Prescribed-Performance-Function-Based RISE Control for Electrohydraulic Servo Systems with Disturbance Compensation
Abstract
1. Introduction
2. Nonlinear Mathematical Model of Electrohydraulic Servo Systems
2.1. Dynamic Model of Single-Rod Hydraulic Cylinder
2.2. State Space Function of Single-Rod Electrohydraulic Servo System
3. Design of Prescribed Performance Function
4. Controller Design and Stability Analysis
4.1. Design of Dual Extended State Observers
4.2. Design of RISE Controller
4.3. Stability Analysis
5. Simulations
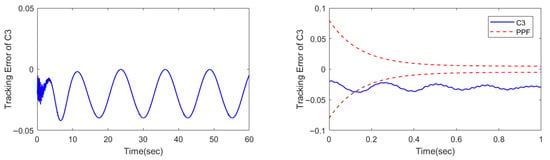
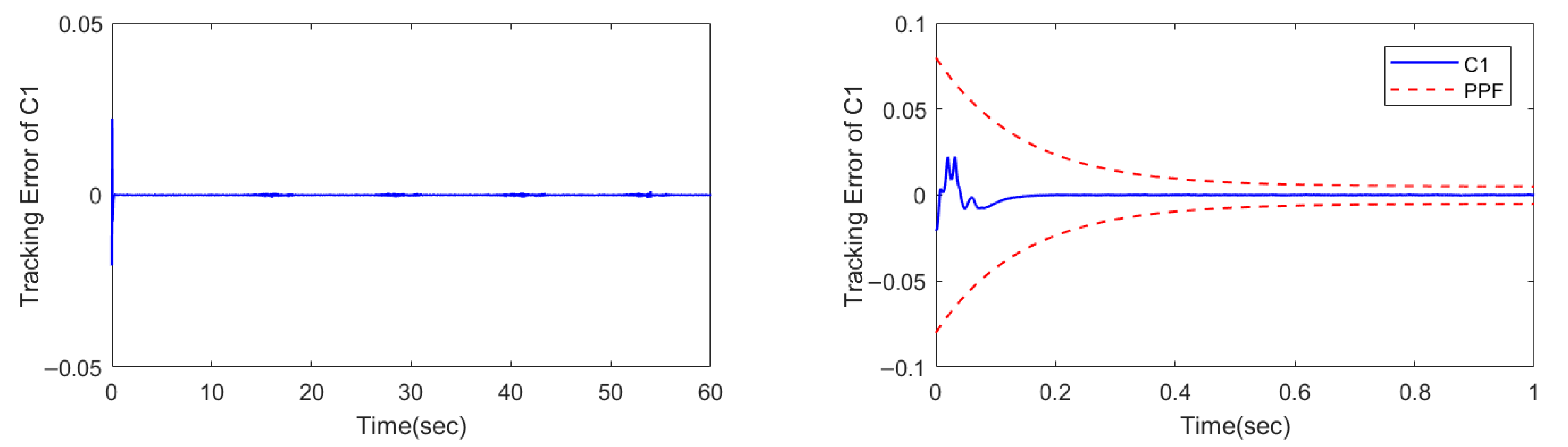
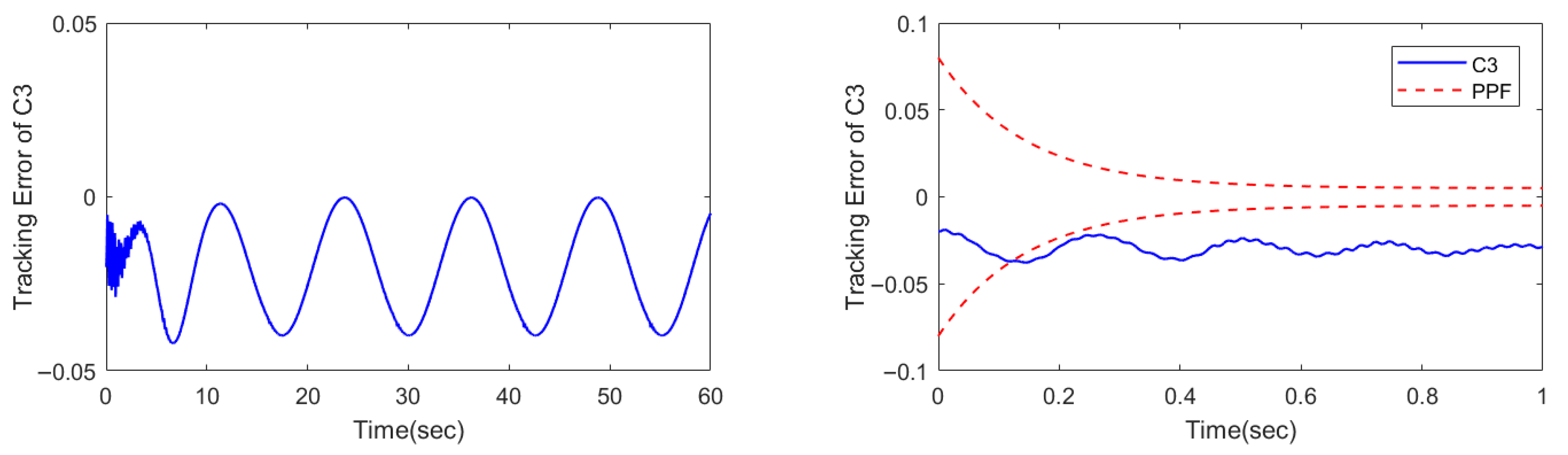
- C1: This is proposed PPF-DESOs-RISE (prescribed performance function-based robust integral of the sign of the error with dual extended state observers) controller. The controller parameters are set as: , , , , , , , , , . For the prescribed performance function, the parameters are set as: , , ,
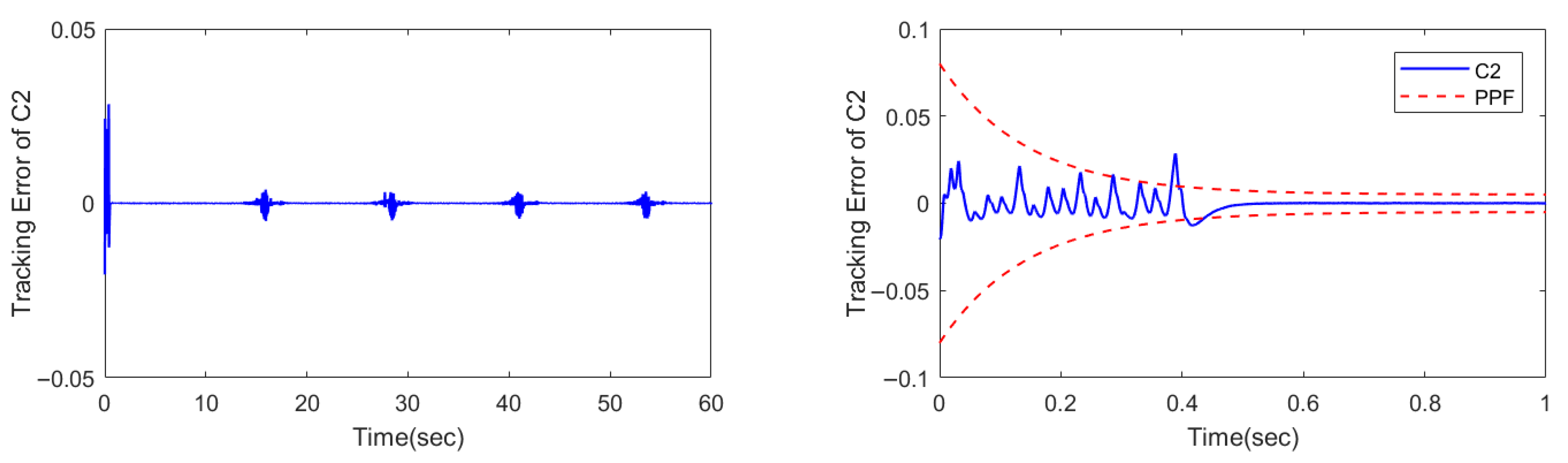
- C2: This is RISE controller. The corresponding control parameters are selected to be the same with those of PPF-DESOs-RISE to ensure a fair comparison.
- C3: This is a proportional–integral (PI) controller. The controller parameters are set as: and . The derivative action is not employed since it is sensitive to noise.
6. Contributions
7. Conclusions
- A PPF is first designed to convert the tracking error into a transformed error signal. This signal is then used to design the controller, ensuring that the convergence speed of the initial error remains within the set range and preventing excessive chattering and instability.
- DESOs are designed by integrating a system dynamics model. By selecting an appropriate observer bandwidth, online observation of both matched and mismatched uncertainties existing in the system can be achieved. This enables the subsequently designed control law to realize active compensation for these uncertainties, thereby improving control accuracy.
- Next, a RISE controller is designed using the observation results of the DESOs. By suppressing the disturbance observation error, the system achieves strong robustness. The tracking stability of the system is proven using the Lyapunov stability theory.
- Finally, by comparing with controllers that do not use PPF and DESOs, it is verified that the designed PPF-DESOs-RISE control strategy exhibits excellent tracking performance, with the tracking error remaining within the preset convergence range.
Author Contributions
Funding
Data Availability Statement
Conflicts of Interest
References
- Li, J.F.; Ji, R.H.; Liang, X.L.; Ge, S.S.; Yan, H. Command Filter-Based Adaptive Fuzzy Finite-Time Output Feedback Control of Nonlinear Electrohydraulic Servo System. IEEE Trans. Instrum. Meas. 2022, 71, 3529410. [Google Scholar] [CrossRef]
- Lindh, P.; Tiainen, J.; Grönman, A.; Turunen-Saaresti, T.; Di, C.; Laurila, L.; Scherman, E.; Handroos, H.; Pyrhönen, J. Two Cooling Approaches of an Electrohydraulic Energy Converter For Non-Road Mobile Machinery. IEEE Trans. Ind. Appl. 2023, 59, 736–744. [Google Scholar] [CrossRef]
- Deng, W.X.; Yao, J.Y. Asymptotic Tracking Control of Mechanical Servosystems With Mismatched Uncertainties. IEEE/ASME Trans. Mechatron. 2021, 26, 2204–2214. [Google Scholar] [CrossRef]
- Akeila, E.; Salcic, Z.; Swain, A. Reducing Low-Cost INS Error Accumulation in Distance Estimation Using Self-Resetting. IEEE Trans. Instrum. Meas. 2014, 63, 177–184. [Google Scholar] [CrossRef]
- Xu, Z.B.; Sun, C.B.; Hu, X.L.; Liu, Q.Y.; Yao, J.Y. Barrier Lyapunov Function-Based Adaptive Output Feedback Prescribed Performance Controller for Hydraulic Systems With Uncertainties Compensation. IEEE Trans. Ind. Electron. 2023, 70, 12500–12510. [Google Scholar] [CrossRef]
- Liu, Z.; Zhao, Y.; Zhang, O.Y.; Gao, Y.B.; Liu, J.X. Adaptive fuzzy neural network-based finite time prescribed performance control for uncertain robotic systems with actuator saturation. Nonlinear Dyn. 2024, 112, 12171–12190. [Google Scholar] [CrossRef]
- Yao, Y.; Tan, J.Q.; Yao, Y.G.; Zhang, X.; Chen, P. Prescribed-time prescribed performance control for stochastic nonlinear input-delay systems with arbitrary bounded initial error. Neurocomputing 2024, 571, 127200. [Google Scholar] [CrossRef]
- Guo, Q.; Zhang, Y.; Celler, B.G.; Su, S.W. Neural Adaptive Backstepping Control of a Robotic Manipulator With Prescribed Performance Constraint. IEEE Trans. Neural Netw. Learn. Syst. 2019, 30, 3572–3583. [Google Scholar] [CrossRef]
- Zeng, Q.L.; Jia, B.Y.; Zhao, J.; Lv, Y.F.; Wan, L.R.; Meng, Z.S. Adaptive Learning-Based Optimal Prescribed Performance Tracking Error Measurement of Hydraulic Support Initial Support Force. IEEE Trans. Instrum. Meas. 2025, 74, 3515214. [Google Scholar] [CrossRef]
- Wang, C.W.; Jiao, Z.X.; Wu, S.; Shang, Y.X. Nonlinear adaptive torque control of electro-hydraulic load system with external active motion disturbance. Mechatronics 2014, 24, 32–40. [Google Scholar] [CrossRef]
- Li, Q.L.; Chang, X.H. Observer-based improved event-triggered interval type-2 fuzzy networked control systems subject to deception attacks in dual communication channels. Commun. Nonlinear Sci. Numer. Simul. 2025, 142, 108579. [Google Scholar] [CrossRef]
- Sarkar, A.; Maji, K.; Chaudhuri, S.; Saha, R.; Mookherjee, S.; Sanyal, D. Actuation of an electrohydraulic manipulator with a novel feedforward compensation scheme and PID feedback in servo-proportional valves. Control Eng. Pract. 2023, 135, 105490. [Google Scholar] [CrossRef]
- Zhao, G.Y.; Yang, X.W.; Deng, W.X.; Lu, C.J.; Yao, J.Y. Command-Filter-Based Velocity-Free Tracking Control of an Electrohydraulic System with Adaptive Disturbance Compensation. Mathematics 2025, 13, 3081. [Google Scholar] [CrossRef]
- Feng, H.; Yin, C.B.; Cao, D.H. Trajectory Tracking of an Electro-Hydraulic Servo System With an New Friction Model-Based Compensation. IEEE/ASME Trans. Mechatron. 2023, 28, 473–482. [Google Scholar] [CrossRef]
- Tian, D.P.; Xu, Q.; Yao, X.H.; Zhang, G.N.; Li, Y.F.; Xu, C.H. Diversity-guided particle swarm optimization with multi-level learning strategy. Swarm Evol. Comput. 2024, 86, 101533. [Google Scholar] [CrossRef]
- Gong, C.; Zhou, N.R.; Xia, S.H.; Huang, S.Y. Quantum particle swarm optimization algorithm based on diversity migration strategy. Future Gener. Comput. Syst. 2024, 157, 445–458. [Google Scholar] [CrossRef]
- Do, P.; Nguyen, V.; Voisin, A.; Iung, B.; Neto, W.A.F.; Neto, F. Multi-agent deep reinforcement learning-based maintenance optimization for multi-dependent component systems. Expert Syst. Appl. 2024, 245, 123144. [Google Scholar] [CrossRef]
- Mnih, V.; Kavukcuoglu, K.; Silver, D.; Rusu, A.A.; Veness, J.; Bellemare, M.G.; Graves, A.; Riedmiller, M.; Fidjeland, A.K.; Ostrovski, G.; et al. Human-level control through deep reinforcement learning. Nature 2015, 518, 529–533. [Google Scholar] [CrossRef]
- Coskun, M.Y.; Itik, M. Intelligent PID control of an industrial electro-hydraulic system. ISA Trans. 2023, 139, 484–498. [Google Scholar] [CrossRef]
- Chen, J.B.; He, G.; Wang, Y.H.; Zheng, Y.; Xiao, Z.H. Adaptive PID Control for Hydraulic Turbine Regulation Systems Based on INGWO and BPNN. Prot. Control Mod. Power Syst. 2024, 9, 126–146. [Google Scholar] [CrossRef]
- He, J.H.; Su, S.J.; Wang, H.R.; Chen, F.; Yin, B.J. Online PID Tuning Strategy for Hydraulic Servo Control Systems via SAC-Based Deep Reinforcement Learning. Machines 2023, 11, 593. [Google Scholar] [CrossRef]
- Yao, J.Y.; Deng, W.X.; Sun, W.C. Precision Motion Control for Electro-Hydraulic Servo Systems With Noise Alleviation: A Desired Compensation Adaptive Approach. IEEE/ASME Trans. Mechatron. 2017, 22, 1859–1868. [Google Scholar] [CrossRef]
- Yang, G.C.; Yao, J.Y.; Le, G.G.; Ma, D.W. Adaptive integral robust control of hydraulic systems with asymptotic tracking. Mechatronics 2016, 40, 78–86. [Google Scholar] [CrossRef]
- Chen, Z.; Zhou, S.Z.; Shen, C.; Lyu, L.; Zhang, J.H.; Yao, B. Observer-Based Adaptive Robust Precision Motion Control of a Multi-Joint Hydraulic Manipulator. IEEE/CAA J. Autom. Sin. 2024, 11, 1213–1226. [Google Scholar] [CrossRef]
- Zhu, Y.K.; Qiao, J.Z.; Guo, L. Adaptive Sliding Mode Disturbance Observer-Based Composite Control With Prescribed Performance of Space Manipulators for Target Capturing. IEEE Trans. Ind. Electron. 2019, 66, 1973–1983. [Google Scholar] [CrossRef]
- Deng, W.X.; Yao, J.Y. Extended-State-Observer-Based Adaptive Control of Electrohydraulic Servomechanisms Without Velocity Measurement. IEEE/ASME Trans. Mechatron. 2020, 25, 1151–1161. [Google Scholar] [CrossRef]
- Zhu, W.W.; Jia, M.W.; Zhang, Z.J.; Liu, Y. Dynamic data reconciliation for enhancing the performance of kernel learning soft sensor models considering measurement noise. Chemom. Intell. Lab. Syst. 2024, 246, 105083. [Google Scholar] [CrossRef]
- Deng, W.X.; Zhou, H.; Zhou, J.; Yao, J.Y. Neural Network-Based Adaptive Asymptotic Prescribed Performance Tracking Control of Hydraulic Manipulators. IEEE Trans. Syst. Man Cybern. Syst. 2023, 53, 285–295. [Google Scholar] [CrossRef]
- Mi, J.J.; Deng, W.X.; Yao, J.Y.; Liang, X.L. Linear-Extended-State-Observer-Based Adaptive RISE Control for the Wrist Joints of Manipulators with Electro-Hydraulic Servo Systems. Electronics 2024, 13, 1060. [Google Scholar] [CrossRef]
- Yang, G.C.; Zhu, T.; Yang, F.B.; Cui, L.F.; Wang, H. Output feedback adaptive RISE control for uncertain nonlinear systems. Asian J. Control 2023, 25, 433–442. [Google Scholar] [CrossRef]
- Mi, J.J.; Yao, J.Y.; Deng, W.X. Adaptive RISE Control of Winding Tension with Active Disturbance Rejection. Chin. J. Mech. Eng. 2024, 37, 52–64. [Google Scholar] [CrossRef]







| Parameters | Values | Parameters | Values |
|---|---|---|---|
| 50 kg | 70 bar | ||
| 1.25 × 109 | 0 bar | ||
| 1.96 × 10−3 m2 | 2.27 × 10−4 m3 | ||
| 6.15 × 10−4 m2 | 1.40 × 10−4 m3 | ||
| 2.7 × 10−12 m3/s/Pa | 3 × 10−8 m3/s/V/ |
| Controller | Standard Deviation | C1 − C2 | C1 − C3 |
|---|---|---|---|
| C1 | 4.059 × 10−4 | 52.74% | 96.97% |
| C2 | 8.589 × 10−4 | ||
| C3 | 1.340 × 10−2 |
Disclaimer/Publisher’s Note: The statements, opinions and data contained in all publications are solely those of the individual author(s) and contributor(s) and not of MDPI and/or the editor(s). MDPI and/or the editor(s) disclaim responsibility for any injury to people or property resulting from any ideas, methods, instructions or products referred to in the content. |
© 2025 by the authors. Licensee MDPI, Basel, Switzerland. This article is an open access article distributed under the terms and conditions of the Creative Commons Attribution (CC BY) license (https://creativecommons.org/licenses/by/4.0/).
Share and Cite
Liu, G.; Mi, J. Prescribed-Performance-Function-Based RISE Control for Electrohydraulic Servo Systems with Disturbance Compensation. Mathematics 2025, 13, 3923. https://doi.org/10.3390/math13243923
Liu G, Mi J. Prescribed-Performance-Function-Based RISE Control for Electrohydraulic Servo Systems with Disturbance Compensation. Mathematics. 2025; 13(24):3923. https://doi.org/10.3390/math13243923
Chicago/Turabian StyleLiu, Guangda, and Junjie Mi. 2025. "Prescribed-Performance-Function-Based RISE Control for Electrohydraulic Servo Systems with Disturbance Compensation" Mathematics 13, no. 24: 3923. https://doi.org/10.3390/math13243923
APA StyleLiu, G., & Mi, J. (2025). Prescribed-Performance-Function-Based RISE Control for Electrohydraulic Servo Systems with Disturbance Compensation. Mathematics, 13(24), 3923. https://doi.org/10.3390/math13243923

