A Broad-Temperature-Range Wavelength Tracking System Employing a Thermistor Monitoring Circuit and a Tunable Optical Filter
Abstract
1. Introduction
2. Theory
3. Experimental Setup and Results
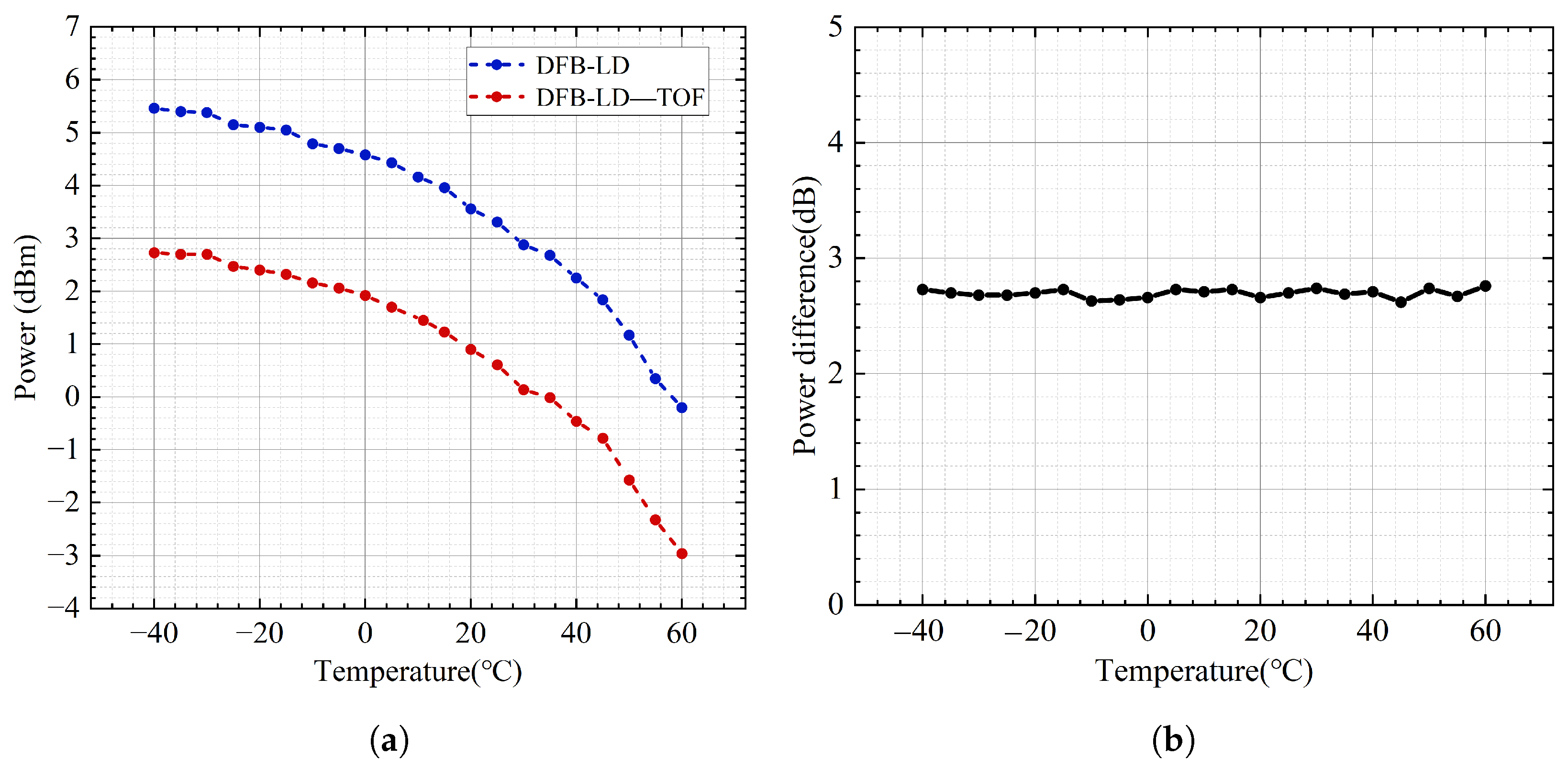
3.1. The Variation Curve of and as the Temperature Changes
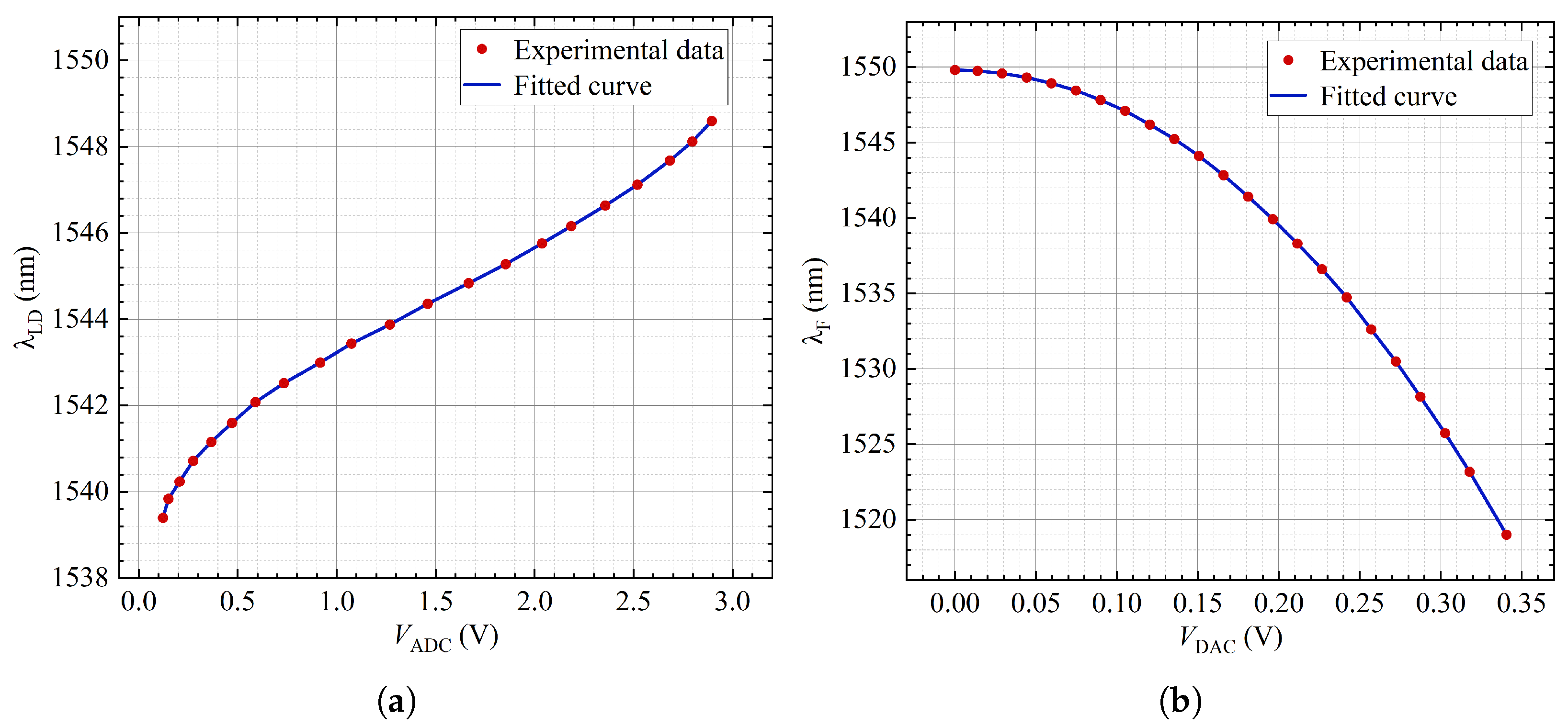
3.2. The Variation Curve of the Varying with U and Temperature
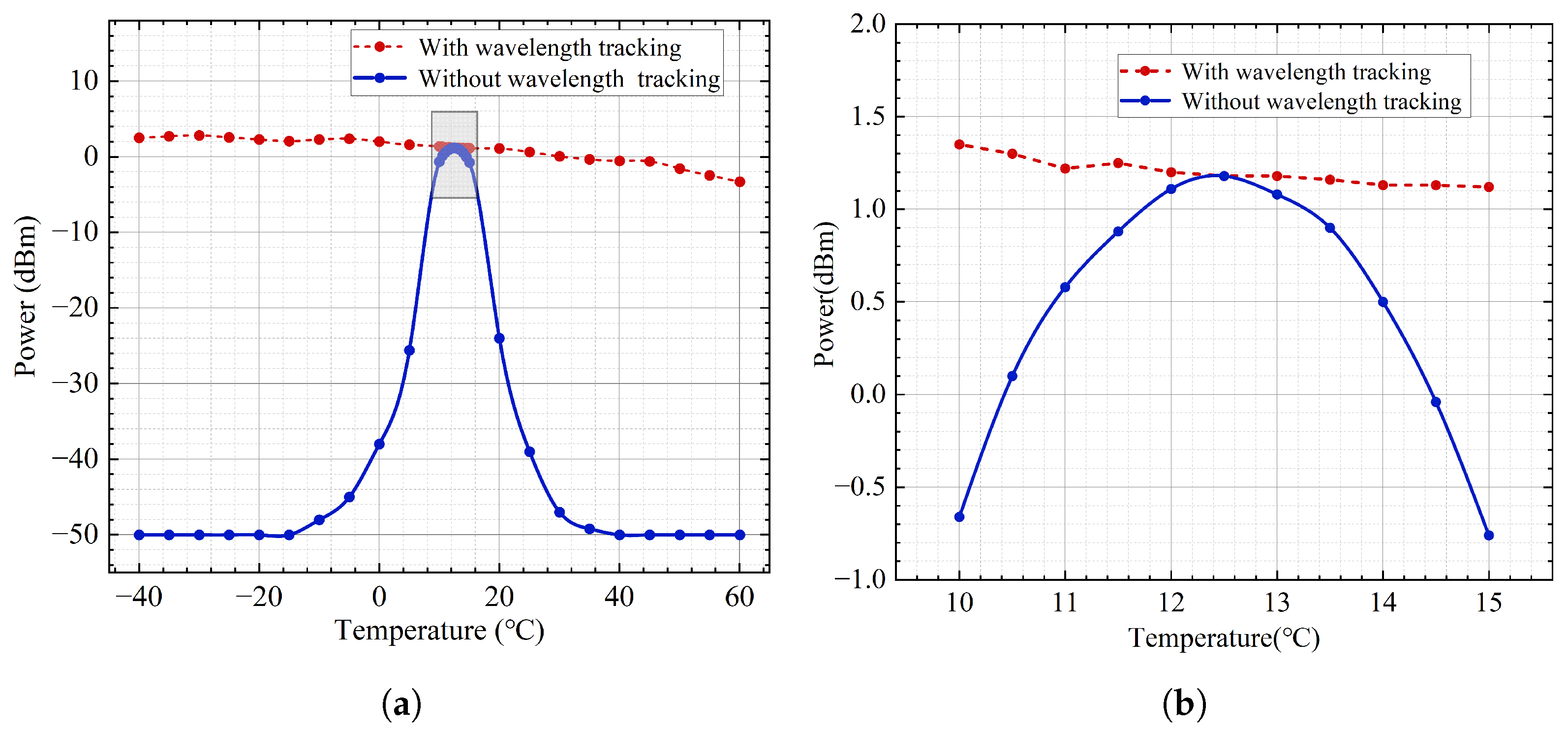
3.3. Wavelength Tracking System
4. Discussion
5. Conclusions
Author Contributions
Funding
Institutional Review Board Statement
Informed Consent Statement
Data Availability Statement
Conflicts of Interest
References
- Yoshida, M.; Katsuno, S.; Inoue, T.; Gelleta, J.; Izumi, K.; De Zoysa, M.; Ishizaki, K.; Noda, S. High-brightness scalable continuous-wave single-mode photonic-crystal laser. Nature 2023, 618, 727–732. [Google Scholar] [CrossRef]
- Zhou, R.; Zhang, Z.; Hong, M.H. The art of laser ablation in aeroengine: The crown jewel of modern industry. J. Appl. Phys. 2020, 127, 080902. [Google Scholar] [CrossRef]
- Kutscher, T.F.; Stock, C.; Sommer, F.; Jurkevicius, J.; Meyer, S.; Wiggert, M.; Lamminger, P.; Karpf, S. Broadband frequency-doubling of a swept-source laser from 1550 nm to 775 nm using a fan-out crystal and application in 2kHz LiDAR ranging. Opt. Express 2025, 33, 10637–10648. [Google Scholar] [CrossRef] [PubMed]
- Kautz, E.J.; Xu, A.; Harilal, A.V.; Polek, M.P.; Casella, A.M.; Senor, D.J.; Harilal, S.S. Influence of ambient gas on self-reversal in Li transitions relevant to isotopic analysis. Opt. Express 2023, 31, 3549–3564. [Google Scholar] [CrossRef] [PubMed]
- de Melo, Á.M.G.; Letellier, H.; Apoorva, A.; Glicenstein, A.; Kaiser, R. Laser frequency stabilization by modulation transfer spectroscopy and balanced detection of molecular iodine for laser cooling of 174Yb. Opt. Express 2024, 32, 6204–6213. [Google Scholar] [CrossRef]
- Song, J.; Qin, J.; Jin, P.; Chen, Y.; Su, J.; Lu, H. Realization of CW single-frequency tunable Ti:sapphire laser with immunity to the noise of the pump source. Opt. Express 2023, 31, 745–754. [Google Scholar] [CrossRef]
- Mannami, K.; Kondo, T.; Tsuno, T.; Miyashita, T.; Yoshida, D.; Ito, K.; Niizeki, K.; Nakamura, I.; Hong, F.-L.; Horikiri, T. Coupling of a quantum memory and telecommunication wavelength photons for high-rate entanglement distribution in quantum repeaters. Opt. Express 2021, 29, 41522–41533. [Google Scholar] [CrossRef]
- Atalar, A.; Margison, C.J.; Bayer, M.M.; Li, X.; Boyraz, O.B.; Boyraz, O. 3D coherent single shot lidar imaging beyond coherence length. Opt. Express 2024, 32, 40783–40793. [Google Scholar] [CrossRef]
- De Zoysa, M.; Sakata, R.; Ishizaki, K.; Inoue, T.; Yoshida, M.; Gelleta, J.; Mineyama, Y.; Akahori, T.; Aoyama, S.; Noda, S. Non-mechanical three-dimensional LiDAR system based on flash and beam-scanning dually modulated photonic crystal lasers. Optica 2023, 10, 264–268. [Google Scholar] [CrossRef]
- Zhang, S.; Li, M.; Chen, T.; Liu, Z.; He, J.J. Wavelength locking and parameter calibration method for V-cavity tunable modules. Opt. Express 2025, 33, 14129–14141. [Google Scholar] [CrossRef]
- Liu, Z.; Liu, S.; Wang, C.; Zhao, F.; Xing, W.; Xiong, C.; Zhu, L.; Ma, X. High-power distributed feedback laser diode arrays with narrow spectral width over a wide temperature range. Opt. Lett. 2024, 49, 3448–3451. [Google Scholar] [CrossRef] [PubMed]
- Zheng, Y.X.; Cui, J.M.; Ai, M.Z.; Qian, Z.H.; Cao, H.; Huang, Y.F.; Jia, X.J.; Li, C.F.; Guo, G.C. Large-tuning-range frequency stabilization of an ultraviolet laser by an open-loop piezoelectric ceramic controlled Fabry–Pérot cavity. Opt. Express 2021, 29, 24674–24683. [Google Scholar] [CrossRef] [PubMed]
- Zhao, W.; Zhou, X.; Shang, J.; Li, X.; Xiong, M.; Zhang, L.; Cao, Z.; Luo, H. Synchronous achievement of laser frequency stabilization and tunability via modulation transfer spectroscopy on the rubidium D1 line. Opt. Commun. 2025, 574, 131153. [Google Scholar] [CrossRef]
- Lai, Y.T.; Chen, Y.Y.; Chen, H.Z.; Yeh, C.H.; Lin, C.Y.; Chen, Y.Z.; Liao, C.Y.; Chang, D.C.; Chen, L.Y.; Chow, C.W. Stable wavelength-swept single-frequency erbium fiber laser in L-band tuning bandwidth. Phys. Scr. 2023, 98, 035514. [Google Scholar] [CrossRef]
- Yu, J.; Qin, Y.; Yan, Z.H.; Lu, H.D.; Jia, X.J. Improvement of the intensity noise and frequency stabilization of Nd:YAP laser with an ultra-low expansion Fabry-Perot cavity. Opt. Express 2019, 27, 3247–3254. [Google Scholar] [CrossRef]
- Ding, Y.; Tao, S.Q.; Wang, X.H.; Shang, C.L.; Pan, A.; Zeng, C.; Xia, J.S. Thermo-optic tunable optical filters with GHz-bandwidth and flat-top passband on thin film lithium niobate platform. Opt. Express 2022, 30, 22135–22142. [Google Scholar] [CrossRef]
- Fan, W.; Liu, B.; Jiang, Y. Study on dynamic wavelength matching technology of laser radar based on volume grating narrowband optical filtering. Infrared Laser Eng. 2022, 51, 20210639. [Google Scholar] [CrossRef]
- Li, Y.; Fernandes, G.; Benton, D.; Billaud, A.; Fernandes, M.; Patel, M.; Guiomar, F.; Ellis, A. Beaconless auto-alignment for single-wavelength 4.18 Tbit/s mode-division multiplexing free-space optical communications. J. Light. Technol. 2025, 43, 6029–6036. [Google Scholar] [CrossRef]
- Caro, L.; Dernaika, M.; Kelly, N.P.; Morrissey, P.E.; Alexander, J.K.; Peters, F.H. An Integration-Friendly Regrowth-Free Tunable Laser. IEEE Photonics Technol. Lett. 2018, 30, 270–273. [Google Scholar] [CrossRef]
- Huang, L.G.; Song, X.B.; Chang, P.F.; Peng, W.H.; Zhang, W.D.; Gao, F.; Bo, F.; Zhang, G.Q.; Xu, J.J. All-fiber tunable laser based on an acousto-optic tunable filter and a tapered fiber. Opt. Express 2016, 24, 7449–7455. [Google Scholar] [CrossRef]
- Li, Y.K.; Zhu, X.B.; Zhu, Y.B.; Yu, Y.F.; Dai, Y.S. Design of double closed-loop temperature control system with high stability for tunable laser. Transducer Microsyst. Technol. 2024, 43, 77–80. [Google Scholar] [CrossRef]
- Yan, Y.; Lv, C.Y.; Qi, M.; Lang, J.J.; Zhao, Y.S.; Wan, Z.L.; Lu, B.L.; Bai, J.T. Tunable multi-wavelength all polarization-maintaining hybrid mode-locked Yb-doped fiber laser. Opt. Commun. 2025, 574, 131069. [Google Scholar] [CrossRef]
- Sabbah, M.; Harrington, K.; Murphy, L.R.; Brahms, C.; Yerolatsitis, S.; Stone, J.M.; Birks, T.A.; Travers, J.C. Ultra-low threshold deep ultraviolet generation in a hollow-core fiber. Opt. Lett. 2024, 49, 3090–3093. [Google Scholar] [CrossRef] [PubMed]
- Shim, E.; Gil-Molina, A.; Westreich, O.; Dikmelik, Y.; Lascola, K.; Gaeta, A.L.; Lipson, M. Tunable single-mode chip-scale mid-infrared laser. Commun. Phys. 2021, 4, 268. [Google Scholar] [CrossRef]
- Suemura, Y.; Tajima, A.; Henmi, N.; Morimura, H.; Takahashi, H. Adaptive wavelength tunable optical filter employing an angle-tuned interference filter and an intelligent digital controller. J. Light. Technol. 1996, 14, 1048–1055. [Google Scholar] [CrossRef]
- Zheng, Z.; Yang, G.; Li, H.; Liu, X. Three-stage Fabry–Perot liquid crystal tunable filter with extended spectral range. Opt. Express 2011, 19, 2158–2164. [Google Scholar] [CrossRef]
- Liu, L.; Xue, W.; Jin, X.; Yue, J.; Yu, Z.; Zhou, L. Bandwidth and wavelength tunable all-optical filter based on cascaded opto-mechanical microring resonators. IEEE Photonics J. 2019, 11, 7800210. [Google Scholar] [CrossRef]
- Wang, C.; Li, X.; Zhang, S.; Yan, D.; Li, H. Wavelength and bandwidth tunable filter and its application in a dissipative soliton fiber laser. Opt. Lett. 2022, 47, 2698–2701. [Google Scholar] [CrossRef]
- Fan, Y.; He, Z.; Xia, H.; Lv, Y.; Yuan, W.; Dai, P.; Zhang, J.; Sun, Z.; Wang, F.; Shi, Y.; et al. Ultrawideband precise tunable wavelength-locked laser based on high-density integrated distributed feedback laser array. Opt. Express 2025, 33, 31801–31818. [Google Scholar] [CrossRef]
- Nunoya, N.; Ishii, H.; Kawaguchi, Y.; Iga, R.; Sato, T.; Fujiwara, N.; Oohashi, H. Tunable distributed amplification (TDA-) DFB laser with asymmetric structure. IEEE J. Sel. Top. Quantum Electron. 2011, 17, 1505–1512. [Google Scholar] [CrossRef]
- Wang, H.; Yu, Y. New theoretical model to analyze temperature distribution and influence of thermal transients of an SG-DBR laser. IEEE J. Quantum Electron. 2012, 48, 107–113. [Google Scholar] [CrossRef]
- Borràs, R.; del Río, J.; Oriach, C.; Juliachs, J. Study of a single emitter laser diode: Pspice model and characterization system. In Proceedings of the Semiconductor Lasers and Laser Dynamics VIII, Strasbourg, France, 22–26 April 2018; Volume 10682, p. 106821K. [Google Scholar]
- Ghadimi, A.; Alikhah, S. Simulation and analysis of dependence of threshold current and gain of λ/4 shifted DFB laser through transfer matrix. J. Opt. 2017, 46, 289–297. [Google Scholar] [CrossRef]
- Dorozhovets, M. Forward and inverse problems of Type A uncertainty evaluation. Measurement 2020, 158, 108072. [Google Scholar] [CrossRef]
- Fan, C.; Chen, C.; Liu, J.; Xie, Y.; Li, K.; Zhu, X.; Zhang, L.; Cao, X.; Han, G.; Huang, Y.; et al. Preliminary analysis of global column-averaged CO2 concentration data from the spaceborne aerosol and carbon dioxide detection lidar onboard AEMS. Opt. Express 2024, 32, 21870–21886. [Google Scholar] [CrossRef]











Disclaimer/Publisher’s Note: The statements, opinions and data contained in all publications are solely those of the individual author(s) and contributor(s) and not of MDPI and/or the editor(s). MDPI and/or the editor(s) disclaim responsibility for any injury to people or property resulting from any ideas, methods, instructions or products referred to in the content. |
© 2025 by the authors. Licensee MDPI, Basel, Switzerland. This article is an open access article distributed under the terms and conditions of the Creative Commons Attribution (CC BY) license (https://creativecommons.org/licenses/by/4.0/).
Share and Cite
Wang, J.; Liu, M.; Luo, H.; Su, X.; Ma, C.; Yu, J. A Broad-Temperature-Range Wavelength Tracking System Employing a Thermistor Monitoring Circuit and a Tunable Optical Filter. Photonics 2025, 12, 1038. https://doi.org/10.3390/photonics12101038
Wang J, Liu M, Luo H, Su X, Ma C, Yu J. A Broad-Temperature-Range Wavelength Tracking System Employing a Thermistor Monitoring Circuit and a Tunable Optical Filter. Photonics. 2025; 12(10):1038. https://doi.org/10.3390/photonics12101038
Chicago/Turabian StyleWang, Ju, Manyun Liu, Hao Luo, Xuemin Su, Chuang Ma, and Jinlong Yu. 2025. "A Broad-Temperature-Range Wavelength Tracking System Employing a Thermistor Monitoring Circuit and a Tunable Optical Filter" Photonics 12, no. 10: 1038. https://doi.org/10.3390/photonics12101038
APA StyleWang, J., Liu, M., Luo, H., Su, X., Ma, C., & Yu, J. (2025). A Broad-Temperature-Range Wavelength Tracking System Employing a Thermistor Monitoring Circuit and a Tunable Optical Filter. Photonics, 12(10), 1038. https://doi.org/10.3390/photonics12101038

