Sign in to use this feature.

Years

Between: -

Subjects

remove_circle_outline
remove_circle_outline
remove_circle_outline
remove_circle_outline
remove_circle_outline
remove_circle_outline
remove_circle_outline
remove_circle_outline
remove_circle_outline

Journals

remove_circle_outline
remove_circle_outline
remove_circle_outline
remove_circle_outline
remove_circle_outline
remove_circle_outline
remove_circle_outline
remove_circle_outline
remove_circle_outline
remove_circle_outline
remove_circle_outline

Article Types

Countries / Regions

remove_circle_outline
remove_circle_outline
remove_circle_outline
remove_circle_outline

Search Results (493)

Search Parameters:
Keywords = direct charge control

Order results
Result details
Results per page
Select all
Export citation of selected articles as:
12 pages, 1439 KB  
Article
Tensile Strain Effect on Thermoelectric Properties in Epitaxial CaMnO3 Thin Films
by Ebenezer Seesi, Mohammad El Loubani, Habib Rostaghi Chalaki, Avari Suber, Caden Kincaid and Dongkyu Lee
Appl. Sci. 2026, 16(1), 193; https://doi.org/10.3390/app16010193 - 24 Dec 2025
Viewed by 108
Abstract
A deterministic platform for engineering epitaxial strain in CaMnO3-δ (CMO) thermoelectric thin films is demonstrated using pulsed laser deposition, enabling precise control of the interplay between strain state and oxygen vacancy formation. High-quality epitaxial CMO films are grown on four different single [...] Read more.
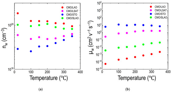
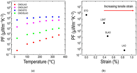
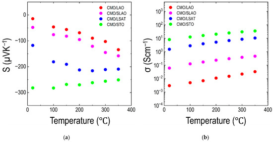
A deterministic platform for engineering epitaxial strain in CaMnO3-δ (CMO) thermoelectric thin films is demonstrated using pulsed laser deposition, enabling precise control of the interplay between strain state and oxygen vacancy formation. High-quality epitaxial CMO films are grown on four different single crystalline substrates, which impose fully relaxed, partially relaxed, low tensile, and high tensile strain states, respectively. Increasing tensile strain induces a monotonic expansion of the unit cell volume and a systematic rise in oxygen vacancy concentration. Oxygen vacancies increase carrier concentration but decrease mobility due to enhanced scattering. Reducing tensile strain suppresses scattering of electrons by oxygen vacancies and increases both electrical conductivity (σ) and the Seebeck coefficient (S), mitigating the conventional inverse relationship between S and σ. Fully relaxed films exhibit σ approximately four orders of magnitude higher at room temperature than highly tensile strained films. These relaxed films also show the highest power factor (PF = S2·σ), exceeding strained films by up to six orders of magnitude. Strain-controlled oxygen vacancies thus provide a direct route to optimize charge transport and maximize the thermoelectric performance of CMO thin films. Full article
Show Figures

Figure 1

16 pages, 2091 KB  
Article
Use of a Cobalt-Based Redox Electrolyte in Hybrid Electrochromic Devices
by Eleftheria Merkoulidi and George Syrrokostas
Energies 2026, 19(1), 68; https://doi.org/10.3390/en19010068 - 23 Dec 2025
Viewed by 144
Abstract
In the present study, highly transparent evaporated tungsten oxide films with improved charge storage properties were used in battery-like (b-ECDs) and hybrid electrochromic devices (h-ECDs). A Co2+/3+ redox couple was added to the electrolyte as an alternative to other redox couples that [...] Read more.
In the present study, highly transparent evaporated tungsten oxide films with improved charge storage properties were used in battery-like (b-ECDs) and hybrid electrochromic devices (h-ECDs). A Co2+/3+ redox couple was added to the electrolyte as an alternative to other redox couples that have been already used in h-ECDs. The as-prepared h-ECDs, colored homogeneously, exhibited a contrast ratio of up to 7:1 in the visible spectrum, at a cathodic voltage of −2.5 V for only 10 s, compared to 3.5:1 at a cathodic voltage of −3 V for 180 s for a b-ECD. Moreover, when the redox couple was present in the electrolyte, almost a 50% higher areal capacitance and a 55% lower charge transfer resistance at the electrochromic layer/electrolyte interface were achieved. Also, the results show that the optical performance depends strongly on the coloration procedure (potentiostatic or galvanostatic), that self-bleaching is not so intense, and especially that the energy density consumed during bleaching is reduced in the presence of the redox couple. Overall, the findings of this study highlight the benefits of using a cobalt redox electrolyte in h-ECDs, allowing a direct comparison with b-ECDs, to dynamically control incoming solar irradiation in a building, thus improving buildings’ energy efficiency. Full article
(This article belongs to the Special Issue Highly Efficient Technologies for the Energy Transition)
Show Figures

Figure 1

21 pages, 5467 KB  
Article
Reconfiguration with Low Hardware Cost and High Receiving-Excitation Area Ratio for Wireless Charging System of Drones Based on D3-Type Transmitter
by Han Liu, Lin Wang, Jie Wang, Dengjie Huang and Rong Wang
Drones 2026, 10(1), 3; https://doi.org/10.3390/drones10010003 - 22 Dec 2025
Viewed by 154
Abstract
Wireless charging for drones is significant for solving problems such as the frequent manual plugging and unplugging of cables. A large number of densely packed transmitting coils and fully independent on-off control can precisely track the receiver with random access location. To balance [...] Read more.
Wireless charging for drones is significant for solving problems such as the frequent manual plugging and unplugging of cables. A large number of densely packed transmitting coils and fully independent on-off control can precisely track the receiver with random access location. To balance the excitation area of the transmitter, additional hardware cost, and receiving voltage fluctuation, the wireless charging system of drones based on a D3-type transmitter is proposed in this article. The circuit model considering states of multiple switches is developed for three excitation modes. The dual-coil excitation mode is selected after comparative analysis. The transmitter reconfiguration method with low hardware cost and high receiving-excitation area ratio is proposed based on one detection sensor of DC current and one relay furtherly. Finally, an experimental prototype is built to verify the theoretical analysis and proposed method. When the output voltage fluctuation is limited to ±10%, the ratios of the maximum misalignment value in the x-axis and y-axis directions to the side length of the receiver reach 66.7% and 46.7%, respectively. The receiving-excitation area ratio of 37.5% is achieved, significantly reducing the excitation area not covered by the receiver. The maximum receiving power is 289.44 W, while the DC-DC efficiency exceeds 87.05%. Full article
(This article belongs to the Section Drone Communications)
Show Figures

Figure 1

27 pages, 3739 KB  
Article
Study on a Dual-Dimensional Compensation Mechanism and Bi-Level Optimization Approach for Real-Time Electric Vehicle Demand Response in Unified Build-and-Operate Communities
by Shuang Hao and Guoqiang Zu
World Electr. Veh. J. 2026, 17(1), 4; https://doi.org/10.3390/wevj17010004 - 19 Dec 2025
Viewed by 189
Abstract
With the rapid growth of residential electric vehicles, synchronized charging during peak periods can induce severe load ramping and exceed distribution network capacity limits. To mitigate these issues, governments have promoted a unified build-and-operate community model that enables centralized coordination of community charging [...] Read more.
With the rapid growth of residential electric vehicles, synchronized charging during peak periods can induce severe load ramping and exceed distribution network capacity limits. To mitigate these issues, governments have promoted a unified build-and-operate community model that enables centralized coordination of community charging and ensures real-time responsiveness to grid dispatch signals. Targeting this emerging operational paradigm, a dual-dimensional compensation mechanism for real-time electric vehicle (EV) demand response is proposed. The mechanism integrates two types of compensation: power regulation compensation, which rewards users for providing controllable power flexibility, and state-of-charge (SoC) loss compensation, which offsets energy deficits resulting from demand response actions. This dual-layer design enhances user willingness and long-term engagement in community-level coordination. Based on the proposed mechanism, a bi-level optimization framework is developed to realize efficient real-time regulation: the upper level maximizes the active response capacity under budget constraints, while the lower level minimizes the aggregator’s total compensation cost subject to user response behavior. Simulation results demonstrate that, compared with conventional fair-share curtailment and single-compensation approaches, the proposed mechanism effectively increases active user participation and reduces incentive expenditures. The study highlights the mechanism’s potential for practical deployment in unified build-and-operate communities and discusses limitations and future research directions. Full article
(This article belongs to the Section Charging Infrastructure and Grid Integration)
Show Figures

Figure 1

19 pages, 1058 KB  
Review
Protein Adsorption and Cell Adhesion on Metallic Biomaterial Surfaces
by Satoshi Migita and Masaki Sato
Adhesives 2025, 1(4), 15; https://doi.org/10.3390/adhesives1040015 - 18 Dec 2025
Viewed by 364
Abstract
Metallic biomaterials play essential roles in modern medical devices, but their long-term performance depends critically on protein adsorption and subsequent cellular responses at material interfaces. This review examines the molecular mechanisms governing these interactions and discusses surface modification strategies for controlling biocompatibility. The [...] Read more.
Metallic biomaterials play essential roles in modern medical devices, but their long-term performance depends critically on protein adsorption and subsequent cellular responses at material interfaces. This review examines the molecular mechanisms governing these interactions and discusses surface modification strategies for controlling biocompatibility. The physicochemical properties of oxide layers formed on metal surfaces—including Lewis acid-base chemistry, surface charge, surface free energy, and permittivity—collectively determine protein adsorption behavior. Titanium surfaces promote stable protein adsorption through strong coordination bonds with carboxylate groups, while stainless steel surfaces show complex formation with proteins that can lead to metal ion release. Surface modification strategies can be systematically categorized based on two key parameters: effective ligand density (σ_eff) and effective mechanical response (E_eff). Direct control approaches include protein immobilization, self-assembled monolayers, and ionic modifications. The most promising strategies involve coupled control of both parameters through hierarchical surface architectures and three-dimensional modifications. Despite advances in understanding molecular-level interactions, substantial challenges remain in bridging the gap between surface chemistry and tissue-level biological performance. Future developments must address three-dimensional interfacial interactions and develop systems-level approaches integrating multiple scales of biological organization to enable rational design of next-generation metallic biomaterials. Full article
Show Figures

Figure 1

20 pages, 17604 KB  
Article
Controls of Fault System on Hydrocarbon Accumulation: A Case Study from the Carboniferous Reservoir of the Hongche Fault Zone in the Junggar Basin
by Cheng Huang, Yonghe Sun, Huafeng Zhou, Xiaofan Yang, Junwei Han, Jian Fu, Mengyuan Hao and Yulin Song
Processes 2025, 13(12), 4054; https://doi.org/10.3390/pr13124054 - 15 Dec 2025
Viewed by 186
Abstract
The Hongche Fault Zone in the Junggar Basin exhibits significant spatiotemporal variations in the relationship between fault systems and hydrocarbon accumulation across different structural belts. Two key factors contribute to this phenomenon: frequent tectonic activities and well-developed Paleozoic fault systems. To date, no [...] Read more.
The Hongche Fault Zone in the Junggar Basin exhibits significant spatiotemporal variations in the relationship between fault systems and hydrocarbon accumulation across different structural belts. Two key factors contribute to this phenomenon: frequent tectonic activities and well-developed Paleozoic fault systems. To date, no detailed studies have been conducted on the fault systems in the Paleozoic strata of the Hongche Fault Zone. In this study, the fault systems in the Paleozoic strata of the Hongche Fault Zone were systematically sorted out for the first time. Furthermore, the controlling effects of active faults in different geological periods on hydrocarbon charging were clarified. Firstly, basing on the 3D seismic and well-log data, the structural framework and fault activity, fault systems, source-contacting faults were characterized. Vertically, the Hongche Fault Zone experienced three major thrusting episodes followed by one weak extensional subsidence Stage, forming four principal tectonic layers: Permian (Thrusting Episode I), Triassic (Thrusting Episode II), Jurassic (Thrusting Episode III), and Cretaceous–Quaternary (Post-Thrusting Subsidence). Laterally, six fault systems are identified: Middle Permian (Stage I), Late Triassic (Stage II), Jurassic (Stage III), post-Cretaceous (Stage IV), as well as composite systems from Middle Permian–Jurassic (Stages I–III) and Late Triassic–Jurassic (Stages II–III). These reveal multi-stage, multi-directional composite structural characteristics in the study area. According to the oil–source correlation, the Carboniferous reservoir is primarily sourced by Permian Fengcheng Formation source rocks in the Shawan Sag. Hydrocarbon migration tracing shows that oil migrates along faults, progressively charging from depression zones to thrust belts and uplifted areas. In this process, fault systems exert hierarchical controls on accumulation: Stage I faults dominate trap formation, Stages II and III faults regulate hydrocarbon migration, accumulation, and adjustment, while Stage IV faults influence hydrocarbon conduction in Mesozoic–Cenozoic reservoirs. By clarifying the fault-controlled hydrocarbon accumulation mechanisms in the Hongche Fault Zone, this study provides theoretical guidance for two key aspects of the Carboniferous reservoirs in the study area: the optimization of favorable exploration zones and the development of reserves. Full article
Show Figures

Figure 1

27 pages, 4435 KB  
Article
Design and Experimental Validation of an Asymmetric Four-Chamber Redox Flow Desalination Cell for Energy-Efficient Ion Removal
by Aung Ko Ko, Joohan Bae and Jaeyoung Lee
Energies 2025, 18(24), 6529; https://doi.org/10.3390/en18246529 - 12 Dec 2025
Viewed by 438
Abstract
An asymmetric four-chamber redox flow desalination cell was developed to enhance ion transport and energy efficiency by controlling chamber geometry, applied voltage, and electrolyte flow rate. The design integrates thick outer redox chambers with thin desalination chambers to promote uniform redox reactions and [...] Read more.
An asymmetric four-chamber redox flow desalination cell was developed to enhance ion transport and energy efficiency by controlling chamber geometry, applied voltage, and electrolyte flow rate. The design integrates thick outer redox chambers with thin desalination chambers to promote uniform redox reactions and stable mass transfer. The system operated stably for 12 h and achieved a high salt removal rate of approximately 1226 mmol·m−2·h−1 at 1.0 V with low specific energy consumption of about 99.74 kJ·mol−1, demonstrating both durable operation and highly promising desalination performance. Electrochemical impedance analysis further confirmed that increased electrolyte flow reduces charge-transfer and diffusion resistances, enabling faster ionic transport. These findings highlight the originality of the chamber-asymmetric design and its promise for compact, low-voltage redox flow systems. This work provides design guidelines for next-generation flow-based desalination systems and suggests future research directions in scaling the architecture, optimizing flow-channel geometry, and integrating higher-stability redox electrolytes for long-term practical operation. Full article
Show Figures

Graphical abstract

32 pages, 3705 KB  
Article
Adaptive Iterative Algorithm for Optimizing the Load Profile of Charging Stations with Restrictions on the State of Charge of the Battery of Mining Dump Trucks
by Nikita V. Martyushev, Boris V. Malozyomov, Vitaliy A. Gladkikh, Anton Y. Demin, Alexander V. Pogrebnoy, Elizaveta E. Kuleshova and Yulia I. Karlina
Mathematics 2025, 13(24), 3964; https://doi.org/10.3390/math13243964 - 12 Dec 2025
Viewed by 187
Abstract
The development of electric quarry transport puts a significant strain on local power grids, leading to sharp peaks in consumption and degradation of power quality. Existing methods of peak smoothing, such as generation control, virtual power plants, or intelligent load management, have limited [...] Read more.
The development of electric quarry transport puts a significant strain on local power grids, leading to sharp peaks in consumption and degradation of power quality. Existing methods of peak smoothing, such as generation control, virtual power plants, or intelligent load management, have limited efficiency under the conditions of stochastic and high-power load profiles of industrial charging stations. A new strategy for direct charge and discharge management of a system for integrated battery energy storage (IBES) is based on dynamic iterative adjustment of load boundaries. The mathematical apparatus of the method includes the formalization of an optimization problem with constraints, which is solved using a nonlinear iterative filter with feedback. The key elements are adaptive algorithms that minimize the network power dispersion functionality (i.e., the variance of Pgridt over the considered time interval) while respecting the constraints on the state of charge (SOC) and battery power. Numerical simulations and experimental studies demonstrate a 15 to 30% reduction in power dispersion compared to traditional constant power control methods. The results confirm the effectiveness of the proposed approach for optimizing energy consumption and increasing the stability of local power grids of quarry enterprises. Full article
Show Figures

Figure 1

20 pages, 7436 KB  
Review
Current Status and Future Prospects of Small-Diameter Artificial Blood Vessels
by Zhaoxian Zheng, Menglin Zhou, Xiaolu Jiang, Zihan Lin, Jianhua Jin, Qi Wan, Chengxiong Lin and Li Zhang
Lubricants 2025, 13(12), 537; https://doi.org/10.3390/lubricants13120537 - 11 Dec 2025
Viewed by 511
Abstract
Small-diameter vascular grafts (SDVGs, ≤6 mm) face significant barriers in vascular reconstruction due to poor long-term patency stemming from thrombosis, intimal hyperplasia, and mechanical mismatch. Increasing rates of cardiovascular disease and limited autologous vessel supply underscore the urgent need for functional SDVGs. This [...] Read more.
Small-diameter vascular grafts (SDVGs, ≤6 mm) face significant barriers in vascular reconstruction due to poor long-term patency stemming from thrombosis, intimal hyperplasia, and mechanical mismatch. Increasing rates of cardiovascular disease and limited autologous vessel supply underscore the urgent need for functional SDVGs. This review discusses the critical failure mechanisms of SDVGs and recent material-based advances—hydrophilic modifications, charge control, micro- and nano-engineering, antimicrobial and anti-inflammatory treatments, and controlled bioactive release (e.g., heparin, nitric oxide, t-PA). It details progress in cellular and tissue engineering for rapid endothelialization, smooth muscle regeneration, and mechanical durability. The review also highlights emerging gene engineering, the use of bioactive peptides, and molecular pathway strategies for physiological antithrombotic restoration. Finally, it outlines future directions, including smart materials, accelerated endothelialization, advanced manufacturing (3D printing, multilayer electrospinning), multifunctional composites, and clinical translation. Overall, SDVG research is shifting toward active, regenerative vascular substitutes with improved clinical prospects. Full article
(This article belongs to the Special Issue Tribology of Medical Devices)
Show Figures

Figure 1

34 pages, 3381 KB  
Review
Electric Propulsion and Hybrid Energy Systems for Solar-Powered UAVs: Recent Advances and Challenges
by Norliza Ismail, Nadhiya Liyana Mohd Kamal, Nurhakimah Norhashim, Sabarina Abdul Hamid, Zulhilmy Sahwee and Shahrul Ahmad Shah
Drones 2025, 9(12), 846; https://doi.org/10.3390/drones9120846 - 10 Dec 2025
Viewed by 737
Abstract
Unmanned aerial vehicles (UAVs) are increasingly utilized across civilian and defense sectors due to their versatility, efficiency, and cost-effectiveness. However, their operational endurance remains constrained by limited onboard energy storage. Recent research has focused on electric propulsion systems integrated with hybrid energy sources, [...] Read more.
Unmanned aerial vehicles (UAVs) are increasingly utilized across civilian and defense sectors due to their versatility, efficiency, and cost-effectiveness. However, their operational endurance remains constrained by limited onboard energy storage. Recent research has focused on electric propulsion systems integrated with hybrid energy sources, particularly the combination of solar cells and advanced battery technologies to overcome this limitation. This review presents a comprehensive analysis of the latest advancements in electric propulsion architecture, solar-based power integration, and hybrid energy management strategies for UAVs. Key components, including motors, electronic speed controllers (ESCs), propellers, and energy storage systems, are examined alongside emerging technologies such as wireless charging and flexible photovoltaic (PV) materials. Power management techniques, including maximum power point tracking (MPPT) and intelligent energy control algorithms, are also discussed in the context of long-endurance missions. Challenges related to energy density, weight constraints, environmental adaptability, and component integration are highlighted, with insights into potential solutions and future directions. The findings of this review aim to guide the development of efficient, sustainable, and high-endurance UAV platforms leveraging electric-solar hybrid propulsion systems. Full article
Show Figures

Figure 1

23 pages, 6665 KB  
Article
Research on Energy Management Strategy for Range-Extended Electric Vehicles Based on Eco-Driving Speed
by Hanwu Liu, Kaicheng Yang, Wencai Sun, Le Liu, Zihang Su, Qiaoyun Xiao, Song Wang and Shunyao Li
Appl. Sci. 2025, 15(23), 12738; https://doi.org/10.3390/app152312738 - 2 Dec 2025
Viewed by 295
Abstract
To achieve the optimal energy allocation between the auxiliary power unit (APU) and battery of connected automated range-extended electric vehicle (CAR-EEV), the hierarchical eco-driving control with dynamic game energy management were investigated and the optimization design of APU working mode was carried out [...] Read more.
To achieve the optimal energy allocation between the auxiliary power unit (APU) and battery of connected automated range-extended electric vehicle (CAR-EEV), the hierarchical eco-driving control with dynamic game energy management were investigated and the optimization design of APU working mode was carried out from a multi-objective perspective. Initially, the acceleration and speed of the host vehicle were adjusted in real time, based on the driving status of the preceding vehicle, and the ecological driving speed was obtained in the adaptive car-following eco-driving mode. The dynamic game energy management strategy was proposed, leveraging the real-time interactive information between the vehicle and the traffic environment, and intelligently allocating and scheduling the energy flow within the powertrain. Dynamic game optimization was adopted to achieve dynamic decision-making and control optimization on whether to switch the APU operating speed or not. The multi-objective optimization analyses are carried out based on the weight coefficient matrix. The hierarchical dynamic game energy management strategy based on eco-driving speed (HDGEMS) is implemented through dynamic games and exhibits excellent performance. This strategy enables dynamic adjustment of power distribution between the APU and the battery, thereby allowing the APU to operate efficiently under optimal operating conditions. Meanwhile, it effectively reduces secondary charging losses and the dynamic switching time of the APU, and ultimately achieves energy optimization. Eventually, the results of simulation and experimental thoroughly indicated that economy improvement, emission reduction, and battery life enhancement of CAR-EEV were effectively kept in balance under the control of the proposed HDGEMS with intelligent optimization mode. New research ideas and technical directions are provided for the field of EMS, which is expected to promote technological progress in the industry. Full article
Show Figures

Figure 1

18 pages, 2627 KB  
Project Report
Experimental Thermal Performance of Air-Based and Oil-Based Energy Storage Systems
by Denis Okello, Jimmy Chaciga, Ole Jorgen Nydal and Karidewa Nyeinga
Energy Storage Appl. 2025, 2(4), 15; https://doi.org/10.3390/esa2040015 - 26 Nov 2025
Viewed by 252
Abstract
The paper examines the experimental performance of air–rock bed, oil only, and oil–rock bed systems for storing heat suitable for cooking applications. The air–rock bed system is charged using hot air from a compressed air tank, while the oil–rock bed system employs a [...] Read more.
The paper examines the experimental performance of air–rock bed, oil only, and oil–rock bed systems for storing heat suitable for cooking applications. The air–rock bed system is charged using hot air from a compressed air tank, while the oil–rock bed system employs a resistive heating element to heat a small volume of oil, which then circulates naturally. The charging process for the oil systems was controlled by adjusting funnel heights, and temperature measurements were taken using thermocouples connected to a data logger. Both systems can store thermal energy ranging from 4.5 kWh to 8 kWh and achieve temperatures between 150 °C and 300 °C, depending on supply temperatures. The simpler oil–rock bed allows for the direct boiling of water using the high temperature produced, and tests indicated comparable boiling times between systems. The findings suggest that these heat storage systems could enhance the advancement and integration of solar cookers, enabling more flexible cooking options. Full article
Show Figures

Figure 1

21 pages, 3437 KB  
Article
N/S Co-Doped Mesoporous Carbon Hollow Spheres: Toward Efficient and Durable Oxygen Reduction
by I. L. Alonso-Lemus, J. C. Carrillo-Rodríguez, B. Escobar-Morales and F. J. Rodríguez-Varela
Chemistry 2025, 7(6), 187; https://doi.org/10.3390/chemistry7060187 - 24 Nov 2025
Viewed by 630
Abstract
This study reports the design of N- and S-doped ordered mesoporous carbon hollow spheres (OMCHS) as metal-free electrocatalysts for the oxygen reduction reaction (ORR) in alkaline media. Three electrocatalysts were synthesized using molecular precursors: (i) 2-thiophenemethanol (S-OMCHS), (ii) 2-pyridinecarboxaldehyde/2-thiophenemethanol (N1-S-OMCHS), and (iii) pyrrole/2-thiophenemethanol [...] Read more.
This study reports the design of N- and S-doped ordered mesoporous carbon hollow spheres (OMCHS) as metal-free electrocatalysts for the oxygen reduction reaction (ORR) in alkaline media. Three electrocatalysts were synthesized using molecular precursors: (i) 2-thiophenemethanol (S-OMCHS), (ii) 2-pyridinecarboxaldehyde/2-thiophenemethanol (N1-S-OMCHS), and (iii) pyrrole/2-thiophenemethanol (N2-S-OMCHS). Among them, S-OMCHS exhibited the best activity (Eonset = 0.88 V, E½ = 0.81 V, n ≈ 3.95), surpassing both co-doped analogs. After conducting an accelerated degradation test (ADT), S-OMCHS and N1-S-OMCHS showed improved catalytic behavior and outstanding long-term stability. Surface analysis confirmed that performance evolution correlates with heteroatom reorganization: S-OMCHS retained and regenerated thiophene-S and C=O/quinone species, while N1-S-OMCHS converted N-quaternary into N-pyridinic/pyrrolic, both enhancing O2 adsorption and *OOH reduction through synergistic spin–charge coupling. Conversely, oxidation of N and loss of thiophene-S in N2-S-OMCHS led to partial deactivation. These results establish a direct link between surface chemistry evolution and electrocatalytic durability, demonstrating that controlled heteroatom doping stabilizes active sites and sustains the four-electron ORR pathway. The approach provides a rational design framework for next-generation, metal-free carbon electrocatalysts in alkaline fuel cells and energy conversion technologies. Full article
(This article belongs to the Section Electrochemistry and Photoredox Processes)
Show Figures

Figure 1

28 pages, 3246 KB  
Article
Cold-Start Energy Consumption and CO2 Emissions—A Comparative Assessment of Various Powertrains in the Context of Short-Distance Trips
by Artur Jaworski, Hubert Kuszewski and Krzysztof Balawender
Energies 2025, 18(23), 6114; https://doi.org/10.3390/en18236114 - 22 Nov 2025
Viewed by 618
Abstract
The issue of CO2 emissions and energy use is particularly important during short trips, where cold starts cause higher fuel consumption and increased emissions. These conditions, common in daily commuting, make vehicle efficiency a key concern. To reduce their impact, hybrid and [...] Read more.
The issue of CO2 emissions and energy use is particularly important during short trips, where cold starts cause higher fuel consumption and increased emissions. These conditions, common in daily commuting, make vehicle efficiency a key concern. To reduce their impact, hybrid and electric powertrains have been introduced, allowing electric-only operation that eliminates direct tailpipe emissions, although indirect emissions from electricity generation remain. Real-world data show that hybrid vehicles often consume more fuel and emit more CO2 than type-approval results indicate, mainly due to the medium battery state of charge (SOC), which forces the combustion engine to operate even over short distances. Additionally, engine thermal state and ambient temperature strongly influence energy use and emissions. This study fills a research gap by comparing vehicles with different powertrains under controlled chassis dynamometer conditions, analyzing fuel (energy) consumption and CO2 emissions over the same driving cycle at various temperatures. The results show how temperature and thermal conditions affect total energy use and emissions over time and distance. The highest consumption and emissions during short trips were recorded for the plug-in hybrid vehicle in charge-sustaining mode at −6 ± 1 °C, while the electric vehicle showed the most favorable performance. Full article
(This article belongs to the Special Issue Performance and Emissions of Vehicles and Internal Combustion Engines)
Show Figures

Figure 1

22 pages, 3660 KB  
Article
Enabling Grid Services with Bidirectional EV Chargers: A Comparative Analysis of CCS2 and CHAdeMO Response Dynamics
by Kristoffer Laust Pedersen, Rasmus Meier Knudsen, Mattia Marinelli, Mattia Secchi and Kristian Sevdari
World Electr. Veh. J. 2025, 16(11), 636; https://doi.org/10.3390/wevj16110636 - 20 Nov 2025
Viewed by 881
Abstract
Bidirectional electric vehicle (EV) charging represents an opportunity to leverage EVs as flexible energy assets within the power system. By enabling controlled power flow in both directions, bidirectional charging unlocks a wide range of grid services, thereby enhancing grid stability as the energy [...] Read more.
Bidirectional electric vehicle (EV) charging represents an opportunity to leverage EVs as flexible energy assets within the power system. By enabling controlled power flow in both directions, bidirectional charging unlocks a wide range of grid services, thereby enhancing grid stability as the energy sector decarbonizes. This paper presents a comprehensive experimental evaluation of bidirectional charging systems (EVCS), focusing on response dynamics and controllability delays critical for grid services. A real ISO 15118–20–enabled EV and an EV emulator were used to conduct tests across configurations, utilizing the Watt & Well 22 kW bidirectional charging bay. The study compares CCS2 and CHAdeMO protocols under varying configuration conditions. Results show that modern chargers achieve sub-second responsiveness, with local communication delays typically below 0.4 s and ramping times around 0.5 s. However, power flow reversals introduce an additional delay of approximately 1 s. These updated controllability metrics are essential for validating bidirectional charging in time-critical applications such as primary frequency regulation. The findings highlight the influence of voltage level and modular configuration on dynamic performance, underscoring the need to integrate external control path delays for full-stack validation. This work provides a foundation for modeling and deploying bidirectional EVCS in fast-response grid services. Full article
Show Figures

Figure 1

Back to TopTop