Sign in to use this feature.

Years

Between: -

Subjects

remove_circle_outline
remove_circle_outline
remove_circle_outline
remove_circle_outline
remove_circle_outline
remove_circle_outline
remove_circle_outline
remove_circle_outline
remove_circle_outline

Journals

remove_circle_outline
remove_circle_outline
remove_circle_outline
remove_circle_outline
remove_circle_outline
remove_circle_outline

Article Types

Countries / Regions

Search Results (313)

Search Parameters:
Keywords = distributed laser measurement system

Order results
Result details
Results per page
Select all
Export citation of selected articles as:
19 pages, 5266 KB  
Article
Sand Fluidized Beds for Wood Waste Gasification: The Pellet Influence on Bed Fluid Dynamics at Ambient-Conditions
by Marcos Navarro Salazar, Nicolas Torres Brauer and Hugo de Lasa
Processes 2026, 14(2), 291; https://doi.org/10.3390/pr14020291 - 14 Jan 2026
Viewed by 102
Abstract
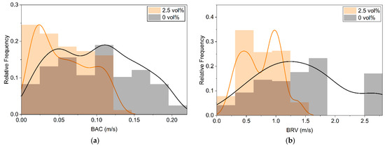
Understanding the fluid dynamics of fluidized beds loaded with biomass pellets is of significant value for the design of wood waste gasifiers. In the present study, cylindrical wood pellets are loaded into a lab-scale cold gasifier unit at 2.5 vol% and 7.5 vol% [...] Read more.
Understanding the fluid dynamics of fluidized beds loaded with biomass pellets is of significant value for the design of wood waste gasifiers. In the present study, cylindrical wood pellets are loaded into a lab-scale cold gasifier unit at 2.5 vol% and 7.5 vol% concentrations and studied at superficial air velocities of 0.25, 0.282, and 0.344 m/s (corresponding to 80, 90, and 110 SCFM). Measurements of bubbles, sand particles, and biomass pellets are taken at a 45 cm height from the distributor plate, and at 9, 12, 15, 18, and 21 cm radial positions from the column wall by employing the CREC-GS-Optiprobes, a valuable integrated fiber optic-laser tool system. A new data processing methodology is established using laser signals that are reflected from the outer surface of aluminum-foil-wrapped cylindrical wood pellets. In addition, a new algorithm is implemented to distinguish pellet-reflected signals from those of bubbles and emulsion-phase particles. On this basis, for the first time, a Phenomenological Probabilistic Predictive Model (PPPM), is considered to predict Bubble Axial Chords (BACs) and Bubble Rise Velocities (BRVs), in a sand fluidized bed loaded with biomass pellets. This is accomplished within a set band of values accounting for three standard deviations from their means or including 85.9% of the bubbles measured. Thus, it is demonstrated that the PPPM is adequate to establish the constrained random motion of bubbles in sand fluidized beds, under the influence of uniformly distributed biomass pellets. It is anticipated that the findings of the present study will be of significant value for the design of sand biomass gasifiers of different scales. Full article
Show Figures

Figure 1

31 pages, 4158 KB  
Article
Optimal Shape Design of Cantilever Structure Thickness for Vibration Strain Distribution Maximization
by Paulius Skėrys and Rimvydas Gaidys
Appl. Sci. 2026, 16(2), 765; https://doi.org/10.3390/app16020765 - 12 Jan 2026
Viewed by 148
Abstract
Energy harvesting systems face performance limitations, and existing optimizations are not always sufficient; this study addresses these gaps by enhancing piezoelectric energy systems. To improve the performance of piezoelectric energy harvesting systems, an optimization methodology is developed in this study. Since the mechanical [...] Read more.
Energy harvesting systems face performance limitations, and existing optimizations are not always sufficient; this study addresses these gaps by enhancing piezoelectric energy systems. To improve the performance of piezoelectric energy harvesting systems, an optimization methodology is developed in this study. Since the mechanical strain distribution directly affects energy conversion efficiency, this issue is addressed through optimization of the thickness geometry of a common cantilever-type harvester elastic substrate element via a state-space gradient projection method combined with design sensitivity analysis. The gradient projection method is implemented in MATLAB R2024b software to determine the optimal elastic substrate design, after which the optimized design is simulated in COMSOL 6.3 Multiphysics for strain analysis in a transient study. The optimized cantilever designs are produced by 3D printing using a photopolymer and experimentally validated using piezo sensors and laser measurements for dynamic analysis. Theoretically compared with traditional uniform beams, the optimized cantilever designs maximize strain along the upper layer of the elastic substrate element, leading to a substantial increase in the energy conversion efficiency. This maximization is validated by experimental measurements showing a significant increase in strain in the elastic substrate (approximately 30% at the first eigenfrequency and 70% at the second). The correlation between the experimentally obtained data and the simulation results validates the optimization results. Deviation between the results did not exceed 3% and indicates that cantilever-type energy harvesters with optimized thickness profiles outperform traditional rectangular beams in energy conversion efficiency. Full article
Show Figures

Figure 1

37 pages, 1846 KB  
Review
Visualization Techniques for Spray Monitoring in Unmanned Aerial Spraying Systems: A Review
by Jungang Ma, Hua Zhuo, Peng Wang, Pengchao Chen, Xiang Li, Mei Tao and Zongyin Cui
Agronomy 2026, 16(1), 123; https://doi.org/10.3390/agronomy16010123 - 4 Jan 2026
Viewed by 252
Abstract
Unmanned Aerial Spraying Systems (UASS) has rapidly advanced precision crop protection. However, the spray performance of UASSs is influenced by nozzle atomization, rotor-induced airflow, and external environmental conditions. These factors cause strong spatiotemporal coupling and high uncertainty. As a result, visualization-based monitoring techniques [...] Read more.
Unmanned Aerial Spraying Systems (UASS) has rapidly advanced precision crop protection. However, the spray performance of UASSs is influenced by nozzle atomization, rotor-induced airflow, and external environmental conditions. These factors cause strong spatiotemporal coupling and high uncertainty. As a result, visualization-based monitoring techniques are now essential for understanding these dynamics and supporting spray modeling and drift-mitigation design. This review highlights developments in spray visualization technologies along the “droplet–airflow–target” chain mechanism in UASS spraying. We first outline the physical fundamentals of droplet formation, liquid-sheet breakup, droplet size distribution, and transport mechanisms in rotor-induced flow. Dominant processes are identified across near-field, mid-field, and far-field scales. Next, we summarize major visualization methods. These include optical imaging (PDPA/PDIA, HSI, DIH), laser-based scattering and ranging (LD, LiDAR), and flow-field visualization (PIV). We compare their spatial resolution, measurement range, 3D reconstruction capabilities, and possible sources of error. We then review wind-tunnel trials, field experiments, and point-cloud reconstruction studies. These studies show how downwash flow and tip vortices affect plume structure, canopy disturbance, and deposition patterns. Finally, we discuss emerging intelligent analysis for large-scale monitoring—such as image-based droplet recognition, multimodal data fusion, and data-driven modeling. We outline future directions, including unified feature systems, vortex-coupled models, and embedded closed-loop spray control. This review is a comprehensive reference for advancing UASS analysis, drift assessment, spray optimization, and smart support systems. Full article
(This article belongs to the Special Issue New Trends in Agricultural UAV Application—2nd Edition)
Show Figures

Figure 1

14 pages, 3659 KB  
Article
Laser Deflection Acoustic Field Quantification: A Non-Invasive Measurement Technique for Focused Ultrasound Field Characterization
by Yang Xu, Hongde Liu, Yaoan Ma, Xiaoxue Bai, Qiangwei Hu, Yunpiao Cai, Hui Zhang, Tao Huang, Mengmeng Liu, Jing Li, Mingyue Ding and Ming Yuchi
Bioengineering 2026, 13(1), 22; https://doi.org/10.3390/bioengineering13010022 - 26 Dec 2025
Viewed by 327
Abstract
Focused ultrasound (FU) technology is extensively employed in clinical applications such as tumor ablation, Parkinson’s disease treatment, and neuropathic pain management. The safety and efficacy of FU therapy critically depend on the accurate quantification of the acoustic field, particularly the high-pressure distribution in [...] Read more.
Focused ultrasound (FU) technology is extensively employed in clinical applications such as tumor ablation, Parkinson’s disease treatment, and neuropathic pain management. The safety and efficacy of FU therapy critically depend on the accurate quantification of the acoustic field, particularly the high-pressure distribution in focal region. To address the limitations of existing acoustic measurement techniques—including invasiveness, inability to measure high sound pressure, and system complexity—this study proposes a non-invasive method termed Laser Deflection Acoustic Field Quantification (LDAQ), based on the laser deflection principle. An experimental system was constructed utilizing the acousto-optic deflection effect, which incorporates precision displacement control, rotational scanning, and synchronized triggering. Through tomographic scanning, laser deflection images of the acoustic field were acquired at multiple orientations. An inversion algorithm using Radon transforms was proposed to reconstruct the refractive index gradient distributions from the variations of light intensity and spot displacement. An adaptive weighted fusion strategy was then employed to map these optical signals to the sound pressure field. To validate the LDAQ technique, an acoustic field generated by an FU transducer operating at 0.84 MHz was measured. The reconstructed results were compared with both hydrophone measurements and numerical simulations. The findings demonstrated high consistency among all three results within the focal zone. Full-field analysis yielded a root mean square error (RMSE) of 0.1102 between LDAQ and simulation, and an RMSE of 0.1422 between LDAQ and hydrophone measurements. These results confirm that LDAQ enables non-invasive and high-precision quantification of megapascal-level focused acoustic fields, offering a reliable methodology for acoustic field characterization to support FU treatment optimization and device standardization. Full article
Show Figures

Figure 1

26 pages, 23293 KB  
Article
A Deep Learning Approach to Lidar Signal Denoising and Atmospheric Feature Detection
by Joseph Gomes, Matthew J. McGill, Patrick A. Selmer and Shi Kuang
Remote Sens. 2025, 17(24), 4060; https://doi.org/10.3390/rs17244060 - 18 Dec 2025
Viewed by 498
Abstract
Laser-based remote sensing (lidar) is a proven technique for detecting atmospheric features such as clouds and aerosols as well as for determining their vertical distribution with high accuracy. Even simple elastic backscatter lidars can distinguish clouds from aerosols, and accurate knowledge of their [...] Read more.
Laser-based remote sensing (lidar) is a proven technique for detecting atmospheric features such as clouds and aerosols as well as for determining their vertical distribution with high accuracy. Even simple elastic backscatter lidars can distinguish clouds from aerosols, and accurate knowledge of their vertical location is essential for air quality assessment, hazard avoidance, and operational decision-making. However, daytime lidar measurements suffer from reduced signal-to-noise ratio (SNR) due to solar background contamination. Conventional processing approaches mitigate this by applying horizontal and vertical averaging, which improves SNR at the expense of spatial resolution and feature detectability. This work presents a deep learning-based framework that enhances lidar SNR at native resolution and performs fast layer detection and cloud–aerosol discrimination. We apply this approach to ICESat-2 532 nm photon-counting data, using artificially noised nighttime profiles to generate simulated daytime observations for training and evaluation. Relative to the simulated daytime data, our method improves peak SNR by more than a factor of three while preserving structural similarity with true nighttime profiles. After recalibration, the denoised photon counts yield an order-of-magnitude reduction in mean absolute percentage error in calibrated attenuated backscatter compared with the simulated daytime data, when validated against real nighttime measurements. We further apply the trained model to a full month of real daytime ICESat-2 observations (April 2023) and demonstrate effective layer detection and cloud–aerosol discrimination, maintaining high recall for both clouds and aerosols and showing qualitative improvement relative to the standard ATL09 data products. As an alternative to traditional averaging-based workflows, this deep learning approach offers accurate, near real-time data processing at native resolution. A key implication is the potential to enable smaller, lower-power spaceborne lidar systems that perform as well as larger instruments. Full article
(This article belongs to the Section Atmospheric Remote Sensing)
Show Figures

Figure 1

14 pages, 2795 KB  
Communication
Transmission Characteristics of 80 Gbit/s Nyquist-DWDM System in Atmospheric Turbulence
by Silun Du, Qiaochu Yang, Tuo Chen and Tianshu Wang
Sensors 2025, 25(24), 7598; https://doi.org/10.3390/s25247598 - 15 Dec 2025
Viewed by 254
Abstract
We experimentally demonstrate an 80 Gbit/s Nyquist-dense wavelength division multiplexed (Nyquist-DWDM) transmission system operating in a simulated atmospheric turbulence channel. The system utilizes eight wavelength-tunable lasers with 100 GHz spacing, modulated by cascaded Mach–Zehnder modulators, to generate phase-locked Nyquist pulse sequences with a [...] Read more.
We experimentally demonstrate an 80 Gbit/s Nyquist-dense wavelength division multiplexed (Nyquist-DWDM) transmission system operating in a simulated atmospheric turbulence channel. The system utilizes eight wavelength-tunable lasers with 100 GHz spacing, modulated by cascaded Mach–Zehnder modulators, to generate phase-locked Nyquist pulse sequences with a 10 GHz repetition rate and a temporal width of 66.7 ps. Each channel is synchronously modulated with a 10 Gbit/s pseudo-random bit sequence (PRBS) and transmitted through controlled weak turbulence conditions generated by a temperature-gradient convection chamber. Experimental measurements reveal that, as the turbulence intensity increases from Cn2=1.01×1016 to 5.71×1016 m2/3, the signal-to-noise ratio (SNR) of the edge channel (C29) and central channel (C33) decreases by approximately 6.5 dB while maintaining stable Nyquist waveform profiles and inter-channel orthogonality. At a forward-error-correction (FEC) threshold of 3.8×103, the minimum receiver sensitivity is −17.66 dBm, corresponding to power penalties below 5 dB relative to the back-to-back condition. The consistent SNR difference (<2 dB) between adjacent channels confirms uniform power distribution and low inter-channel crosstalk under turbulence. These findings verify that Nyquist pulse shaping substantially mitigates phase distortion and scintillation effects, demonstrating the feasibility of high-capacity DWDM free-space optical (FSO) systems with enhanced spectral efficiency and turbulence resilience. The proposed configuration provides a scalable foundation for future multi-wavelength FSO links and hybrid fiber-wireless optical networks. Full article
(This article belongs to the Special Issue Sensing Technologies and Optical Communication)
Show Figures

Figure 1

28 pages, 4896 KB  
Article
Development and Validation of an Openable Spherical Target System for High-Precision Registration and Georeferencing of Terrestrial Laser Scanning Point Clouds
by Maria Makuch and Pelagia Gawronek
Sensors 2025, 25(24), 7512; https://doi.org/10.3390/s25247512 - 10 Dec 2025
Viewed by 546
Abstract
Terrestrial laser scanning (TLS) point clouds require high-precision registration and georeferencing to be used effectively. Only then can data from multiple stations be integrated and transformed from the instrument’s local coordinate system into a common, stable reference frame that ensures temporal consistency for [...] Read more.
Terrestrial laser scanning (TLS) point clouds require high-precision registration and georeferencing to be used effectively. Only then can data from multiple stations be integrated and transformed from the instrument’s local coordinate system into a common, stable reference frame that ensures temporal consistency for further analyses of displacement and deformation. The article demonstrates the validation of an innovative referencing system devised to improve the reliability and accuracy of registering and georeferencing TLS point clouds. The primary component of the system is openable reference spheres, whose centroids can be directly and precisely determined using surveying methods. It also includes dedicated adapters: tripods and adjustable F-clamps with which the spheres can be securely mounted on various structural components, facilitating the optimal distribution of the reference markers. Laboratory tests with four modern laser scanners (Z+F Imager 5010C, Riegl VZ-400, Leica ScanStation P40, and Trimble TX8) revealed sub-millimetre accuracy of sphere fit and form errors, along with the sphere distance error within the acceptance threshold. This confirms that there are no significant systematic errors and that the system is fully compatible with various TLS technologies. The registration and georeferencing quality parameters demonstrate the system’s stability and repeatability. They were additionally verified with independent control points and geodetic levelling of the centres of the spheres. The system overcomes the critical limitations of traditional reference spheres because their centres can be measured directly using surveying methods. This facilitates registration and georeferencing accuracy on par with, or even better than, that of commercial targets. The proposed system serves as a stable and repeatable reference frame suitable for high-precision engineering applications, deformation monitoring, and longitudinal analyses. Full article
(This article belongs to the Section Remote Sensors)
Show Figures

Figure 1

20 pages, 7305 KB  
Article
Fast Electrical Activation of Shape Memory Alloy Spring Actuators: Sub-Second Response Characterization and Performance Optimization
by Stefano Rodinò, Matteo Chiodo, Antonio Corigliano, Giuseppe Rota and Carmine Maletta
Actuators 2025, 14(12), 584; https://doi.org/10.3390/act14120584 - 2 Dec 2025
Viewed by 649
Abstract
Background: Shape memory alloy spring actuators offer significant potential for advanced actuation systems in exoskeletons, medical devices, and robotics, but adoption has been limited by slow activation speeds and insufficient design guidelines for achieving rapid response times while maintaining structural integrity. Objective: This [...] Read more.
Background: Shape memory alloy spring actuators offer significant potential for advanced actuation systems in exoskeletons, medical devices, and robotics, but adoption has been limited by slow activation speeds and insufficient design guidelines for achieving rapid response times while maintaining structural integrity. Objective: This study aimed to establish comprehensive design parameters for nickel–titanium spring actuators capable of achieving sub-second activation times through systematic experimental characterization and performance optimization. Methods: Nine different nickel–titanium spring configurations with wire diameters ranging from 0.5 to 0.8 mm and spring indices from 6 to 8 were systematically evaluated using differential scanning calorimetry for thermal characterization, mechanical testing for material properties, high-current electrical activation studies spanning 5–11 A, infrared thermal distribution analysis, and laser displacement sensing for dynamic response measurement. Results: Dynamic testing achieved activation times below 1 s for currents exceeding 5 A, with maximum displacement recoveries reaching 600–800% strain recovery, while springs with intermediate spring index values of 6.5–7.5 provided optimal balance between force output and displacement range, and optimal activation involved moderate current levels of 5–7 A for thin wires and 8–11 A for thick wires. Conclusions: Systematic geometric optimization combined with controlled high-current density activation protocols enables rapid actuation response while maintaining structural integrity, providing essential design parameters for engineering applications requiring fast, reliable actuation cycles. Full article
Show Figures

Figure 1

13 pages, 2818 KB  
Article
Discriminating Interference Fading Locations in Φ-OTDR Using Improved Density Clustering Algorithm
by Hongyu Tao, Miao Yu, Zhaoyang Zhang, Shijie Li, Huan Liu, Guangxi Li and Mingyang Sun
Sensors 2025, 25(22), 7084; https://doi.org/10.3390/s25227084 - 20 Nov 2025
Viewed by 619
Abstract
The phase-sensitive optical time-domain reflectometer (Φ-OTDR) system is a distributed optical fiber sensing technology capable of measuring weak vibration signals in real time. However, while the use of a narrow-linewidth laser source enhances the system’s sensitivity, the accompanying high coherence introduces an inherent [...] Read more.
The phase-sensitive optical time-domain reflectometer (Φ-OTDR) system is a distributed optical fiber sensing technology capable of measuring weak vibration signals in real time. However, while the use of a narrow-linewidth laser source enhances the system’s sensitivity, the accompanying high coherence introduces an inherent drawback: fading noise. This phenomenon can lead to significant phase demodulation distortion, severely compromising the system’s reliability. Consequently, interference fading represents a fundamental challenge in Φ-OTDR systems. We propose an optimized density clustering algorithm, termed adaptive principal component analysis DBSCAN++ (AP-DBSCAN). The procedure begins by identifying fading regions based on the fading principle. Subsequently, AP-DBSCAN integrates the K-distance to adaptively determine parameters, and incorporates PCA technology and the DBSCAN++ algorithm to efficiently and accurately distinguish fading points within these regions. Finally, the compromised data points are reconstructed using a nearest-neighbor interpolation method. Experimental results demonstrate the superior performance of the proposed method over DBSCAN, FDBSCAN, and DBSCAN++. Our approach achieves adaptive determination of the eps and Minpts parameters, maintaining a high fading-point detection accuracy of 99.92% while significantly improving computational efficiency by 67.33% to 76.29%. Full article
(This article belongs to the Section Optical Sensors)
Show Figures

Figure 1

14 pages, 2397 KB  
Article
Cellular Uptake and Tissue Retention of Microplastics in Black Soldier Fly Larvae
by Claudiu-Nicusor Ionica, Romelia Pop, Dragos Hodor, Irina Constantin, Ana Hiruta, Alexia-Teodora Hota, Alexandru Flaviu Tabaran, Sorana Daina, Andrei-Radu Szakacs and Adrian Macri
Insects 2025, 16(11), 1169; https://doi.org/10.3390/insects16111169 - 16 Nov 2025
Viewed by 823
Abstract
Microplastic pollution is a pressing global concern, yet its immunotoxicological impacts on invertebrates remain poorly understood. The Black Soldier Fly (Hermetia illucens) larva has gained attention for its role in waste management and potential bioremediation, making it essential to evaluate its [...] Read more.
Microplastic pollution is a pressing global concern, yet its immunotoxicological impacts on invertebrates remain poorly understood. The Black Soldier Fly (Hermetia illucens) larva has gained attention for its role in waste management and potential bioremediation, making it essential to evaluate its interactions with microplastics. In this study, fluorescent carboxylate-modified polystyrene microbeads were directly injected into the hemocoel of larvae to bypass gut-associated variables and investigate systemic immune responses. Experimental groups were analyzed at multiple time points (1 h, 6 h, 24 h, 48 h, and 7 days) using histopathology, cytology, and confocal laser scanning microscopy. Results confirmed the persistence and systemic distribution of microplastics in hemolymph and tissues, with hemocytes exhibiting active phagocytosis of particles. Microplastics were retained within tissues for up to seven days, indicating long-term sequestration. Histological observations further highlighted their close association with metabolically active organs such as the fat body and Malpighian tubules, suggesting possible effects on detoxification and metabolism. These findings demonstrate that microplastics elicit measurable immune responses and are subject to cellular uptake and retention in insect larvae. The study provides novel insights into the immunological and histopathological consequences of microplastic contamination in H. illucens larvae, with implications for their safe use in bioconversion and bioremediation applications. Full article
(This article belongs to the Section Role of Insects in Human Society)
Show Figures

Figure 1

18 pages, 10509 KB  
Article
High-Precision Mapping and Real-Time Localization for Agricultural Machinery Sheds and Farm Access Roads Environments
by Yang Yu, Zengyao Li, Buwang Dai, Jiahui Pan and Lizhang Xu
Agriculture 2025, 15(21), 2248; https://doi.org/10.3390/agriculture15212248 - 28 Oct 2025
Cited by 1 | Viewed by 697
Abstract
To address the issues of signal loss and insufficient accuracy of traditional GNSS (Global Navigation Satellite System) navigation in agricultural machinery sheds and farm access road environments, this paper proposes a high-precision mapping method for such complex environments and a real-time localization system [...] Read more.
To address the issues of signal loss and insufficient accuracy of traditional GNSS (Global Navigation Satellite System) navigation in agricultural machinery sheds and farm access road environments, this paper proposes a high-precision mapping method for such complex environments and a real-time localization system for agricultural vehicles. First, an autonomous navigation system was developed by integrating multi-sensor data from LiDAR (Light Laser Detection and Ranging), GNSS, and IMU (Inertial Measurement Unit), with functional modules for mapping, localization, planning, and control implemented within the ROS (Robot Operating System) framework. Second, an improved LeGO-LOAM algorithm is introduced for constructing maps of machinery sheds and farm access roads. The mapping accuracy is enhanced through reflectivity filtering, ground constraint optimization, and ScanContext-based loop closure detection. Finally, a localization method combining NDT (Normal Distribution Transform), IMU, and a UKF (Unscented Kalman Filter) is proposed for tracked grain transport vehicles. The UKF and IMU measurements are used to predict the vehicle state, while the NDT algorithm provides pose estimates for state update, yielding a fused and more accurate pose estimate. Experimental results demonstrate that the proposed mapping method reduces APE (absolute pose error) by 79.99% and 49.04% in the machinery sheds and farm access roads environments, respectively, indicating a significant improvement over conventional methods. The real-time localization module achieves an average processing time of 26.49 ms with an average error of 3.97 cm, enhancing localization accuracy without compromising output frequency. This study provides technical support for fully autonomous operation of agricultural machinery. Full article
(This article belongs to the Topic Digital Agriculture, Smart Farming and Crop Monitoring)
Show Figures

Figure 1

12 pages, 3612 KB  
Article
A Broad-Temperature-Range Wavelength Tracking System Employing a Thermistor Monitoring Circuit and a Tunable Optical Filter
by Ju Wang, Manyun Liu, Hao Luo, Xuemin Su, Chuang Ma and Jinlong Yu
Photonics 2025, 12(10), 1038; https://doi.org/10.3390/photonics12101038 - 21 Oct 2025
Viewed by 415
Abstract
A broad-temperature-range wavelength tracking system employing a thermistor monitoring circuit and a tunable optical filter is proposed and experimentally demonstrated. In this scheme, a thermistor monitoring circuit is utilized to acquire the real-time resistance values of a distributed feedback laser diode (DFB-LD). When [...] Read more.
A broad-temperature-range wavelength tracking system employing a thermistor monitoring circuit and a tunable optical filter is proposed and experimentally demonstrated. In this scheme, a thermistor monitoring circuit is utilized to acquire the real-time resistance values of a distributed feedback laser diode (DFB-LD). When the mapping relationship curve among thermistor resistance, temperature, and center wavelength of the DFB-LD is established, the drive voltage of the narrowband tunable optical filter is dynamically adjusted to regulate its filter window. Therefore, wavelength tracking is achieved by matching the filter window and the center wavelength of the DFB-LD. The experimental results show that the proposed system can achieve adaptive wavelength tracking within the operation band of 1539.4 nm to 1548.6 nm across a temperature range from −40 °C to 60 °C. The wavelength detection resolution and the minimum step of wavelength control are better than 0.79 pm and 0.1 nm, respectively. By exploiting the conversion characteristics between the thermistor and the center wavelength of the DFB-LD, this approach transforms laser wavelength detection into a low-cost, real-time electrical measurement, significantly enhancing transmission stability and reliability of laser sources in complex thermal environments. Full article
(This article belongs to the Special Issue Microwave Photonics: Advances and Applications)
Show Figures

Figure 1

18 pages, 3080 KB  
Article
Thrinax radiata Seed Germplasm Dynamics Analysis Assisted by Chaos Theory
by Hilario Martines-Arano, Marina Vera-Ku, Ricardo Álvarez-Espino, Luis Enrique Vivanco-Benavides, Claudia Lizbeth Martínez-González and Carlos Torres-Torres
Math. Comput. Appl. 2025, 30(5), 113; https://doi.org/10.3390/mca30050113 - 11 Oct 2025
Cited by 1 | Viewed by 774
Abstract
This study examines the contrast in the nonlinear dynamics of Thrinax radiata Lodd. ex Schult. & Schult. f. Seed germplasm explored by optical and electrical signals. By integrating chaotic attractors for the modulation of the optical and electrical measurements, the research ensures high [...] Read more.
This study examines the contrast in the nonlinear dynamics of Thrinax radiata Lodd. ex Schult. & Schult. f. Seed germplasm explored by optical and electrical signals. By integrating chaotic attractors for the modulation of the optical and electrical measurements, the research ensures high sensitivity monitoring of seed germplasm dynamics. Reflectance measurements and electrical responses were analyzed across different laser pulse energies using Newton–Leipnik and Rössler chaotic attractors for signal characterization. The optical attractor captured laser-induced changes in reflectance, highlighting nonlinear thermal effects, while the electrical attractor, through a custom-designed circuit, revealed electromagnetic interactions within the seed. Results showed that increasing laser energy amplified voltage magnitudes in both systems, demonstrating their sensitivity to energy inputs and distinct energy-dependent chaotic patterns. Fractional calculus, specifically the Caputo fractional derivative, was applied for modeling temperature distribution within the seeds during irradiation. Simulations revealed heat transfer about 1 °C in central regions, closely correlating with observed changes in chaotic attractor morphology. This interdisciplinary approach emphasizes the unique strengths of each method: optical attractors effectively analyze photoinduced thermal effects, while electrical attractors offer complementary insights into bioelectrical properties. Together, these techniques provide a realistic framework for studying seed germplasm dynamics, advancing knowledge of their responses to external perturbations. The findings pave the way for future applications and highlight the potential of chaos theory for early detection of structural and bioelectrical changes induced by external energy inputs, thereby contributing to sample protection. Our results provide quantitative dynamical descriptors of laser-evoked seed responses that establish a tractable framework for future studies linking these metrics to physiological outcomes. Full article
(This article belongs to the Special Issue Feature Papers in Mathematical and Computational Applications 2025)
Show Figures

Graphical abstract

58 pages, 4362 KB  
Review
Non-Perturbative Approaches to Linear and Nonlinear Responses of Atoms, Molecules, and Molecular Aggregates: A Theoretical Approach to Molecular Quantum Information and Quantum Biology
by Satoru Yamada, Takao Kobayashi, Masahiro Takahata, Hiroya Nitta, Hiroshi Isobe, Takashi Kawakami, Shusuke Yamanaka, Mitsutaka Okumura and Kizashi Yamaguchi
Chemistry 2025, 7(5), 164; https://doi.org/10.3390/chemistry7050164 - 7 Oct 2025
Viewed by 1735
Abstract
Non-perturbative approaches to linear and nonlinear responses (NLR) of atoms, molecules, and molecular aggregates are reviewed in relation to low and high harmonic generations (HG) by laser fields. These response properties are effective for the generation of entangled light pairs for quantum information [...] Read more.
Non-perturbative approaches to linear and nonlinear responses (NLR) of atoms, molecules, and molecular aggregates are reviewed in relation to low and high harmonic generations (HG) by laser fields. These response properties are effective for the generation of entangled light pairs for quantum information processing by spontaneous parametric downconversion (SPDC) and stimulated four-wave mixing (SFWM). Quasi-energy derivative (QED) methods, such as QED Møller–Plesset (MP) perturbation, are reviewed as time-dependent variational methods (TDVP), providing analytical expressions of time-dependent linear and nonlinear responses of open-shell atoms, molecules, and molecular aggregates. Numerical Liouville methods for the low HG (LHG) and high HG (HHG) regimes are reviewed to elucidate the NLR of molecules in both LHG and HHG regimes. Three-step models for the generation of HHG in the latter regime are reviewed in relation to developments of attosecond science and spectroscopy. Orbital tomography is also reviewed in relation to the theoretical and experimental studies of the amplitudes and phases of wave functions of open-shell atoms and molecules, such as molecular oxygen, providing the Dyson orbital explanation. Interactions between quantum lights and molecules are theoretically examined in relation to derivations of several distribution functions for quantum information processing, quantum dynamics of molecular aggregates, and future developments of quantum molecular devices such as measurement-based quantum computation (MBQC). Quantum dynamics for energy transfer in dendrimer and related light-harvesting antenna systems are reviewed to examine the classical and quantum dynamics behaviors of photosynthesis. It is shown that quantum coherence plays an important role in the well-organized arrays of chromophores. Finally, applications of quantum optics to molecular quantum information and quantum biology are examined in relation to emerging interdisciplinary frontiers. Full article
Show Figures

Figure 1

14 pages, 3243 KB  
Review
An Overview of New PAT Freeze-Drying Methods Based on Shelf Temperature Inlet/Outlet Difference or Chamber/Condenser Pressure Difference: Theory and Practical Use
by Jean René Authelin
Pharmaceutics 2025, 17(10), 1277; https://doi.org/10.3390/pharmaceutics17101277 - 30 Sep 2025
Viewed by 1246
Abstract
Background/Objectives: Recently, new methods of monitoring sublimation flow during freeze-drying operations have been proposed. They are based either on measuring the difference between the temperature of the heat transfer liquid at the inlet and outlet of the shelves (ΔT) or the [...] Read more.
Background/Objectives: Recently, new methods of monitoring sublimation flow during freeze-drying operations have been proposed. They are based either on measuring the difference between the temperature of the heat transfer liquid at the inlet and outlet of the shelves (ΔT) or the difference between the chamber pressure and the condenser pressure (ΔP). In this article, we briefly explain the two methods and review their main applications. Methods: Multiple pilot or commercial-scale freeze dryers were used. The inlet and outlet shelf temperature or the capacitance pressures of the chamber and condenser were measured. Results: ΔT and ΔP methods can be implemented in most recent freeze dryers to monitor the sublimation flow. Both methods provide very consistent results and are also comparable to Tunable Diode Laser Absorption System (TDLAS) measurements. The methods can be used for different purposes: calculating the heat transfer coefficient (Kv) distribution from the mass flow curve and estimating the average product temperature and the product temperature range. Furthermore, these methods can be used as a measure of success for transferring the process from the lab to the industrial scale, or from one plant to another, or demonstrating the shelf-to-shelf homogeneity. Finally, the ΔT method is able to detect the ice nucleation during the freezing step. Conclusions: The ΔT and ΔP methods are bringing a new, easy-to-implement, cost-effective, and versatile tool to the freeze-drying study toolbox. Full article
Show Figures

Graphical abstract

Back to TopTop