indicating the persistence of the infection. Later, we develop an optimal control strategy to study the impact of reverse transcriptase and protease inhibitors. This analysis identifies a critical drug efficacy threshold, ϵ=11R0, necessary for viral eradication. The numerical simulations and the sensitivity analysis provide key parameters that drive viral dynamics, offering practical insights for designing targeted therapies, particularly during the early stages of infection. Full article
(This article belongs to the Special Issue Modeling, Control and Optimization of Biological Systems)
Show Figures

Figure 1

24 pages, 5327 KB  
Article
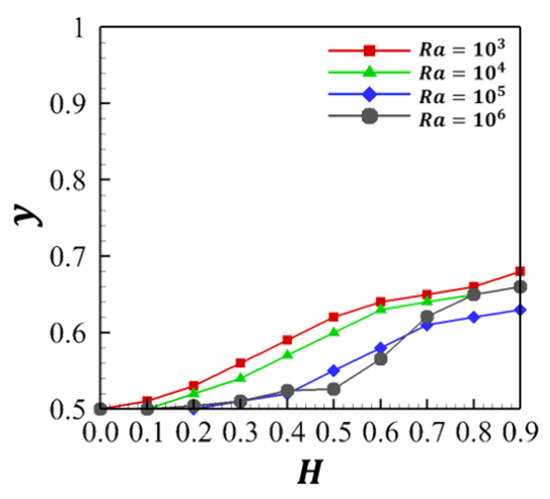
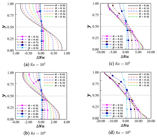
Energy-Efficient Enclosures in Natural Convection Systems Using Partition Control
by Rosa Kim, Adarsh Rajasekharan Nair and Hyun Sik Yoon
Energies 2025, 18(23), 6267; https://doi.org/10.3390/en18236267 - 28 Nov 2025
Viewed by 188
Abstract
Improving energy efficiency and thermal management in enclosure-based systems requires an understanding of how internal geometry governs buoyancy-driven flow and heat transfer. This study employs a partition-based control strategy to regulate flow organization and thermal stratification in natural convection enclosures. Numerical simulations are [...] Read more.
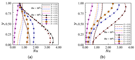
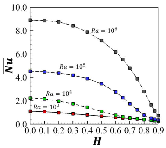
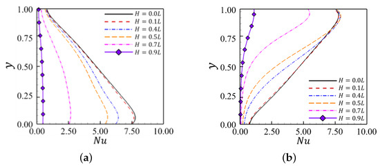
Improving energy efficiency and thermal management in enclosure-based systems requires an understanding of how internal geometry governs buoyancy-driven flow and heat transfer. This study employs a partition-based control strategy to regulate flow organization and thermal stratification in natural convection enclosures. Numerical simulations are performed in a differentially heated square cavity with a bottom-attached adiabatic partition (H=0.0L0.9L) for Rayleigh numbers (Ra) ranging from 103 to 106. The analysis examines how buoyancy–geometry interaction drives vortex suppression, extinction, and regeneration, shaping the thermal performance of energy-efficient enclosures. Flow evolution is characterized using vortex center trajectories, the local Nusselt number difference (ΔNu), and classification into the Thermal Transition Layer (TTL) and Conduction-Dominated Zone (CDZ). Increasing partition height progressively decouples the upper and lower cavity regions. At low Ra, suppression occurs gradually and symmetrically, maintaining a single-vortex structure up to large H. At high Ra, strong buoyancy induces nonlinear transitions from dual vortices to regenerated upper vortices. Cold wall circulation is suppressed more strongly than that near the hot wall, producing pronounced thermal asymmetry and reduced heat transfer. At the maximum partition height (H=0.9L), the surface-averaged Nusselt number decreases by approximately 75–92% across all Ra, indicating strong cooling suppression due to geometric confinement. TTL/CDZ mapping reveals that rapid CDZ growth and TTL expansion beyond H0.4L lead to a sharp decline in the average Nusselt number. These findings provide a quantitative framework for predicting suppression-driven transitions and guiding partition-controlled, energy-efficient enclosure design under varying buoyancy conditions. Full article
(This article belongs to the Section B: Energy and Environment)
Show Figures

Figure 1

24 pages, 7839 KB  
Article
Electric Vehicle-Oriented Predictive Control for SRMs 8/6 with Optimized Dual-Phase Excitation Vectors
by Franklin Sánchez, María Isabel Milanés-Montero, Enrique Romero-Cadaval, Jaqueline Llanos and Gabriel Moreano
Energies 2025, 18(23), 6246; https://doi.org/10.3390/en18236246 - 28 Nov 2025
Viewed by 203
Abstract
The Switched Reluctance Motor (SRM) is a strong candidate for high-performance industrial drives and electric vehicle (EV) propulsion due to its robust, magnet-free construction and high fault tolerance. However, its main drawback lies in its nonlinear behavior, which produces significant torque ripple and [...] Read more.
The Switched Reluctance Motor (SRM) is a strong candidate for high-performance industrial drives and electric vehicle (EV) propulsion due to its robust, magnet-free construction and high fault tolerance. However, its main drawback lies in its nonlinear behavior, which produces significant torque ripple and acoustic noise, thereby hindering its widespread adoption. In recent years, Finite Control Set Model Predictive Control (FCS-MPC) has emerged as a promising alternative to mitigate these issues. Nevertheless, existing implementations typically rely on an eight-vector set comprising both single-phase and dual-phase excitations with unequal magnitudes, resulting in a nonuniform distribution in the αβ-plane. Unlike the conventional square-shaped distribution of vectors where excitation alternates between one and two phases, this study proposes a novel vector set that consistently energizes two phases in each selection. This approach achieves a uniform circular distribution in the αβ-plane, enabling the voltage magnitude to remain constant. The proposed eight-vector set leads to smoother current transitions, reduced torque ripple, and improved dynamic behavior. The strategy is validated on the MATLAB/Simulink platform, with detailed comparative results presented against the conventional method. The findings demonstrate a torque ripple reduction of up to 58% and an acceleration time improvement of up to 64%. These results highlight the strong potential of the proposed method for scalable SRM performance enhancement in demanding applications such as EV propulsion systems. Full article
(This article belongs to the Special Issue Designs and Control of Electrical Machines and Drives)
Show Figures

Figure 1

26 pages, 496 KB  
Article
Simultaneous State and Parameter Estimation Methods Based on Kalman Filters and Luenberger Observers: A Tutorial & Review
by Amal Chebbi, Matthew A. Franchek and Karolos Grigoriadis
Sensors 2025, 25(22), 7043; https://doi.org/10.3390/s25227043 - 18 Nov 2025
Viewed by 755
Abstract
Simultaneous state and parameter estimation is essential for control system design and dynamic modeling of physical systems. This capability provides critical real-time insight into system behavior, supports the discovery of underlying mechanisms, and facilitates adaptive control strategies. Surveyed in this review paper are [...] Read more.
Simultaneous state and parameter estimation is essential for control system design and dynamic modeling of physical systems. This capability provides critical real-time insight into system behavior, supports the discovery of underlying mechanisms, and facilitates adaptive control strategies. Surveyed in this review paper are two classes of state and parameter estimation methods: Kalman Filters and Luenberger Observers. The Kalman Filter framework, including its major variants such as the Extended Kalman Filter (EKF), Unscented Kalman Filter (UKF), Cubature Kalman Filter (CKF), and Ensemble Kalman Filter (EnKF), has been widely applied for joint and dual estimation in linear and nonlinear systems under uncertainty. In parallel, Luenberger observers, typically used in deterministic settings, offer alternative approaches through high-gain, sliding mode, and adaptive observer structures. This review focuses on the theoretical foundations, algorithmic developments, and application domains of these methods and provides a comparative analysis of their advantages, limitations, and practical relevance across diverse engineering scenarios. Full article
(This article belongs to the Section Physical Sensors)
Show Figures

Figure 1

23 pages, 10215 KB  
Article
Disturbances Attenuation of Dual Three-Phase Permanent Magnet Synchronous Machines with Bi-Subspace Predictive Current Control
by Wanping Yu, Changlin Zhong, Qianwen Duan, Qiliang Bao and Yao Mao
Actuators 2025, 14(11), 551; https://doi.org/10.3390/act14110551 - 11 Nov 2025
Viewed by 585
Abstract
Sensor sampling errors and inverter dead-time effects introduce significant nonlinear disturbances into dual three-phase permanent magnet synchronous machine (DTP-PMSM) drive systems with sinusoidal excitation, leading to pronounced alternating current (AC) and direct current (DC) disturbances. These disturbances severely compromise the stability and reliability [...] Read more.
Sensor sampling errors and inverter dead-time effects introduce significant nonlinear disturbances into dual three-phase permanent magnet synchronous machine (DTP-PMSM) drive systems with sinusoidal excitation, leading to pronounced alternating current (AC) and direct current (DC) disturbances. These disturbances severely compromise the stability and reliability of the current control loop, ultimately degrading the overall driving accuracy of the system. To effectively address this issue, this paper proposes a novel interference suppression strategy based on bi-subspace predictive current control. Specifically, the proposed approach optimizes modulation through two-step virtual-vector-based predictive current control (VVPCC) operation to achieve disturbance decoupling. Building upon this foundation, a model-assisted discrete extended state observer (DESO) is incorporated into the fundamental subspace, whereas a discrete vector resonant controller (DVRC) with pre-distorted Tustin discretization is applied to the secondary subspace. Modeling analysis and experimental results demonstrate that, compared with the classical VVPCC method, the proposed bi-subspace VVPCC method has good steady-state performance and enhanced robustness in the presence of disturbances. Full article
(This article belongs to the Section Control Systems)
Show Figures

Figure 1

25 pages, 3617 KB  
Article
A Distributed Parameter Identification Method for Tractor Electro-Hydraulic Hitch Systems Based on Dual-Mode Grey-Box Modelling
by Xiaoxu Sun, Siwei Pan, Yue Song, Chunxia Jiang and Zhixiong Lu
Processes 2025, 13(11), 3608; https://doi.org/10.3390/pr13113608 - 7 Nov 2025
Viewed by 343
Abstract
To address the pronounced asymmetry and strong nonlinearity exhibited by the tractor electro-hydraulic hitch system during lifting and lowering operations, this study proposes a distributed parameter identification method based on a dual-mode grey-box modelling approach. Following a mode decomposition strategy, the lifting and [...] Read more.
To address the pronounced asymmetry and strong nonlinearity exhibited by the tractor electro-hydraulic hitch system during lifting and lowering operations, this study proposes a distributed parameter identification method based on a dual-mode grey-box modelling approach. Following a mode decomposition strategy, the lifting and lowering processes are regarded as two independent subsystems. Benchmark transfer function models are established for each subsystem through theoretical derivation. Considering the nonlinear characteristics and unmodeled dynamics that cannot be accurately captured by the benchmark model, a long short-term memory (LSTM) neural network compensator is introduced to enhance the model performance. Ultimately, a series-compensated dual-channel grey-box model is established, which effectively integrates mechanistic interpretability with high modelling accuracy. Then, to cope with the high-dimensional and heterogeneous parameter space of the constructed grey-box structure, a distributed parameter identification framework is proposed. This framework employs a staged optimization process that combines the whale optimization algorithm (WOA) with the gradient descent (GD) method to efficiently identify the hybrid parameter set. The identified models are validated through bench experiments. The results show that the proposed grey-box models achieve root mean square errors (RMSEs) of 0.33 mm and 0.48 mm, and mean absolute errors (MAEs) of 0.24 mm and 0.40 mm for the lifting and lowering processes, respectively. Compared with a single transfer function model, the RMSE is reduced by 57.6% and 87.3%, and the MAE is reduced by 59.2% and 87.9%, respectively. The proposed method substantially improves the modelling accuracy of the electro-hydraulic hitch system, providing a reliable foundation for system characterization and the design of high-performance control strategies for tractor electro-hydraulic hitch systems. Full article
(This article belongs to the Section Automation Control Systems)
Show Figures

Figure 1

26 pages, 4645 KB  
Article
Control of Drum Shear Electric Drive Using Self-Learning Artificial Neural Networks
by Alibek Batyrbek, Valeriy Kuznetsov, Vitalii Kuznetsov, Artur Rojek, Viktor Kovalenko, Oleksandr Tkalenko, Valerii Tytiuk and Pavlo Krasovskyi
Energies 2025, 18(21), 5763; https://doi.org/10.3390/en18215763 - 31 Oct 2025
Cited by 1 | Viewed by 395
Abstract
The objective of this work was to study the possibility of upgrading the control system of the drum shear mechanism by using neural network PI controllers to improve the efficiency of the sheet-metal cutting process. The developed detailed model of the mechanism, including [...] Read more.
The objective of this work was to study the possibility of upgrading the control system of the drum shear mechanism by using neural network PI controllers to improve the efficiency of the sheet-metal cutting process. The developed detailed model of the mechanism, including a dual DC electric drive with three subordinate control loops for the voltage of the thyristor converter, current and speed of the motors, a 6-mass kinematic system with viscoelastic connections as well as a model of the metal cutting process, made it possible to uncover that the interaction of electric drives with the mechanical part leads to significant speed fluctuations during the cutting process, which worsens the quality of the sheet-metal edge. A modified system of current and speed controllers with built-in three-layer fitting neural networks as nonlinear components of proportional-integral channels is proposed. An algorithm for the fast learning of neural controllers using the gradient descent method in each cycle of calculating the controller signal is also proposed. The developed neuro-regulators make it possible to reduce the amplitude of speed fluctuations during the cutting process by four times, ensuring the effective damping of oscillations and reducing the duration of transient processes to 0.1 s. Full article
(This article belongs to the Section F5: Artificial Intelligence and Smart Energy)
Show Figures

Figure 1

36 pages, 5257 KB  
Article
Model Predictive Control of a Hybrid Li-Ion Energy Storage System with Integrated Converter Loss Modeling
by Paula Arias, Marc Farrés, Alejandro Clemente and Lluís Trilla
Energies 2025, 18(20), 5462; https://doi.org/10.3390/en18205462 - 16 Oct 2025
Viewed by 526
Abstract
The integration of renewable energy systems and electrified transportation requires advanced energy storage solutions capable of providing both high energy density and fast dynamic response. Hybrid energy storage systems offer a promising approach by combining complementary battery chemistries, exploiting their respective strengths while [...] Read more.
The integration of renewable energy systems and electrified transportation requires advanced energy storage solutions capable of providing both high energy density and fast dynamic response. Hybrid energy storage systems offer a promising approach by combining complementary battery chemistries, exploiting their respective strengths while mitigating individual limitations. This study presents the design, modeling, and optimization of a hybrid energy storage system composed of two high-energy lithium nickel manganese cobalt batteries and one high-power lithium titanate oxide battery, interconnected through a triple dual-active multi-port converter. A nonlinear model predictive control strategy was employed to optimally distribute battery currents while respecting constraints such as state of charge limits, current bounds, and converter efficiency. Equivalent circuit models were used for real-time state of charge estimation, and converter losses were explicitly included in the optimization. The main contributions of this work are threefold: (i) verification of the model predictive control strategy in diverse applications, including residential renewable energy systems with photovoltaic generation and electric vehicles following the World Harmonized Light-duty Vehicle Test Procedure driving cycle; (ii) explicit inclusion of the power converter model in the system dynamics, enabling realistic coordination between batteries and power electronics; and (iii) incorporation of converter efficiency into the cost function, allowing for simultaneous optimization of energy losses, battery stress, and operational constraints. Simulation results demonstrate that the proposed model predictive control strategy effectively balances power demand, extends system lifetime by prioritizing lithium titanate oxide battery during transient peaks, and preserves lithium nickel manganese cobalt cell health through smoother operation. Overall, the results confirm that the proposed hybrid energy storage system architecture and control strategy enables flexible, reliable, and efficient operation across diverse real-world scenarios, providing a pathway toward more sustainable and durable energy storage solutions. Full article
Show Figures

Figure 1

26 pages, 5031 KB  
Article
Analysis of Price Dynamic Competition and Stability in Cross-Border E-Commerce Supply Chain Channels Empowered by Blockchain Technology
by Le-Bin Wang, Jian Chai and Lu-Ying Wen
Entropy 2025, 27(10), 1076; https://doi.org/10.3390/e27101076 - 16 Oct 2025
Viewed by 804
Abstract
Based on the perspective of multi-stage dynamic competition, this study constructs a discrete dynamic model of price competition between the “direct sales” and “resale” channels in cross-border e-commerce (CBEC) under three blockchain deployment modes. Drawing on nonlinear dynamics theory, the Nash equilibrium of [...] Read more.
Based on the perspective of multi-stage dynamic competition, this study constructs a discrete dynamic model of price competition between the “direct sales” and “resale” channels in cross-border e-commerce (CBEC) under three blockchain deployment modes. Drawing on nonlinear dynamics theory, the Nash equilibrium of the system and its stability conditions are examined. Using numerical simulations, the effects of factors such as the channel price adjustment speed, tariff rate, and commission ratio on the dynamic evolution, entropy, and stability of the system under the empowerment of blockchain technology are investigated. Furthermore, the impact of noise factors on system stability and the corresponding chaos control strategies are further analyzed. This study finds that a single-channel deployment tends to induce asymmetric system responses, whereas dual-channel collaborative deployment helps enhance strategic coordination. An increase in price adjustment speed, tariffs, and commission rates can drive the system’s pricing dynamics from a stable state into chaos, thereby raising its entropy, while the adoption of blockchain technology tends to weaken dynamic stability. Therefore, after deploying blockchain technology, each channel should make its pricing decisions more cautiously. Moderate noise can exert a stabilizing effect, whereas excessive disturbances may cause the system to diverge. Hence, enterprises should carefully assess the magnitude of disturbances and capitalize on the positive effects brought about by moderate fluctuations. In addition, the delayed feedback control method can effectively suppress chaotic fluctuations and enhance system stability, demonstrating strong adaptability across different blockchain deployment modes. Full article
(This article belongs to the Section Multidisciplinary Applications)
Show Figures

Figure 1

20 pages, 3107 KB  
Article
Observer-Based Volumetric Flow Control in Nonlinear Electro-Pneumatic Extrusion Actuator with Rheological Dynamics
by Ratchatin Chancharoen, Chaiwuth Sithiwichankit, Kantawatchr Chaiprabha, Setthibhak Suthithanakom and Gridsada Phanomchoeng
Actuators 2025, 14(10), 496; https://doi.org/10.3390/act14100496 - 14 Oct 2025
Viewed by 442
Abstract
Consistent volumetric flow control is essential in extrusion-based additive manufacturing, particularly when printing viscoelastic materials with complex rheological properties. This study proposes a control framework incorporating simplified rheological dynamics via a Kelvin–Voigt model that integrates nonlinear dynamic modeling, an unknown input observer (UIO), [...] Read more.
Consistent volumetric flow control is essential in extrusion-based additive manufacturing, particularly when printing viscoelastic materials with complex rheological properties. This study proposes a control framework incorporating simplified rheological dynamics via a Kelvin–Voigt model that integrates nonlinear dynamic modeling, an unknown input observer (UIO), and a closed-loop PID controller to regulate material flow in a motorized electro-pneumatic extrusion system. A comprehensive state-space model is developed, capturing both mechanical and rheological dynamics. The UIO estimates unmeasurable internal states—specifically, syringe plunger velocity—which are critical for real-time flow regulation. Simulation results validate the observer’s accuracy, while experimental trials with a curing silicone resin confirm that the system can achieve steady extrusion and maintain stable linewidth once transient disturbances settle. The proposed system leverages a dual-mode actuation mechanism—combining pneumatic buffering and motor-based adjustment—to achieve responsive and robust control. This architecture offers a compact, sensorless solution well-suited for high-precision applications in bioprinting, electronics, and soft robotics, and provides a foundation for intelligent flow regulation under dynamic material behaviors. Full article
Show Figures

Figure 1

Back to TopTop